Эпиграф
Бейне материал: http://www.youtube.com/watch?v=lP57gEWcisY немесе http://www.youtube.com/watch?v=qK8irNKO9jc
Қане,тексерейік!
Жұптық жұмыс
Қане, тексерейік!
Үйге тапсырма:
Рефлексия: 1. Изотоп дегеніміз не? 2. Төменде берілген қай элементтің изотоптары екенін анықтап, әр қайсысын символмен
9.40M
Category: chemistrychemistry

№4 Изотоптар

1. Эпиграф


Эпиграф

2.

Өсу
сенім
Даму
сәттілік
еңбек
еңбек
жеңіс
еңбек
Даму
Білім
Жетістік
Шабыт

3.

Тапсырма: жұбыңызбен талқылай отырып, бос орындарды
толтырыңыз.

4.

5.

6.

Сутек атомында 1 протон
Литий атомында 3 протон
Гелий атомында 2 протон

7.

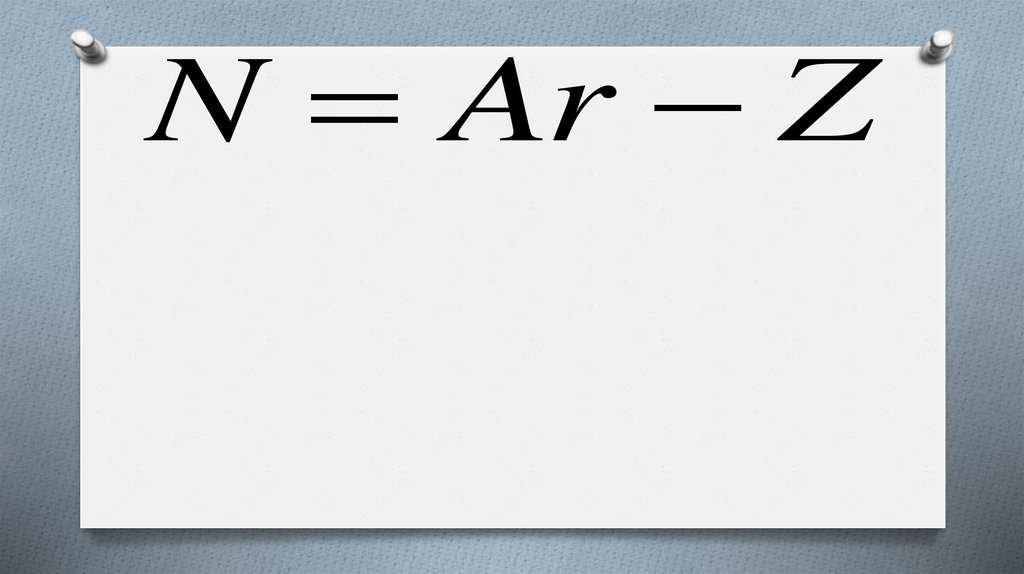
Ar Z N
Ar – элементтің салыстырмалы атомдық
массасы.
Z – оның реттік нөмірі.
N – нейтрондар саны.

8.

N Ar Z

9.

35
17
16
8
Cl (17 p,18n)17e
O (8 p,8n)8e

10.

Ядроларында протон саны
бірдей бірақ массалары әр
түрлі, белгілі бір элементті
құрайтын атомдар –
(Изотоп грекше «Бір орынға
орналасушы» деген мағнаны
білдіреді).
деп атайды.

11.

Мысалы табиғатта кездесетін
35
хлордың 75,53% - і Clизотопта
37
және 24,47% - і Clизотоптан
тұрады. Олай болса хлордың
орташа атомдық массасы:

12.

13.

14.

15.

16.

Химия жаңалықтары
е
л
э
к
т
ат
о
м
р о н
Протон
ядро
нейтрон
Бөлшек
Белгілері
Протон
р+
+1
Атомдық
массасы
1
Нейтрон
n0
0
1
Электрон
e
-1
0
-
Заряд
Электр бейтарап

17.

Ar=

18.

Химиялық элементтердің
периодтық жүйесі
Элементердің реттік нөмірі
Химиялық элементтердің
атом құрылысы
Ядро заряды протон саны және
электрондар санына тең

19. Бейне материал: http://www.youtube.com/watch?v=lP57gEWcisY немесе http://www.youtube.com/watch?v=qK8irNKO9jc

O Бейне материал бойынша тапсырманы жеке
орындаңыз.

20. Қане,тексерейік!

21.

22.

3-тапсырма
Элементтердің атомдарындағы электрон, протон, нейтрон
сандарын, салыстырмалы атомдық массасын, аталуын анықтаңыз:
а) B b) F c) Al d) S.

23. Жұптық жұмыс

24. Қане, тексерейік!

25. Үйге тапсырма:

O Оқушының білімін кеңейтуге үйде бір химиялық
элементтің атом құрамын моделдеу сұралады
(алғашқы 20 элементтен).

26. Рефлексия: 1. Изотоп дегеніміз не? 2. Төменде берілген қай элементтің изотоптары екенін анықтап, әр қайсысын символмен

көрсетіп, жазыңыз
English     Русский Rules