480.94K
Category:
mathematics
Similar presentations:
Производная функции
Производная и дифференциал. Производные высших порядков
Определение производной. Задачи, приводящие к понятию производной
Производная и её применение
Производная и ее применение
Понятие производной. Сферы применения производной
Определение производной
Производные высших порядков. Формула Лейбница. Производные высших порядков. (Семинар 10)
Определение производной
Производная. Физический смысл производной. Вычисление производных
Производная. Примеры
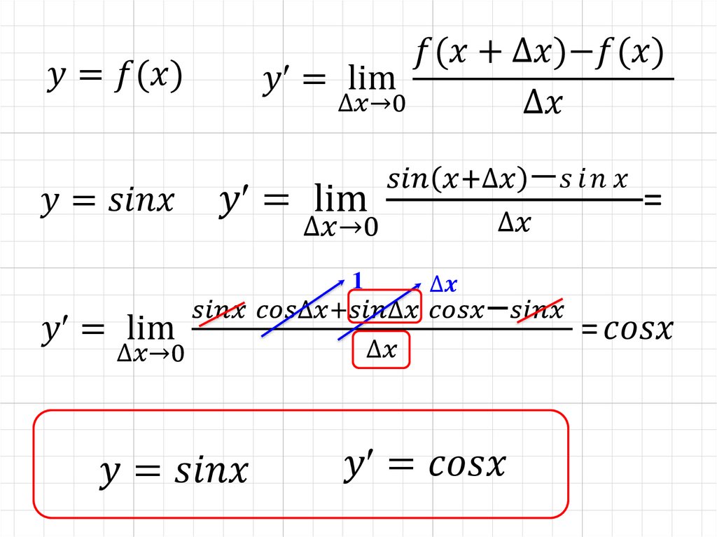
1.
Производная
2.
х1
ср1
t1
х2
ср 2
t 2
х3
ср 3
t3
А
x3
x2
x1
х
А im
x
t 0 t
X,м
3.
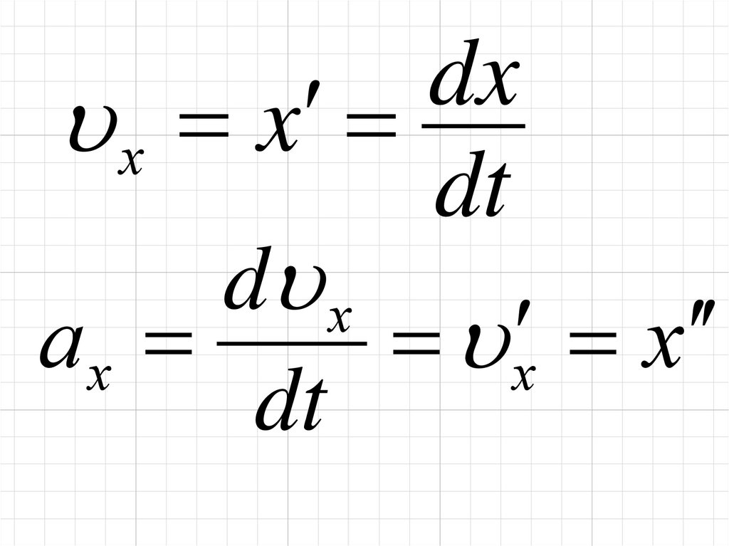
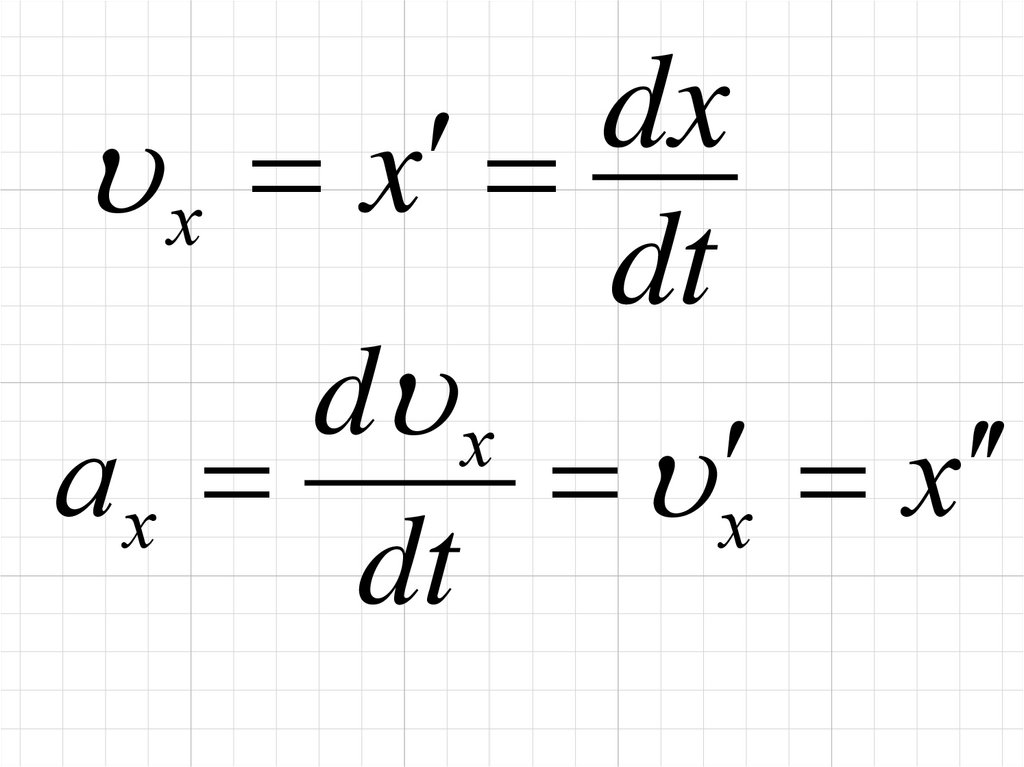
dx
х x
dt
d х
ах
х х
dt
4.
English
Русский
Rules