2.34M
Category:
mathematics
Similar presentations:
Собственные векторы и собственные числа матриц
Собственные векторы и собственные числа матриц
Собственные значения, собственные векторы матрицы
Собственные значения и собственные векторы
Собственные числа и собственные вектора матриц
Лекция 4: 2-я основная задача линейной алгебры - Нахождение собственных значений и собственных векторов матрицы
Собственные значения и собственные векторы матрицы
Ранг матрицы. Собственные числа и собственные векторы
Линейные операторы. Матрица оператора. Собственные числа и собственные векторы
Собственные числа и собственные векторы
Собственные векторы и собственные значения
1.
Собственные векторы и собственные значения
2.
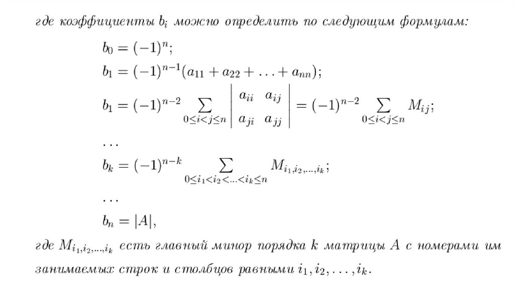
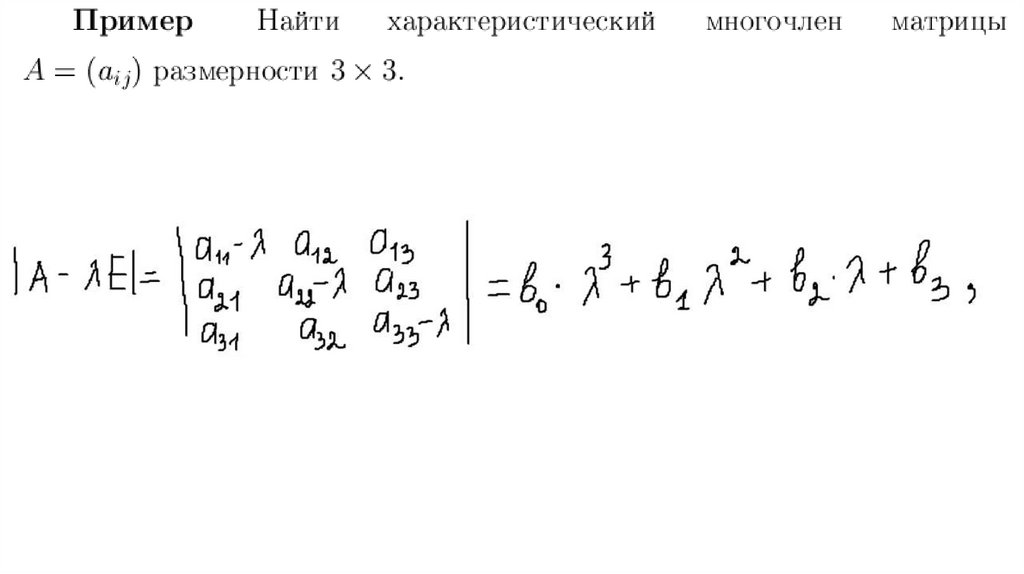
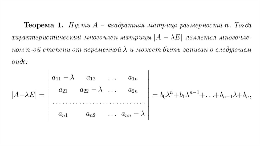
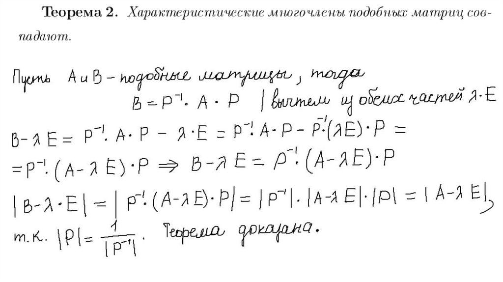
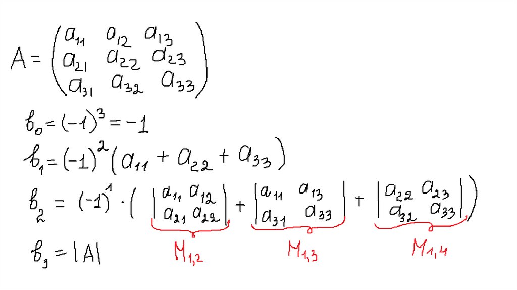
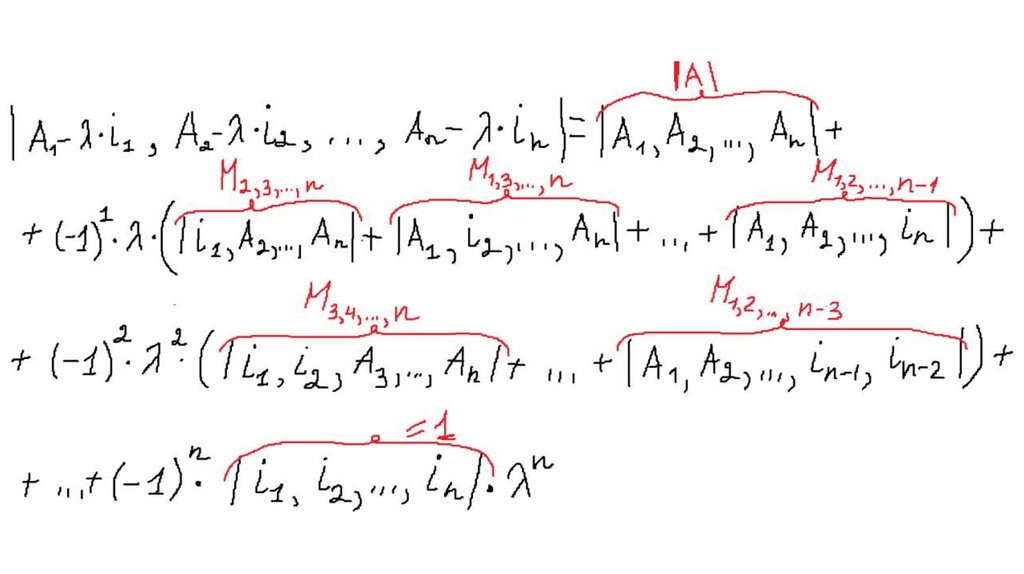
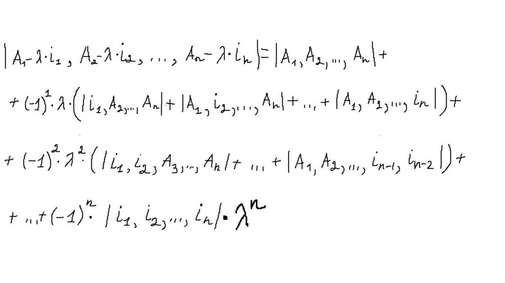
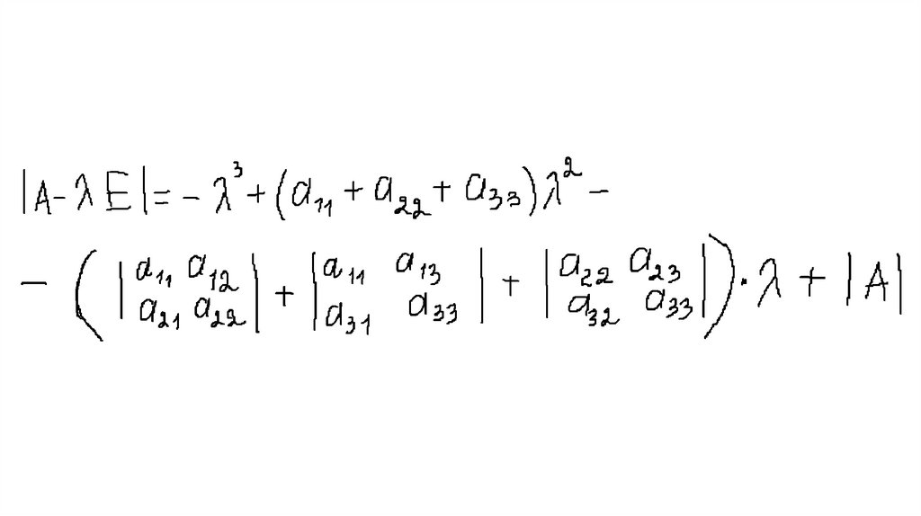
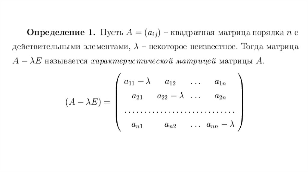
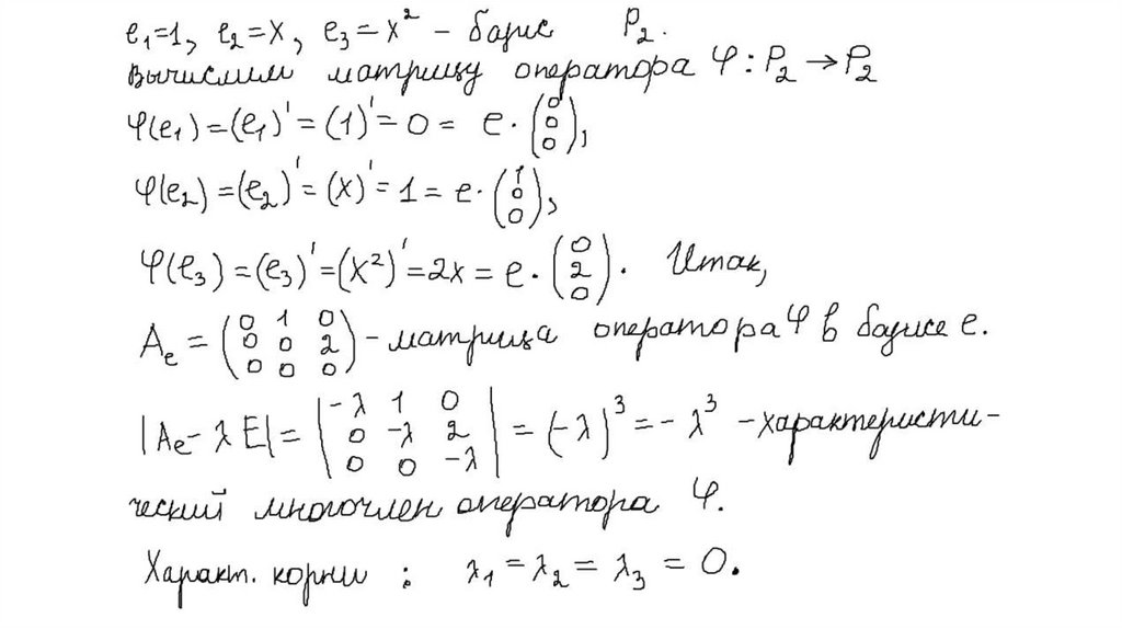
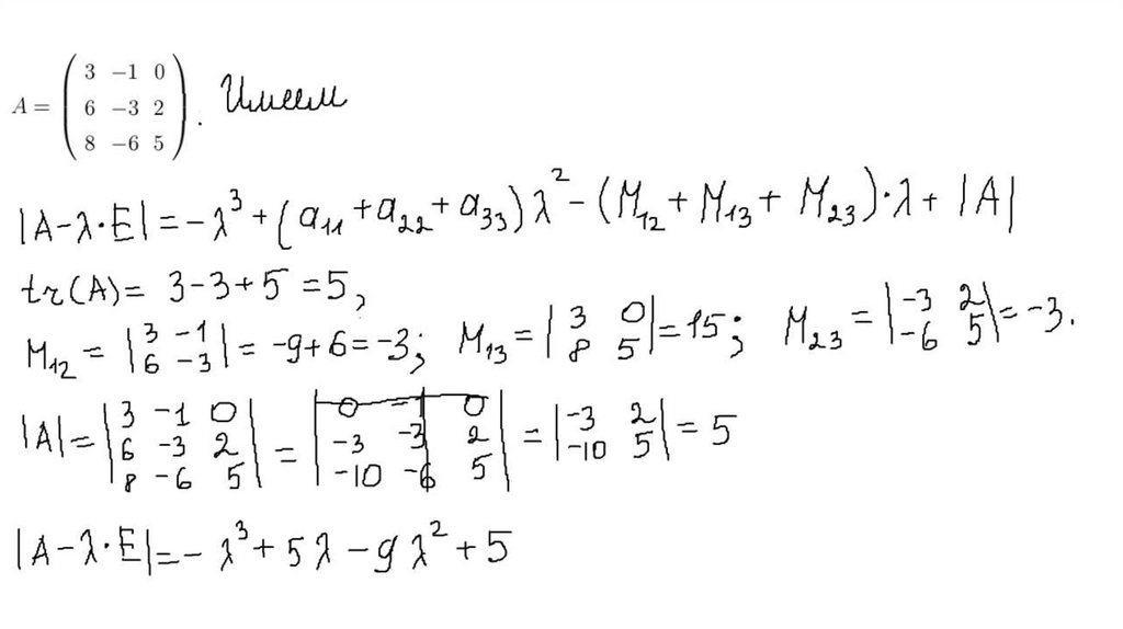
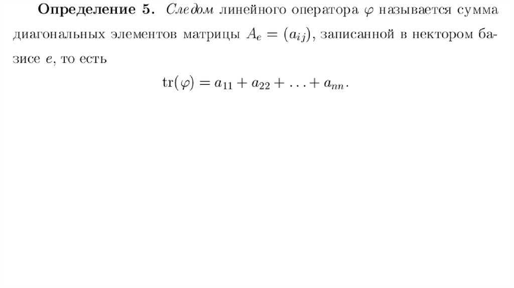
Характеристические корни матрицы
3.
4.
5.
6.
7.
8.
9.
10.
11.
12.
13.
14.
15.
16.
17.
18.
19.
20.
21.
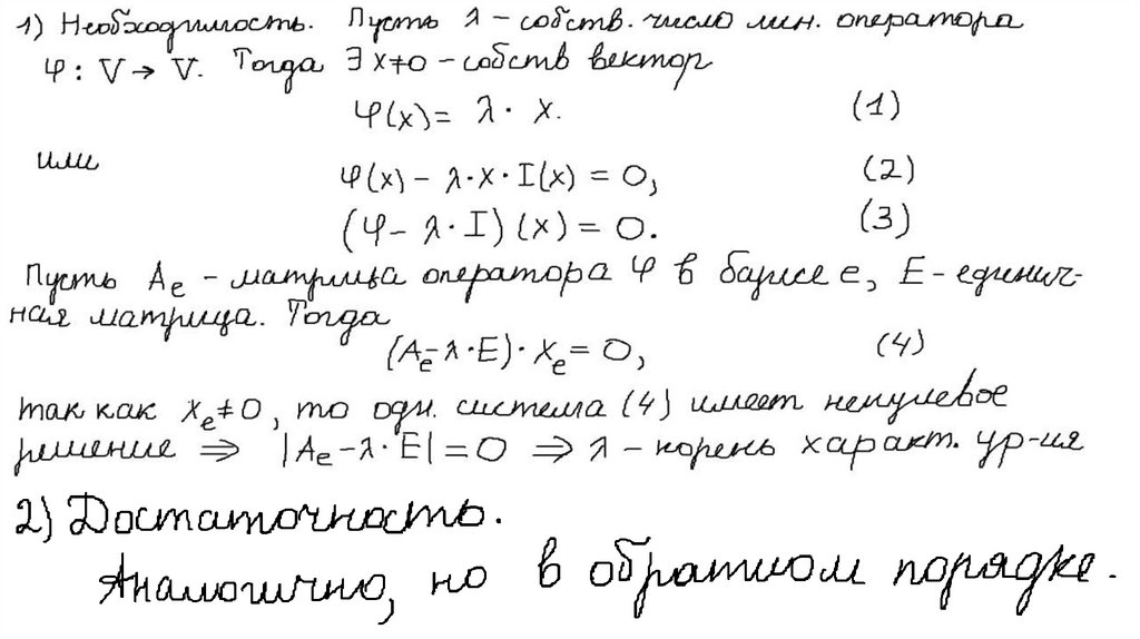
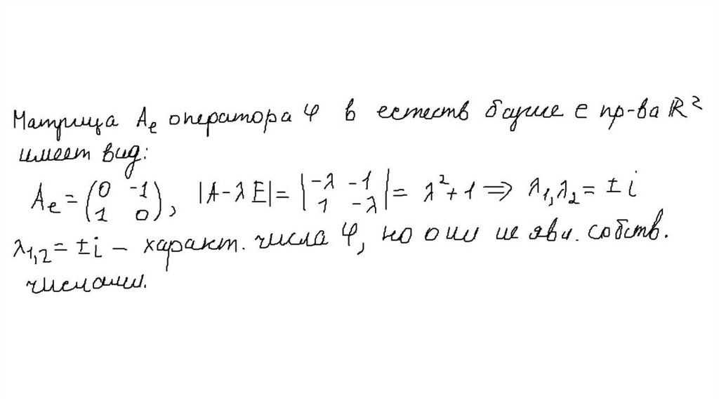
Характеристические корни линейного оператора
22.
23.
24.
25.
26.
27.
28.
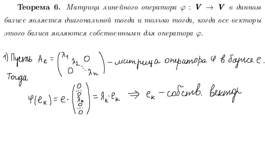
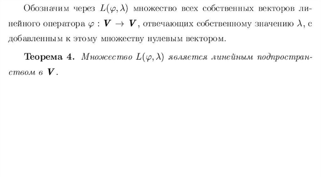
Собственные векторы линейного оператора
29.
30.
31.
32.
33.
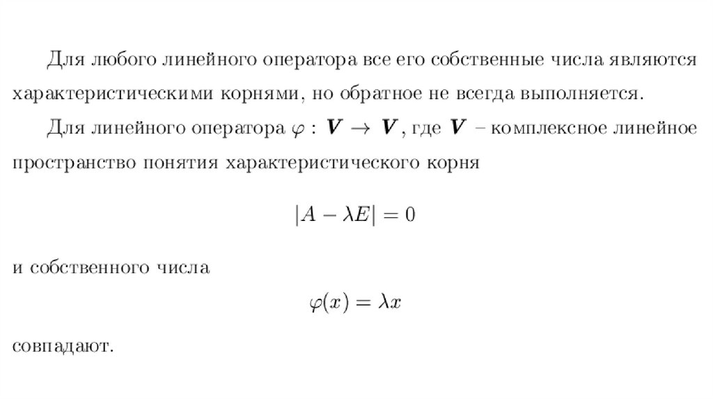
Характеристические корни и собственные числа линейного оператора
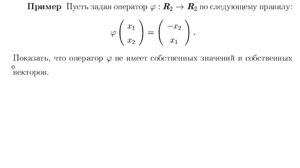
Они совпадают?
34.
35.
36.
37.
38.
39.
40.
41.
42.
43.
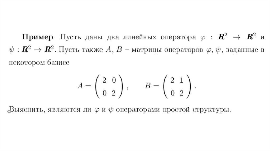
Свойства собственных векторов
English
Русский
Rules