Вычисление предела функции
Предел функции
Определение
Вычисление пределов
Вычисление предела функции в точке
Основные теоремы о пределах
Основные теоремы о пределах
Вычисление предела функции в точке
Раскрытие неопределенности
Предел функции на бесконечности
Вычисление предела функции
Замечательные пределы
Первый замечательный предел
Пример
Следствия первого замечательного предела
Домашнее задание: Учебник Никольского – параграф 2, пункты 2.1-2.3 прочитать Обратить внимание на примеры вычисления пределов №
211.40K
Category: mathematicsmathematics

Вычисление предела функции

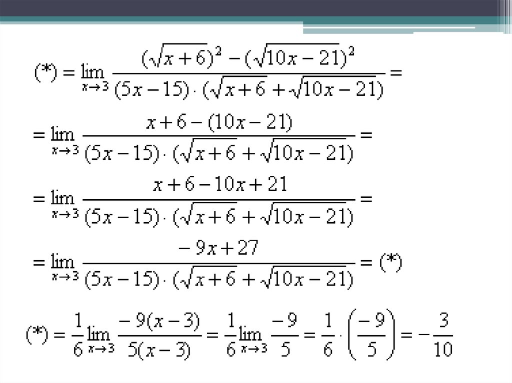
1. Вычисление предела функции

Алгебра 10-11

2. Предел функции

y=ƒ(х)
b+ε
М

b
b-ε
a-δ
a
a+δ

3. Определение

Число А называется пределом
функции f в точке x0,
если для любого числа ε > 0
существует такое δ > 0,
что для всех точек х ≠ x0,
удовлетворяющих условию |х — x0| < δ,
выполняется неравенство
у
А+ε
|f (x) — A| < ε.
А
А-ε
О
х0
х0-δ
х0+δ
х
lim f ( x) A
x x0

4. Вычисление пределов

Вычисление предела:
lim
f
(
x
)
A
x x
0
начинают с подстановки предельного значения x0 в
функцию f(x).
Если при этом получается конечное число, то предел
равен этому числу.
3x 1
3 1 1
lim
2
2
2
x 1
x
1
Если при подстановки
предельного значения x0 в
функцию f(x) получаются
выражения вида:
то предел будет равен:
C
0
C
0

5. Вычисление предела функции в точке

Сначала находим значение функции в данной точке.
Если функция непрерывна, и значение функции
существует, то оно совпадает со значением предела
lim ( x 5x 8) 9 15 8 2
2
x 3

6.

Все основные элементарные функции:
постоянные, степенная функция (хα),
показательная функция (ax),
тригонометрические функции
(sinx, cosx, tgx и ctgx) и обратные
тригонометрические функции
(arcsinx, arccosx, arctgx и arcctgx) являются
непрерывными, а значит, во всех внутренних
точках своих областей определения имеют
пределы, совпадающие с их значениями в этих
точках.

7. Основные теоремы о пределах

Предел суммы (разности) двух функций равен сумме (разности)
пределов:
lim f1( x ) f2 ( x ) lim f1( x ) lim f2 ( x )
Предел произведения двух функций равен произведению
пределов:
lim f1( x ) f2 ( x ) lim f1( x ) lim f2 ( x )
Постоянный множитель можно выносить за знак предела:
lim C f ( x ) C lim f ( x )

8. Основные теоремы о пределах

Предел дроби равен пределу числителя, деленному на предел
знаменателя, если предел знаменателя не равен нулю:
f1( x ) lim f1( x )
lim
f2 ( x ) lim f2 ( x )
lim f ( x ) 0
2
Предел степени с натуральным показателем равен той же
степени предела:
lim f ( x ) lim f ( x )
n
n

9. Вычисление предела функции в точке

x2 5x 8
lim 2
.
x 3 x x 4
2
Предел числителя
lim ( x 5x 8) 9 15 8 2
x 3
Предел знаменателя
lim ( x x 4) 9 3 4 10
2
x 3
.
Используя теорему о пределе частного,
получим
( x 5 x 8) 2 1
x 5 x 8 lim
lim 2
x 3 2
.
x 3 x x 4
lim ( x x 4) 10 5
2
2
x 3

10.

x 5x 8
lim
.
x 3
x 3
2
Предел числителя
lim ( x 5x 8) 9 15 8 2
2
x 3
Предел знаменателя равен нулю, поэтому
теорему о пределе частного применять
нельзя.
Величина 1/(x-3) является бесконечно
большой величиной при x→3.
2
Тогда
x 5x 8
lim
.
x 3
x 3

11. Раскрытие неопределенности

• При нахождении предела иногда
сталкиваются с неопределенностями вида
0
0
0
,
, ( ), (1 ), (0 ), (0 )( ).
0
• Отыскание предела в таких случаях
называется раскрытием неопределенности.

12.

:
Вычислить предел
Сначала попробуем подставить -1 в дробь:
В данном случае получена так называемая
неопределенность 0/0

13.

Общее правило: если в числителе и знаменателе
: находятся многочлены, и имеется неопределенность
вида 0/0, то для ее раскрытия можно попробовать
разложить числитель и знаменатель на множители.
Очевидно, что можно сократить на (х+1)
Теперь и подставляем -1 в выражение, которое
осталось под знаком предела:

14.

Пример 1. Вычислить:
Решение.
lim x 2 x 5x 3
x 1
3
2
lim x 2 x 5x 3 1 2 1 5 1 3 7
x 1
3
2
3
2

15.

sin x
lim .
x 2
x 4
Пример 2. Вычислите
Решение.
lim sin x
sin x
sin x
x 2
lim
.
x 2
x 4 lim x 4
x 4
x 2
0
0
2 4

16.

x 9
lim .
x 3 4 x 12
2
Пример 3. Вычислить
Решение.
1.
.
x 9 х 3 х 3 х 3
4 x 12
4 х 3
4
2
2.
.
x 9
x 3 3 3
lim
lim
1,5
x 3 4 x 12
x 3
4
4
2

17.

:
Вычислить предел
Сначала попробуем подставить -1 в дробь:
В данном случае получена так называемая
неопределенность 0/0

18.

Общее правило: если в числителе и знаменателе
: находятся многочлены, и имеется неопределенность
вида 0/0, то для ее раскрытия можно попробовать
разложить числитель и знаменатель на множители.
Очевидно, что можно сократить на (х+1)
Теперь и подставляем -1 в выражение, которое
осталось под знаком предела:

19.

Умножение числителя и
знаменателя на сопряженное выражение
Найти предел
Когда в числителе (знаменателе) находится разность корней (или
корень минус какое-нибудь число), то для раскрытия
неопределенности используют метод умножения числителя и
знаменателя на сопряженное выражение.

20.

21. Предел функции на бесконечности

Будем говорить, что функция f(x) стремится к
пределу b при x → ∞, если для любого малого
положительного числа ε найдется такое
положительное число M, что для всех
значений x, удовлетворяющих неравенству
|x| > M, выполняется неравенство
|f(x) − b| < ε.
lim f(x) b
x

22. Вычисление предела функции

• Найти предел функции на бесконечности,
значит найти, к какому значению стремится
значение функции при сколь угодно
большом (по модулю ) значении функции.
• При вычислении пределов используются
свойства пределов (см. теоремы о пределах)

23.

Для того, чтобы раскрыть неопределенность
∞/∞ необходимо разделить числитель и
знаменатель на х в старшей степени.
Разделим числитель и
знаменатель на х2

24.

Разделим числитель и знаменатель на х4

25.

Разделим числитель и
знаменатель на х2
подразумевается не деление на ноль (делить на
ноль нельзя), а деление на бесконечно малое число.
Таким образом, при раскрытии неопределенности
может получиться конечное число, ноль или
бесконечность.

26. Замечательные пределы

• первый замечательный предел
sin x
lim
1;
x 0
x
• второй замечательный предел
х
1
1
lim 1 lim (1 x) x e.
x
x 0
x

27. Первый замечательный предел

sin x
lim
1
x 0
x
Формула справедлива также и при x < 0
Следствия:
x
lim
1
x 0
sin x
tgx
lim
1
x 0
x
x
lim
1
x 0
tgx
sin kx
lim
1
x 0
kx

28. Пример

sin( 2 x)
0
lim
( )
x 0
x
0
2 sin( 2 x)
sin( 2 x)
lim
2 lim
x 0
x 0
2x
2x
2 1 2.

29. Следствия первого замечательного предела

sin x
lim
1
x 0
x
x
lim
1
x 0
sin x
tgx
lim
1
x 0
x
sin kx
lim
1
x 0
kx
x
lim
1
x 0
tgx

30. Домашнее задание: Учебник Никольского – параграф 2, пункты 2.1-2.3 прочитать Обратить внимание на примеры вычисления пределов №

2.4, № 2.15, № 2.19 – решать
English     Русский Rules