17.22M
Category:
mathematics
Similar presentations:
Возрастание, убывание функций, необходимые и достаточные условия существования экстремума
Необходимые и достаточное условия идентифицируемости СОУ. Косвенный метод наименьших квадратов
Возрастание, убывание функций, необходимые и достаточные условия существования экстремума. (Лекция 13)
Необходимые сведения из теории вероятности. (Лекция 4 по эконометрике)
Частные случаи интегрируемости уравнения Эйлера. Тема 4
Обратная матрица: определение, необходимые условия существования
Зачем нужна математика
Зачем нужна математика?
Зачем нужна математика
Для чего нужна математика?
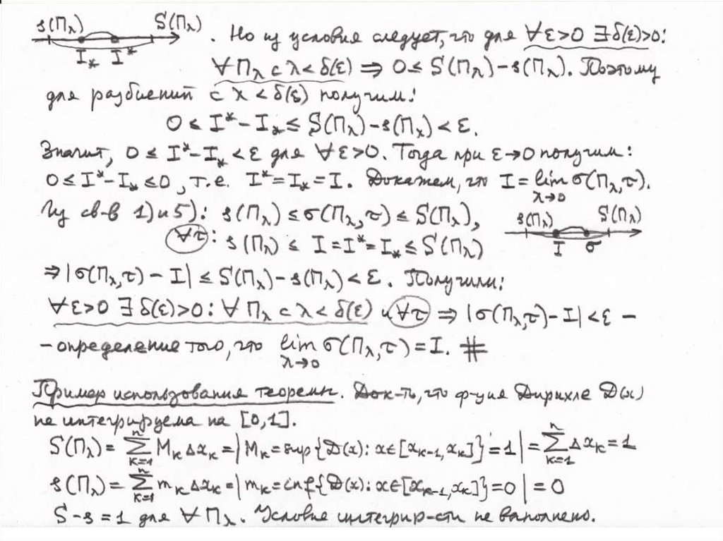
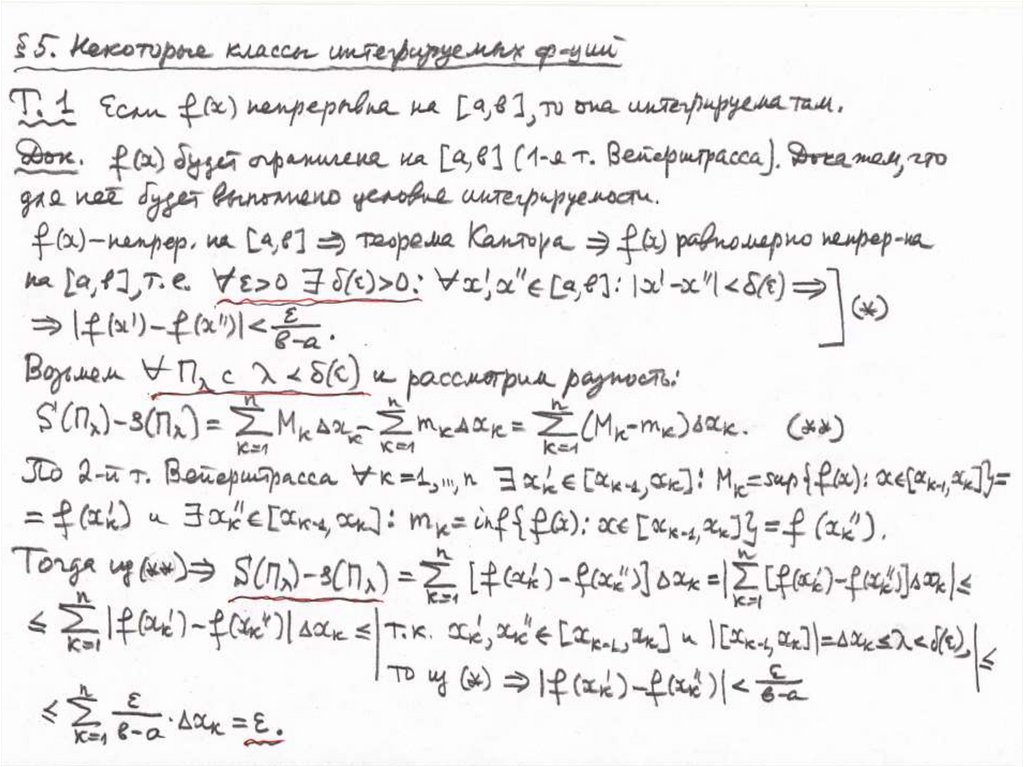
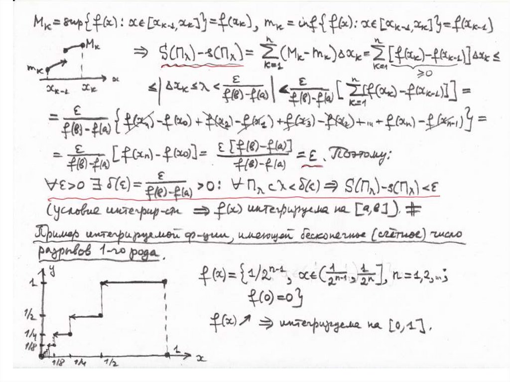
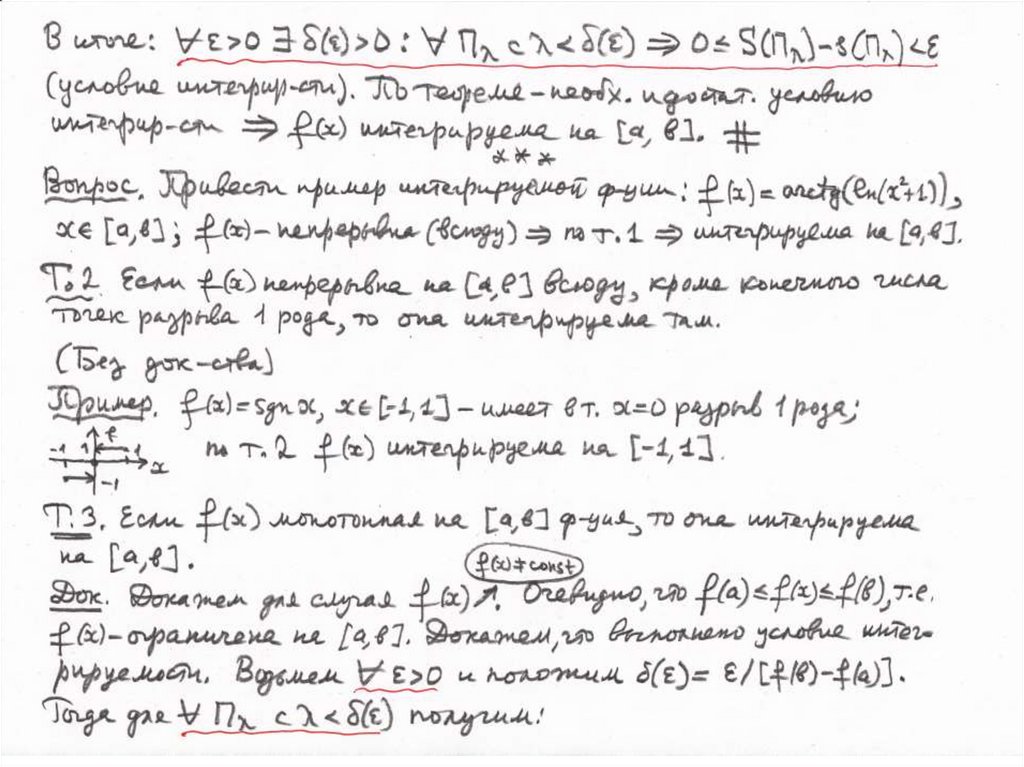
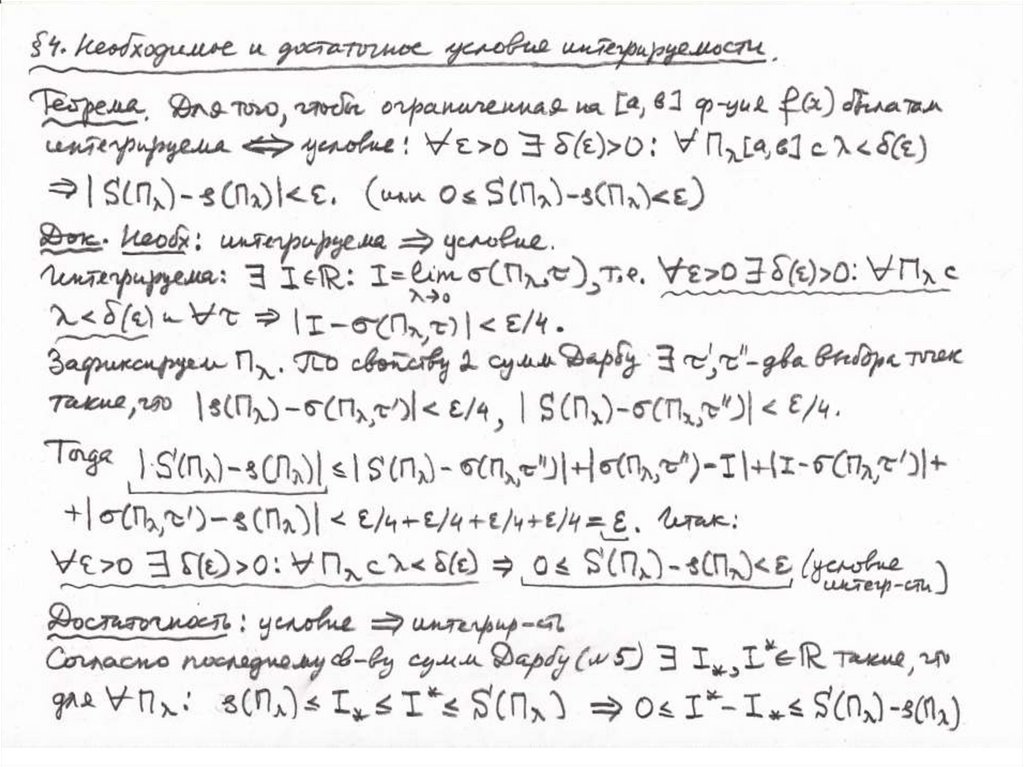
Необходимые и достаточные условия интегрируемости. Лекция 4
1.
English
Русский
Rules