4. Уравнения в полных дифференциалах
1. Линейные однородные дифференциальные уравнения n-го порядка
11.86M
Category: mathematicsmathematics

Математика. Глава V. Дифференциальные уравнения

1.

Математика
Глава V.
Дифференциальные
уравнения
Преподаватель – доцент, к.п.н.
Ефремова Оксана Николаевна

2.

§ 1. Основные понятия
Дифференциальные уравнения – уравнения, связывающие
независимые переменные, неизвестную функцию от этих
переменных и её производные или дифференциалы.
Решением дифференциального уравнения называется
функция, которая при подстановке в уравнение обращает его
в тождество.
Если неизвестная функция зависит от одной переменной, то
дифференциальное уравнение называют обыкновенным,
если от нескольких переменных, то в частных производных.
Наивысший
порядок
производной,
входящей
в
дифференциальное уравнение, называется порядком этого
уравнения.

3.

y 3 y 2 y 0
обыкновенное дифференциальное
уравнение третьего порядка
y z x x z y
дифференциальное уравнение в
частных производных первого
порядка
x y y xe y 0 обыкновенное дифференциальное
уравнение первого порядка
Процесс отыскания решения дифференциального
уравнения называется его интегрированием, а
график его решения – интегральной кривой.
Общий вид обыкновенного дифференциального
уравнения:
F ( x, y, yʹ, yʺ, …, y(n)) = 0,

4.

§ 2. Дифференциальные уравнения
первого порядка
Общий вид дифференциального уравнения первого
порядка:
F ( x, y, y' ) = 0
x – независимая переменная,
y(x) – искомая функция,
F – заданная функция трех переменных.
y' = f (x, y)
уравнение, разрешённое
относительно производной.
y
x y y xe 0
x 2 y 5xy y 2
y 2 5 xy
y
x2

5.

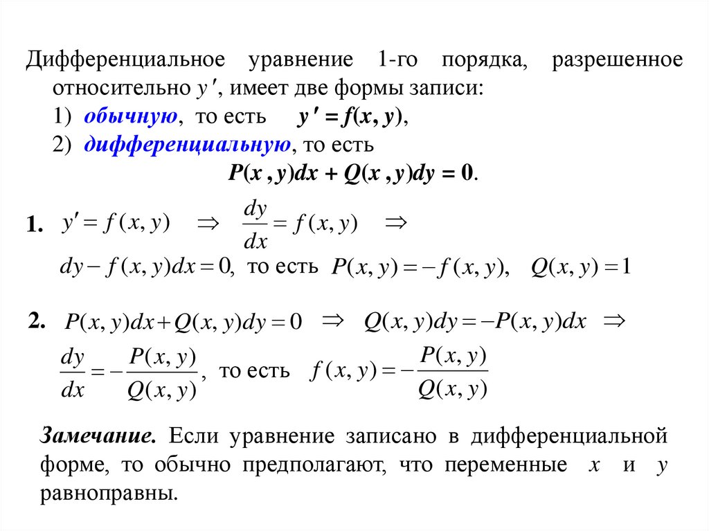
Дифференциальное уравнение 1-го порядка, разрешенное
относительно y , имеет две формы записи:
1) обычную, то есть y = f(x, y),
2) дифференциальную, то есть
P(x , y)dx + Q(x , y)dy = 0.
dy
f ( x, y )
1. y f ( x, y )
dx
dy f ( x, y)dx 0, то есть P( x, y ) f ( x, y ), Q( x, y) 1
2. P( x, y)dx Q( x, y)dy 0 Q( x, y)dy P( x, y)dx
P( x, y )
dy
P ( x, y )
, то есть f ( x, y )
Q ( x, y )
dx
Q ( x, y )
Замечание. Если уравнение записано в дифференциальной
форме, то обычно предполагают, что переменные x и y
равноправны.

6.

y 2 x
y ?
y x2
y x 5
2
y x2 C
Интегрирование дифференциального уравнения в
общем случае приводит к бесконечному множеству
решений.
Задача Коши. Найти решение дифференциального
уравнения первого порядка, удовлетворяющее
начальному условию.
y' = f (x, y), y( x0 ) y0
начальное условие
y
y ,
x
y ( 4) 1
– задача Коши

7.

Задача Коши. Найти решение дифференциального
уравнения первого порядка, удовлетворяющее начальному
условию:
y' = f (x, y), y( x0 ) y0
Геометрически, задание начального условия означает, что
на плоскости xOy задается точка (x0,y0), через которую
проходит интегральная кривая y(x).
Теорема (существования и единственности решения задачи
Коши).
Пусть для уравнения y = f(x, y) выполняются два условия:
1) f(x,y) непрерывна в некоторой области D плоскости xOy,
2) fy (x, y) в области D ограничена.
Тогда для любой точки (x0, y0) D существует единственное
решение y = (x) этого уравнения, удовлетворяющее условию
y(x0) = y0.

8.

Общим решением дифференциального уравнения y = f(x, y) в
области D существования и единственности решения
задачи Коши называется функция
y = (x, C),
зависящая от x и одной произвольной постоянной C, которая удовлетворяет следующим двум условиям:
1) при любом допустимом значении постоянной С она
является решением данного уравнения;
2) каково бы ни было начальное условие y(x0) = y0 (где
(x0, y0) D), можно найти единственное значение C = C0
такое, что функция y = (x , C0) удовлетворяет данному
начальному условию.
Уравнение Φ(x, y, C) = 0, задающее общее решение в неявном
виде, называется общим интегралом уравнения.
Любое решение (интеграл), получающееся из общего решения
(интеграла) при конкретном значении постоянной C (включая C = ), является частным.

9.

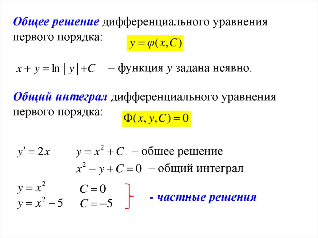
Общее решение дифференциального уравнения
первого порядка:
y ( x, C )
x y ln | y | C
функция y задана неявно.
Общий интеграл дифференциального уравнения
первого порядка:
( x , y , C ) 0
y 2 x
y x 2 C – общее решение
x 2 y C 0 – общий интеграл
y x2
2
y x 5
C 0
C 5
- частные решения

10.

Общее решение не всегда описывает все множество
решений дифференциального уравнения.
Интегрируя дифференциальное уравнения, необходимо всегда
проверять, не были ли потеряны в процессе преобразования
какие-либо решения.
Решение y = (x), в каждой точке которого нарушено условие
единственности (т.е. через каждую точку кривой y = (x)
проходит еще хотя бы одна, отличная от y = (x),
интегральная кривая), называется особым.
Особое решение не входит в общее решение дифференциального уравнения, оно всегда «теряется» в процессе интегрирования.

11.

§ 3. Методы интегрирования
дифференциальных уравнений
первого порядка
1. Уравнения с разделяющимися
переменными
Определение. Дифференциальное уравнение I-го порядка
называется уравнением с разделяющимися переменными,
если оно имеет вид:
Частный случай. Дифференциальное уравнение I-го порядка с
разделенными переменными имеет вид:

12.

13.

Пример 1.
1
y 2
y
dy 1
2
dx y
y 2 dy dx
1
1
y dy dx
y dy dx
x n 1
n
x dx n 1 C
2
2
y
y
dy
dx
C =2
C =0
C = -1
dx x C
y3
x C – общий интеграл
3
y 3 3( x C ) – общее решение
x

14.

Пример 2.
y
y ,
x
y ( 4) 1
y
dy
dx
dx
x ln | x | C
dy
dx
dy
y
dy
dx
x
y
y
x
dx
x
ln a ln b ln( a b)
ln | y | ln | x | ln C
b
1
b
ln
a
ln(
a
)
ln | x | ( 1) ln | x | ln(| x | ) ln
|x|
C
1
C
ln | y | ln ln C ln
– общее решение
y
|x|
|x|
x
C
4
C 4
1
– частное решение
y
4
x
1

15.

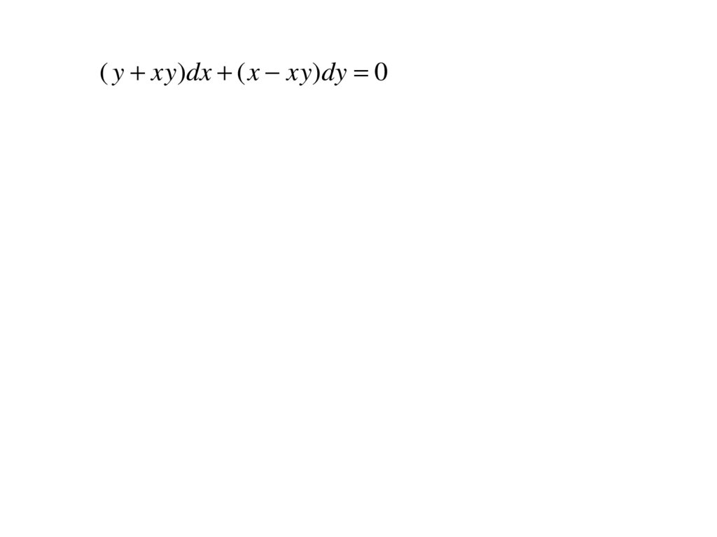
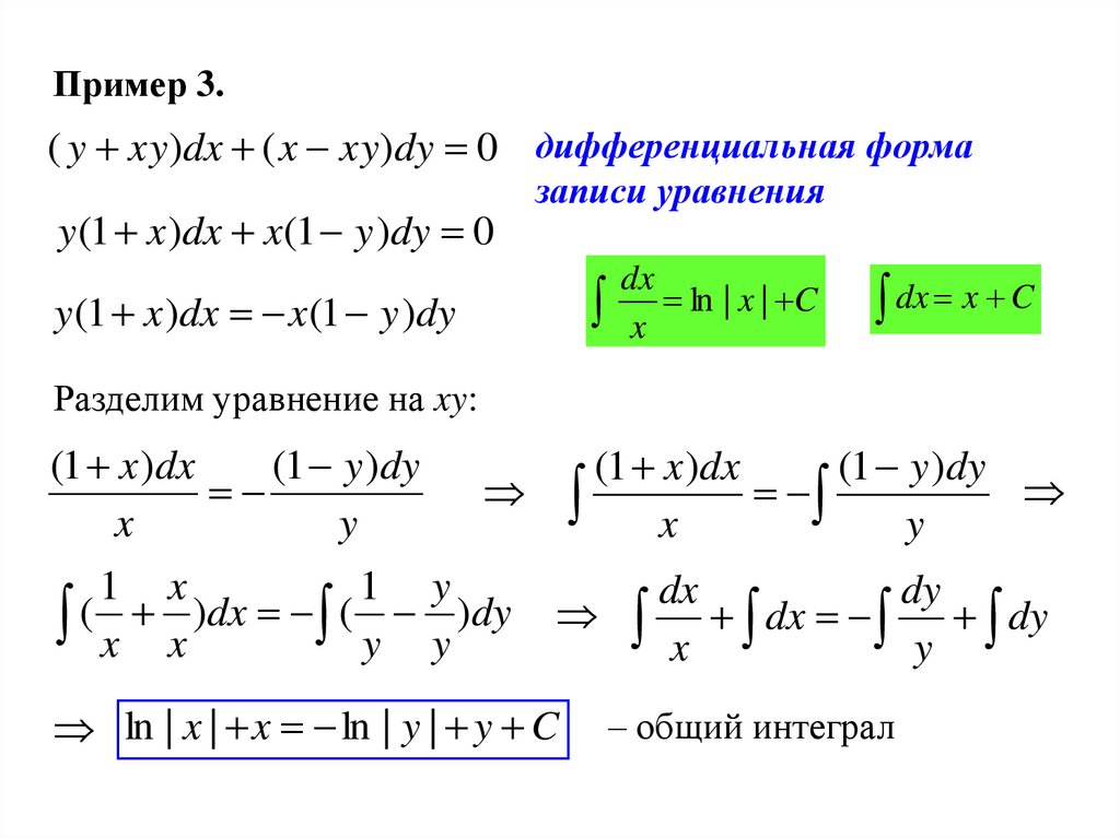
Пример 3.
( y xy)dx ( x xy)dy 0 дифференциальная форма
y (1 x )dx x(1 y )dy 0
записи уравнения
dx
x ln | x | C
y (1 x )dx x(1 y )dy
dx x C
Разделим уравнение на xy:
(1 x )dx
(1 y )dy
x
y
(1 x )dx
(1 y )dy
x y
1 x
1 y
( x x )dx ( y y )dy
ln | x | x ln | y | y C
dx
dy
x dx y dy
– общий интеграл

16.

( y xy)dx ( x xy)dy 0

17.

18.

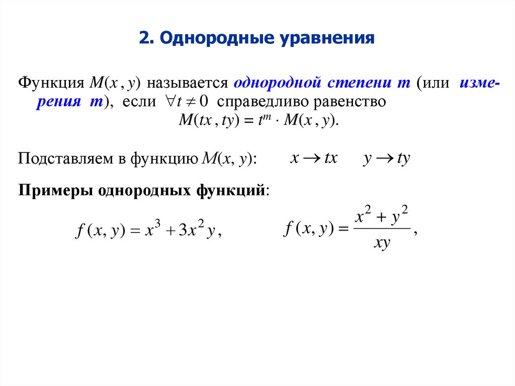
2. Однородные уравнения
Функция M(x , y) называется однородной степени m (или измерения m), если t 0 справедливо равенство
M(tx , ty) = tm M(x , y).
Подставляем в функцию М(x, y):
x tx
y ty
Примеры однородных функций:
f ( x, y ) x 3 3 x 2 y ,
x2 y2
f ( x, y )
,
xy

19.

2. Однородные уравнения
Определение.
порядка
Дифференциальное
уравнение
первого
y = f(x , y)
называется однородным, если функция f(x,y) является
однородной нулевой степени.
y2 x2
Пример. Проверить, является ли уравнение y
2
x
однородным.
Подставим в уравнение вместо выражение x = tx, y = ty:
(ty)2 (tx)2 t 2 y 2 t 2 x 2 t 2 ( y 2 x 2 ) y 2 x 2
y
2
2 2
2 2
(tx)
t x
t x
x2
Если уравнение не изменилось, то это однородное
уравнение.

20.

2. Однородные уравнения
Определение. Дифференциальное уравнение
первого порядка вида
у = f(y/x)
называется однородным дифференциальным
уравнением.
Однородное уравнение приводится к уравнению с
разделяющимися переменными при помощи замены
y
t
x
y tx
y t x t

21.

22.

Пример1.
xy y x
Проверяем, однородное ли уравнение.
Подставляем вместо x → tx, вместо y → ty.

23.

3. Линейные уравнения и
уравнения Бернулли
Определение. Дифференциальное уравнение I-го порядка
называется линейным, если сама функция и её производная
входят в уравнение в первой степени и не содержат их
произведения, т.е. уравнения вида
Пример.
xy 2 y x 4 0
P(x)
Q(x)
2y
2y
3
3
y
x
0
y
x
x
x
Следовательно, это уравнение является линейным.

24.

Методы решения линейных дифференциальных
уравнений I-го порядка
1. Метод вариации произвольной постоянной
2. Метод подстановки

25.

Определение. Уравнением Бернулли называется
дифференциальное уравнение вида
где n 0, n 1.
При n = 0 получим линейное уравнение первого порядка.
При n = 1 получим уравнение с разделяющимися
переменными (показать).
Пример. xy y 3x
2
y
1
1/ 2
y
y
3
xy
x
Следовательно, уравнение является уравнением Бернулли.

26.

Методы решения уравнения Бернулли
1. Метод замены (сведение уравнения к линейному)
Обе части уравнения
разделить на уn
и сделать замену z = y 1- n , z = (1 – n) y .
Получим дифференциальное уравнение I-го порядка
относительно переменной z:
z /(1 – n) + P(x) z = Q(x).
2. Метод подстановки
Решение ищем в виде произведения двух функций
y = u(x) v(x).

27.

Методы решения уравнения Бернулли
1. Метод замены (сведение уравнения к линейному)
Обе части уравнения
разделить на уn
и сделать замену z = y 1- n , z = (1 – n) y .
Получим дифференциальное уравнение I-го порядка
относительно переменной z:
z /(1 – n) + P(x) z = Q(x).
xy y 3x 2 y ,
2. Метод подстановки
Решение ищем в виде произведения двух функций
y = u(x) v(x).

28.

xy y 3x 2 y ,

29.

Пример 1.
xy 2 y x 0
4
линейное уравнение
2y
y p( x ) y f ( x )
x3
x
y uv y u v uv
y
2uv
2v
3
u v uv
x u v u ( v ) x 3
x
x
0
b ln a ln( a b )
dv
2v
dv
dx
2v
ln | v | 2 ln | x |
2
v
0
1)
dx
x
v
x
x
1
v x 2 v 2
x
6
u
du
x
3
x5 u
2 ) u v x 3 2 x
C
x
dx
6
1
x6
y uv y C 2
6
x
x4 C
y
2 – общее решение
6 x

30.

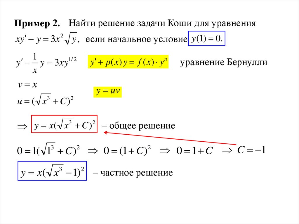
Пример 2. Найти решение задачи Коши для уравнения
xy y 3x 2 y , если начальное условие y (1) 0.
1
y y 3xy1 / 2 y p( x ) y f ( x ) y n уравнение Бернулли
x
1
v
y uv
u v uv uv 3x(uv )1/ 2 u v u( v ) 3x(uv )1 / 2
x
x
y u v uv
0
dv dx
dv v
v
ln | v | ln | x | v x
1) v 0
v
x
dx x
x
du
3u1 / 2 x1 / 2
2 ) u v 3x(uv) u x 3xu x
dx 1/2
3/2
du
u
x
1/ 2
1 / 2
1/ 2
3
x
dx
3
C
u
du
3
x
dx
1/ 2
u
1/ 2
3/ 2
1/ 2
x n 1
x dx n 1 C
n
1/ 2 1/ 2
u x3 C
u ( x 3 C )2

31.

Пример 2. Найти решение задачи Коши для уравнения
xy y 3x 2 y , если начальное условие y (1) 0.
1
y y 3xy1 / 2
x
v x
u ( x 3 C )2
y p( x ) y f ( x ) y n
уравнение Бернулли
y uv
y x( x 3 C )2 – общее решение
0 1( 13 C )2 0 (1 C )2 0 1 C C 1
y x( x 3 1)2 – частное решение

32. 4. Уравнения в полных дифференциалах

Определение. Уравнение M(x , y)dx + N(x , y)dy = 0
называется уравнением в полных дифференциалах,
если его левая часть является полным дифференциалом
некоторой функции u(x , y) , то есть если
M(x , y)dx + N(x , y)dy = du(x , y).
Общий интеграл уравнения в полных дифференциалах имеет
вид
u(x , y) = C.
Задачи:
1) научиться определять, когда выражение
M(x , y)dx + N(x , y)dy
является полным дифференциалом;
2) научиться находить функцию u(x , y), зная ее полный дифференциал.

33.

ТЕОРЕМА 1.
Пусть функции M(x , y), N(x , y) определены и непрерывны
в области D xOy и имеют в ней непрерывные частные
производные
M
y
и
N
.
x
Выражение
M(x, y)dx + N(x, y)dy
представляет собой полный дифференциал некоторой
функции u(x, y) во всех точках области D выполняется
условие
M N
.
y
x
Доказательство

34.

34

35.

35

36.

36

37.

37

38.

38

39.

39

40.

1. Необходимость. Пусть M ( x, y)dx N ( x, y)dy du( x, y).
Покажем, что
M N
.
y
x
u
u
u
u
dx dy M ( x, y ) , N ( x, y ) .
Т.к. du( x, y)
y
x
x
y
2u
N
2u
M
.
,
Тогда
x y x
y x y
M
N
По условию теоремы
и
y
x
M N
2u
2u
.
y
x
x y y x
– непрерывные

41.

M N
.
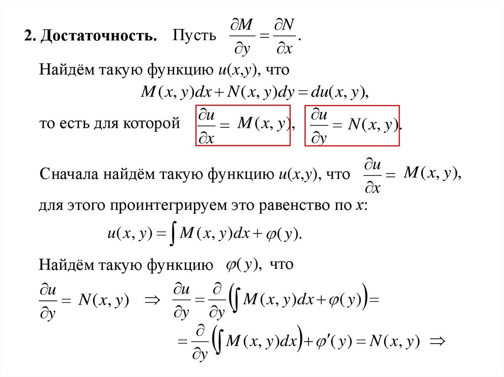
2. Достаточность. Пусть
y
x
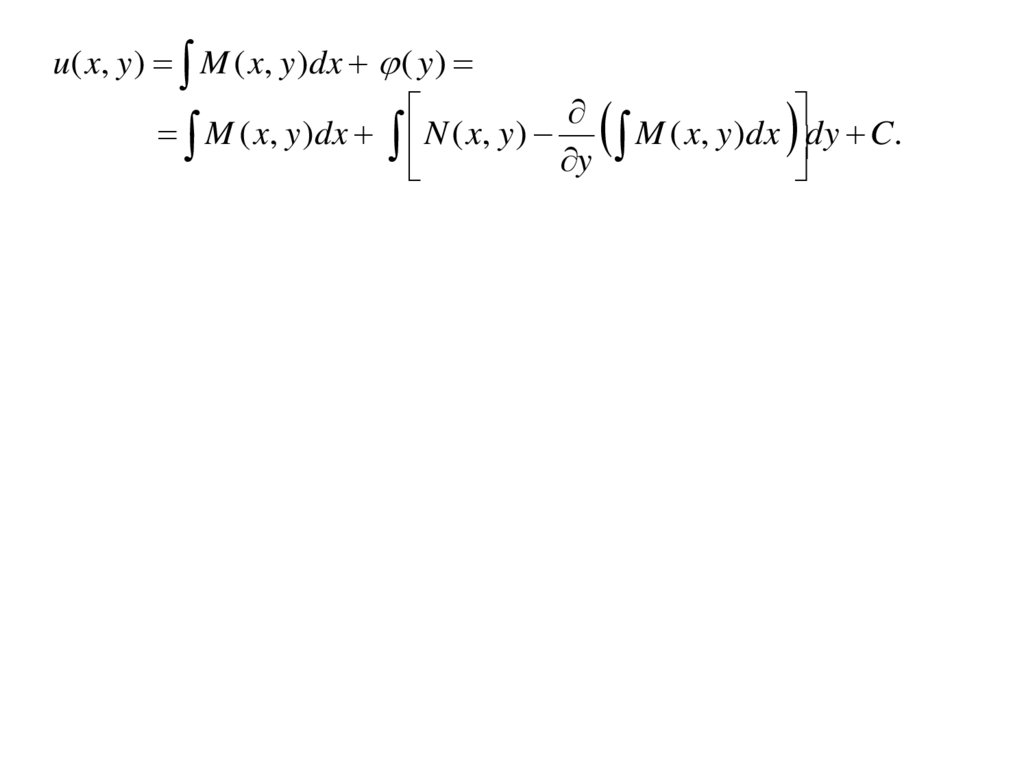
Найдём такую функцию u(x,y), что
M ( x, y)dx N ( x, y)dy du( x, y),
u
то есть для которой u M ( x, y),
N ( x, y).
y
x
u
Сначала найдём такую функцию u(x,y), что
M ( x, y),
x
для этого проинтегрируем это равенство по х:
u( x, y ) M ( x, y )dx ( y).
Найдём такую функцию ( y), что
u
u
M ( x, y )dx ( y )
N ( x, y)
y y
y
M ( x, y )dx ( y ) N ( x, y )
y

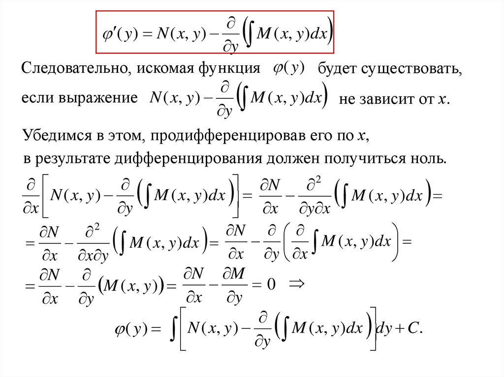
42.

M ( x, y)dx
y
Следовательно, искомая функция ( y ) будет существовать,
если выражение N ( x, y )
M ( x, y )dx не зависит от х.
y
Убедимся в этом, продифференцировав его по х,
в результате дифференцирования должен получиться ноль.
( y) N ( x, y)
N
2
N ( x, y )
M ( x, y )dx
M ( x, y )dx
x
y
x y x
N
N
2
M
(
x
,
y
)
dx
M ( x, y )dx
x y x
x x y
N M
N
0
M ( x , y )
x y
x y
N
(
x
,
y
)
M
(
x
,
y
)
dx
dy C.
( y)
y

43.

u( x, y ) M ( x, y )dx ( y )
M ( x, y )dx N ( x, y )
M ( x, y )dx dy C.
y

44.

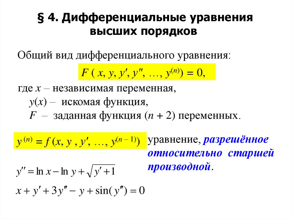
§ 4. Дифференциальные уравнения
высших порядков
Общий вид дифференциального уравнения:
F ( x, y, yʹ, yʺ, …, y(n)) = 0,
где x – независимая переменная,
y(x) – искомая функция,
F – заданная функция (n + 2) переменных.
y (n) = f (x, y , yʹ, …, y(n – 1)) уравнение, разрешённое
относительно старшей
производной.
y ln x ln y y 1
x y 3 y y sin( y ) 0

45.

Интегрирование дифференциального уравнения в
общем случае приводит к бесконечному множеству
решений.
Задача Коши. Найти решение дифференциального
уравнения
y (n) = f (x, y , yʹ, …, y(n – 1)),
удовлетворяющее начальным условиям:
y( x0 ) y00 , y ( x0 ) y10 , y ( x0 ) y20 , ..., y ( n 1) ( x0 ) y( n 1)0
начальные условия
xy x( y )2 y 0, y (2) 2, y (2) 1 – задача Коши

46.

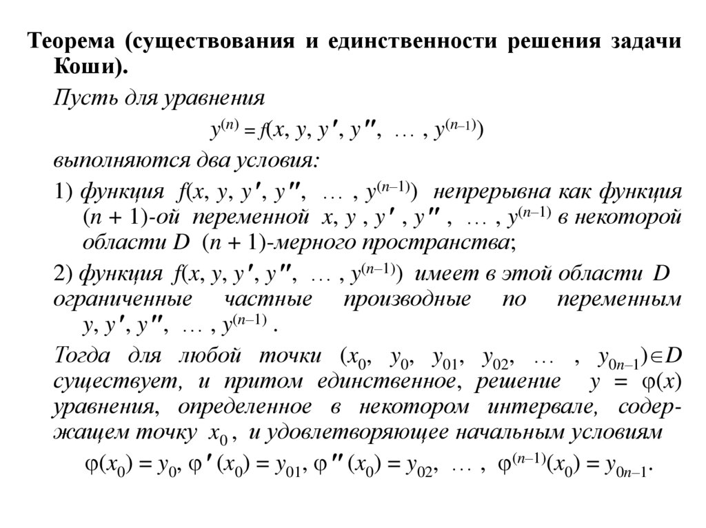
Теорема (существования и единственности решения задачи
Коши).
Пусть для уравнения
y(n) = f(x, y, y , y , … , y(n–1))
выполняются два условия:
1) функция f(x, y, y , y , … , y(n–1)) непрерывна как функция
(n + 1)-ой переменной x, y , y , y , … , y(n–1) в некоторой
области D (n + 1)-мерного пространства;
2) функция f(x, y, y , y , … , y(n–1)) имеет в этой области D
ограниченные частные производные по переменным
y, y , y , … , y(n–1) .
Тогда для любой точки (x0, y0, y01, y02, … , y0n–1) D
существует, и притом единственное, решение y = (x)
уравнения, определенное в некотором интервале, содержащем точку x0 , и удовлетворяющее начальным условиям
(x0) = y0, (x0) = y01, (x0) = y02, … , (n–1)(x0) = y0n–1.

47.

Замечание. Единственность решения задачи Коши для уравнения n-го порядка (n > 1) НЕ ОЗНАЧАЕТ, что через данную точку M0(x0 ,y0) плоскости xOy проходит одна интегральная кривая y = (x).
Кривых через точку M0 проходит бесконечное множество, а
единственность означает, что они различаются набором
значений y (x0), y (x0), …, y(n–1)(x0) .
Общее решение дифференциального уравнения первого
порядка:
y ( x, C )
Общее решение дифференциального уравнения n-го
порядка:
y ( x, C , C ,..., C )
1
2
n
Общий интеграл дифференциального уравнения n-го
порядка:
( x, y, C1 , C2 ,..., Cn ) 0

48.

§ 5. Дифференциальные уравнения,
допускающие понижение порядка
1. F ( x, y ( n ) ) 0 Искомая функция: y= y(x)
n-кратное интегрирование
2. F ( x, y ( k ) , y ( k 1) ,..., y ( n ) ) 0
Искомая функция: y= y(x)
Подстановка: y(k) = t(x)
y(k+1) = tʹ(x) … y(n) = t(n – k)(x)
(n)
F
(
y
,
y
,...,
y
) 0 Искомая функция: y= y(x)
3.
Подстановка: y' = p(y)
y p y p p

49.

1. F ( x, y ( n ) ) 0
Пример 1. Найти общее решение уравнения
y ln x
dy
ln x d ( y ) ln xdx
y ( y )
dx
dx
dx
y ln xdx u ln x du x x ln x x
u dv
dv dx v x
x
x ln x x C1
y x ln x x C1 y x ln xdx xdx C1dx
x2
x 2 dx x 2
C1 x C2
y ln x
2
2 x
2
1
xdx
2
x2
x2 x2
y ln x
C1x C2
2
4
2
dx
x 2
x
v
2
u ln x du
dv xdx
UdV UV VdU
– общее решение

50.

2. F ( x, y ( k ) , y ( k 1) ,..., y ( n ) ) 0
y
Пример 2. Найти общее решение уравнения y x
x
Подстановка y'= t(x) y t
t
t
t
x – линейное относительно t t uv,
t x
x
x
t u v uv
v
dv v
dv dx
uv
v
ln v ln x
u v uv
x
x
dx x
v
x
x
u v x
v x
du
1 du dx u x C1
u x x
dx
2
y
x
(
x
C
)
dy
(
x
t uv x( x C1)
xC1)dx
1
x3 x 2
y
C1 C2 – общее решение
3
2

51.

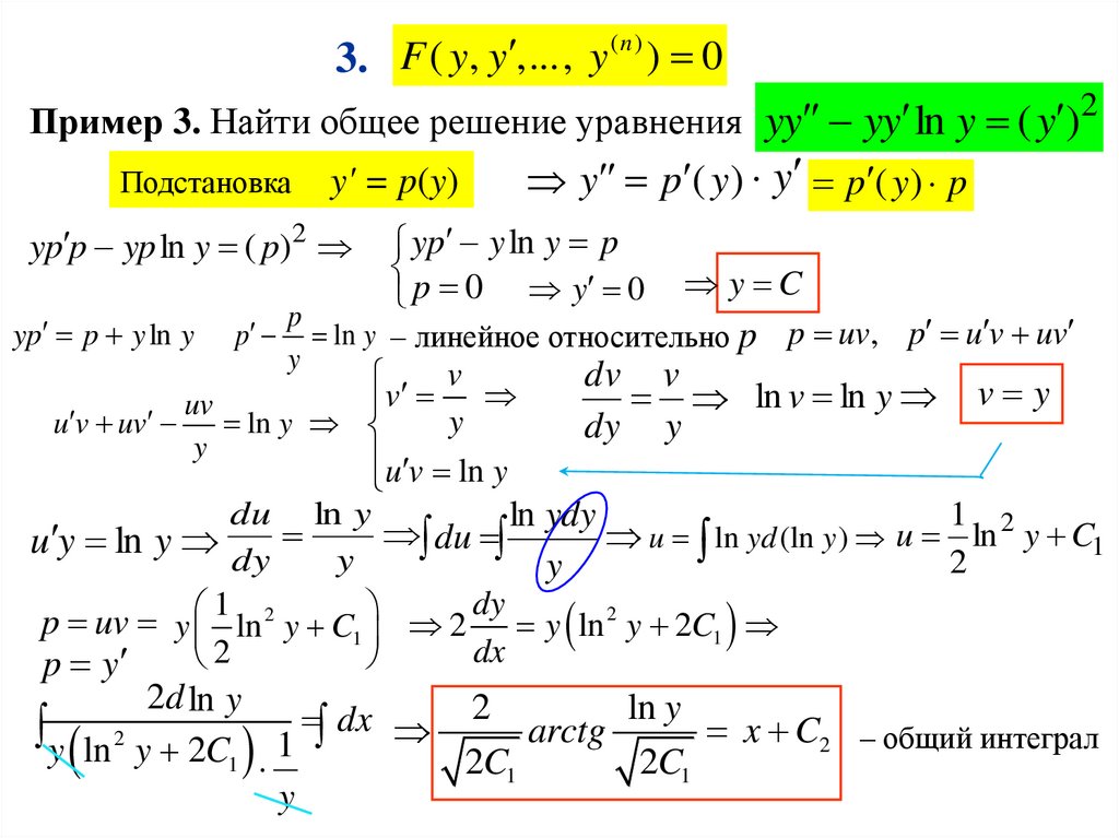
3. F ( y, y ,..., y ( n ) ) 0
Пример 3. Найти общее решение уравнения yy yy ln y ( y )2
Подстановка
y' = p(y)
yp p yp ln y ( p)2
y p ( y ) y p ( y ) p
yp y ln y p
p 0
y 0
y C
p
yp p y ln y p ln y – линейное относительно p p uv, p u v uv
y
dv v
v
v
ln v ln y v y
uv
y
u v uv
ln y
dy y
y
u v ln y
du ln y
1 2
ln ydy
u
ln y C1
du
u ln yd (ln y )
u y ln y dy
y
2
y
dy
1
p uv y ln 2 y C1 2 y ln 2 y 2C1
dx
2
p y
2d ln y
2
ln y
dx
arctg
x C2 – общий интеграл
y ln 2 y 2C 1
1
2C1
2C1
y

52.

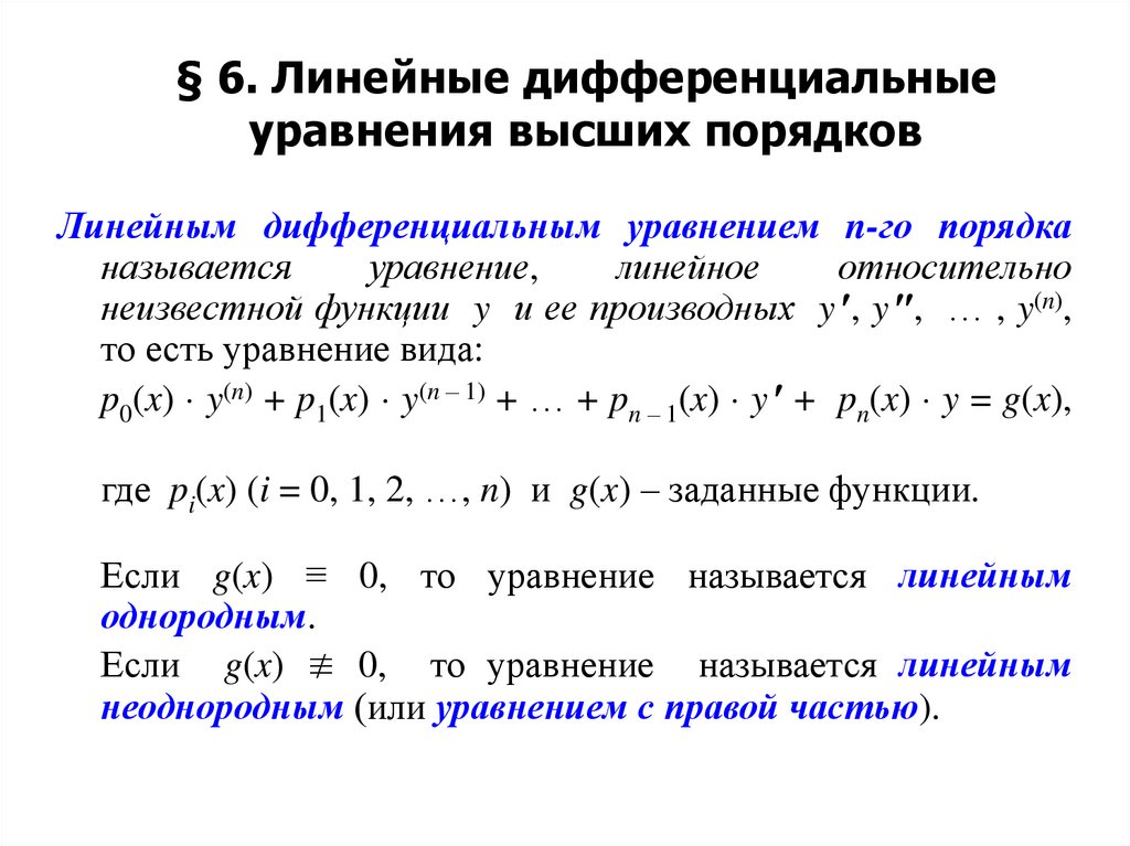
§ 6. Линейные дифференциальные
уравнения высших порядков
Линейным дифференциальным уравнением n-го порядка
называется
уравнение,
линейное
относительно
неизвестной функции y и ее производных y , y , … , y(n),
то есть уравнение вида:
p0(x) y(n) + p1(x) y(n – 1) + … + pn – 1(x) y + pn(x) y = g(x),
где pi(x) (i = 0, 1, 2, …, n) и g(x) – заданные функции.
Если g(x) ≡ 0, то уравнение называется линейным
однородным.
Если g(x) ≢ 0, то уравнение называется линейным
неоднородным (или уравнением с правой частью).

53.

Так как p0(x) ≢ 0 , то уравнение можно записать в виде:
y(n) + a1(x) y(n – 1) + … + an – 1(x) y + an(x) y = f(x) .
Такое уравнение называют приведённым.
В дальнейшем будем работать только с приведённым
уравнением.

54. 1. Линейные однородные дифференциальные уравнения n-го порядка

y(n) + a1(x) y(n – 1) + … + an – 1(x) y + an(x) y = 0
Теорема (свойство решений линейного однородного
дифференциального уравнения).
Если y1(x) и y2(x) являются решениями линейного
однородного дифференциального уравнения, то
y1(x) + y2(x) и C y1(x) ( C ℝ)
тоже является решениями этого уравнения.
Доказательство
1. Покажем, что у1 + у2 является решением:
( y1 y2 )( n ) a1 ( x ) ( y1 y2 )( n 1) an 1 ( x ) ( y1 y2 ) an ( x ) ( y1 y2 )
[ y1( n ) a1 y1( n 1) an 1 y1 an y1 ] [ y2( n ) a1 y2( n 1) an 1 y2 an y2 ]
0 0 0

55.

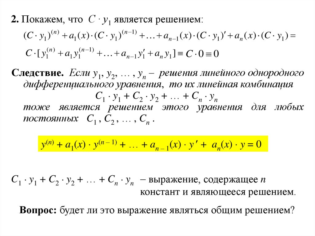
2. Покажем, что С ∙ у1 является решением:
(C y1 )( n ) a1 ( x ) (C y1 ) ( n 1) an 1 ( x ) (C y1 ) an ( x ) (C y1 )
C [ y1( n ) a1 y1( n 1) an 1 y1 an y1 ] C 0 0
Следствие. Если y1, y2, … , yn – решения линейного однородного
дифференциального уравнения, то их линейная комбинация
C1 y1 + C2 y2 + … + Cn yn
тоже является решением этого уравнения для любых
постоянных C1 , C2 , … , Cn .
y(n) + a1(x) y(n – 1) + … + an – 1(x) y + an(x) y = 0
C1 y1 + C2 y2 + … + Cn yn выражение, содержащее n
констант и являющееся решением.
Вопрос: будет ли это выражение являться общим решением?

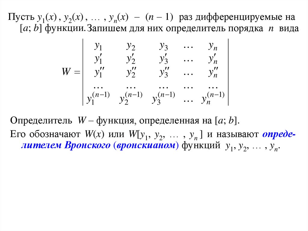
56.

Пусть y1(x) , y2(x) , … , yn(x) – (n – 1) раз дифференцируемые на
[a; b] функции. Запишем для них определитель порядка n вида
W
y1
y1
y1
y2
y2
y2
y3
y3
y3
y1( n 1) y2( n 1) y3( n 1)
yn
yn
yn
yn( n 1)
Определитель W – функция, определенная на [a; b].
Его обозначают W(x) или W[y1, y2, … , yn ] и называют определителем Вронского (вронскианом) функций y1, y2, … , yn.

57.

Теорема (необходимое условие линейной зависимости
функций). Если функции y1(x), y2(x , … , yn(x) (n – 1) раз
дифференцируемы и линейно зависимы на [a; b], то их определитель Вронского на [a; b] тождественно равен нулю.
Теорема (достаточное условие линейной независимости
решений линейного однородного дифференциального
уравнения n-го порядка).
Если n решений линейно независимы на [a; b], то их
определитель Вронского W[y1, y2, … , yn ] не может
обратиться в нуль ни в одной точке этого промежутка.

58.

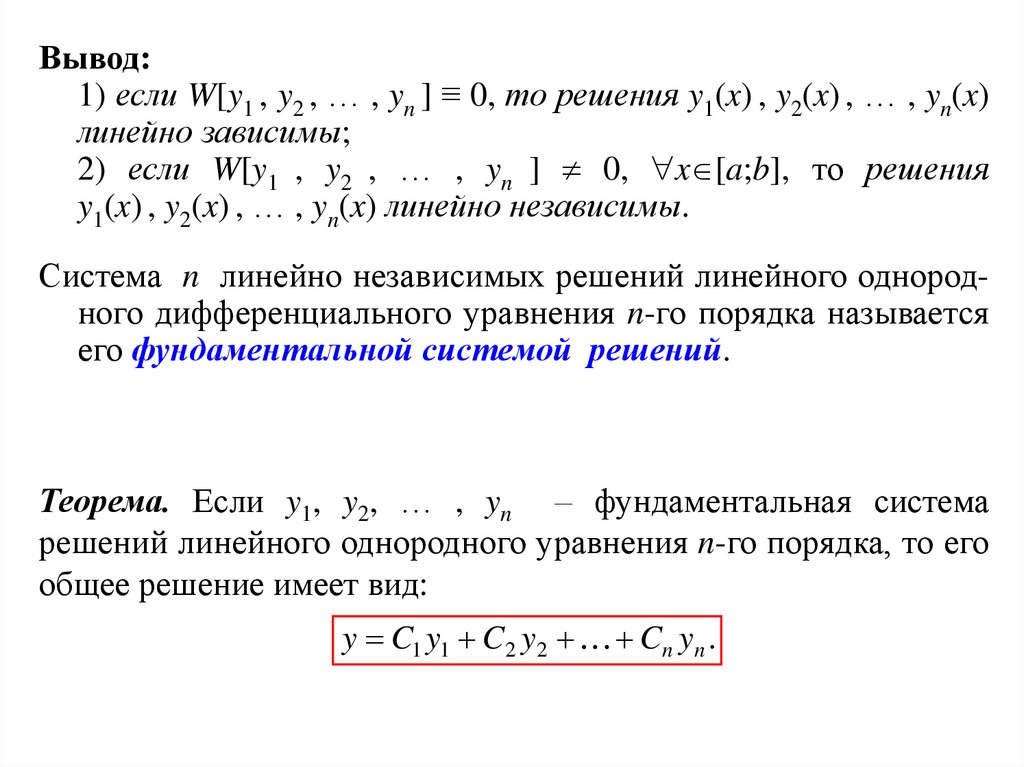
Вывод:
1) если W[y1 , y2 , … , yn ] ≡ 0, то решения y1(x) , y2(x) , … , yn(x)
линейно зависимы;
2) если W[y1 , y2 , … , yn ] 0, x [a;b], то решения
y1(x) , y2(x) , … , yn(x) линейно независимы.
Система n линейно независимых решений линейного однородного дифференциального уравнения n-го порядка называется
его фундаментальной системой решений.
Теорема. Если y1, y2, … , yn – фундаментальная система
решений линейного однородного уравнения n-го порядка, то его
общее решение имеет вид:
y C1 y1 C2 y2 Cn yn .

59.

2. Линейные однородные
дифференциальные уравнения n-го порядка
с постоянными коэффициентами
y(n) + a1 y(n – 1) + … + an – 1 y + an y = 0,
где a1 , a2 , … , an – некоторые действительные числа.
Решения уравнения будем искать в виде y = eкx,
где к – некоторая постоянная.
Тогда
y = к eк x, y = к2 eк x, y = к3 eк x, … , y(n) = кn eк x.
Подставляя y, y , y , … , y(n) в уравнение, получим:
кn eк x + a1 кn – 1 eк x + … + an – 1 к eк x + an eк x = 0,
кn + a1 кn – 1 + … + an – 1 к + an = 0.
Полученное уравнение называется характеристическим
уравнением дифференциального уравнения, а его корни –
характеристическими корнями.

60.

Теорема.
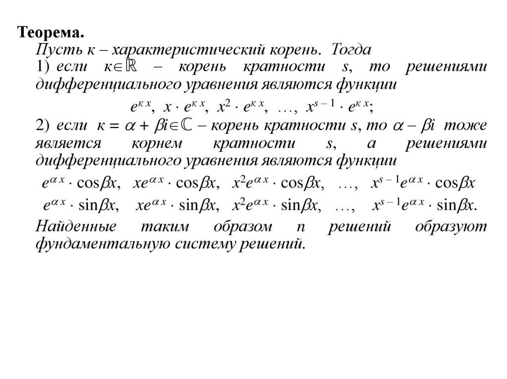
Пусть к – характеристический корень. Тогда
1) если к ℝ – корень кратности s, то решениями
дифференциального уравнения являются функции
eк x, x eк x, x2 eк x, …, xs – 1 eк x;
2) если к = a + bi ℂ – корень кратности s, то a – bi тоже
является
корнем
кратности
s,
а
решениями
дифференциального уравнения являются функции
ea x cosbx, xea x cosbx, x2ea x cosbx, …, xs – 1ea x cosbx
ea x sinbx, xea x sinbx, x2ea x sinbx, …, xs – 1ea x sinbx.
Найденные таким образом n решений образуют
фундаментальную систему решений.

61.

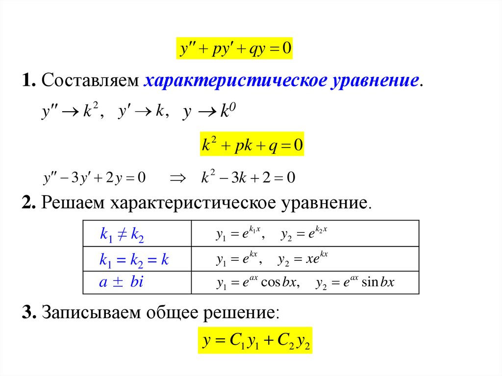
y py qy 0
1. Составляем характеристическое уравнение.
y k 2 , y k , y k0
k 2 pk q 0
y 3 y 2 y 0
k 2 3k 2 0
2. Решаем характеристическое уравнение.
k1 ≠ k2
y1 e k1x ,
y 2 e k2 x
k1 = k2 = k
a ± bi
y1 e kx ,
y2 xe kx
y1 e ax cos bx,
3. Записываем общее решение:
y C1 y1 C2 y2
y2 e ax sin bx

62.

y py qy 0
k1 ≠ k2
y1 e k1x ,
y 2 e k2 x
k1 = k2 = k
a ± bi
y1 e kx ,
y2 xe kx
y1 e ax cos bx,
y2 e ax sin bx
Пример 1. Найти общее решение уравнения y 4 y 5 y 0
Составляем характеристическое уравнение:
y k 2 , y k , y k0 k 2 4k 5 0
D 42 4 ( 5) 36
4 36 4 6
k
2
2
y1 e x ,
4 6
k1
1
2
y 2 e 5 x
Общее решение:
y C1e x C2e 5 x
4 6
k2
5
2
y C1 y1 C2 y2

63.

k1 ≠ k2
y1 e k1x ,
y 2 e k2 x
k1 = k2 = k
a ± bi
y1 e kx ,
y2 xe kx
y1 e ax cos bx,
y2 e ax sin bx
Пример 2. Найти общее решение уравнения y 4 y 4 y 0
Характеристическое уравнение: k 2 4 k 4 0 (k 2)2 0 k1,2 2
y1 e 2 x
y2 xe 2 x
Общее решение:
y C1e 2 x C2 xe 2 x
Пример 3. Найти общее решение уравнения y 4 y 5 y 0
Характеристическое уравнение: k 2 4 k 5 0 D 42 4 5 4
4 4 4 2 1
a 2, b 1
2 1 2 i
k1,2
2
2
y1 e 2 x cos x,
y2 e 2 x sin x
Общее решение:
y C1e 2 x cos x C2e 2 x sin x

64.

3. Линейные неоднородные
дифференциальные уравнения 2-го порядка
с постоянными коэффициентами
Метод вариации произвольной постоянной
y + a1 y + a2 y = f(x), где a1, a2 – некоторые числа.
Рассмотрим соответствующее ему однородное уравнение
y + a1 y + a2 y = 0.
Пусть y1(х), y2(х) – ФСР этого уравнения.
Тогда его общее решение имеет вид:
y0 = C1 y1 + C2 y2 ,
где C1, C2 – произвольные постоянные.
Пусть C1(x), C2(x) – некоторые функции.
Тогда решение неоднородного уравнения имеет вид:
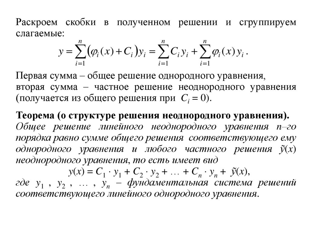
y = C1(x) y1 + C2(x) y2.

65.

Раскроем скобки в полученном решении и сгруппируем
слагаемые:
n
n
n
i 1
i 1
i 1
y i ( x ) Ci yi Ci yi i ( x ) yi .
Первая сумма – общее решение однородного уравнения,
вторая сумма – частное решение неоднородного уравнения
(получается из общего решения при Ci = 0).
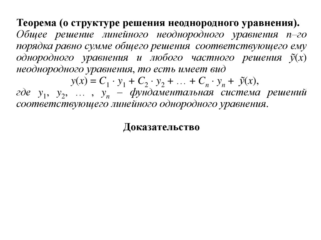
Теорема (о структуре решения неоднородного уравнения).
Общее решение линейного неоднородного уравнения n–го
порядка равно сумме общего решения соответствующего ему
однородного уравнения и любого частного решения ỹ(x)
неоднородного уравнения, то есть имеет вид
y(x) = C1 y1 + C2 y2 + … + Cn yn + ỹ(x),
где y1 , y2 , … , yn – фундаментальная система решений
соответствующего линейного однородного уравнения.

66.

y(x) = C1 y1 + C2 y2 + … + Cn yn + ỹ(x)
Доказательство
1. Покажем, что y(x) является решением линейного неоднородного уравнения
y(n) + a1(x) y(n – 1) + … + an – 1(x) y + an(x) y = f(x) .
~
Ci yi ( x ) y ( x )
i 1
n
n
(n)
( n 1)
~
a 1 ( x ) Ci yi ( x ) y ( x )
i 1
n
~
an ( x ) Ci yi ( x ) y ( x )
i 1
n
Ci yi( n ) ( x ) a1 ( x ) yi( n 1) ( x ) an ( x ) yi ( x )
i 1
0
y ( n ) ( x) a1 ( x) ~
y ( n 1) ( x) an ( x) ~
y ( x)
~
0 f ( x) f ( x)
f(x)

67.

4. Линейные неоднородные
дифференциальные уравнения n-го порядка
с постоянными коэффициентами
y(n) + a1 y(n – 1) + … + an – 1 y + an y = f(x)
1. Метод вариации произвольной постоянной
(метод Лагранжа).
2. Метод позволяет найти общее решение в виде
суммы двух решений: общего решения
соответствующего однородного
дифференциального уравнения и частного
решения (которое подбирается по виду
правой части уравнения).

68.

Теорема (о структуре решения неоднородного уравнения).
Общее решение линейного неоднородного уравнения n–го
порядка равно сумме общего решения соответствующего ему
однородного уравнения и любого частного решения ỹ(x)
неоднородного уравнения, то есть имеет вид
y(x) = C1 y1 + C2 y2 + … + Cn yn + ỹ(x),
где y1, y2, … , yn – фундаментальная система решений
соответствующего линейного однородного уравнения.
Доказательство

69.

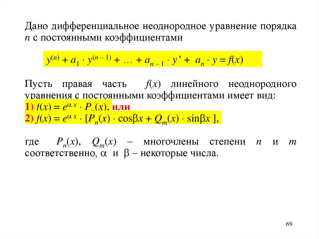
Дано дифференциальное неоднородное уравнение порядка
n с постоянными коэффициентами
y(n) + a1 y(n – 1) + … + an – 1 y + an y = f(x)
Пусть правая часть
f(x) линейного неоднородного
уравнения с постоянными коэффициентами имеет вид:
1) f(x) = ea x Pn(x), или
2) f(x) = ea x [Pn(x) cosbx + Qm(x) sinbx ],
где
Pn(x), Qm(x) – многочлены степени
соответственно, a и b – некоторые числа.
n
и
m
69

70.

Теорема (о структуре частного решения).
1. Если правая часть линейного неоднородного уравнения с
постоянными коэффициентами имеет f(x) = ea x Pn(x), то
частным решением уравнения является функция вида
y = xr An (x) ea x,
где An (x) многочлен степени n,
r – кратность характеристического корня a.
2. Если правая часть линейного неоднородного уравнения с
постоянными коэффициентами имеет вид
f(x) = ea x [Pn(x) cosbx + Qm(x) sinbx ],
то частным решением уравнения является функция вида
y = xr ea x [Al(x) cosbx + Bl(x) sinbx ],
где
Al (x) и Bl (x) – многочлены степени l,
l – наибольшая из степеней многочленов Pn(x), Qm(x),
r – кратность характеристического корня a bi.

71.

Замечание. Если число a (a + bi) не является корнем
характеристического уравнения, то r = 0.
Общий вид многочленов степени 0, 1, 2, 3, ...
Р0(х) = А
Р1(х) = Ах + В
Р2 (х) = Ах2 + Вх + С
Р3 (х) = Ах3 + Вх2 + Сх + D

71

72.

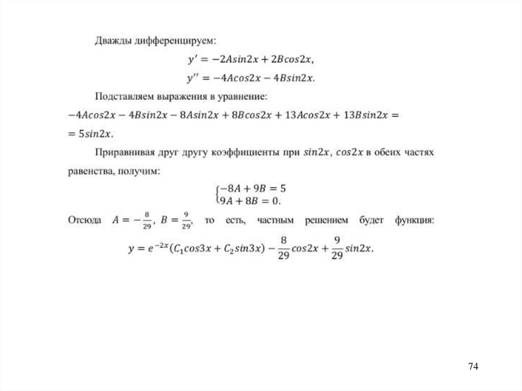
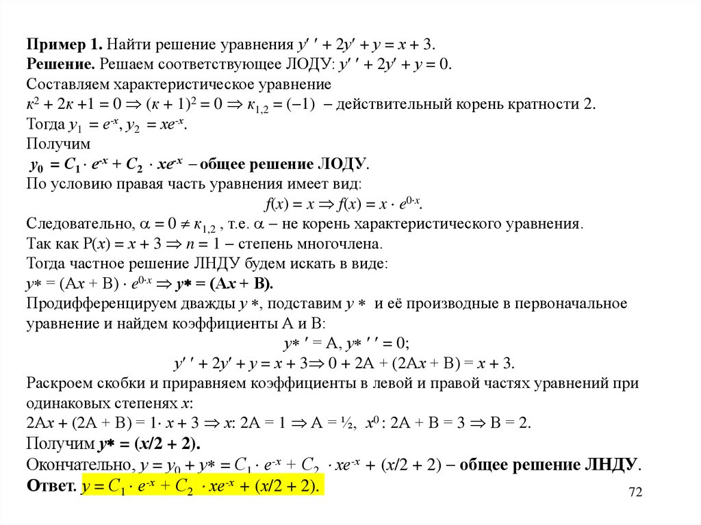
Пример 1. Найти решение уравнения у + 2у + у = х + 3.
Решение. Решаем соответствующее ЛОДУ: у + 2у + у = 0.
Составляем характеристическое уравнение
к2 + 2к +1 = 0 (к + 1)2 = 0 к1,2 = ( 1) действительный корень кратности 2.
Тогда у1 = е-х, у2 = хе-х.
Получим
у0 = С1 е-х + С2 хе-х общее решение ЛОДУ.
По условию правая часть уравнения имеет вид:
f(x) = x f(x) = x e0 x.
Следовательно, a = 0 к1,2 , т.е. a не корень характеристического уравнения.
Так как Р(х) = х + 3 n = 1 степень многочлена.
Тогда частное решение ЛНДУ будем искать в виде:
у = (Ах + В) e0 x у = (Ах + В).
Продифференцируем дважды у , подставим у и её производные в первоначальное
уравнение и найдем коэффициенты А и В:
у = А, у = 0;
у + 2у + у = х + 3 0 + 2А + (2Ах + В) = х + 3.
Раскроем скобки и приравняем коэффициенты в левой и правой частях уравнений при
одинаковых степенях х:
2Ах + (2А + В) = 1 х + 3 х: 2А = 1 А = ½, х0 : 2А + В = 3 В = 2.
Получим у = (х/2 + 2).
Окончательно, у = у0 + у = С1 е-х + С2 хе-х + (х/2 + 2) общее решение ЛНДУ.
Ответ. у = С1 е-х + С2 хе-х + (х/2 + 2).
72

73.

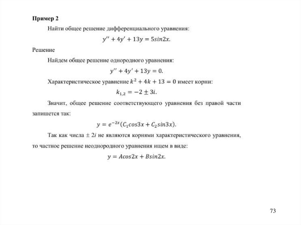
73

74.

74
English     Русский Rules