Неусыпный труд препятствия преодолевает...
Тема урока: Умножение многочлена на многочлен
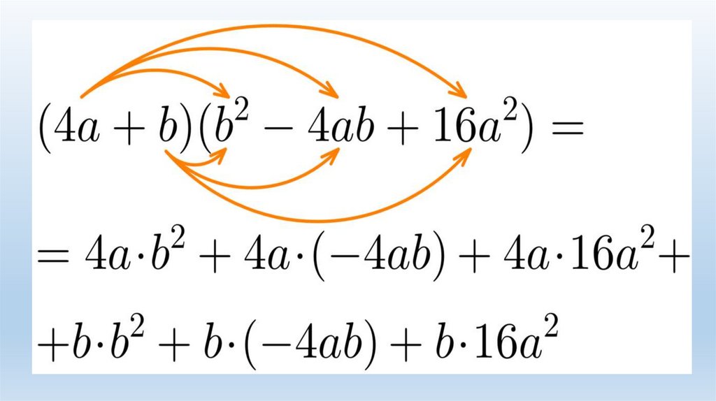
Правило Чтобы умножить многочлен на многочлен, нужно каждый член одного многочлена умножить на каждый член другого многочлена и
Пример 1. Выполнить умножение:
Пример 3. Решить уравнение
Самостоятельная работа (отправить скрин данной работы в ЛС)
1.57M
Category: mathematicsmathematics

Презентация по алгебре на тему _Умножение многочлена на многочлен_12.12 7 кл

1. Неусыпный труд препятствия преодолевает...

Михаил Васильевич Ломоносов
(1711 – 1765) – великий русский
ученый.

2. Тема урока: Умножение многочлена на многочлен

3. Правило Чтобы умножить многочлен на многочлен, нужно каждый член одного многочлена умножить на каждый член другого многочлена и

полученные результаты сложить.

4. Пример 1. Выполнить умножение:

1) (3a – 2b)(2a + 3b) = 3a · 2a + 3a · 3b + (– 2b) · 2a + (– 2b) · 3b =
= 6a2 + 9ab – 4 ab – 6b2 = 6a2 + 5ab – 6b2.
Пример 2. Упростить выражение (2х – 3)(5 – х) – 3х(4 – х).
(2х – 3)(5 – х) – 3х(4 – х) =
= 2х · 5 + 2х · (-х) + (-3) · 5 + (-3) · (-х) – 3х · 4 – 3х · (-х)=
= 10х – 2х2 – 15 + 3х – 12х + 3х2 = х2 + х – 15.

5. Пример 3. Решить уравнение

(2х + 4)(4х - 12) = 8 х2
(2х + 4)(4х - 12) = 8 х2
8 х2 – 24х + 16х – 48 - 8 х2 = 0
-8х – 48 = 0
-8х = 48
х = 48 : (-8)
х = -6.

6.

7.

8. Самостоятельная работа (отправить скрин данной работы в ЛС)

1.Запишите в виде многочлена
а)
б)
х ху у х у
2
2
х у х 2 ху у 2
2. Упростите выражение
а) 3в 2 5 2в 6в 2
б)
7в 4 2в 3 13в
3. Решите уравнение
а) 3х 1 5 х 4 15 х 2 17
б) 12 х х 3 6 х х 2

9.

Домашнее задание
Изучить п.29
выполнить № 694 (а,в,д)
№ 697 (б, г)
English     Русский Rules