Примеры:
Вычислите скалярное произведение векторов:
Дано:
Устно:
Диктант Даны точки A(2; -3), B(-1; 2), С(0; -4)
3.38M
Category: mathematicsmathematics

Скалярное произведение векторов (1)

1.

Скалярное
произведение векторов

2.

Угол между векторами
b
О
a
Угол между векторами
равен .
a b =
aиb

3.

Найдите угол между векторами
a b = 300
a
a c = 1200
d
300
c
b
f
b c = 900
d c = 1800
d f = 00

4.

Определение
Скалярным произведением двух
векторов называется произведение
их длин на косинус угла между ними.
a b = a b cos(a b )
Скалярное произведение векторов – число!

5.

Частный случай №1
b
a
a b = 900
=0
a b = a b cos 900 = 0
a b = 0
a b

6.

Частный случай №2
a b < 900
b
a
>0
a b = a b cos > 0
a b > 0 a b < 900

7.

Частный случай №3
b
a b > 900
a
<0
a b = a b cos < 0
a b < 0 a b > 900

8.

Частный случай №4
b
a b = 00
1
a b = a b cos 00 = a b
a
b
a b = 1800
a
-1
a b = a b cos1800 = – a b

9.

Частный случай №5
a a = 00
a
1
2
a a = a a cos 00 = a a = a
a a называется
2
скалярным квадратом вектора a и обозначается a
Скалярное произведение
2
a =a
2

10. Примеры:

1. a
2 , b
2. a
5, b
3.
a
7, b
,
a
,
1
b
,
5.
,
7 b
4.
a
,3
,1
4
1
,
5
0
a b
0
2 3 cos 60
0
5 1 cos 30
60
0 a b
30
0
0
5 3
2
45
0
120 a b
0
1 1 cos 120
0
90 a b
0
7 5 cos 90
a b
7 4 cos 45
3
14 2
1
2
0

11.

тест
1
ВС ВА =
ВС
ВА
ПОДУМАЙ!
1
2
9 3
9
cos ВС, ВА = 6 3 cos 600 = 18 12
В
600
6
ВЕРНО!
300
3
18
Проверка
ПОДУМАЙ!
С
А

12.

2
Скалярное произведение координатных векторов
i и j : равно нулю, т.к. угол между
векторами прямой
y
1
ПОДУМАЙ!
1
j
2
–1
3
0
ПОДУМАЙ!
ВЕРНО!
Проверка
О
x
i
1

13.

3
Скалярный квадрат вектора i равен:
ВЕРНО!
1
Скалярный квадрат вектора
равен квадрату его длины.
1
2
–1
3
0
Проверка
ПОДУМАЙ!
ПОДУМАЙ!
i 2 = i 2 = 12 = 1

14.

a b = 12,
12
a = 33,
b = 4,
4
то векторы a и b :
a b = a b cos a b
4 Если
ВЕРНО!
12 = 3 4 cos a b
cos a b = 1
a b = 00
ПОДУМАЙ!
если a
b
1
сонаправлены;
2
перпендикулярны;
3
противоположно направлены.
Проверка
ПОДУМАЙ!

15.

x
y
=
–20
–20,
x
=
4
4,
5
то векторы x и y :
y = 5,
5
Если
x y = x y cos x y
ПОДУМАЙ!
1
–20 = 4 5 cos x y
сонаправлены;
ПОДУМАЙ!
2
3
перпендикулярны;
ВЕРНО!
противоположно направлены.
Проверка
cos x y = –1
x y = 1800
если
x
y

16.

m и n, если
m = 5, n = 6.
6 Найдите угол между векторами
m n = –15,
ПОДУМАЙ!
1
500
ПОДУМАЙ!
2
600
3
1200
ВЕРНО!
Скалярное произведение ненулевых
векторов отрицательно тогда и только
тогда , когда угол между векторами тупой
Проверка

17.

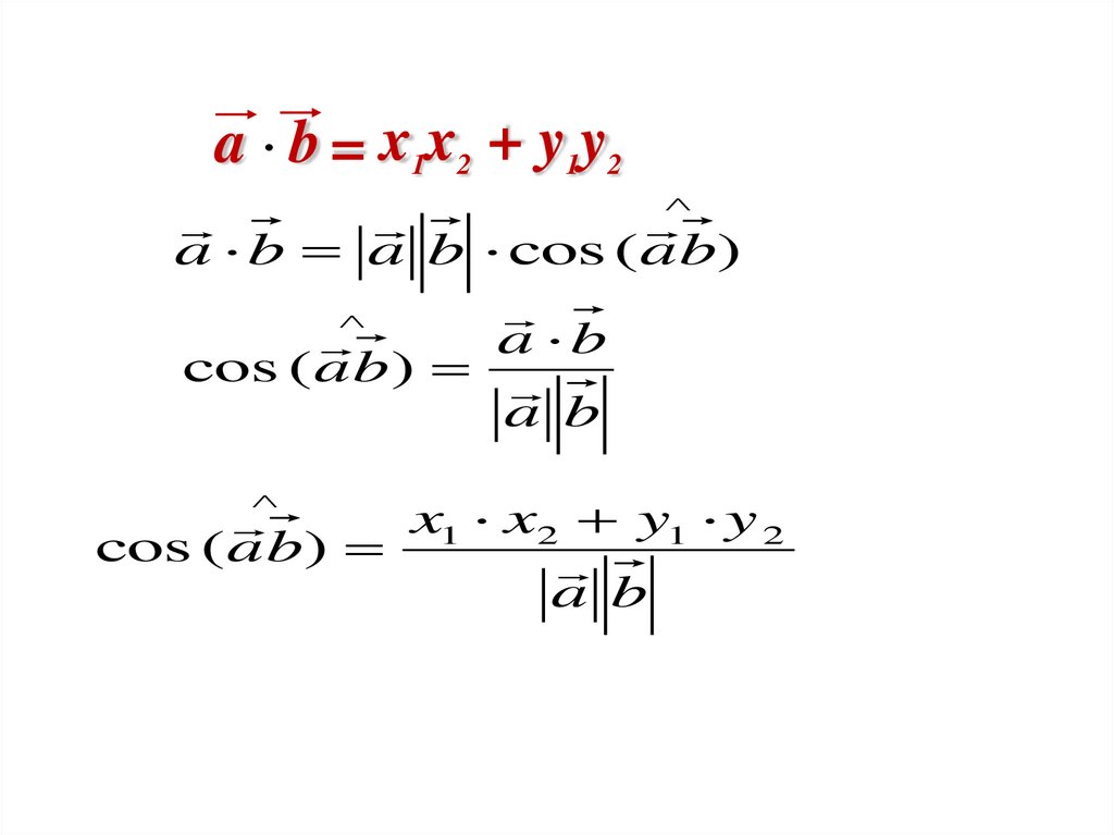
Формула для нахождения
скалярного произведения
через координаты векторов
a = x 1 i + y1 j
a b= ?
b = x2 i + y2 j
a b= (x1 i + y1 j) (x2 i + y2 j) =
= x1x2 + y1y2
a b = x1x2 + y1y2

18.

Пример №1
Найти скалярное произведение векторов:
a {-6; 9}
b {-1; 0}
a b= x1x2 + y1y2
a b= -6 (-1) + 9 0 = 6

19.

Пример №2
Найти скалярное произведение векторов:
a {0; 0}
b {22; 1}
a b= x1x2 + y1y2
a b= 0 22 + 0 1 = 0

20. Вычислите скалярное произведение векторов:

a b
1.
a(1,1); b(1,2)
2.
a(-2,5); b(-9,-2) a b
3.
a(-3,4); b(4,5)
4.
a(5,2); b(-9,4)
5.
a(-1,1); b(1,1)
a b
a b
a b
1 1 1 2
3
2 ( 9) 5 ( 2)
8
3 4 4 5
8
5 ( 9) 2 4
37
1 1 1 1
0

21.

a b = x1x2 + y1y2
a b a b cos (a b)
a b
cos ( a b)
a b
x1 x2 y1 y 2
cos ( a b)
a b

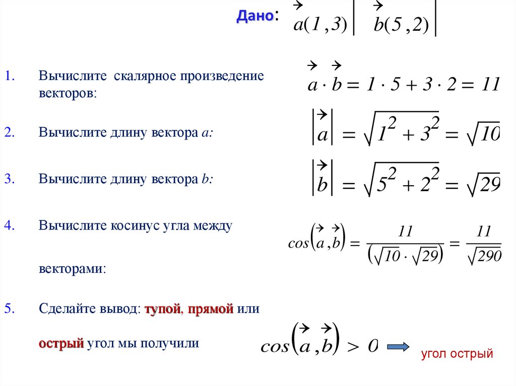
22. Дано:

a( 1 3) b( 5 2)
1.
Вычислите скалярное произведение
векторов:
2.
Вычислите длину вектора a:
3.
Вычислите длину вектора b:
4.
Вычислите косинус угла между
a b
a
b
cos a b
векторами:
5.
Сделайте вывод: тупой, прямой или
острый угол мы получили
1 5 3 2
2
2
2
2
1 3
11
10
5 2
29
11
11
10 29
cos a b 0
290
угол острый

23. Устно:

1. cos 450 =
2. tg 450 =
3. cos 600 =
4. sin 300 =
5. sin 600 =
6. sin 900 =
7. cos 900 =
8. tg 450 =
9. tg 900 =
10. sin2 x + cos2 y =

24. Диктант Даны точки A(2; -3), B(-1; 2), С(0; -4)

AB
BC
1. Найдите координаты вектора AB
2. Найдите координаты вектора ВС
( 3 5)
( 1 6)
3. Найдите длину вектора AB
AB
( 3) 5
4. Найдите длину вектора BC
BC
1 ( 6)
5. Произведение 5 · AB :
5 AB
2
2
2
2
34
37
( 15 25)
English     Русский Rules