799.51K
Category: industryindustry
Similar presentations:

Суховское месторождение леонардита в Курской области - добыча и производство гуминовых удобрений

1.

к.т.н. горный инженер, геотехнолог, гидрогеолог
Николай Дмитриевич Бычек (Россия. Астрахань)
Астрахань. тел. +7 927 586 3826 e-mail: sapropex@mail.ru
Суховское месторождение леонардита в Курской области: добыча и производство
гуминовых удобрений
Общая информация. Суховское месторождение расположено в Курской области и
относится к числу значимых российских источников леонардита – окисленного бурого
угля, богатого гуминовыми веществами. Леонардит здесь залегает в виде пластов,
образовавшихся в результате естественного окисления бурых углей.
Основные характеристики месторождения
1. Запасы
o Оценочные запасы леонардита на месторождении составляют несколько
миллионов тонн (точные данные могут различаться в зависимости от
геологических отчетов). По данным Росгеолфонда – 5-10 млн. т.
o Месторождение считается перспективным для промышленной добычи.
o Требуется доразведка месторождения
2. Глубина залегания
o Леонардит залегает на глубине от 5 до 30 метров, что делает возможной
добычу открытым способом.
3. Мощность слоев
o Вскрышные породы (глина, песок, суглинки) – от 2 до 10 метров.
o Полезная толща (леонардит) – 1–5 метров (может варьироваться в
зависимости от участка).
4. Свойства леонардита Суховского месторождения
o Высокое содержание гуминовых кислот (до 70–85% в пересчете на сухое
вещество).
o Наличие фульвокислот, микро- и макроэлементов (калий, магний, железо и
др.).
o Высокая водопоглощающая способность (важно для производства
гуминовых удобрений).
o Органическое происхождение, экологическая чистота.
Что можно производить из леонардита Суховского месторождения?
Леонардит Суховского месторождения пригоден для производства:
1. Гуминовые удобрения (жидкие и твердые формы) – повышают плодородие почв,
стимулируют рост растений.
2. Стимуляторы роста растений (на основе фульватов и гуминовых кислот).
3. Биоремедианты (для очистки почв от тяжелых металлов и нефтепродуктов).
4. Кормовые добавки для животных (улучшают усвоение питательных веществ).
5. Буровые растворы (в нефтегазовой промышленности).
6. Сорбенты (для фильтрации воды и очистки сточных вод).

2.

Перспективы разработки. Месторождение представляет интерес для
агропромышленного комплекса, так как гуминовые препараты востребованы в
органическом земледелии. Однако его разработка требует инвестиций в добычу и
переработку.
Рецептуры производства гуминовых удобрений из леонардита
Леонардит – богатый источник гуминовых и фульвокислот, которые можно
перерабатывать в различные формы удобрений. Приведем основные рецептуры для
получения жидких, гелеобразных, порошкообразных и гранулированных форм.
1. Жидкие гуминовые удобрения (водная вытяжка)
Применение: корневая и внекорневая подкормка растений.
Рецепт 1: Базовая жидкая форма (гумат калия/натрия)
Леонардит (измельченный, 80% гуминовых веществ) – 10 кг
Гидроксид калия (KOH) или гидроксид натрия (NaOH) – 1–2 кг (для
подщелачивания)
Вода (очищенная) – 100 л
Дополнительно (опционально):
o Микроэлементы (Fe, Zn, Cu, Mn в хелатной форме) – 50–100 г
o Фосфор (в виде фосфорной кислоты H₃PO₄) – 0,5–1 л
Технология производства:
1.
2.
3.
4.
5.
Леонардит измельчить до фракции <0,5 мм.
Смешать с водой и щелочью (pH 10–12).
Нагреть до 60–70°C и перемешивать 2–4 часа.
Отстоять 24 часа, затем отфильтровать (остаток – балласт).
Полученный раствор (гумат) разбавить водой до концентрации 1–5%.
Выход: ~80–100 л жидкого гумата (концентрат).
2. Гелеобразные гуминовые удобрения
Применение: пролонгированное действие, удобрение для капельного полива.
Рецепт 2: Гуминовый гель
Гумат калия (концентрат, 10–15%) – 50 л
КМЦ (карбоксиметилцеллюлоза) или агар – 1–2 кг (загуститель)
Глицерин – 5 л (для стабилизации)
Микроэлементы – по необходимости
Технология:
1. Смешать гумат с загустителем при 50–60°C.
2. Добавить глицерин, перемешать до однородности.
3. Охладить, расфасовать.

3.

Выход: ~50–60 кг геля.
3. Порошкообразные гуминовые удобрения
Применение: сухая подкормка, добавка в почвосмеси.
Рецепт 3: Сухой гумат (метод распылительной сушки)
Жидкий гумат (10–15%) – 100 л
Наполнитель (торф, цеолит, глина) – 20–30 кг (для улучшения сыпучести)
Технология:
1. Распылительная сушка при 150–200°C.
2. Смешать с наполнителем.
3. Фасовка в мешки.
Выход: ~15–20 кг сухого порошка (85–90% гуминовых веществ).
4. Гранулированные гуминовые удобрения
Применение: пролонгированное действие, удобрение для полей.
Рецепт 4: Гранулы с NPK
Леонардит (измельченный) – 50%
Аммофос (NPK 12:52:0) – 20%
Сульфат калия (K₂SO₄) – 15%
Бентонит (связующее) – 10%
Микроэлементы – 5%
Технология:
1. Смешать компоненты.
2. Гранулировать на пресс-грануляторе (влажность 10–15%).
3. Сушка при 80–100°C.
Выход: гранулы 3–5 мм, содержание гуминовых кислот 30–40%.
Вывод
Из леонардита можно производить:
✅ Жидкие гуматы – для быстрой подкормки.
✅ Гели – для капельного полива.
✅ Порошки – для внесения в почву.
✅ Гранулы – с пролонгированным действием.
Для промышленного производства потребуется:
Дробилка, мельница.
Реактор с подогревом и мешалкой.

4.

Фильтр-пресс.
Сушилка (распылительная или барабанная).
Гранулятор (если делаем гранулы).
Спецификация оборудования для добычи леонардита и производства гуматов (30 000
т/год)
(примерный базовый перечень)
Производственная линия включает:
1.
2.
3.
4.
5.
6.
Добычу и первичную переработку леонардита (открытый способ).
Измельчение и активацию сырья.
Химическую обработку (щелочной гидролиз).
Фильтрацию и очистку растворов.
Производство гелеобразных и сыпучих форм.
Фасовку и упаковку.
1. Оборудование для добычи леонардита
(Открытый карьер, глубина до 30 м, мощность пласта 1–5 м)
Оборудование
Характеристики
Кол-во
Экскаватор драглайн
Объем ковша 5–10 м³, глубина до 30 м
2
Бульдозер (на вскрыше)
Тяговый класс 25–35 т (D10, D11)
2
Самосвалы
Грузоподъемность 40–60 т (БелАЗ, CAT)
5–7
Дробилка щековая
Первичное дробление до 200 мм
1
Грохот вибрационный
Сортировка на фракции 0–50 мм
1
Производительность добычи: ~150 000 т/год (с учетом вскрыши).
2. Оборудование для производства гуматов
2.1. Подготовка сырья
Оборудование
Характеристики
Кол-во
Молотковая дробилка
До фракции 0.5–3 мм, 10–15 т/ч
2
Шаровая мельница
Тонкий помол (<0.1 мм), 5 т/ч
1
Силосы для хранения
Объем 50–100 м³ (нержавеющая сталь)
3–4
2.2. Химическая обработка (щелочной гидролиз)

5.

Оборудование
Характеристики
Кол-во
Реактор с мешалкой
Объем 5–10 м³, термостойкий, pH-коррозия
4–6
Насосы для щелочи
Химически стойкие (PP, PTFE)
4
Подогреватель
Паровой/электрический, до 80°C
2
2.3. Фильтрация и очистка
Оборудование
Характеристики
Кол-во
Фильтр-пресс
Рабочее давление 10–15 бар, площадь 50 м²
2
Центрифуга
Разделение твердой/жидкой фаз
1
Отстойники
Объем 20 м³ (пластик/нержавейка)
2
2.4. Производство гелеобразных гуматов
Оборудование
Характеристики
Кол-во
Смеситель-гомогенизатор
2–5 м³, скорость 500–1000 об/мин
2
Дозатор загустителей
КМЦ, агар, глицерин
1
Установка УФ-стерилизации
Для обеззараживания геля
1
2.5. Производство сыпучих гуматов
Оборудование
Характеристики
Колво
Распылительная
сушилка
Температура 150–200°C, производительность 1
т/ч
2
Гранулятор
Дисковый или экструзионный
1
Вибросито
Калибровка гранул 1–5 мм
1
2.6. Фасовка и упаковка
Оборудование
Характеристики
Кол-во
Автомат фасовки жидких форм
1–5 л, 10–20 пакетов/мин
2

6.

Оборудование
Характеристики
Кол-во
Автомат фасовки порошков
1–25 кг, мешки/ведра
1
Паллетизатор
Укладка на поддоны
1
3. Расчет производительности
Сырье: ~50 000 т леонардита/год (выход гуматов ~60%).
Жидкие/гелевые формы: 15 000 т/год.
Сухие/гранулированные: 15 000 т/год.
4. Энергообеспечение и инфраструктура
Электроэнергия: ~500–700 кВт (основные потребители – дробилки, сушилки,
насосы).
Вода: 10–15 м³/час (промывка, приготовление растворов).
Складские помещения:
o Сырьевой склад (500–1000 м²).
o Готовая продукция (300–500 м²).
5. Примерная стоимость линии
Категория
Стоимость (млн руб.)
Добыча и первичная переработка
50–70
Химическая линия
30–50
Сушильно-грануляционный комплекс
20–40
Фасовка и упаковка
10–15
Итого
110–175
(Цены ориентировочные, под ключ с монтажом.)
Вывод
Для производства 30 000 т гуматов в год потребуется:
✅ Горнодобывающая техника (экскаваторы, дробилки).
✅ Химические реакторы и фильтры для экстракции.
✅ Сушилки и грануляторы для сыпучих форм.
✅ Гомогенизаторы и стерилизаторы для гелей.
✅ Автоматизированные линии фасовки.
Технико-экономическое обоснование (ТЭО) базового производства

7.

Добыча леонардита и производство гуминовых удобрений.
Производительность: 30 000 т/год (15 000 т гелеобразных гуматов, 15 000 т сыпучих
гуматов)
Фасовка:
Гелеобразные гуматы – еврокубы (IBC, 1000 л)
Сыпучие гуматы – биг-бэги (1000 л)
1. Технологическая часть
1.1. Добыча леонардита (открытый способ)
Месторождение: Суховское (Курская обл.)
Глубина залегания: 5–30 м
Мощность пласта: 1–5 м
Годовая добыча: 50 000 т (с учетом потерь при обогащении)
Оборудование (российское):
Оборудование
Модель/Производитель
Кол-во
Экскаватор ЭКГ-10
Уралмашзавод
2
Бульдозер Б10
ЧТЗ (Челябинск)
2
Самосвал БелАЗ-7555
БелАЗ (Россия)
5
Дробилка щековая СМД-110
Дробмаш (Владимир)
1
Грохот ГИС-52
Канмаш (Курган)
1
1.2. Производство гуматов
2.1. Подготовка сырья
Оборудование
Модель/Производитель
Кол-во
Молотковая дробилка ДМР-10
ЗАО "Талнах" (Санкт-Петербург)
2
Шаровая мельница МШР-1500
Уралмашзавод
1
Силосы С-50 (нержавеющая сталь)
Завод "РосАгроПром" (Москва)
4
2.2. Химическая обработка
Оборудование
Модель/Производитель
Кол-во
Реактор Р-10 (10 м³, с мешалкой)
ООО "Химмаш" (Казань)
6

8.

Оборудование
Модель/Производитель
Кол-во
Насос ХМП-50 (химстойкий)
Ливгидромаш (Липецк)
4
Подогреватель ПТ-200
Бийский котельный завод
2
2.3. Фильтрация и очистка
Оборудование
Модель/Производитель
Кол-во
Фильтр-пресс ФПАКМ-50
Завод "Технофильтр" (Москва)
2
Центрифуга ОГШ-500
Саратовский завод "СЭЛМА"
1
2.4. Производство гелеобразных гуматов
Оборудование
Модель/Производитель
Кол-во
Смеситель СГ-2000
ООО "Мета" (Екатеринбург)
2
Дозатор загустителей ДЗ-100
НПО "ХимАвтоматика" (Воронеж)
1
2.5. Производство сыпучих гуматов
Оборудование
Модель/Производитель
Кол-во
Распылительная сушилка А1-ОРС
ООО "Пензтекстильмаш"
2
Гранулятор ГК-30
ООО "Агропромсервис" (Краснодар)
1
2.6. Фасовка и упаковка
Оборудование
Модель/Производитель
Кол-во
Линия розлива в еврокубы ЛР-1000
ООО "ПакМаш" (Москва)
1
Автомат фасовки в биг-бэги АФБ-1
Завод "Упаковочные технологии" (СПб)
1
2. Экономические расчеты
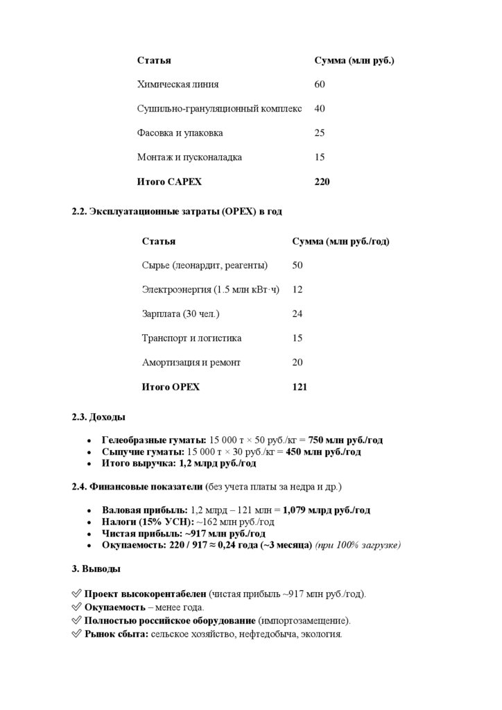
2.1. Капитальные затраты (CAPEX)
Статья
Сумма (млн руб.)
Добыча и первичная переработка
80

9.

Статья
Сумма (млн руб.)
Химическая линия
60
Сушильно-грануляционный комплекс
40
Фасовка и упаковка
25
Монтаж и пусконаладка
15
Итого CAPEX
220
2.2. Эксплуатационные затраты (OPEX) в год
Статья
Сумма (млн руб./год)
Сырье (леонардит, реагенты)
50
Электроэнергия (1.5 млн кВт·ч)
12
Зарплата (30 чел.)
24
Транспорт и логистика
15
Амортизация и ремонт
20
Итого OPEX
121
2.3. Доходы
Гелеобразные гуматы: 15 000 т × 50 руб./кг = 750 млн руб./год
Сыпучие гуматы: 15 000 т × 30 руб./кг = 450 млн руб./год
Итого выручка: 1,2 млрд руб./год
2.4. Финансовые показатели (без учета платы за недра и др.)
Валовая прибыль: 1,2 млрд – 121 млн = 1,079 млрд руб./год
Налоги (15% УСН): ~162 млн руб./год
Чистая прибыль: ~917 млн руб./год
Окупаемость: 220 / 917 ≈ 0,24 года (~3 месяца) (при 100% загрузке)
3. Выводы
✅ Проект высокорентабелен (чистая прибыль ~917 млн руб./год).
✅ Окупаемость – менее года.
✅ Полностью российское оборудование (импортозамещение).
✅ Рынок сбыта: сельское хозяйство, нефтедобыча, экология.

10.

Рекомендации:
Заключить долгосрочные контракты на поставку леонардита
Заключить соглашение с автором технологического решения производства
гуминовых удобрений и гуматов к.т.н. Н. Д. Бычеком
Развивать дистрибуцию через агрохолдинги.
Рассмотреть экспортные поставки (СНГ, Ближний Восток).
Для детализации – нужен Геологический отчет по запасам леонардита и ТЭО от
проектного института.
Предварительная подготовка Технологического регламента производства заявленной
проектной продукции разработана к.т.н. Бычеком Николаем Дмитриевичем.
English     Русский Rules