2.45M
Category: chemistrychemistry

1_Сера_соед серы вприроде

1.

Сера,
соединения серы

2.

Немало сера знаменита,
И в древности её Гомер воспел,
С ней много тысяч лет прожито,
И человек в ней пользу разглядел.

3.

S 16+
2
O
18
6
ЭО = 3,44
Степени окисления
S
ЭО = 2,58
+4
+6
-2

4.

Сравнение строения атома кислорода и серы
2p4
О
+8
))
2
2s2
1s2
6
с.о. −2
Для кислорода, атомы которого не имеют близких по значению энергии
вакантных d-орбиталей степень окисления −2 характерна для большинства
соединений. (искл. Н2О2 – степень окисления −1, OF2 − степень окисления +2
S
+16
)))
2
8
6
3p4
3s2
2s2
1s2
3d 0
с.о. −2
с.о. +2
ОF2
2p6
В атомах серы и других халькогенах появляются пять вакантных d
орбиталей, на которые и могут перейти в результате распаривания спаренные
s- и p-электроны внешнего уровня:
с.о. +4
с.о. +6

5.

Аллотропные модификации серы
ромбическая
моноклинная
пластическая
Tпл. 112,8 0С
S8
Хрупкое,
жёлтое вещество.
Легко измельчается
в порошок.
Это игольчатые
кристаллы.
Tпл. 119,3 0С.
Резиноподобная масса
тёмно-коричневого цвета.

6.

Сера не растворяется в воде.
Кристаллы серы в воде тонут, а
порошок плавает по поверхности.
Сера хорошо растворима в
сероуглероде.

7.

Сера не растворяется в воде.
Кристаллы серы в воде тонут, а
порошок плавает по поверхности.
Сера хорошо растворима в
сероуглероде.

8.

Сера не растворяется в воде.
Кристаллы серы в воде тонут, а
порошок плавает по поверхности.
Сера хорошо растворима в
сероуглероде.

9.

«Сира» означает светло-желтый
В Древнем Египте сера
применялась для приготовления
красок, беления тканей,
изготовления косметических
средств

10.

«Сира» означает светло-желтый
В Древнем Египте сера
применялась для приготовления
красок, беления тканей,
изготовления косметических
средств

11.

в Древнем Риме серу применяли для
лечения кожных болезней.
В Древней Греции ее сжигали с
целью дезинфекции воздуха в
помещении.

12.

в Древнем Риме серу применяли для
лечения кожных болезней.
В Древней Греции ее сжигали с
целью дезинфекции воздуха в
помещении.

13.

Сера и роман А. Дюма «Граф Монте-Кристо».
В романе Дюма «Граф Монте-Kристо» аббат Фариа притворился, что у него кожная
болезнь. Ему для лечения дали серу, которую он в дальнейшем использовал для
изготовления пороха.

14.

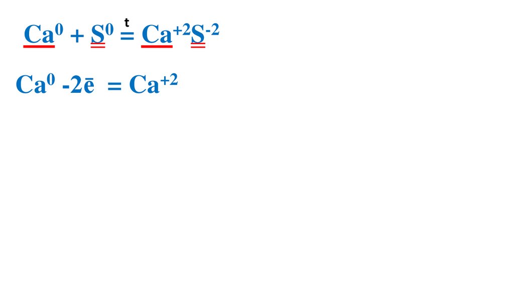
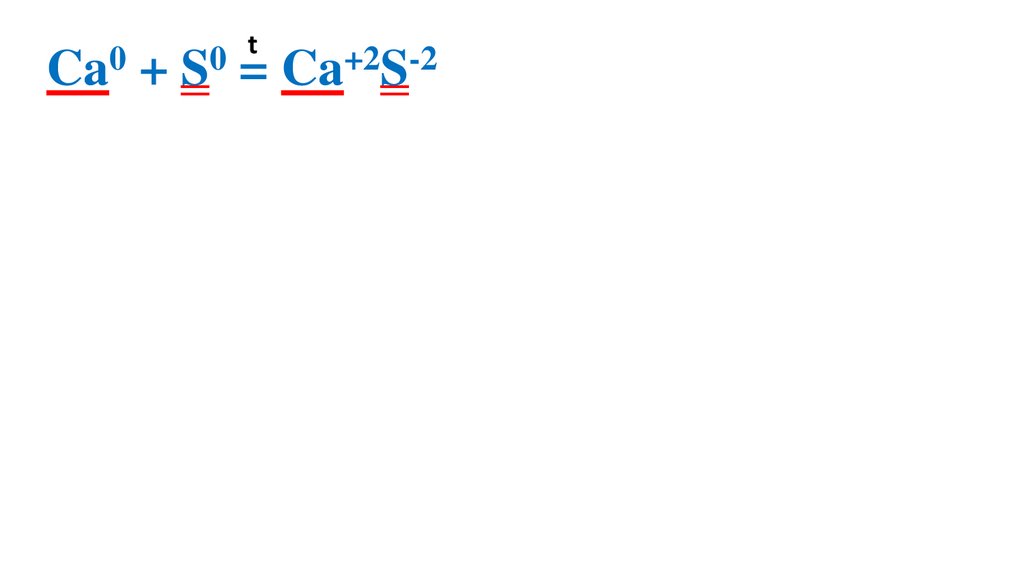
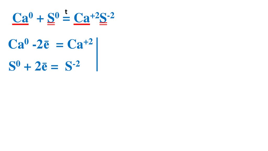
Взаимодействие серы с
металлами

15.

t
0
0
Ca + S = Ca+2S-2
Ca0 -2ē
= Ca+2 2
S0 + 2ē =
S-2
2
2
1 Ca0 –вос-ль, ок-ся
1 S0 –ок-ль, вос-ся

16.

t
0
0
Ca + S = Ca+2S-2
Ca0 -2ē
= Ca+2 2
S0 + 2ē =
S-2
2
2
1 Ca0 –вос-ль, ок-ся
1 S0 –ок-ль, вос-ся

17.

t
0
0
Ca + S = Ca+2S-2
Ca0 -2ē
= Ca+2 2
S0 + 2ē =
S-2
2
2
1 Ca0 –вос-ль, ок-ся
1 S0 –ок-ль, вос-ся

18.

t
0
0
Ca + S = Ca+2S-2
Ca0 -2ē
= Ca+2 2
S0 + 2ē =
S-2
2
2
1 Ca0 –вос-ль, ок-ся
1 S0 –ок-ль, вос-ся

19.

t
0
0
Ca + S = Ca+2S-2
Ca0 -2ē
= Ca+2 2
S0 + 2ē =
S-2
2
2
1 Ca0 –вос-ль, ок-ся
1 S0 –ок-ль, вос-ся

20.

t
0
0
Ca + S = Ca+2S-2
Ca0 -2ē
= Ca+2 2
S0 + 2ē =
S-2
2
2
1 Ca0 –вос-ль, ок-ся
1 S0 –ок-ль, вос-ся

21.

t
0
0
Ca + S = Ca+2S-2
Ca0 -2ē
= Ca+2 2
S0 + 2ē =
S-2
2
2
1 Ca0 –вос-ль, ок-ся
1 S0 –ок-ль, вос-ся

22.

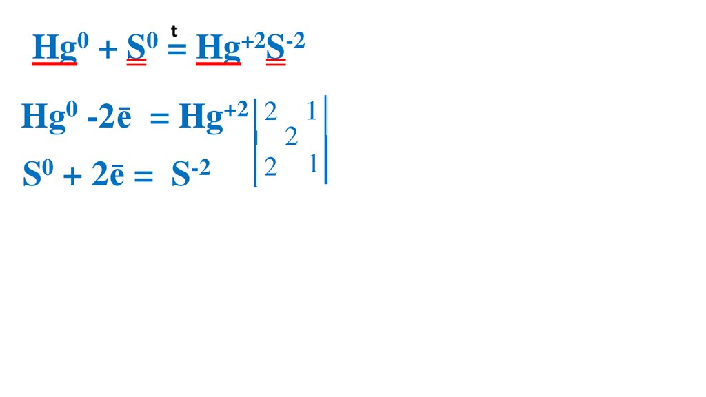
Взаимодействие серы с
ртутью

23.

t
0
0
Hg + S = Hg+2S-2
Hg0 -2ē
= Hg+2 2
S0 + 2ē =
S-2
2
2
1 Hg0 –вос-ль, ок-ся
1 S0 –ок-ль, вос-ся
Демеркуризация — удаление и обезвреживание ртути и её
соединений с помощью серы.

24.

t
0
0
Hg + S = Hg+2S-2
Hg0 -2ē
= Hg+2 2
S0 + 2ē =
S-2
2
2
1 Hg0 –вос-ль, ок-ся
1 S0 –ок-ль, вос-ся
Демеркуризация — удаление и обезвреживание ртути и её
соединений с помощью серы.

25.

t
0
0
Hg + S = Hg+2S-2
Hg0 -2ē
= Hg+2 2
S0 + 2ē =
S-2
2
2
1 Hg0 –вос-ль, ок-ся
1 S0 –ок-ль, вос-ся
Демеркуризация — удаление и обезвреживание ртути и её
соединений с помощью серы.

26.

t
0
0
Hg + S = Hg+2S-2
Hg0 -2ē
= Hg+2 2
S0 + 2ē =
S-2
2
2
1 Hg0 –вос-ль, ок-ся
1 S0 –ок-ль, вос-ся
Демеркуризация — удаление и обезвреживание ртути и её
соединений с помощью серы.

27.

t
0
0
Hg + S = Hg+2S-2
Hg0 -2ē
= Hg+2 2
S0 + 2ē =
S-2
2
2
1 Hg0 –вос-ль, ок-ся
1 S0 –ок-ль, вос-ся
Демеркуризация — удаление и обезвреживание ртути и её
соединений с помощью серы.

28.

t
0
0
Hg + S = Hg+2S-2
Hg0 -2ē
= Hg+2 2
S0 + 2ē =
S-2
2
2
1 Hg0 –вос-ль, ок-ся
1 S0 –ок-ль, вос-ся
Демеркуризация — удаление и обезвреживание ртути и её
соединений с помощью серы.

29.

t
0
0
Hg + S = Hg+2S-2
Hg0 -2ē
= Hg+2 2
S0 + 2ē =
S-2
2
2
1 Hg0 –вос-ль, ок-ся
1 S0 –ок-ль, вос-ся
Демеркуризация — удаление и обезвреживание ртути и её
соединений с помощью серы.

30.

t
0
0
Hg + S = Hg+2S-2
Hg0 -2ē
= Hg+2 2
S0 + 2ē =
S-2
2
2
1 Hg0 –вос-ль, ок-ся
1 S0 –ок-ль, вос-ся
Демеркуризация — удаление и обезвреживание ртути и её
соединений с помощью серы.

31.

Взаимодействие серы с
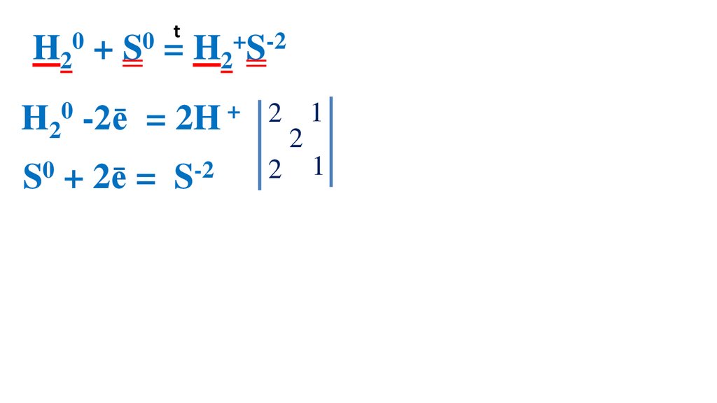
водородом

32.

t
0
0
H2 + S = H2+S-2
H20 -2ē
= 2H +
S0 + 2ē = S-2
2 1 H20 –вос-ль, ок-ся
2
2 1 S0 –ок-ль, вос-ся

33.

t
0
0
H2 + S = H2+S-2
H20 -2ē
= 2H +
S0 + 2ē = S-2
2 1 H20 –вос-ль, ок-ся
2
2 1 S0 –ок-ль, вос-ся

34.

t
0
0
H2 + S = H2+S-2
H20 -2ē
= 2H +
S0 + 2ē = S-2
2 1 H20 –вос-ль, ок-ся
2
2 1 S0 –ок-ль, вос-ся

35.

t
0
0
H2 + S = H2+S-2
H20 -2ē
= 2H +
S0 + 2ē = S-2
2 1 H20 –вос-ль, ок-ся
2
2 1 S0 –ок-ль, вос-ся

36.

t
0
0
H2 + S = H2+S-2
H20 -2ē
= 2H +
S0 + 2ē = S-2
2 1 H20 –вос-ль, ок-ся
2
2 1 S0 –ок-ль, вос-ся

37.

t
0
0
H2 + S = H2+S-2
H20 -2ē
= 2H +
S0 + 2ē = S-2
2 1 H20 –вос-ль, ок-ся
2
2 1 S0 –ок-ль, вос-ся

38.

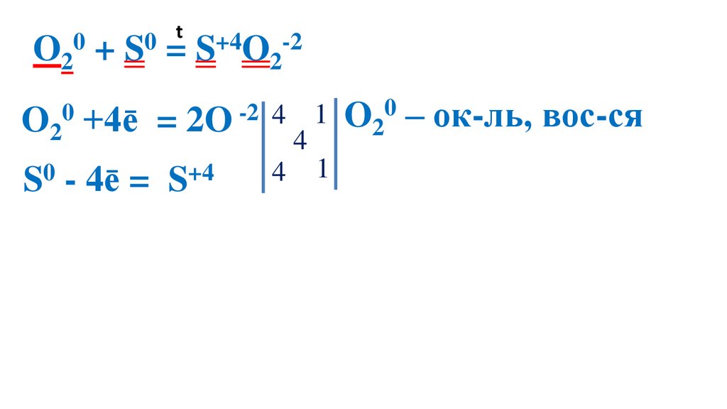
Взаимодействие серы с
кислородом

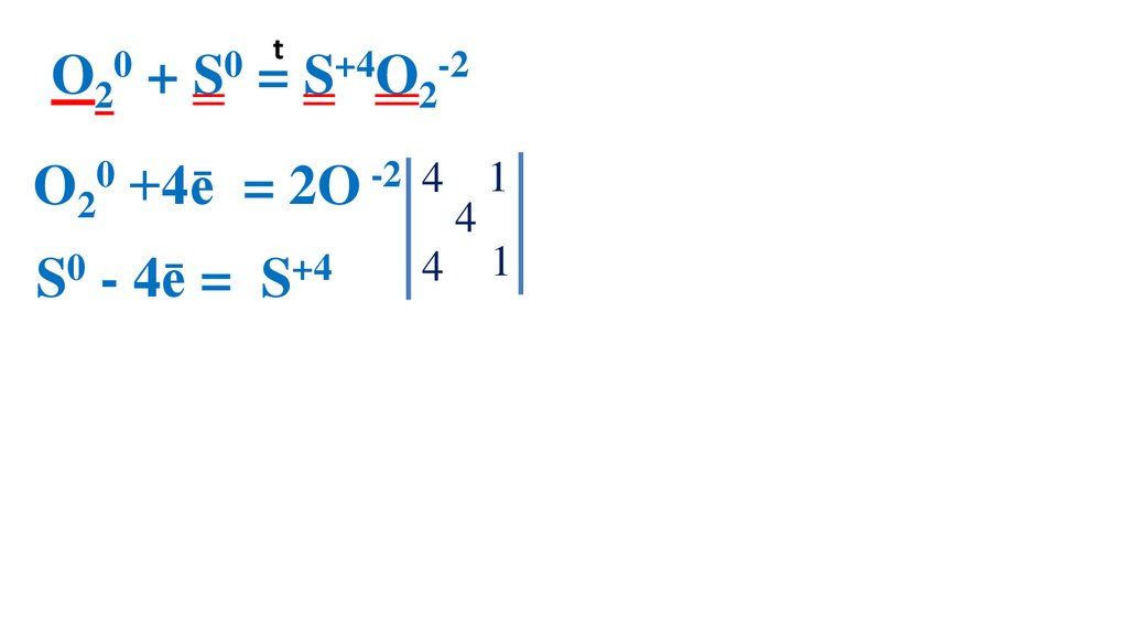
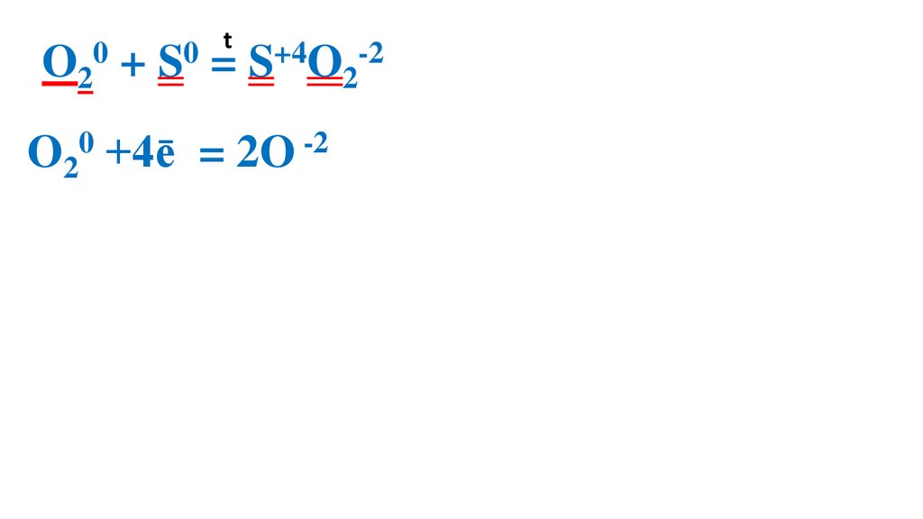
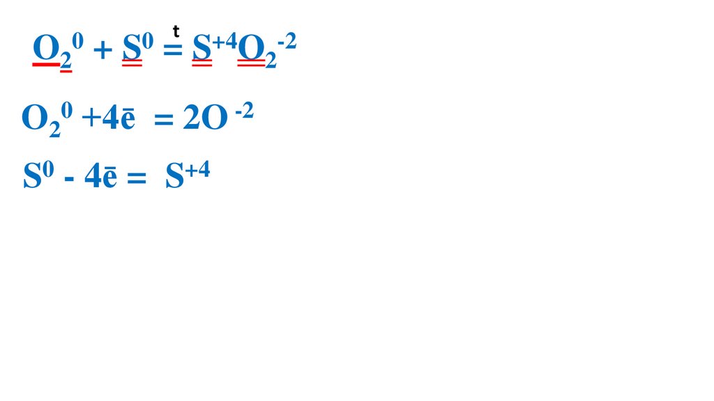
39.

t
0
0
O2 + S = S+4O2-2
O20 +4ē
= 2O -2 4
S0 - 4ē =
S+4
4
4
1 O20 – ок-ль, вос-ся
1 S0 –вос-ль, ок-ся

40.

t
0
0
O2 + S = S+4O2-2
O20 +4ē
= 2O -2 4
S0 - 4ē =
S+4
4
4
1 O20 – ок-ль, вос-ся
1 S0 –вос-ль, ок-ся

41.

t
0
0
O2 + S = S+4O2-2
O20 +4ē
= 2O -2 4
S0 - 4ē =
S+4
4
4
1 O20 – ок-ль, вос-ся
1 S0 –вос-ль, ок-ся

42.

t
0
0
O2 + S = S+4O2-2
O20 +4ē
= 2O -2 4
S0 - 4ē =
S+4
4
4
1 O20 – ок-ль, вос-ся
1 S0 –вос-ль, ок-ся

43.

t
0
0
O2 + S = S+4O2-2
O20 +4ē
= 2O -2 4
S0 - 4ē =
S+4
4
4
1 O20 – ок-ль, вос-ся
1 S0 –вос-ль, ок-ся

44.

t
0
0
O2 + S = S+4O2-2
O20 +4ē
= 2O -2 4
S0 - 4ē =
S+4
4
4
1 O20 – ок-ль, вос-ся
1 S0 –вос-ль, ок-ся

45.

ZnS-цинковая обманка
CuS-медный блеск
HgS-киноварь
глауберова соль
Соединения
серы CaSO ·2H O-гипс
PbS-свинцовый
4
блеск
FeS2-пирит
2
английская соль

46.

ZnS-цинковая обманка
CuS-медный блеск
HgS-киноварь
глауберова соль
Соединения
серы CaSO ·2H O-гипс
PbS-свинцовый
4
блеск
FeS2-пирит
2
английская соль

47.

ZnS-цинковая обманка
CuS-медный блеск
HgS-киноварь
глауберова соль
Соединения
серы CaSO ·2H O-гипс
PbS-свинцовый
4
блеск
FeS2-пирит
2
английская соль

48.

ZnS-цинковая обманка
CuS-медный блеск
HgS-киноварь
глауберова соль
Соединения
серы CaSO ·2H O-гипс
PbS-свинцовый
4
блеск
FeS2-пирит
2
английская соль

49.

ZnS-цинковая обманка
CuS-медный блеск
HgS-киноварь
глауберова соль
Соединения
серы CaSO ·2H O-гипс
PbS-свинцовый
4
блеск
FeS2-пирит
2
английская соль

50.

ZnS-цинковая обманка
CuS-медный блеск
HgS-киноварь
глауберова соль
Соединения
серы CaSO ·2H O-гипс
PbS-свинцовый
4
блеск
FeS2-пирит
2
английская соль

51.

ZnS-цинковая обманка
CuS-медный блеск
HgS-киноварь
глауберова соль
Соединения
серы CaSO ·2H O-гипс
PbS-свинцовый
4
блеск
FeS2-пирит
2
английская соль

52.

ZnS-цинковая обманка
CuS-медный блеск
HgS-киноварь
глауберова соль
Соединения
серы CaSO ·2H O-гипс
PbS-свинцовый
4
блеск
FeS2-пирит
2
английская соль

53.

ZnS-цинковая обманка
CuS-медный блеск
HgS-киноварь
глауберова соль
Соединения
серы CaSO ·2H O-гипс
PbS-свинцовый
4
блеск
FeS2-пирит
2
английская соль

54.

Сера входит в состав белков.
Сера входит в состав гормонов и витаминов.
Сера участвует в окислительно-восстановительных
процессах организма.

55.

Применение серы

56.

Сероводород

57.

Сероводород представляет собой
бесцветный газ с резким запахом.
Он ядовит и вызывает отравление даже
при незначительном содержании в
воздухе.
H2S
Сероводород
В одном объёме воды растворяется
2,5 объёма сероводорода.
Сероводород может накапливаться в
организме.

58.

Сероводород входит в состав некоторых
минеральных вод.
Сероводород содержится в
вулканических газах и постоянно
образуется на дне Черного моря.
H2S
Сероводород
Он образуется при гниении белка.
При растворении в воде сероводорода
образуется слабая сероводородная
кислота.

59.

Соли сероводородной кислоты
называют сульфидами.
H2S
Сероводород
Сульфиды щелочных и
щелочноземельных металлов и
сульфида аммония хорошо растворимы
в воде.
ZnS
PbS
MnS

60.

Получение сероводорода в
лаборатории

61.

FeS + 2HCl = FeCl2 + H2S↑
н
р
р
н
FeS + 2H++2Cl- = Fe+2+2Cl- + H2S↑
FeS + 2H+= Fe+2+ H2S↑

62.

FeS + 2HCl = FeCl2 + H2S↑
н
р
р
н
FeS + 2H++2Cl- = Fe+2+2Cl- + H2S↑
FeS + 2H+= Fe+2+ H2S↑

63.

FeS + 2HCl = FeCl2 + H2S↑
н
р
р
н
FeS + 2H++2Cl- = Fe+2+2Cl- + H2S↑
FeS + 2H+= Fe+2+ H2S↑

64.

FeS + 2HCl = FeCl2 + H2S↑
н
р
р
н
FeS + 2H++2Cl- = Fe+2+2Cl- + H2S↑
FeS + 2H+= Fe+2+ H2S↑

65.

FeS + 2HCl = FeCl2 + H2S↑
н
р
р
н
FeS + 2H++2Cl- = Fe+2+2Cl- + H2S↑
FeS + 2H+= Fe+2+ H2S↑

66.

FeS + 2HCl = FeCl2 + H2S↑
н
р
р
н
FeS + 2H++2Cl- = Fe+2+2Cl- + H2S↑
FeS + 2H+= Fe+2+ H2S↑

67.

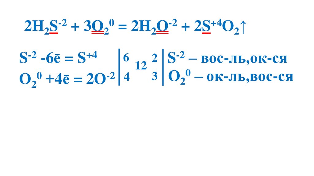
Горение сероводорода

68.

2H2S-2 + 3O20 = 2H2O-2 + 2S+4O2↑
6
2 S-2 – вос-ль,ок-ся
S-2 -6ē = S+4
12
0 – ок-ль,вос-ся
0
-2
3
4
O
O2 +4ē = 2O
2

69.

2H2S + O2 = 2H2O + 2S↓

70.

Раствор сероводорода в воде – сероводородная кислота.
Диссоциация сероводородной кислоты:
H2S ↔ H+ + HSHS- ↔ H+ + S2-
Качественная реакция:
S2- + Pb2+ = PbS↓

71.

Оксид серы (IV)

72.

t
S + O2 = SO2
Это бесцветный газ с резким запахом.
Тяжелее воздуха.
Ядовит.
Получение в
промышленности
Получение в
лаборатории
t
2ZnS + 3O2 = 2ZnO + 2SO2↑
Na2SO3 + 2H2SO4 = 2NaHSO4 + H2O + SO2↑

73.

Оксид серы (IV) – кислотный оксид.
При растворении в воде образует сернистую
кислоту.
H2O + SO2 ↔ H2SO3
Соли сернистой кислоты называются
сульфитами.
Сернистая кислота может образовывать средние и
кислые соли.
Na2SO3 – сульфит натрия
NaHSO3 – гидросульфит натрия

74.

Обобщение

75.

Сера – элемент VIA группы.
У серы 6 электронов на внешнем энергетическом уровне.
В соединениях сера проявляет степени окисления +4, +6,
-2.
Сера проявляет восстановительные и окислительные
свойства.
Для серы характерны аллотропные модификации.

76.

Сера в природе находится в свободном состоянии и в
виде соединений.
Наиболее распространёнными соединениями серы
является оксид серы (IV) и сероводород.
Сера и её соединения находят широкое применение во
многих областях народного хозяйства.
English     Русский Rules