Гомологи бензола и их производные
Бензол Электронное строение
Механизм электрофильного замещения
Правила ориентации в бензольном кольце
Правила ориентации в бензольном кольце
Строение толуола С6Н5-СН3
Взаимное влияние в молекуле толуола
Галогенирование Хлорирование
Алкилирование толуола
Алкилирование гомологов бензола
Ацилирование
гидрирование
разложение
Реакции окисления
РЕАКЦИИ ОКИСЛЕНИЯ ГОМОЛОГОВ БЕНЗОЛА
Полное окисление
Получение гомологов бензола
дегидрирование
получение
применение
Решить генетическую связь
3.25M
Category: chemistrychemistry

Гомологи бензола !!!Производные бензола

1. Гомологи бензола и их производные

ГОМОЛОГИ
БЕНЗОЛА
И ИХ ПРОИЗВОДНЫЕ
10 КЛАСС

2.

2

3.

3

4. Бензол Электронное строение

БЕНЗОЛ ЭЛЕКТРОННОЕ СТРОЕНИЕ
4

5.

5

6. Механизм электрофильного замещения

МЕХАНИЗМ ЭЛЕКТРОФИЛЬНОГО
ЗАМЕЩЕНИЯ
6

7.

7

8. Правила ориентации в бензольном кольце

ПРАВИЛА ОРИЕНТАЦИИ
В БЕНЗОЛЬНОМ КОЛЬЦЕ
Заместители I рода
Являются
ДОНОРАМИ
электронной
плотности,
ориентируют в
ОРТА- И ПАРАположениях в
бензольном кольце.
По сравнению с бензолом
УСКОРЯЮТ реакции
замещения.
8

9. Правила ориентации в бензольном кольце

ПРАВИЛА ОРИЕНТАЦИИ
В БЕНЗОЛЬНОМ КОЛЬЦЕ
Заместители II рода
Являются
АКЦЕПТОРАМИ
электронной плотности,
ориентируют в
МЕТА -положение
в бензольном кольце.
По сравнению с
бензолом ЗАМЕДЛЯЮТ
реакции замещения.
9

10.

10

11.

11

12.

12

13.

13

14.

14

15. Строение толуола С6Н5-СН3

СТРОЕНИЕ ТОЛУОЛА С 6 Н 5 -СН 3
15

16.

16

17.

17

18. Взаимное влияние в молекуле толуола

ВЗАИМНОЕ ВЛИЯНИЕ В МОЛЕКУЛЕ
ТОЛУОЛА
18

19. Галогенирование Хлорирование

ГАЛОГЕНИРОВАНИЕ
ХЛОРИРОВАНИЕ
19

20.

20

21.

21

22.

22

23.

23

24.

24

25.

25

26.

26

27. Алкилирование толуола

АЛКИЛИРОВАНИЕ ТОЛУОЛА
27

28. Алкилирование гомологов бензола

АЛКИЛИРОВАНИЕ ГОМОЛОГОВ
БЕНЗОЛА
28

29. Ацилирование

АЦИЛИРОВАНИЕ
29

30.

30

31.

31

32.

32

33. гидрирование

ГИДРИРОВАНИЕ
2000С
33

34. разложение

РАЗЛОЖЕНИЕ
34

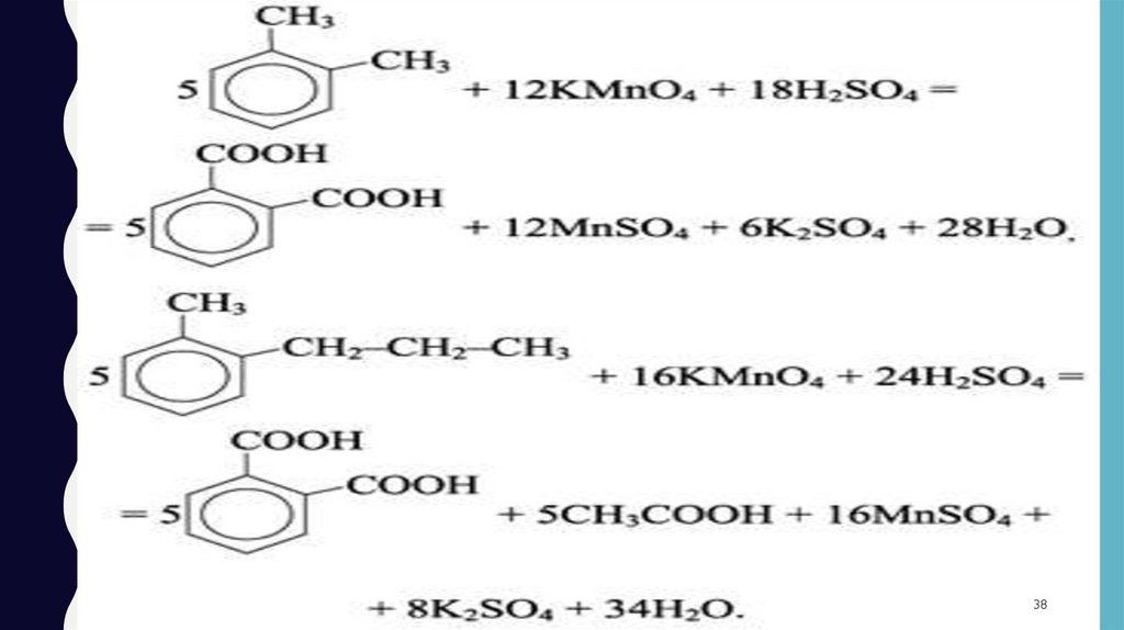
35. Реакции окисления

РЕАКЦИИ ОКИСЛЕНИЯ
Реакции окисления.
Толуол, в отличие от метана, окисляется в мягких условиях
(обесцвечивает подкисленный раствор KMnO4 при
нагревании):
В толуоле окисляется не бензольное кольцо, а метильный
радикал.
35

36.

36

37. РЕАКЦИИ ОКИСЛЕНИЯ ГОМОЛОГОВ БЕНЗОЛА

Толуол
(C6H5CH3)
Нейтральная Бензоат калия
( C6H5COOK)
Кислотная
Этилбензол
(C6H5CH2CH3)
Бензойная кислота
( C6H5COOH)
Нейтральная C6H5COOK+ K2CO3
Кислотная
C6H5COOH + CO2
37

38.

38

39. Полное окисление

ПОЛНОЕ ОКИСЛЕНИЕ
Горение.
C6H5 - СН3+ O2 CO2 + H2O
(коптящее пламя).
39

40. Получение гомологов бензола

ПОЛУЧЕНИЕ ГОМОЛОГОВ БЕНЗОЛА
40

41. дегидрирование

ДЕГИДРИРОВАНИЕ
41

42. получение

ПОЛУЧЕНИЕ
42

43.

43

44. применение

ПРИМЕНЕНИЕ
Толуол С6Н5-СН3 применяется в производстве
красителей, лекарственных и взрывчатых веществ
(тротил, тол).
Ксилолы С6Н4(СН3)2 в виде смеси трех изомеров
(орто-, мета- и пара-ксилолов) – технический ксилол –
применяется как растворитель и исходный продукт
для синтеза многих органических соединений.
Изопропилбензол (кумол) С6Н4-СН(СН3)2 – исходное
вещество для получения фенола и ацетона.
Винилбензол (стирол) C6H5-CН=СН2 используется для
получения ценного полимерного материала
полистирола
44

45.

45

46. Решить генетическую связь

РЕШИТЬ
ГЕНЕТИЧЕСКУЮ
СВЯЗЬ
СПАСИБО ЗА ВНИМАНИЕ
46
English     Русский Rules