Розв’язування задач. 9 клас
Яка маса тіла, якщо внаслідок піднімання на висоту 8 м його потенціальна енергія збільшилася на 240 Дж?
Яка маса вантажу, якщо для його піднімання на висоту 12 м треба виконати роботу 960 Дж?
Камінь, що вільно падає з висоти 5 м, у момент падіння мав кінетичну енергію 5 Дж. Яка його маса?
 
 
 
Знайдіть гальмівний шлях автомобіля, що рухається зі швидкістю 72 км/год, якщо коефіцієнт тертя дорівнює 0,2?
Дано: υ=72 км/год=20 м/с μ=0,2 S-?
Спортсмен масою 60 кг падає в натягнуту сітку батута з висоти 4 м. З якою силою діє на спортсмена сітка, якщо її прогин
Дано: m=60 кг H=4 м х=1 м F-?
Дякую за увагу!
913.50K
Category: physicsphysics

Закон збереження енергії. Розв’язування задач. 9 клас

1. Розв’язування задач. 9 клас

•Закон збереження
енергії

2.

3.

Алгоритм розв’язування задач із застосуванням закону
збереження механічної енергії
1. Уважно прочитайте умову задачі. З’ясуйте, чи є система замкненою, чи можна
знехтувати дією сил опору. Запишіть коротку умову задачі.
2. Виконайте пояснювальний рисунок, на якому зазначте нульовий рівень, початковий
та кінцевий стан тіла (системи тіл)
3. Запишіть закон збереження і перетворення механічної енергії. Конкретизуйте цей
запис, скориставшись даними, наведеними в умові задачі, та відповідними
формулами для визначення енергії
4. Розв’яжіть отримане рівняння відносно невідомої величини. Перевірте її одиницю та
визначте числове значення
5. Проаналізуйте результат, запишіть відповідь

4. Яка маса тіла, якщо внаслідок піднімання на висоту 8 м його потенціальна енергія збільшилася на 240 Дж?

Дано:
Еп=240 Дж
H=8 м
m-?

5. Яка маса вантажу, якщо для його піднімання на висоту 12 м треба виконати роботу 960 Дж?

Дано:
H=12 м
А=960 Дж
m-?

6. Камінь, що вільно падає з висоти 5 м, у момент падіння мав кінетичну енергію 5 Дж. Яка його маса?

Дано:
Ек=5 Дж
H=5 м
m-?

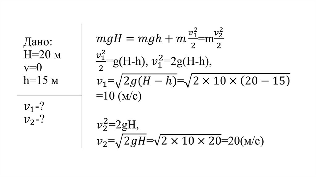
7.

Плавець стрибає в море зі скелі заввишки 20 м.
Яка його швидкість на висоті 15 м над
поверхнею моря? Яка швидкість плавця в
момент, коли він входить у воду?

8.  

9.  

10.  

36

11. Знайдіть гальмівний шлях автомобіля, що рухається зі швидкістю 72 км/год, якщо коефіцієнт тертя дорівнює 0,2?

12. Дано: υ=72 км/год=20 м/с μ=0,2 S-?

13. Спортсмен масою 60 кг падає в натягнуту сітку батута з висоти 4 м. З якою силою діє на спортсмена сітка, якщо її прогин

дорівнює 1 м?

14. Дано: m=60 кг H=4 м х=1 м F-?

15.

Опрацювати параграф 38, розв’язки задач записати в зошит

16. Дякую за увагу!

English     Русский Rules