1.11M
Similar presentations:
Численные методы решения уравнений
Решение нелинейных уравнений
Решение нелинейных уравнений
Метод хорд. Метод касательных. Метод простой итерации
Постановка задачи локализации корней. Численные методы решения уравнений
Решение нелинейных уравнений
Нелинейные уравнения
Решение нелинейных уравнений
Решение алгебраических и трансцендентных уравнений
Решение нелинейных уравнений
метод хорд и касательных
1.
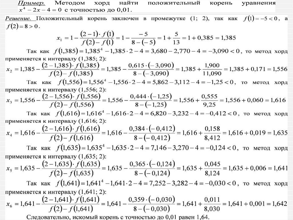
Метод хорд.
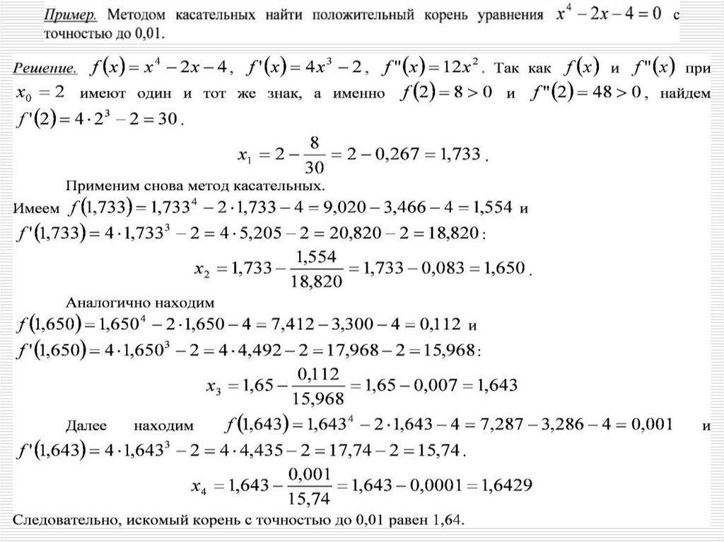
Метод касательных.
Метод простой итерации.
2.
Метод хорд.
3.
Метод хорд.
4.
5.
Метод касательных.
6.
Метод касательных.
7.
8.
Метод итераций.
English
Русский
Rules