Формула с татуировкой Ньютона
БИНОМ НЬЮТОНА
Свойства биномиальных коэффициентов
1
2 В формуле бинома Ньютона наибольшее значение имеют центральные коэффициенты. Если n = 2m, то наибольшее значение имеет
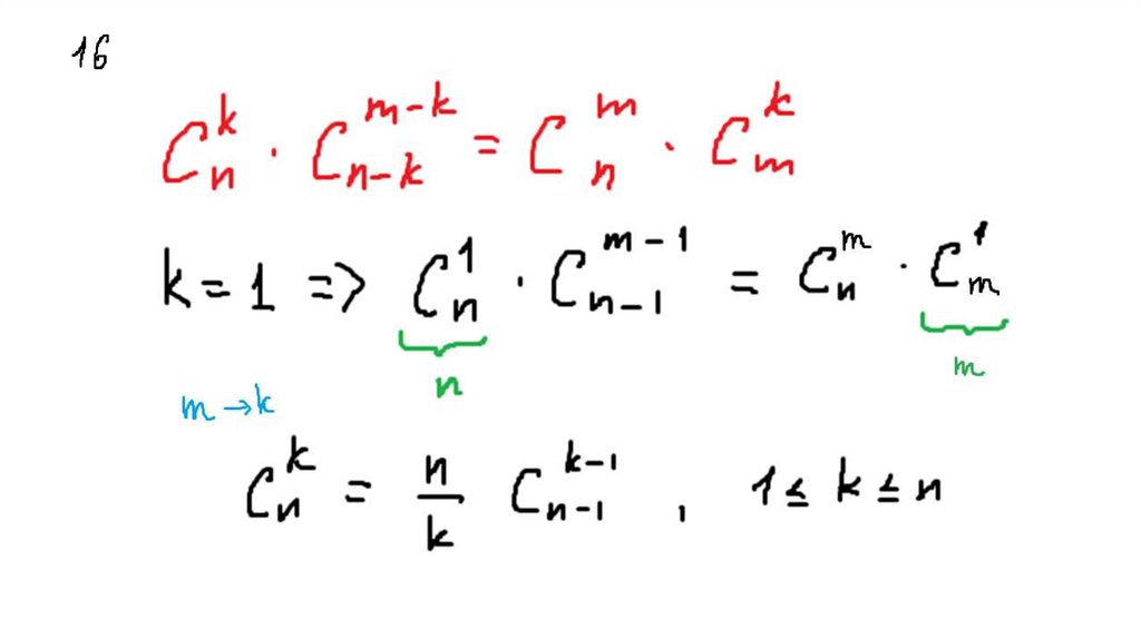
3 Тождество Паскаля
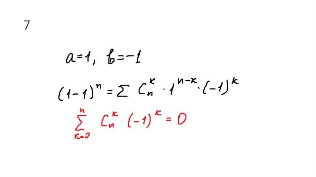
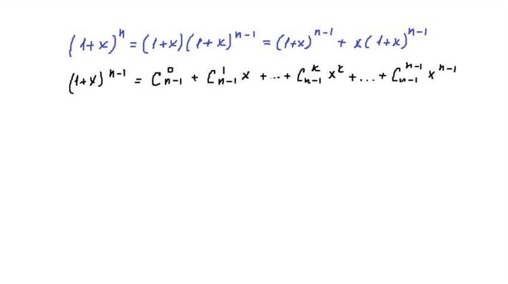
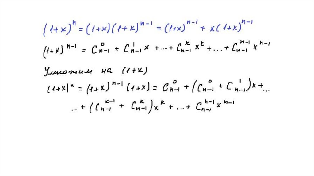
4 Упражнение Доказать формулу бинома Ньютона методом математической индукции (используя тождество Паскаля)
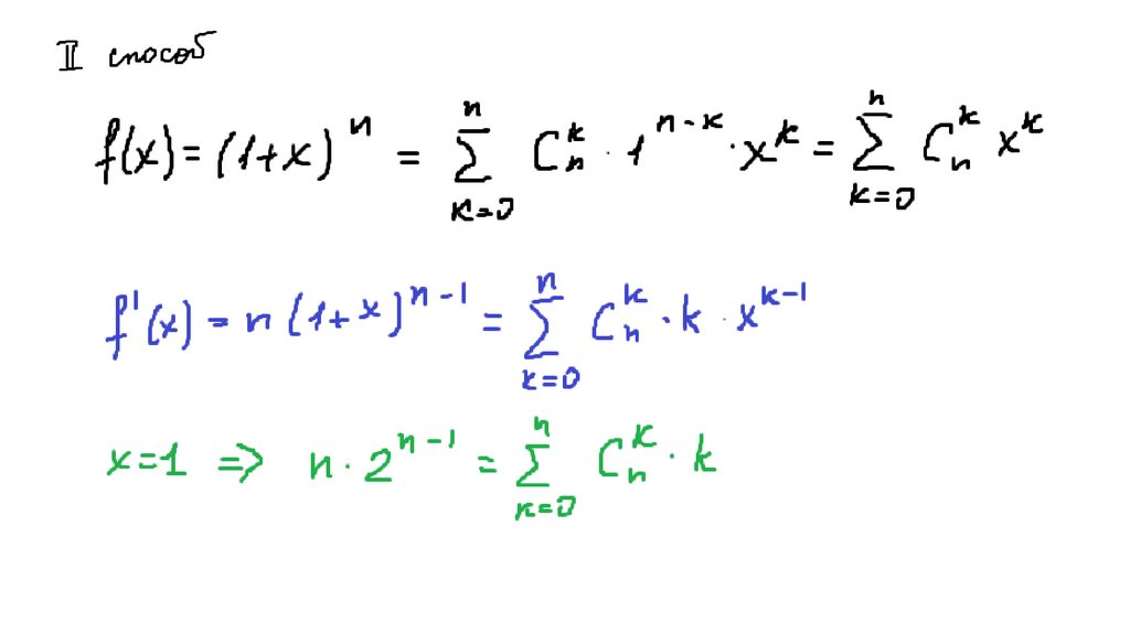
5 Упражнение Доказать тождество Паскаля с помощью соотношения
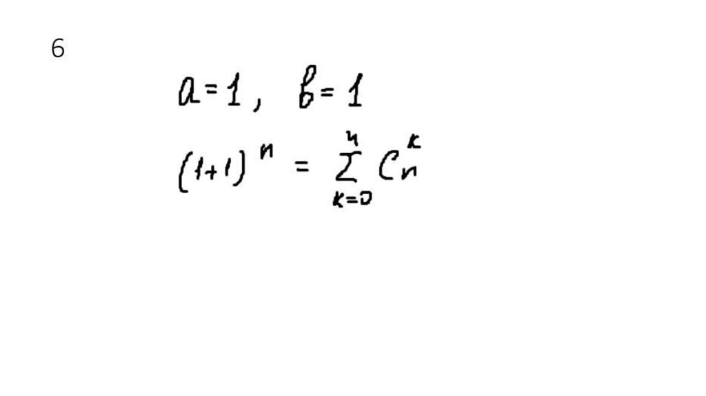
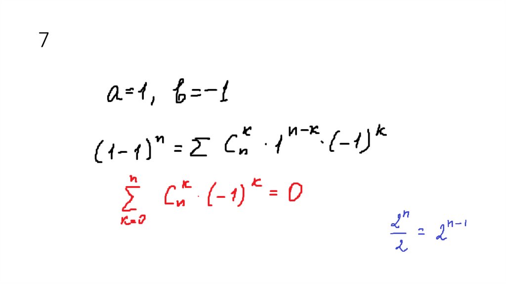
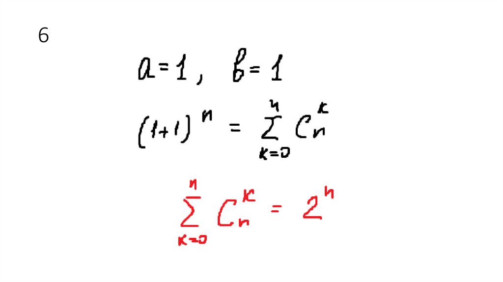
6
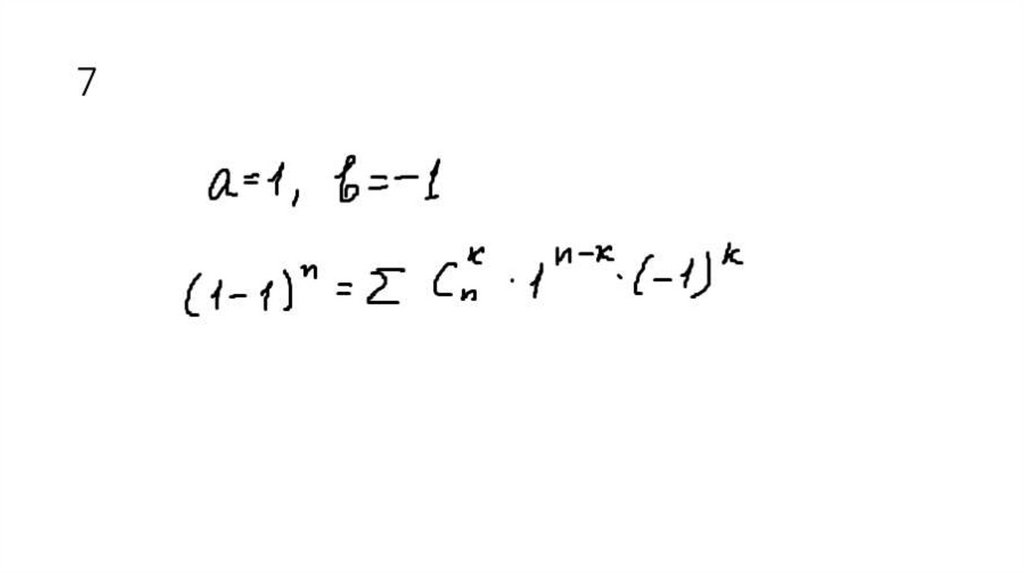
7
13 Доказать
14 Показать, что при любом k сумма есть точный квадрат
15 Доказать, что
24 Доказать, что
ИЗВЛЕЧЕНИЕ КОРНЕЙ
2.81M
Category: mathematicsmathematics

Формула с татуировкой Ньютона

1. Формула с татуировкой Ньютона

2.

История развития ДМ. Задачи
Принцип Дирихле
Основные правила комбинаторики
Выборки. Комбинаторные числа
Метод включений и исключений
Бином Ньютона. Полиномиальная формула
Рекуррентные соотношения
Производящие функции

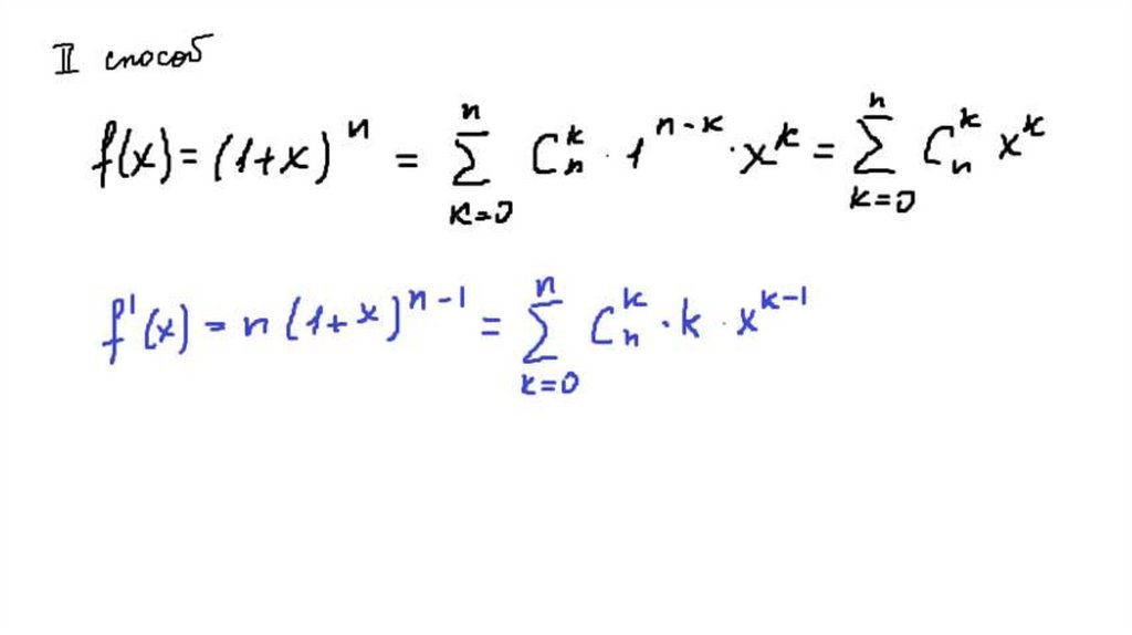
3. БИНОМ НЬЮТОНА

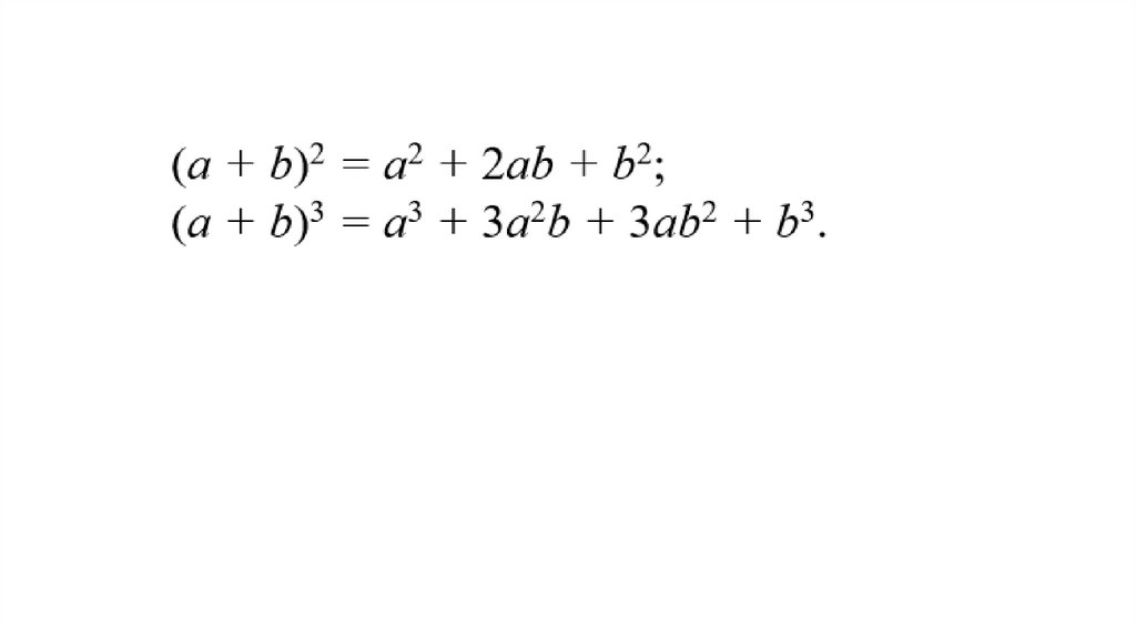
4.

5.

(a + b)2 = a2 + 2ab + b2;
(a + b)3 = a3 + 3a2b + 3ab2 + b3.
Эти равенства являются частными случаями
общей формулы, дающей разложение (a + b)n.

6.

7.

8.

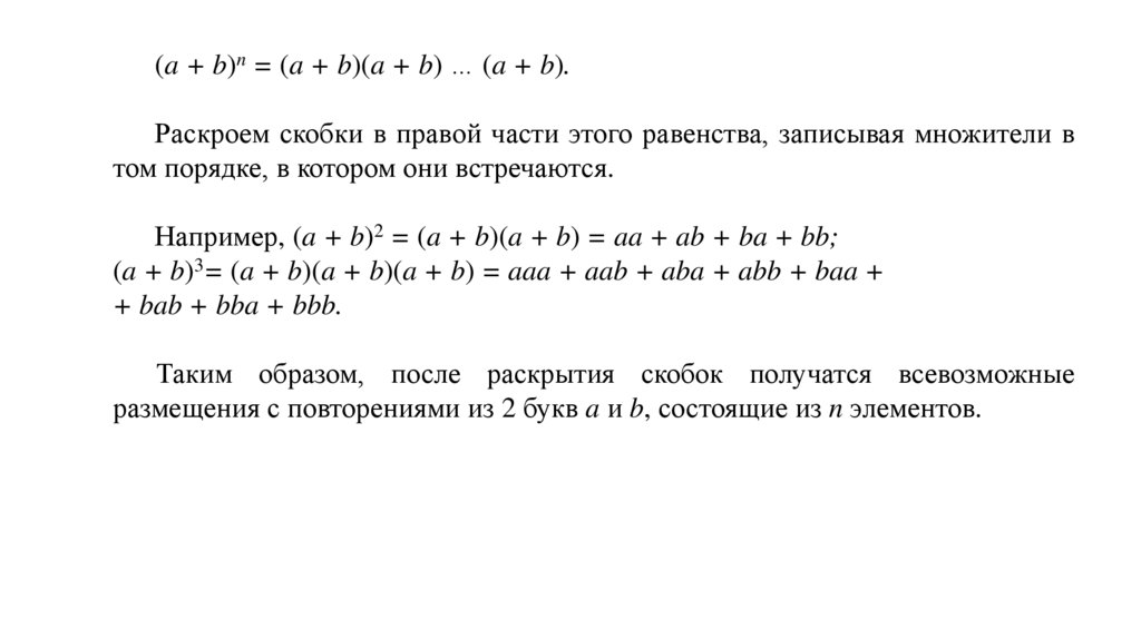
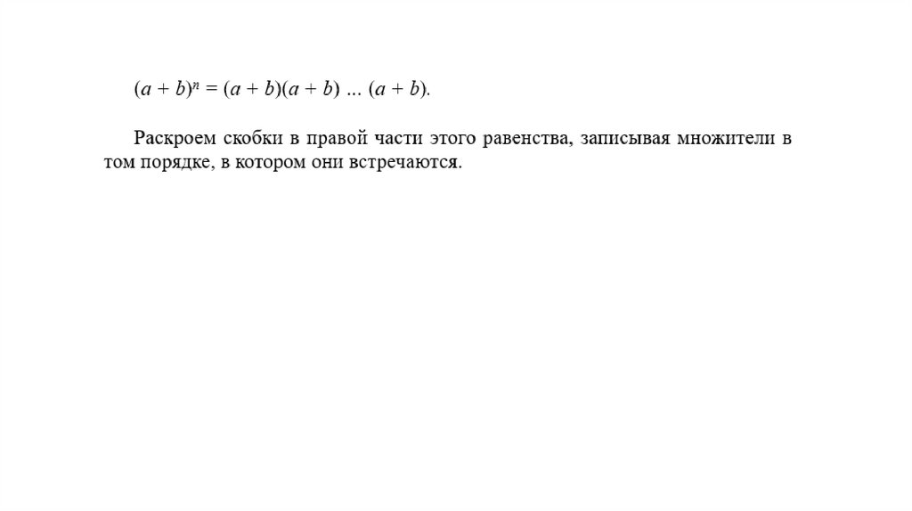
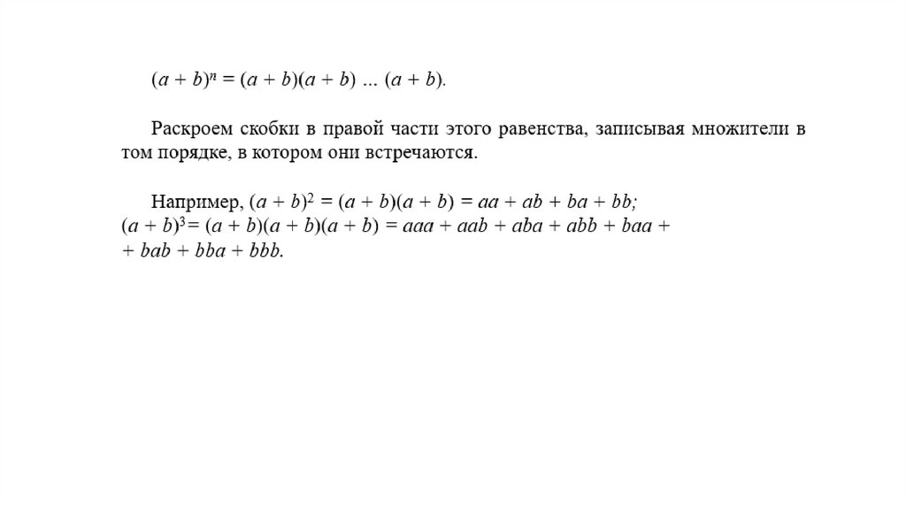
(a + b)n = (a + b)(a + b) … (a + b).
Раскроем скобки в правой части этого равенства, записывая множители в
том порядке, в котором они встречаются.
Например, (a + b)2 = (a + b)(a + b) = aa + ab + ba + bb;
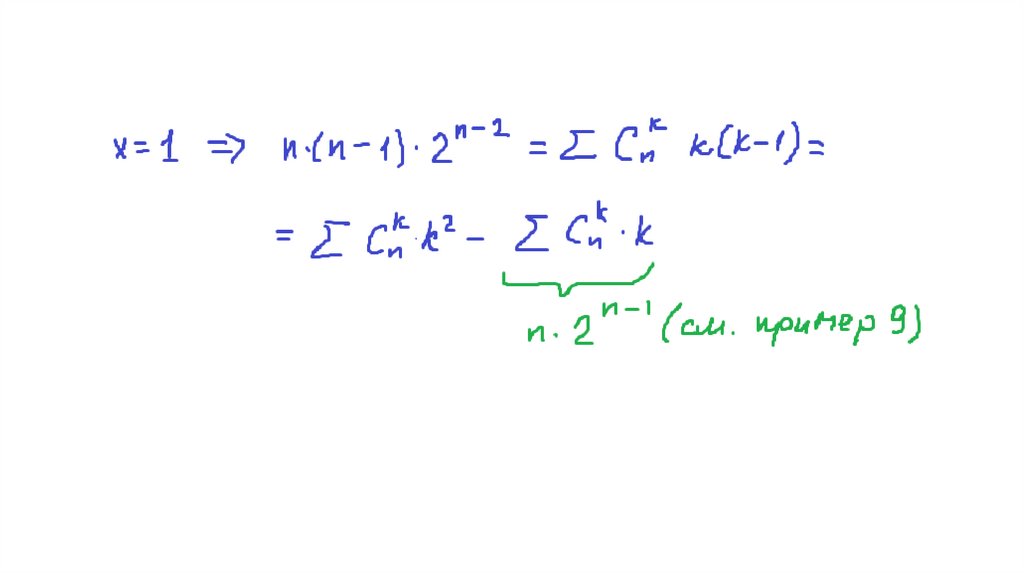
(a + b)3= (a + b)(a + b)(a + b) = aaa + aab + aba + abb + baa +
+ bab + bba + bbb.
Таким образом, после раскрытия скобок получатся всевозможные
размещения с повторениями из 2 букв a и b, состоящие из n элементов.

9.

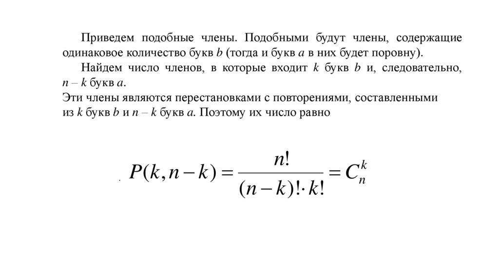
Приведем подобные члены. Подобными будут члены, содержащие
одинаковое количество букв b (тогда и букв a в них будет поровну).
Найдем число членов, в которые входит k букв b и, следовательно,
n – k букв a.
Эти члены являются перестановками с повторениями, составленными
из k букв b и n – k букв a. Поэтому их число равно
.
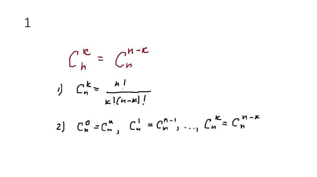
n!
k
P(k , n k )
Cn
(n k )! k!

10.

11.

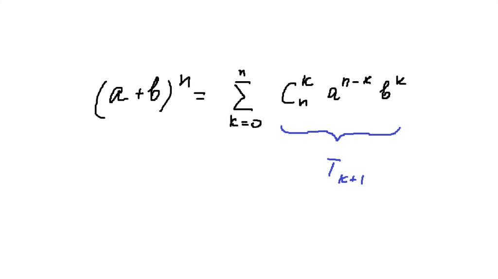
Таким образом:
(a b)
n
0 n
1 n 1
k n k k
n n
C n a C n a b ... C n a b ... C n b
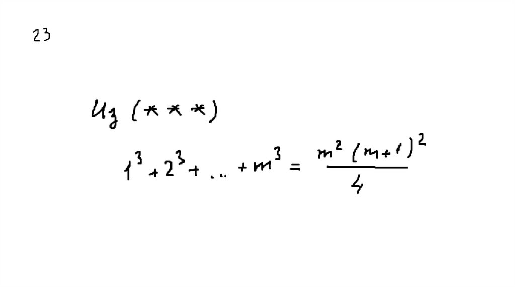
Это равенство принято называть формулой бинома Ньютона.
.

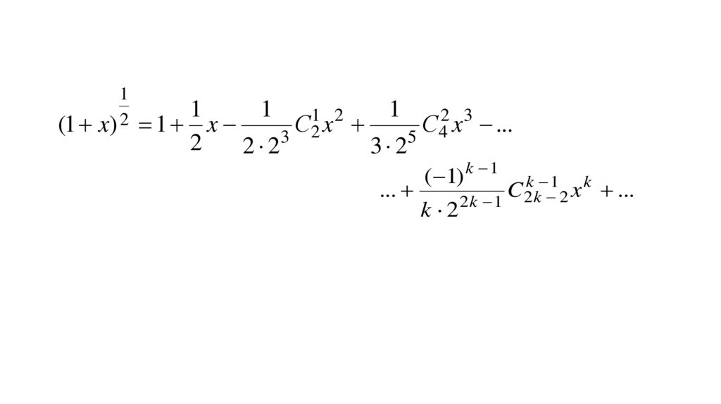
12.

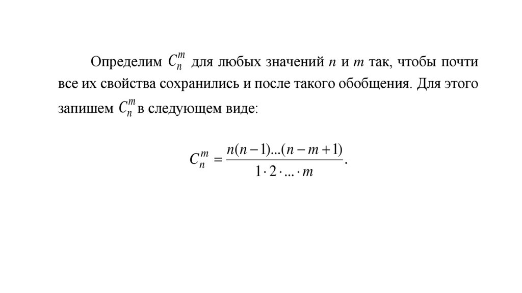
13. Свойства биномиальных коэффициентов

14.

15. 1

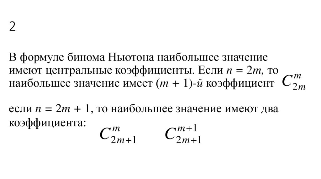
16. 2 В формуле бинома Ньютона наибольшее значение имеют центральные коэффициенты. Если n = 2m, то наибольшее значение имеет

2
В формуле бинома Ньютона наибольшее значение
имеют центральные коэффициенты. Если n = 2m, то m
наибольшее значение имеет (m + 1)-й коэффициент C2 m
если n = 2m + 1, то наибольшее значение имеют два
коэффициента:
m
m 1
C 2 m 1
C 2 m 1

17.

18.

19. 3 Тождество Паскаля

20. 4 Упражнение Доказать формулу бинома Ньютона методом математической индукции (используя тождество Паскаля)

21. 5 Упражнение Доказать тождество Паскаля с помощью соотношения

22.

23.

24.

25.

26.

27. 6

28.

29.

30.

31. 7

32.

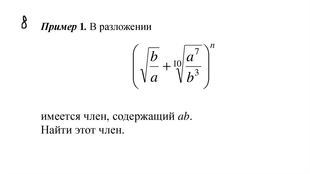
Пример 1. В разложении
7
b
a
10 3
a
b
имеется член, содержащий ab.
Найти этот член.
n

33.

Используя формулу бинома Ньютона, получаем, что
общий член разложения имеет вид
k b
Cn
a
n k
7
a
10
b3
k
6 n
n 4
k
k
k
5
2
2
5
Cn a
b

34.

Общий член будет содержать ab, если показатели степени
6
n
k
5
2
n 4
k
2 5
равны единице,
следовательно, n и k должны удовлетворять системе
n
6
k
1
5
2
n 4 k 1.
2 5
Решив эту систему, получим n = 10, k = 5
C ab 252ab.
5
10

35.

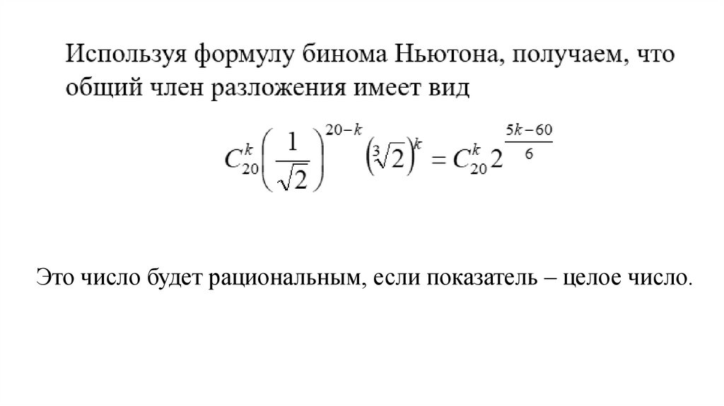
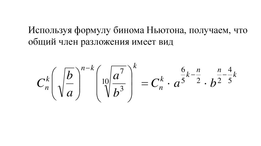
Пример 3. Найти все рациональные члены разложения
1 3
2
2
20
, не выписывая иррациональные.

36.

Это число будет рациональным, если показатель – целое число.

37.

Это возможно при k = 0, k = 6, k = 12, k = 18
Следовательно, соответствующими членами разложения будут
0 10
C20 2
1
1024
C 125970
12
20
6
C
4845
6 5
20
C20 2
32
4
C 2 32C 6080
18
20
5
18
20

38.

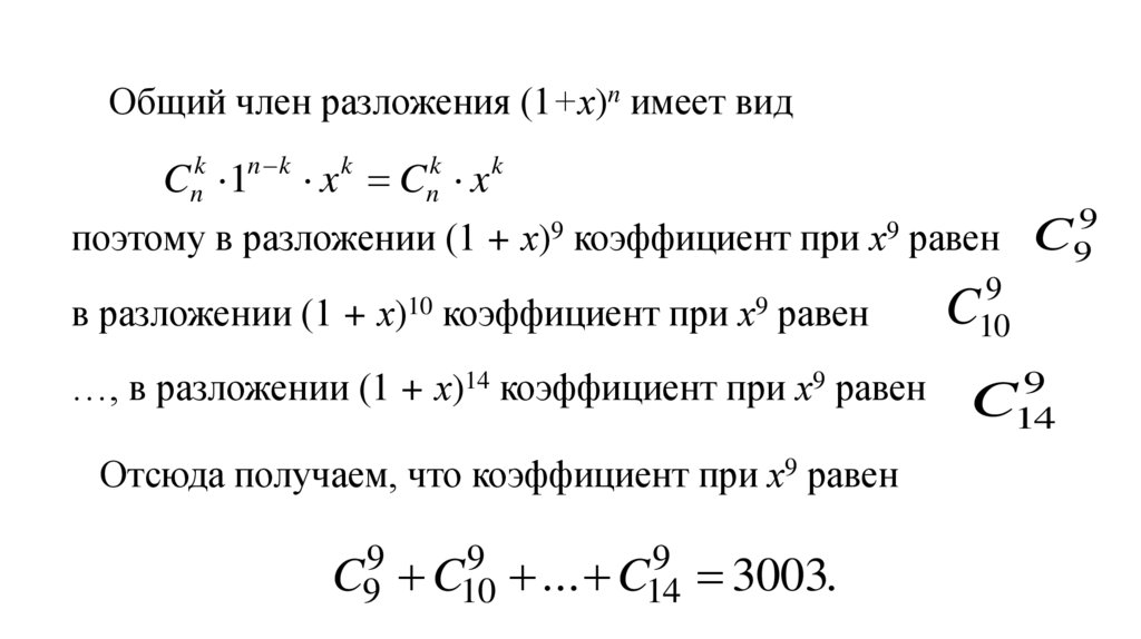
Пример 4. Найти, не раскрывая скобок, коэффициент при х9 в
многочлене
(1 + х)9 + (1 + х)10 + (1 + х)11 + (1 + х)12 + (1 + х)13+ (1 + х)14.

39.

Общий член разложения (1+х)n имеет вид
n k
C 1
k
n
x C x
k
k
n
k
поэтому в разложении (1 + х)9 коэффициент при х9 равен
в разложении (1 + х)10 коэффициент при х9 равен
…, в разложении (1 + х)14 коэффициент при х9 равен
Отсюда получаем, что коэффициент при х9 равен
9
9
9
C9 C10 ... C14 3003.
9
C9
9
10
C
9
C14

40.

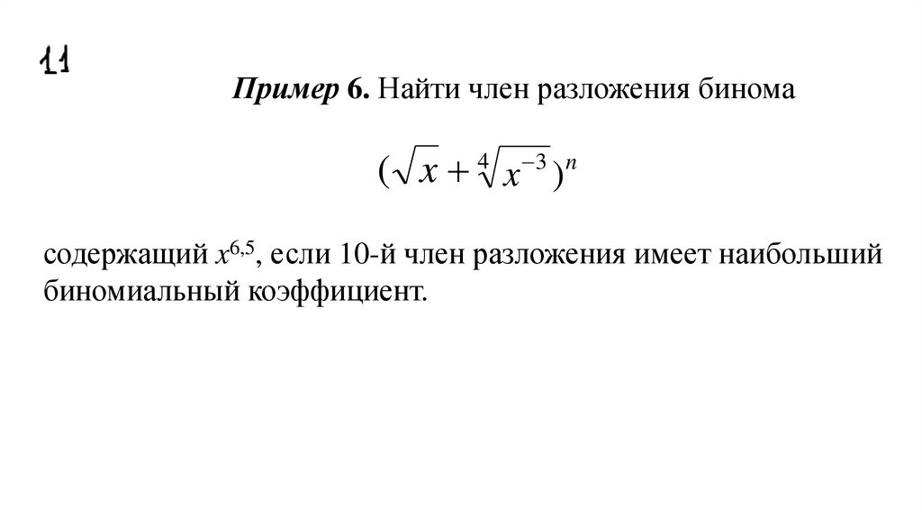
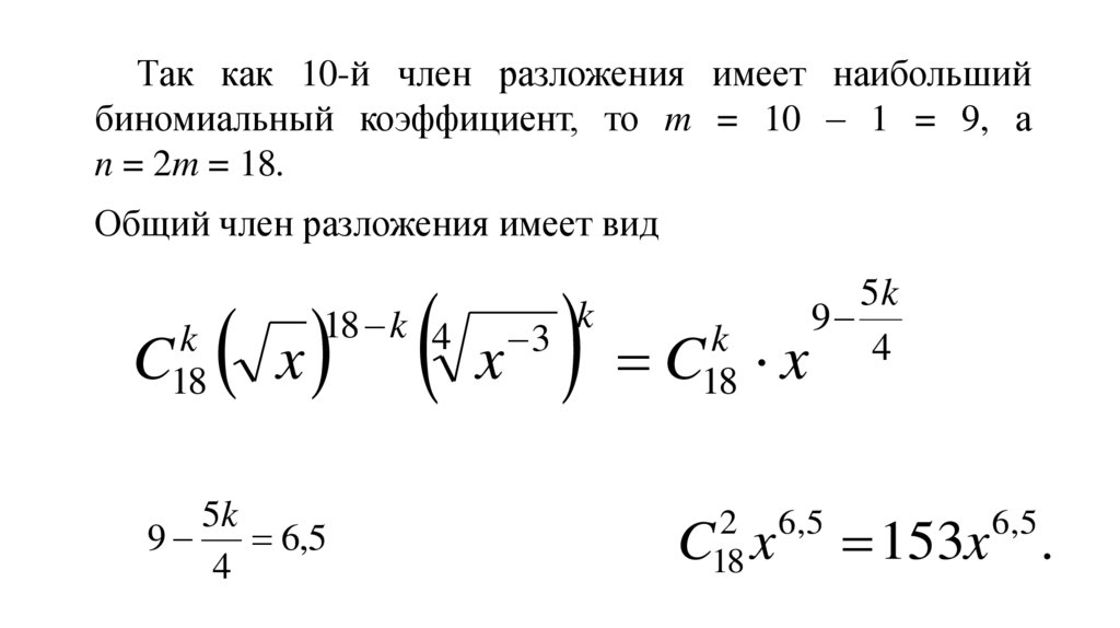
Пример 6. Найти член разложения бинома
( x 4 x 3 )n
содержащий x6,5, если 10-й член разложения имеет наибольший
биномиальный коэффициент.

41.

Так как 10-й член разложения имеет наибольший
биномиальный коэффициент, то m = 10 – 1 = 9, а
n = 2m = 18.
Общий член разложения имеет вид
k
C18
5k
9
18 k 4 3 k
k
4
x
x
C18 x
5k
9
6,5
4
2 6, 5
18
C x
153x .
6, 5

42.

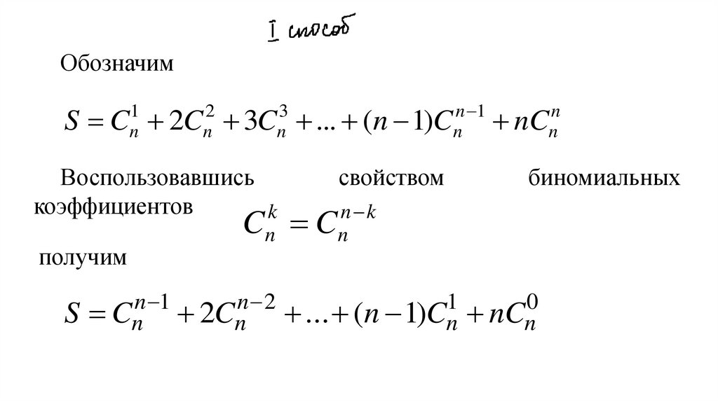
Пример 9. Вычислить сумму
C 2C 3C ... nC
1
n
2
n
3
n
n
n

43.

Обозначим
n 1
n
S C 2C 3C ... (n 1)C
1
n
2
n
3
n
Воспользовавшись
коэффициентов
k
получим
Cn C
свойством
nC
n
n
биномиальных
n k
n
n 1
n 2
1
0
S Cn 2Cn ... (n 1)Cn nCn

44.

Сложим эти равенства
2S nC C (n 1)C 2C (n 2)C ... nC
0
n
1
n
1
n
2
n
2
n
n
n
0
1
2
n
0
1
n
n
nCn nCn nCn ... nCn n(Cn Cn ... Cn ) n 2
Отсюда получаем
1
n
n 1
S n 2 n 2
2

45.

46.

47.

48.

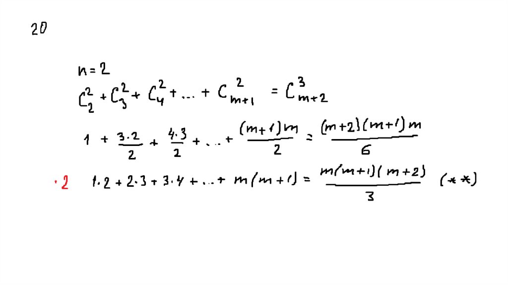
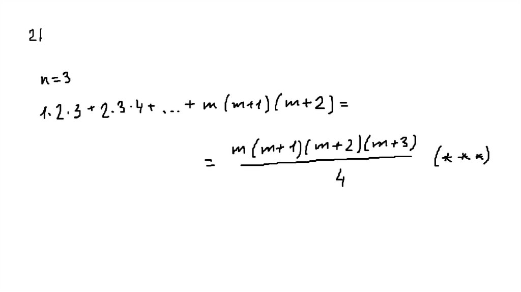
49. 13 Доказать

50.

51.

52.

53. 14 Показать, что при любом k сумма есть точный квадрат

54.

55. 15 Доказать, что

56.

57.

58.

59.

60.

61.

62.

63.

64.

65.

66.

67.

68.

69. 24 Доказать, что

70.

71. ИЗВЛЕЧЕНИЕ КОРНЕЙ

72.

m
Определим Cn для любых значений n и m так, чтобы почти
все их свойства сохранились и после такого обобщения. Для этого
m
C
запишем n в следующем виде:
n(n 1)...( n m 1)
m
Cn
.
1 2 ... m

73.

1
Формула Ньютона при n примет вид
2
1 1
1 1 1
1
1
1 2
1
2 2 2 2 2 2
x3
2
(1 x) 1 x
x
2
1 2
1 2 3
1 1 1
1 ... k 1
2 2 2
x k ...
1 2 ... k

74.

После преобразования этого выражения, получаем
1
1
2
(1 x) 1 x
2
1 2
1 3 3
x
x ...
2 4
2 4 6
k 1 1 3 ... ( 2k 3) k
... ( 1)
x ...
2 4 ... 2k

75.

1
1
2
(1 x) 1 x
2
1
2 2
1 2
С x
3 2
1
3 2
2 3
С x ...
5 4
...
( 1)
k 2
k 1
k 1 k
C
x
...,
2
k
2
2k 1

76.

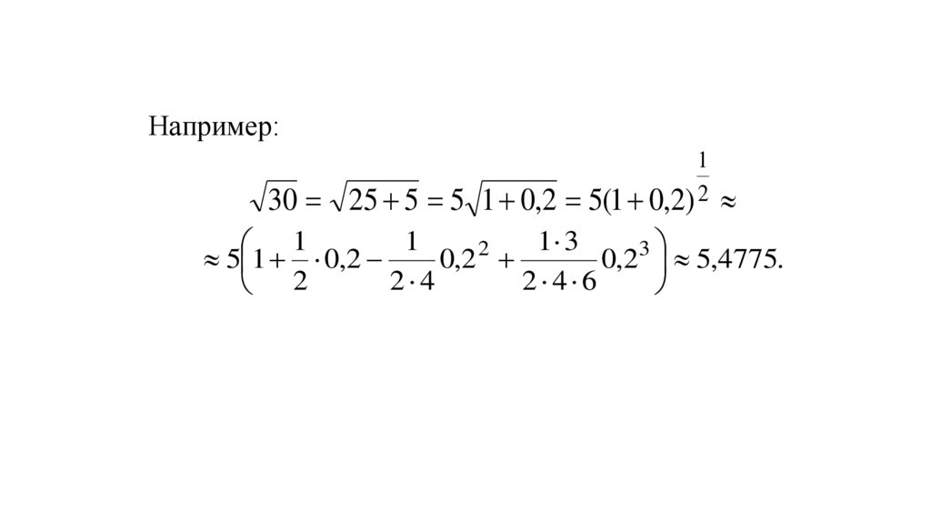
Например:
30
1
25 5 5 1 0,2 5(1 0,2) 2
1
1 3
1
2
3
5 1 0,2
0,2
0,2 5,4775.
2 4
2 4 6
2
English     Русский Rules