Матрицы и определители
Определители. Свойства определителей.
Свойства определителей.
Привести определитель к треугольному виду и вычислить его:
Разложение определителя по элементам строки или столбца.
Для данного определителя найти миноры: М22, М31,М43
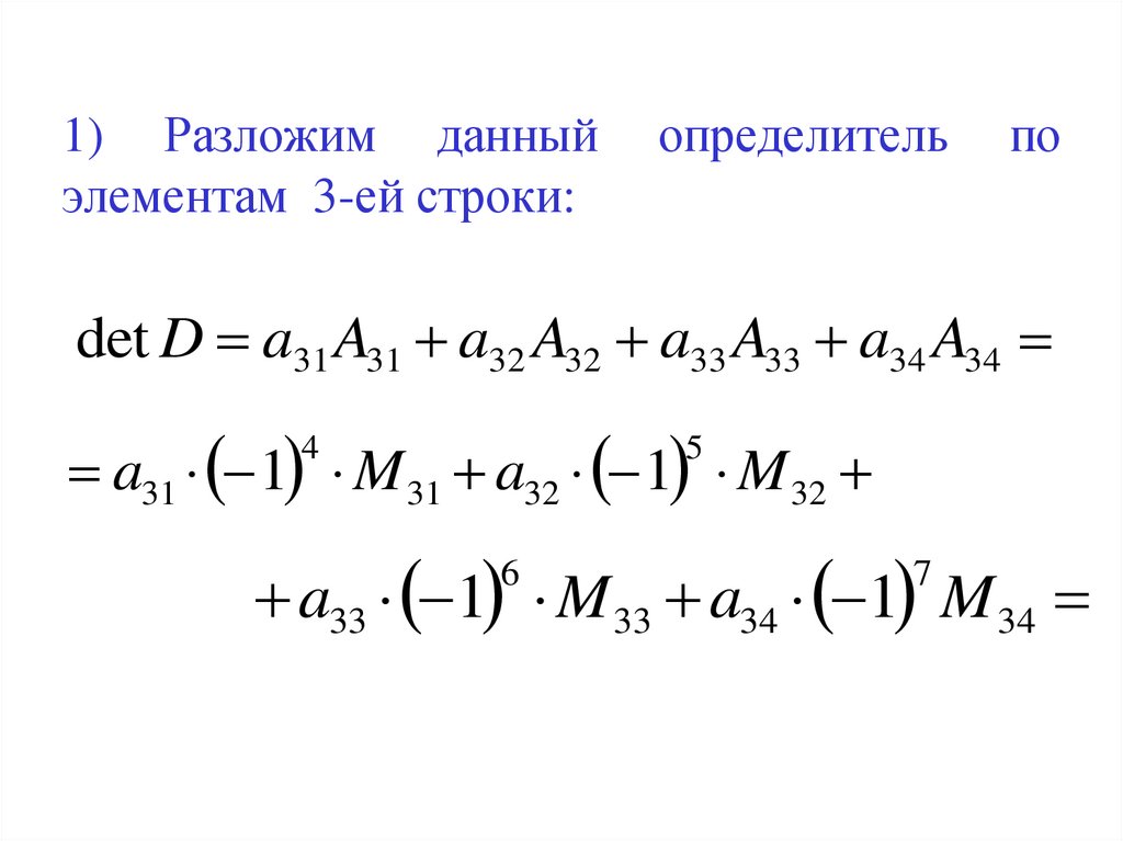
Разложить данный определитель по элементам: 1) 3-ей строки; 2) 1-го столбца.
1) Разложим данный определитель по элементам 3-ей строки:
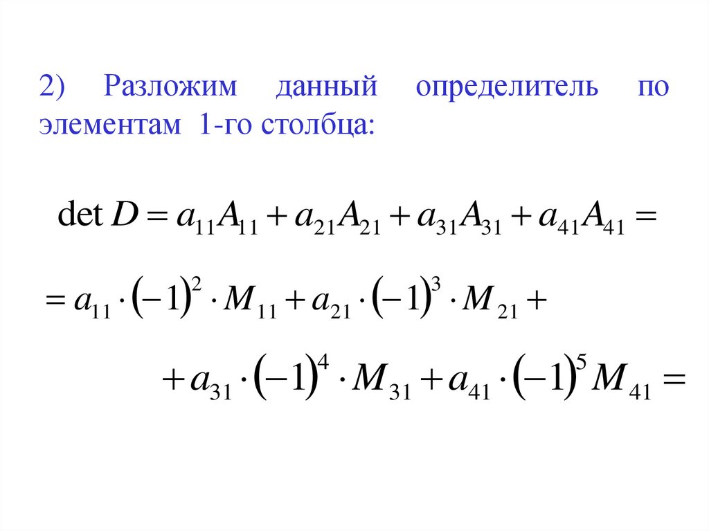
2) Разложим данный определитель по элементам 1-го столбца:
Основные методы вычисления определителя.
Вычислить определитель приведением его к треугольному виду.
Обратная Матрица
Определение. Матрица называется о б р а т н о й к квадратной матрице , если
Определение. Матрица, составленная из алгебраических дополнений для элементов исходной матрицы , называется с о ю з н о й м а т
Формула для нахождения обратной матрицы
Алгоритм нахождения
Пример. Найти матрицу, обратную к матрице:
5. Проверка
Задача. Найти матрицу, обратную к данной
1. Находим определитель
2. Алгебраические дополнения для первой строки:
Алгебраические дополнения для второй строки:
Алгебраические дополнения для третьей строки:
Обратная матрица:
Элементарные преобразования матриц
2.25M
Category: mathematicsmathematics

Матрицы+определители

1. Матрицы и определители

2.

Матрицей размера m x n называется
прямоугольная таблица чисел,
содержащая m строк и n столбцов.
Числа, составляющие матрицу, называются
элементами матрицы.

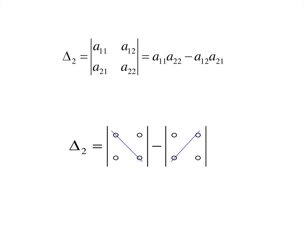
3.

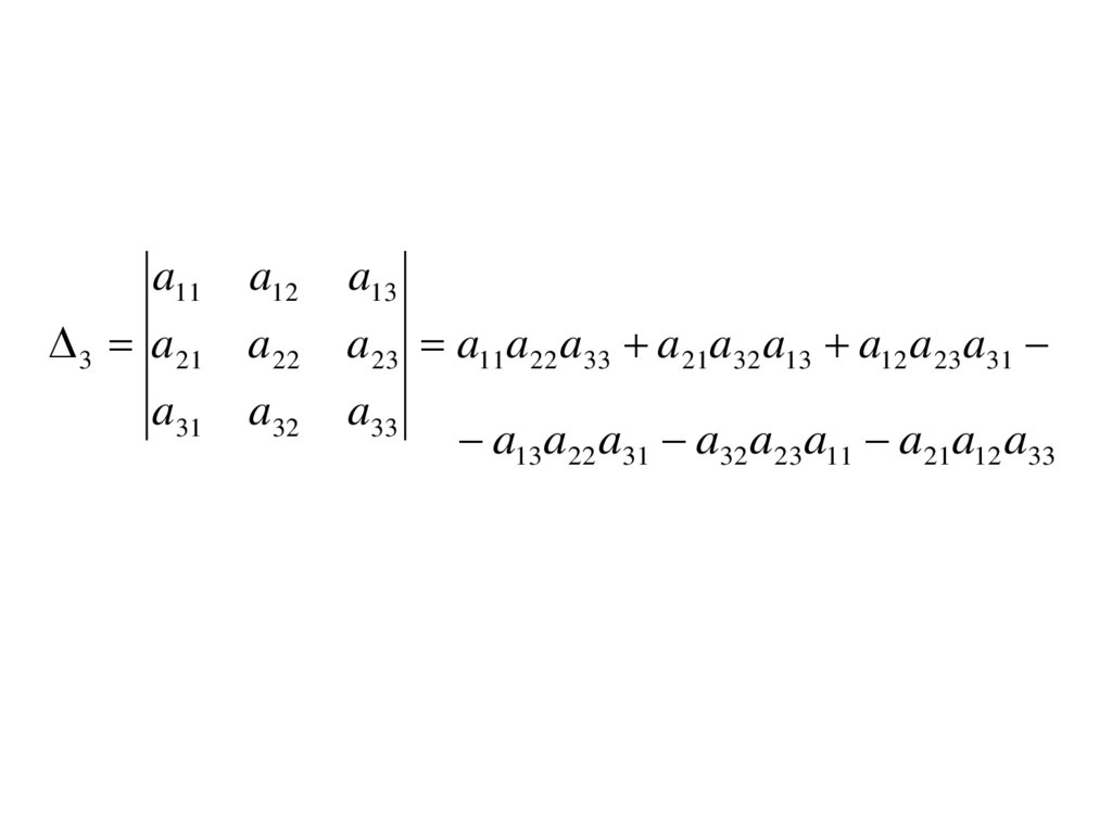
Обозначение:
A
- матрица размерности m x n
a ij
- элемент матрицы i –ой строки и j -го
столбца,
m n
где
i=1,2…m
j=1,2…n

4.

a11 a12
a21 a22
A (aij )
m n
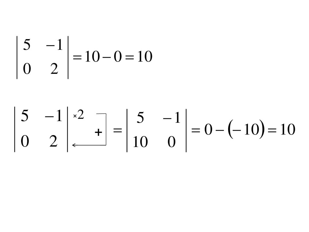
...
...
a
m1 am 2
... a1n
... a2 n
... ...
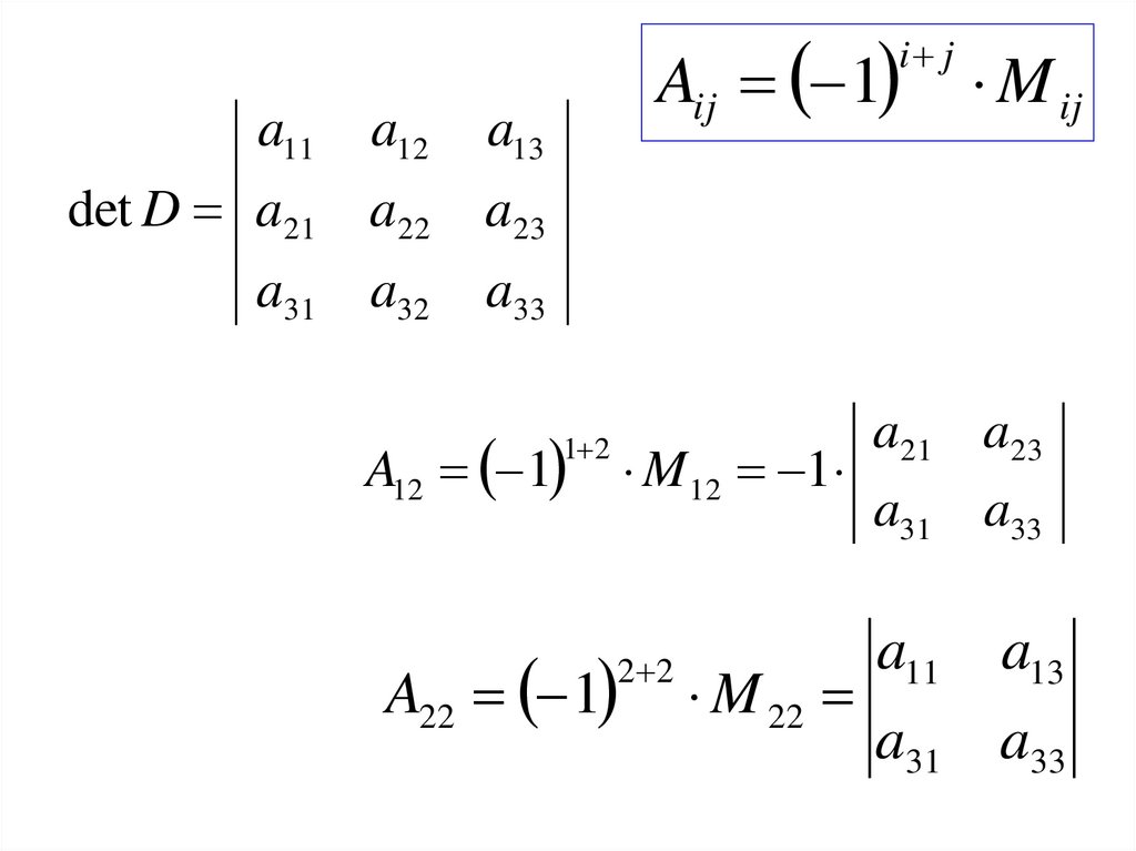
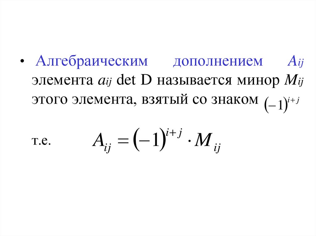
... amn

5.

Две матрицы называются равными, если
у них одинаковая размерность и
совпадают строки и столбцы.
Если число строк матрицы равно числу ее
столбцов, то такая матрица называется
квадратной.

6.

0 2
1
A 2 4
5
0 3 1
- квадратная матрица размерности 3х3

7.

Элементы матрицы aij , у которых номер
столбца совпадает с номером строки,
называются диагональными.
Если в квадратной матрице все
диагональные элементы равны 1, а
остальные элементы равны 0, то
она называется единичной.

8.

1
0
E
...
0
0 ... 0
1 ... 0
... ... ...
0 ... 1

9.

Матрица любого размера называется
нулевой, если все ее элементы равны 0.
0
0
...
0
0
0
...
0
...
...
...
...
0
0
...
0

10.

Матрица, состоящая из одной строки,
называется матрицей-строкой или
вектором-строкой.
A (a11 a12 ... a1n )

11.

Матрица, состоящая из одного столбца,
называется матрицей-столбцом или
вектором-столбцом.
b11
b21
B
b
n1

12.

С
помощью матриц удобно
различного рода зависимости.
Например:
Распределение
экономики:
ресурсов
по
описывать
отраслям
Ресурсы
Промышленность
с/хозяйство
Эл.
энергия
Труд.
ресурсы
Водные
ресурсы
8
7.2
5
3
4.5
5.5

13.

Эту зависимость можно представить в виде
матрицы:
8 7.2
A 5
3
3 2
4.5 5.5
Где элемент aij показывает сколько i – го
ресурса потребляет j – отрасль.
Например, a32 показывает, сколько воды
потребляет сельское хозяйство.

14.

Чтобы умножить матрицу на число, надо
каждый элемент матрицы умножить на
это число.
Полученные
произведения
итоговую матрицу.
образуют

15.

Пусть дана матрица
A (aij )
m n
Умножаем ее на число λ:
A B
Где каждый элемент матрицы В:
bij aij
Где:
i 1,2...m
j 1,2...n

16.

Например:
Умножая матрицу
2 3 0
A
1 0 4
на число 2, получим:
2 2 3 2 0 2 4 6 0
A 2
1 2 0 2 4 2 2 0 8

17.

Складываются матрицы одинаковой
размерности. Получается матрица той же
размерности, каждый элемент которой
равен сумме соответствующих
элементов исходных матриц.

18.

Пусть даны матрицы
Складываем их:
A (aij )
B (bij )
A B C
Где каждый элемент матрицы С:
cij aij bij
Аналогично проводится вычитание матриц.

19.

Найти сумму и разность матриц:
2 3 0
A
1 0 4
0 2 3
B
1 5 2

20.

2 1 3
A B
2 5 6
2 5 3
A B
0 5 2

21.

Умножение матриц возможно, если число
столбцов первой матрицы равно числу строк
второй.
Тогда каждый элемент полученной матрицы
равен сумме произведений элементов i – ой
строки
первой
матрицы
на
соответствующие элементы j-го столбца
второй.

22.

Пусть даны матрицы
A (aij )
m k
B (bij )
k n
Умножаем их:
A B C
m k k n
m n
Где каждый элемент матрицы С:
cij ai1b1 j ai 2b2 j ... aik bkj
i 1,2...m
j 1,2...n

23.

Найти произведение матриц:
2 3 0
A
1 0 4
1 0
B 1 4
0 2

24.

Число столбцов первой матрицы равно
числу строк второй, следовательно их
произведение существует:
2 1 3 1 0 0 2 0 3 4 0 2 5 12
A B
2 3 3 2
1 1 0 1 4 0 1 0 0 4 4 2 1 8

25.

Теперь перемножим матрицы в обратном
порядке:
1 2 0 1 1 3 0 0 1 0 0 4 2 3 0
B A 1 2 4 1 1 3 4 0 1 0 4 4 6 3 16
3 2 2 3
0 2 2 1 0 3 4 0 0 0 2 4 2 0 8
Умножение
матриц
некоммутативно:
в
A B B A
общем
случае

26.

Перечисленные операции над матрицами
обладают следующими свойствами:
1
А+В=В+А
2
(А+В)+С=А+(В+С)

27.

3
λ(А+В)= λА+λВ
4
А(В+С)=АВ+АС
5
А(ВС)=(АВ)С

28.

Матрица АТ называется
транспонированной к матрице А, если
в ней поменяли местами строки
и столбцы.
a11 a12
a21 a22
A
m n
...
...
a
m1 am 2
... a1n
... a2 n
... ...
... amn
a11 a21
a12 a22
T
A
... ...
n m
a1n a2 n
... am1
... am 2
... ...
... amn

29.

1
(АТ)Т=А
2
(А+В)Т=АТ+ВТ

30.

3
(λА)Т= λАТ
4
(АВ)Т=ВТАТ

31.

Транспонировать матрицу:
1 2 3
A 4 5 6
7 8 9

32.

1 4 7
T
A 2 5 8
3 6 9

33. Определители. Свойства определителей.

34.

• Определителем
(детерминантом)
матрицы n-го порядка называется число:
a11
a 21
n det A
...
a n1
a12
a 22
...
an 2
... a1n
... a 2 n
... ...
... a nn

35.

2
a11
a12
a21 a22
2
a11a22 a12a21

36.

a11
a12
a13
3 a 21
a 22
a 23 a11a 22 a33 a 21a32 a13 a12 a 23 a31
a31
a32
a33
a13a22 a31 a32 a23a11 a21a12 a33

37.

• Правило Сарруса:
a11
a12
a13
a21 a22
a31 a32
a23
a33
a11 a12
a21 a22
a31 a32
a11a22a33 a12a23a31 a13a21a32
a13a22a31 a11a23a32 a12a21a33

38.

a11
a12
a13
3 a 21
a 22
a 23 a11a 22 a33 a 21a32 a13 a12 a 23 a31
a31
a32
a33
a13a22a31 a32a23a11 a21a12a33
• Правило треугольника:
«+»
«-»

39.

Примеры:
1)
2)
3)
3 2
1
5
3 5 2 1 15 ( 2) 17
cos x sin x
sin x
cos x
cos 2 x sin 2 x cos 2 x
cos x sin x
sin x
cos x
cos x sin x 1
2
2

40.

Примеры:
4)
log 2 32 log 3 27
log 4 16 log 5 125
5 3
2 3
15 6 9

41.

Примеры:
2 4 7
3 1 5 3 1
5 0
7 5 0
4
5)
7
4 ( 1) 7 7 5 5 ( 2) 3 0
5 ( 1) ( 2) 0 5 4 7 3 7
28 175 0 10 0 147 10

42. Свойства определителей.

1.Определитель не изменится, если его
T
транспонировать:
det A det A
det A
3
2 4
det A
T
5
12 10 22
3 2
5
4
12 10 22

43.

2.При перестановке двух строк или
столбцов определитель изменит свой
знак на противоположный.
3
5
2 4
2 4
3
5
12 10 22
10 12 22

44.

3. Общий множитель всех элементов
строки или столбца можно вынести за
знак определителя.
a11
ka12
a21 ka22
k
a11
a12
a21 a22

45.

1
2
36 12
1
3
2
1
2
2
1
2
1
24 12 3
1
2 12 2 3
1
1
4
1 3 4
1 3 2
24 2 9 2 1 12 3 24 15 360

46.

4. Определитель с двумя одинаковыми
строками или столбцами равен нулю.
1 1 3
1 1 3
2 1 4
4 3 6 6 3 4 0

47.

5. Если все элементы двух строк (или
столбцов) определителя пропорциональны,
то определитель равен нулю.
3 7 1
3 7 1
2 3 1 2 2 3 1 2 0 0
2 3 1
4 6 2

48.

6. Если каждый элемент какого-либо ряда
определителя представляет собой сумму
двух слагаемых, то такой определитель
равен сумме двух определителей, в первом
из которых соответствующий ряд состоит из
первых слагаемых, а во втором- из вторых
слагаемых.

49.

a11
a21
...
an1
a11
a21
...
an1
... a1 j
... a2 j
... ...
... anj
... a1 j b1 j
... a2 j b2 j
...
...
... anj bnj
... a1n
... a2 n
... ...
... ann
... a1n
a11
... a2 n
a21
... ...
...
... ann
an1
... b1 j
... b2 j
... ...
... bnj
... a1n
... a2 n
... ...
... ann

50.

2 1 4
2 2 1 4
7 2 3 7
7 5 5
60
2 2 4
2 1 4
3 1 3 7 3 3 7 1 3
7 2 3 5
7 2 5
7 3 5
38
98

51.

7. Если к какой-либо строке (или столбцу)
определителя прибавить соответствующие
элементы другой строки (или столбца) ,
умноженные на одно и то же число, то
определитель не изменится.
a11
a12
a21 a22
×
к
a11
a12
ka11 a21 ka12 a22

52.

5 1
0
2
10 0 10
5 1 ×2
5 1
0 10 10
+
0 2
10 0

53.

Треугольный
произведению
диагонали.
определитель
равен
элементов
главной
a11
a11
a12
a13
a21 a22
0 0
a22
a23 a11 a22 a33
a31
a33
0
a33
8.
0
a32
0
0

54. Привести определитель к треугольному виду и вычислить его:

1 2 4 ×(-2)
7 2 3 2 7 3
7 5 5
5 7 5
2 1 4
1
2
4
0
3
5
0 3 15
×(-5)
=
1 2
4
0 3 5 60
+
0 0 20

55. Разложение определителя по элементам строки или столбца.

• Минором Mij элемента aij det D
называется такой новый определитель,
который
получается
из
данного
вычеркиванием i-ой строки и j-го
столбца содержащих данный элемент.

56.

a11
a12
a13
det D a21 a22
a23
a31
a32
a33
a11
a12
a13
det D a21 a22
a23
a31
a33
a32
a21 a23
M12
a31 a33
a11 a12
M 23
a31 a32

57. Для данного определителя найти миноры: М22, М31,М43

1
2
3
4
0 1
5
2
3
2
1 4
1
1
3 2
2
3
4
M 31 1
5
2 36
1
3 2
1
3
4
M 22 3 1 4 28
1 3 2
1 2 4
M 43 0 1 2 16
3 2 4

58.

• Алгебраическим
дополнением
Aij
элемента aij det D называется минор Mij
этого элемента, взятый со знаком 1 i j
т.е.
Aij 1
i j
M ij

59.

Aij 1
i j
a11
a12
a13
det D a21 a22
a23
a31
a33
a32
M ij
a21 a23
M 12 1
a31 a33
A12 1
1 2
A22 1
2 2
a11 a13
M 22
a31 a33

60.

• Сумма произведений элементов любой
строки (или столбца) определителя на их
алгебраические дополнения равна этому
определителю.

61.

разложение по i-ой строке:
n
det D ai1 Ai1 ai 2 Ai 2 ... ain Ain aik Aik , i 1,..., n
k 1
разложение по j-му столбцу:
n
det D a1 j A1 j a2 j A2 j ... anj Anj akj Akj ,
k 1
j 1,..., n

62. Разложить данный определитель по элементам: 1) 3-ей строки; 2) 1-го столбца.

1
2
3
4
0 1
5
2
3
2
1 4
1
1
3 2

63. 1) Разложим данный определитель по элементам 3-ей строки:

1) Разложим данный
элементам 3-ей строки:
определитель
по
det D a31 A31 a32 A32 a33 A33 a34 A34
a31 1 M 31 a32 1 M 32
4
5
a33 1 M 33 a34 1 M 34
6
7

64.

2
3 1 1
4
1
1
3
5
4
1
2 2 1 0
5
3
4
5
2
3 2
1 3 2
2
1
4
2
1 1 0 1 2 4 1 0 1
6
7
1
1
2
3 36 2 2 4 4 11 56
1
1
3
5
3

65. 2) Разложим данный определитель по элементам 1-го столбца:

2) Разложим данный
элементам 1-го столбца:
определитель
по
det D a11 A11 a21 A21 a31 A31 a41 A41
a11 1 M 11 a21 1 M 21
2
3
a31 1 M 31 a41 1 M 41
4
5

66.

1
1 1 2
2
5
2
2
3
4
1 4 0 1 2 1 4
3
1
3 2
1 3 2
2
3
2
3 1 1
4
1
5
4
2 1 1 1
3 2
20 0 3 36 32 56
5
2
3
4
5
2
1 4

67. Основные методы вычисления определителя.

1. разложение определителя по
элементам строки или столбца;
2. метод эффективного понижения
порядка;
3. приведение определителя к
треугольному виду.

68.

Метод эффективного понижения порядка:
Вычисление определителя n-го порядка
сводится
к
вычислению
одного
определителя (n-1)-го порядка, сделав в
каком-либо ряду все элементы, кроме
одного, равными нулю.

69.

1
4 ×(-3)
2
2
3
0 1
5
3
2
1 4
1
1
3 2
×(-1)
1
2
3
4
0
1
5
2
0 4 10 8
0
1
6
2

70.

1
2
2
3
4
1
0 1
5
2
0 1 5 1
0
5
4
2
2 2 1
0 1 6 2
4 1 1 2
1
2
5 2
0
1
6 1
5 2 4 14 56
6 1
3 2
0
1 5 1
2
2

71. Вычислить определитель приведением его к треугольному виду.

1
4 ×(-3)
2
2
3
0 1
5
3
2
1 4
1
1
3 2
×(-1)
1
2
3
4
0
1
5
2
0 4 10 8
0
1
6
2

72.

1
2
2
3
4
1
0 1
5
2
0 1 5 1
0
5
4
2
2 2 1
2
3 2
0 1 5 1 ×2
4
0 2 5 2
+
0 1 6 1
2
5 2
0
1
6 1
2
3
2
0 1
5
1
0
0
15 4
0
0
11 2
1
4
3 2
0
0 1 6 2
1
2

73.

1
4
4
2
2
3
1
2
3
0 1 1
5
0 1 1
5
0
0
4 15
0
0
2 11
1
2
2
3
0 1 1
5
0
0
2
11
0
0
0 7
4
2
0
0
0
0
4 14 56
2 11 ×(-2)
4 15

74. Обратная Матрица

75. Определение. Матрица называется о б р а т н о й к квадратной матрице , если

A B B A E
Обратная матрица обозначается символом
1
1
A
1
A A A A E
Примечание. Операция деления для матриц не
определена. Вместо этого предусмотрена операция
обращения (нахождения обратной) матрицы.

76. Определение. Матрица, составленная из алгебраических дополнений для элементов исходной матрицы , называется с о ю з н о й м а т

Определение. Матрица, составленная из
алгебраических дополнений для элементов
исходной матрицы , называется
союзной матрицей.
A11
A A21
A
31
A12
A22
A32
A13
A23
A33

77. Формула для нахождения обратной матрицы

1
1
T
A
A
det A

78.

A11 A21 A31
1
1
A
A12 A22 A32
det A
A
A
A
13 23 33

79. Алгоритм нахождения

• 1. Находим определитель
матрицы А. Он должен быть
отличен от нуля.
• 2. Находим алгебраические
дополнения для каждого
элемента матрицы А.
• 3. Составляем союзную
матрицу и транспонируем ее.
• 4. Подставляем результаты
п.1 и п.4 в формулу обратной
матрицы.
A
1

80. Пример. Найти матрицу, обратную к матрице:

1 2
A
4
3

81.

Р е ш е н и е. Действуем по алгоритму:
1. Находим определитель матрицы:
1 2
det A =
3 4
= 4- 6 = - 2
Определитель отличен от нуля det A № 0 ,
следовательно, обратная матрица существует.

82.

2. Находим алгебраические дополнения:

83.

A11 = 4
A21 = - 2
A12 = - 3
A22 = 1

84.

3. Составляем союзную матрицу:
~ 4 3
A
2 1

85.

4. Записываем обратную матрицу по
формуле
1
T
1 4 2
A
A
2 3 1
det A
1

86. 5. Проверка

• Воспользуемся определением обратной
матрицы и найдем произведение
1
A A
1 4 2 1 2
2 3 1 3 4
1 4 1 2 3 4 2 2 4 1 2 0 1 0
2 0 2 0 1
2 3 1 1 3 3 2 1 4

87. Задача. Найти матрицу, обратную к данной

2 1 1
A 3 2 1
1 2 1

88. 1. Находим определитель

2 1 1
det A 3 2 1 2 2 1 3 2 1 1 1 1
1 2 1
1 2 1 1 2 2 3 1 1
4 6 1 2 4 3 3 5 2 0.

89. 2. Алгебраические дополнения для первой строки:

2 1
A11
2 2 4,
2 1
3 1
A12
3 1 2,
1 1
3 2
A13
6 2 8,
1 2

90. Алгебраические дополнения для второй строки:

1 1
A21
1 2 1,
2 1
2 1
A22
2 1 1,
1 1
2 1
A23
4 1 3,
1 2

91. Алгебраические дополнения для третьей строки:

1 1
A31
1 2 3,
2 1
2 1
A32
2 3 1,
3 1
2 1
A33
4 3 7.
3 2

92. Обратная матрица:

4 1 3
1
1
A 2 1 1
2
8 3 7

93. Элементарные преобразования матриц

• перестановка строк (столбцов) местами;
• исключение из матрицы строк (столбцов),
состоящих из нулей;
• умножение всех элементов какой-либо строки
(столбца) матрицы на любое число, отличное от
нуля;
• прибавление к одной строке (столбцу) другой,
предварительно умноженной на любое число,
отличное от нуля.

94.

Определение. Э к в и в а л е н т н ы м и называются
матрицы, полученные одна из другой путем элементарных
преобразований.
Важным понятием для матриц является понятие РАНГА.
Существует несколько определений этого понятия. Мы
остановимся на одном из них, основанном на элементарных
преобразованиях.
Определение. Р а н г о м м а т р и ц ы называется
число ненулевых строк в матрице, после приведения ее к
ступенчатому виду (путем элементарных преобразований).
Обозначение. Ранг матрицы будем обозначать r ( A)
или
rang ( A)
.
Теорема. Ранг матрицы не меняется при элементарных
преобразованиях.
English     Русский Rules