340.55K

Неклюдов Бубнов

1.

УЛУЧШЕНИЕ
СХОДИМОСТИ МЕТОДА
БУБНОВА-ГАЛЁРКИНА
Неклюдов Владимир Михайлович
Саратовский государственный технический
университет имени Ю.А. Гагарина, Россия, г. Саратов

2.

Рассмотрим квадратную в плане пластинку (рис.1) под
действием равномерно распределенной нагрузку.
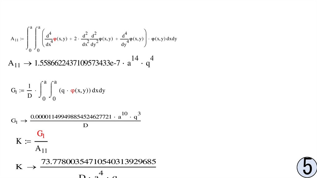
Задачу будем решать в безразмерном виде методом
Бубнова-Галеркина. [1].
Дифференциальное уравнение изгиба пластинки имеет
вид:
4
D∇ w – q = 0
Рис. 1. Схема пластины
1

3.

Решение дифференциального уравнения осуществляем методом Бубнова-Галёркина,
безразмерное приближенное выражение прогиба пластинки будем искать в виде:
English     Русский Rules