Понятие предела функции
Предел функции в точке
Определение:
Примеры функций, имеющих предел в точке
Свойства предела функции
Примеры вычисления предела функции в точке:
Раскрытие неопределенности
Предел функции на бесконечности
Обозначение
СВОЙСТВА ПРЕДЕЛОВ
1. Пример
Замечательные пределы
Примеры
340.24K
Category: mathematicsmathematics

Понятие предела функции

1. Понятие предела функции

2. Предел функции в точке

• Пусть даны две переменные величины X и
Y, связанные функциональной
зависимостью Y f X , которая
определена в некоторой окрестности
точки а, кроме, быть может, самой
точки а.
у
b
О
а
х

3. Определение:

• Число b называется пределом
функции f(x) в точке a, если для всех
значений x, достаточно близких к а и
отличных от а, значение функции f(x)
сколь угодно мало отличаются от b.
• у
Обозначается предел:
lim f ( x) b
b+ε
b
b-ε
x a
а
О
а-δ
а+δ
х

4.

• Все основные элементарные функции:
постоянные, степенная функция (хα),
показательная функция (ax),
тригонометрические функции
(sinx, cosx, tgx и ctgx) и обратные
тригонометрические функции
(arcsinx, arccosx, arctgx и arcctgx) во всех
внутренних точках своих областей
определения имеют пределы,
совпадающие с их значениями в этих
точках.

5. Примеры функций, имеющих предел в точке

у= x2
lim x 4
2
x 2
Предел функции
при x → 2 равен 4
(при x → 2 значения
функции → 4).
Предел функций при x → 0 равен 0.

6.

Примеры функций,
не имеющих предел в точке
у
у
у
b
1
О
х
-1
О
а
х
О
а
х

7. Свойства предела функции

Если функции f (x) и g (x) имеют конечные пределы в точке a,
причем
То
если B ≠ 0 и если g (x) ≠ 0 в окрестности точки a.

8. Примеры вычисления предела функции в точке:

Сначала просто пытаемся подставить число, к которому стремится x в функцию
1. Пример:
lim ( x 2 5x 8) 9 15 8 2
x 3
2. Пример:
x2 5x 8
lim 2
.
x 3 x x 4
lim ( x 2 5x 8) 9 15 8 2
Предел числителя
x 3
Предел знаменателя
lim ( x 2 x 4) 9 3 4 10
x 3
Используя теорему о пределе частного, получим
lim ( x 2 5 x 8)
x 5 x 8 x 3
2 1
lim 2
.
2
x 3 x x 4
lim ( x x 4) 10 5
2
x 3

9.

3. Пример:
x 2 5x 8
lim
.
x 3
x 3
Предел числителя
lim ( x 2 5x 8) 9 15 8 2
x 3
Предел знаменателя равен нулю, поэтому теорему о пределе
частного применять нельзя.
2 является бесконечно большой величиной
Величина
при x→3.
Тогда
x 3
x 2 5x 8
lim
.
x 3
x 3

10. Раскрытие неопределенности

• При нахождении предела иногда сталкиваются с
выражениями вида,
0
0
0
, , ( ), (1 ), (0 ), (0 )( ).
0
которые называются неопределенностями
• Отыскание предела в таких случаях называется
раскрытием неопределенности.

11.

4. Пример: Вычислить предел
:
Сначала попробуем подставить -1 в дробь:
В данном случае получена так называемая неопределенность
0
0
Общее правило: если в числителе и знаменателе находятся многочлены, и
имеется неопределенность вида 0/0, то для ее раскрытия нужно
разложить числитель и знаменатель на множители.
Очевидно, что числитель и
знаменатель можно сократить
на (х+1), получим:
Теперь и подставляем -1 в выражение, которое осталось под знаком предела:

12.

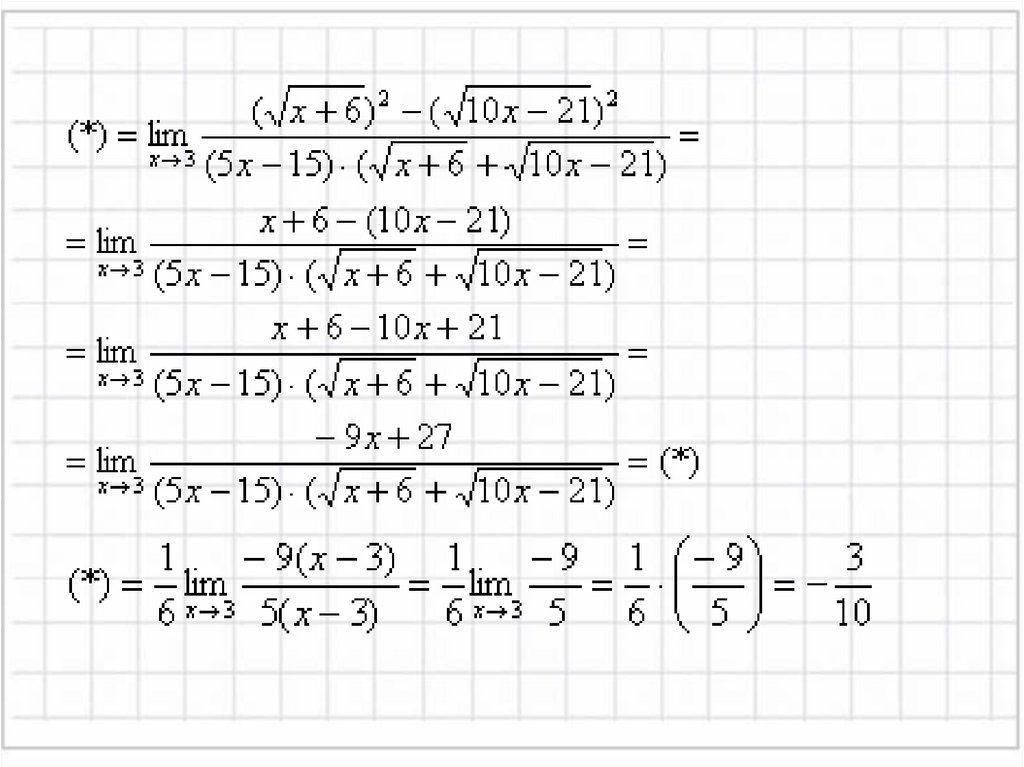
Метод умножения числителя и знаменателя на сопряженное выражение
5. Пример: Найти предел
Сначала пробуем подставить 3 в выражение под знаком предела это первое,
что нужно выполнять для ЛЮБОГО предела.
0
Получена неопределенность вида ,
0
которую нужно устранять
Когда в числителе (знаменателе) находится разность корней (или
корень минус какое-нибудь число), то для раскрытия
неопределенности используют метод умножения числителя и
знаменателя на сопряженное выражение.

13.

14. Предел функции на бесконечности

• Определение: Число b называется
пределом функции y=f(x) на
бесконечности (или при x–›∞), если
для всех достаточно больших по
модулю значений x,
соответствующее значение
функции сколь угодно мало
отличается от b.

15. Обозначение

16. СВОЙСТВА ПРЕДЕЛОВ

• О+С=С
• ∞+С=∞
• О∙С=О
• ∞∙С=∞
О
• =О
С

• =∞
С
С
• =∞
О
С
• =0

17. 1. Пример

• Для того, чтобы раскрыть
неопределенность ∞/∞ необходимо
разделить числитель и знаменатель на
х в старшей степени.
• Разделим числитель и знаменатель на х2

18.

• Пример 2.
Разделим числитель и знаменатель на х4

19.

• Пример 3.
Разделим числитель и знаменатель на х2
подразумевается не деление на ноль (делить на ноль нельзя), а деление на
бесконечно малое число.
Таким образом, при раскрытии неопределенности
может получиться конечное число, ноль или
бесконечность.

20. Замечательные пределы

• первый замечательный предел
sin x
lim
1;
x 0
x
• второй замечательный предел
х
1
1
lim 1 lim (1 x) x e.
x
x 0
x

21. Примеры

sin( 2 x)
0
lim
( )
x 0
x
0
2 sin( 2 x)
sin( 2 x)
lim
2 lim
x 0
x 0
2x
2x
2 1 2.
е
4
3
English     Русский Rules