ВВЕДЕНИЕ В ДИСЦИПЛИНУ. ОСНОВНЫЕ ОПРЕДЕЛЕНИЯ И ПРИНЦИПЫ ИСПОЛЬЗОВАНИЯ ПИЩЕВЫХ ДОБАВОК.
Классификация пищевых добавок
№ Функциональные классы Назначение добавок № Функциональные классы Назначение добавок
Согласно предложенной системе цифровой кодификации пищевых добавок, их классификация, в соответствии с назначением, выглядит
Природные красители
Азокрасители
Отбеливатели, фиксаторы окраски
Усилители вкуса
Получение глутаминовой кислоты методом биосинтеза
Схема получения глутаминовой кислоты при использовании в качестве источников углерода глюкозы или гидролизата крахмала.
Интенсивные подсластители, сахарозаменители
Получение эритрита
Синтетические подслащивающие вещества.
Регуляторы кислотности
Производство лимонной кислоты поверхностным и глубинным способами
ПИЩЕВЫЕ ДОБАВКИ, РЕГУЛИРУЮЩИЕ КОНСИСТЕНЦИЮ ПИЩЕВЫХ ПРОДУКТОВ
3.11M
Category: cookerycookery

Введение в дисциплину. Основные определения и принципы использования пищевых добавок

1. ВВЕДЕНИЕ В ДИСЦИПЛИНУ. ОСНОВНЫЕ ОПРЕДЕЛЕНИЯ И ПРИНЦИПЫ ИСПОЛЬЗОВАНИЯ ПИЩЕВЫХ ДОБАВОК.

Пищевые добавки (ПД) – природные или синтезированные вещества, соединения, преднамеренно вводимые в пищевые
продукты с целью их сохранения и (или) придания им заданных свойств
ПД, как правило, не имеют пищевой ценности и являются посторонними для организма. Они могут оставаться в продуктах
полностью или частично в неизмененном виде или в виде производных, которые образуются при взаимодействии их с
компонентами пищевых продуктов. Пищевые добавки могут быть биологически инертными для организма человека или
биологически активными и не безразличными для человека.
Основные цели введения пищевых добавок:
-совершенствование
технологии
подготовки
и
переработки пищевого сырья, изготовления, фасовки,
транспортировки и хранения продуктов питания;
- сохранение природных качеств пищевого продукта;
-улучшение
органолептических
свойств
или
структуры пищевых продуктов и увеличение их
стабильности при хранении.

2. Классификация пищевых добавок

• Комиссия по Codex Alimentarius выделяет 23 функциональных класса пищевых добавок:

Функциональные классы
Назначение добавок
1.
Кислоты
Повышают кислотность и/или придают кислый вкус пище.
2.
Регуляторы кислотности
Изменяют или регулируют кислотность или щелочность пищевого продукта
3.
Вещества, препятствующие
слеживанию и комкованию
Снижают тенденцию частиц пищевого продукта прилипать друг к другу
4.
Пеногасители
Предупреждают или снижают образование пены
5.
Антиокислители
Повышают срок хранения пищевых продуктов, защищая от порчи, вызванной окислением,
например, прогорканием жиров или изменением цвета
6.
Наполнители
Вещества иные, чем вода или воздух, которые увеличивают объем продукта, не влияя заметно
на его энергетическую ценность
7.
Красители
Усиливают или восстанавливают цвет продукта
8.
Эмульгаторы
Образуют или поддерживают однородную смесь двух или более несмешиваемых фаз, таких
как масло и вода в пищевых продуктах
2

3. № Функциональные классы Назначение добавок № Функциональные классы Назначение добавок


Функциональные классы
Назначение добавок
9.
Усилители вкуса и запаха
Усиливают природный вкус и/или запах пищевых продуктов
10.
Консерванты
Повышают срок хранения продуктов, защищая от порчи, вызванной микроорганизмами

Функциональные
классыосвобождают газ и увеличивают, таким образом,
Вещества, или
смеси веществ, которые
объем теста Назначение добавок

Позволяют сохранять однородную смесь двух или более несмешиваемых веществ в
Функциональные классы
пищевом продукте
или готовой
пище
Назначение
добавок
11.
Разрыхлители
12.
Стабилизаторы
13.
Подсластители
Вещества несахарной природы, которые придают пищевым продуктам и готовой пище
сладкий вкус
14.
Загустители
Повышают вязкость пищевых продуктов
«Е-коды»
Система « Е-кодов» включена в Кодекс ФАО/ВОЗ для пищевых продуктов как Международная
цифровая система (International Numbering System – ISN). Согласно этой системе каждой пищевой добавке
присвоен трех- или четырехзначный код. Коды используются только в сочетании с названиями
функциональных классов, отражающих группировку пищевых продуктов по технологическим функциям
(подклассам).
Например: аскорбиновая кислота обозначается как «антиокислитель Е300», синтетический краситель желтый
«Солнечный закат» – «краситель Е110».

4. Согласно предложенной системе цифровой кодификации пищевых добавок, их классификация, в соответствии с назначением, выглядит

следующим образом:
-
Е100 - Е182 – красители;
-
Е200 и далее – консерванты;
-
Е300 и далее – антиокислители (антиоксиданты);
-
Е400 и далее – стабилизаторы консистенции;
-
Е450 и далее,
-
Е1000 – эмульгаторы;
-
Е500 и далее – регуляторы кислотности, разрыхлители;
-
Е600 и далее – усилители вкуса и аромата;
-
Е700 - Е800 – запасные индексы для другой возможной информации;
-
Е900 и далее – глазирующие агенты, улучшители хлеба.
Многие пищевые добавки имеют комплексные технологические функции, которые проявляются в
зависимости от особенностей пищевой системы. Например, добавка Е339 (фосфаты натрия) может
проявляться свойства регулятора кислотности, эмульгатора, стабилизатора, комплексообразователя и
водоудерживающего агента.
4

5.

ПИЩЕВЫЕ ДОБАВКИ, РЕГУЛИРУЮЩИЕ ЦВЕТ, ВКУС И АРОМАТ ПИЩЕВЫХ ПРОДУКТОВ
Е100 - Е182 – красители
• Пищевые красители - химические вещества природного или синтетическогопроисхождения, которые придают
или усиливают цвет пищевого продукта или биологического объекта и не потребляются обычно как пищевой
продукт или составная часть пищи.
Пищевые красители
Синтетические
Природные
-каротиноиды;
-антоцианы;
-беталаины…
-азосоединения;
-амарант;
-бриллиантовый синий;
-индиго-кармин;
-новый красный;
-понсо 4R;
-желтый закат;
-тартразин;
-аллура…
5

6. Природные красители

АНТОЦИАНЫ
– окрашенные растительные гликозиды (характерный цвет от красного до синего) содержатся в зрелых
фруктах (например, клубнике, чернике, вишне, винограде), овощи (лук, капуста), семена (например, фиолетовый
подсолнух) и цветы.
6

7.

БЕТАЛАИНЫ
- класс пигментов производных индола, имеют красную, жёлтую окраску и характерны для растений
порядка гвоздичноцветные. Большое количество содержится в красной свекле.
7

8.

КАРОТИНОЙДЫ

растительные
красно-желтые
пигменты,
обеспечивающие окраску некоторых овощей и
фруктов (моркови, абрикосов). Они не растворимы
в воде, растворимы в жирах и органических
растворителях. Каротиноиды применяются для
окраски и витаминизации маргаринов, майонезов,
кондитерских
и
хлебобулочных
изделий,
безалкогольных напитков.
8

9.

Синтетические красители
АЗОКРАСИТЕЛИ
Тартразин, желтый FCF, азорубин, амарант, понсо 4R, красный AG,
бриллиантовый черный, коричневый НТ, литолрубин ВК
ТРИФЕНИЛМЕТАНОВЫЕ
Патентованный синий V, бриллиантовый синий FCF, зеленый S, зеленый
прочный FSF
ХИНОФТАЛОНОВЫЕ
ХИНОФТАЛОНОВЫЙ ЖЕЛТЫЙ
КСАНТЕНОВЫЕ
ЭРИТРОЗИН
ИНДИГОИДНЫЕ
ИНДИГОКАРМИН
9

10. Азокрасители

- являются самой многочисленной и наиболее важной группой органических красителей.
Для получения большей части азокрасителей используются две последовательные реакции:
1) диазотирование первичных ароматических аминов;
2) азосочетание полученной диазониевой соли с ароматическими и гетероароматическими соединениями,
содержащими электронодонорные заместители, и другими реакционно-способными компонентами
(азосоставляющими).
Тартразин
E104-
синтетический желтый азакраситель,
применяется в производстве напитков и кондитерских изделий.
Синтезируется путем конденсации фенилгидразина-pсульфоновой кислоты с щавелевоуксусным эфиром. Продукт
последней
реакции
затем
подвергают
сочетанию
с
диазотированной
сульфаниловой
кислотой
(содержащей
пиразолоновую группировку), а полученный эфир гидролизуют
гидроксидом натрия. В качестве альтернативы, тартразин можно
также синтезировать конденсацией двух молей фенилгидразина-pсульфокислоты с 1 молем дигидроксивинной кислоты.
10

11.

12. Отбеливатели, фиксаторы окраски

Цветоредуцирующие вещества – изменяют окраску продукта в результате взаимодействия с компонентами сырья и
готовых продуктов. Однако эти вещества не имеют окраски, которую они придают продуктам.
Отбеливающие вещества – добавки, которые предотвращают разрушение одних природных пигментов и
разрушают другие пигменты или окрашенные соединения, образующиеся при получении пищевых продуктов и являются
нежелательными.
Бромноватокислый калий, или бромат калия (Е924а), используется в качестве отбеливателя муки. Введенный в небольших
количествах в муку, бромат калия увеличивает пористость и эластичность мякиша, делает его более белым. В процессе
выпечки бромат калия превращается в бромид калия, безвредный для организма человека.
Во многих странах широко используют в качестве отбеливателей муки диоксид хлора, оксиды азота, пероксиды бензоата и
ацетона, диамид угольной кислоты, пероксид кальция, цистеин, являющиеся активными окислителями.
Цветокорректирующие добавки оказывают сопутствующие эффекты. Например, диоксид серы SO2 (Е220), растворы H2SO3 и
ее солей – Na2SO3, NaHSO3, Ca(HSO3)2 (Е221, Е222, Е227) оказывают отбеливающее и консервирующее действие, тормозят
ферментативное потемнение свежих овощей, картофеля, фруктов, а также замедляют образование меланоидинов. В то
же время диоксид серы разрушает витамин В1, дисульфидные мостики в белках, что может вызвать нежелательные
последствия.
Азотистокислый натрий (Е250), нитрат натрия (Е251) и нитрат калия (Е252) применяют при обработке (посоле) мяса и
мясных продуктов для сохранения красного цвета. Нитриты, вступая в реакцию с пигментами мяса (миоглобином), образуют
вещество красного цвета – нитрозогемоглобин, переходящий при тепловой обработке в гемохромоген, который и придает
изделиям стойкий красный цвет. В процессе хранения продуктов нитриты претерпевают химические превращения. При
нагревании и хранении консервированных мясных продуктов содержание нитритов постоянно уменьшается

13.

*Мелоидины-высокомолекулярные гетероциклические соединения, образующиеся при термической
обработке продуктов (жарке, варке), а также при хранении консервированных продуктов (в основном
овощей).
• Мелаиноидинообразование
заключается во
взаимодействии группы –NH2 аминокислот с
гликозидными гидроксилами сахаров (р-ция
Майяра).
• Мелаиноидины
понижают
биологическую
ценность продуктов, так как снижается
усвояемость аминокислот из-за того, что
сахароаминные комплексы не подвергаются
гидролизу
ферментами
пищеварительного
тракта
Схема реакции Майяра
13

14. Усилители вкуса

• Усилители вкуса - это вещества при добавлении в пищевые продукты усиливают их природный вкус, а также восстанавливают,
«освежают», «оживляют» эти свойства, ослабленные в процессе хранения продукта или кулинарной обработки. Такими
веществами являются производные глутаминовой, гуаниловой, инозиновой кислот, рибонуклеотиды и производные
мальтола. Вносят их в продукты питания на стадии технологического процесса или непосредственно в пищу перед ее
употреблением.
• В Российской Федерации разрешены к применению 22 искусственных усилителя вкуса и запаха.
Гуаниловая кислота (Е 626) и ее соли оказывают значительно более сильное (в 200— 250 раз) «вкусовое влияние», чем производные глутаминовой
кислоты. Эти вещества добавляют при производстве консервов, приправ и пряностей.
Инозиновая кислота (Е 630) и ее соли обладают более сильным вкусовым эффектом, чем соли глутаминовой кислоты. Эти вещества усиливают и
модифицируют вкус и аромат.
Мальтол (Е 636), этилмальтол (Е 637) – усилители вкуса и аромата, ароматизаторы. Мальтол применяется в хлебопечении, при производстве
мучных кондитерских изделий. Мальтол и этилмальтол в большей степени относятся к ароматизаторам, чем к усилителям и модификаторам вкуса.
14

15.

Глутаминовая кислота (Е 620) и ее соли (Е 621 – Е 625)
ГК и ее производные добавляют в готовые блюда, кулинарные изделия, концентраты и консервы.
Соли глутаминовой кислоты усиливают вкусовое восприятие, влияя стимулирующим образом на окончания вкусовых нервов
и вызывая при этом «ощущение удовлетворения». В наибольшей степени глутаматы усиливают горький и соленый вкус, сладкий
усиливается в наименьшей степени. Производные глутаминовой кислоты оказывают консервирующее действие, замедляя окисление
жиров мясных продуктах и маргаринах.
Способы получения глутаминовой кислоты:
– химический – из отбросного щелока сепарационных цехов сахарных заводов, спиртовой барды;
– ионитный – из оттеков (насыщенные растворы сахара) или мелассы;
– биохимический синтез –из мелассы (кормовая патока, побочный продукт сахарного производства) или
крахмала; из растительного или животного сырья и отходов и переработки, который можно условно
назвать «гидролитическим»;
– химический синтез – из акрилонитрила и других реагентов.
Синтез глутаминовой кислоты из акролеина
15

16. Получение глутаминовой кислоты методом биосинтеза

Получение основано на способности некоторых микроорганизмов синтезировать глутаминовую кислоту при брожении в
углеводных средах. Весьма высокий выход глутаминовой кислоты получают при использовании для этой цели культур Microccus,
Вrеvibacterium, Microbacterium, Corynebacterium. Это главным образом палочковидные, грамположительные, неподвижные бактерии,
не образующие спор. Специфической для них является обязательная потребность в биотине либо в биотине и тиамине.
Промежуточным продуктом брожения является при этом a-кетоглутаровая кислота которая затем превращается в глутаминовую путем
восстановительного аминирования. Брожение ведется глубинным способом в углеводных – крахмалистых и глюкозных средах при
постоянном продувании среды воздухом при рН смеси от 6 до 9 и добавлении в питательную среду биотина.
Схема производства глутаминовой кислоты. Имеет много общего со схемой производства лизина. Последовательность этапов и
требования, предъявляемые к процессу в целом, очень близки. Основные различия заключаются в свойствах микроорганизма-продуцента,
условиях его культивирования, составе среды, стадии очистки.
Схема биосинтеза глутаминовой кислоты
16

17. Схема получения глутаминовой кислоты при использовании в качестве источников углерода глюкозы или гидролизата крахмала.

Приготовление питьевой среды из
гидролизного крахмала или глюкозы
Приготовление исходной и посевной
культуры
Стерилизация
Выращивание продуцента в ферментере
Отделение биомассы от культурной жидкости центрифугированием
Вакуум-выпаривание фильтрата до содержания сухих веществ 40-50%
Кристаллизация глутаминовой кислоты. Подкисление концентрата соляной кислотой до pH 3,2,
охлаждение до 15 °С и выделение кристаллов глутаминовой кислоты со степенью чистоты 80%.
Растворение кристаллов глутаминовой кислоты в воде (1:5), фильтрация
Повторная кристаллизация. Получение глутаминовой кислоты со степенью чистоты 99%.
Сушка кристаллов
• Готовый продукт ( 99% глутаминовая кислота).
17

18. Интенсивные подсластители, сахарозаменители

Подсластители (заменители сахара) – придают продуктам сладкий вкус. Заменители могут быть такими же сладкими, как сахар, или отличаться от
него по сладости. Благодаря отсутствию глюкозы в подсластителях их можно использовать при производстве продуктов для больных сахарным
диабетом. Подразделяются на природные и синтетические.
Природные сахорозаменители
-
-
-
-
мед;
Лактоза (молочный сахар) входит в состав молока всех млекопитающих. Степень ее сладости по
сравнению с сахарозой составляет 0,16. Используется лактоза в производстве специальных
кондитерских изделий детского питания;
Фруктоза;
Сорбит Е 420-относится к группе многоатомных спиртов – полиолов. Степень сладости его
составляет 0,6 от сладости сахарозы. Сорбит используется в диетических плодоовощных консервах,
кондитерских изделиях и безалкогольных напитках;
Ксилит Е 967 представляет собой пятиатомный спирт, кристаллическое вещество белого цвета.
Степень сладости ксилита по сравнению с сахарозой 0,85 - 1,2 поэтому он используется при
производстве кондитерских изделий для больных сахарным диабетом и ожирением. Применяют
ксилит также в производстве диетических плодоовощных консервов, хлебобулочных изделий,
безалкогольных газированных напитков. Достоинством ксилита является и то, что он не
ассимилируется большинством видов микроорганизмов. Поэтому продукты с ксилитом не
подвергаются микробиологическому разложению;
Эритрит (Е 968)- дынный сахар, на 60-70% менее сладкий, чем сахар, термостабильный. То есть не
разрушается при высокой температуре. Поэтому его можно применять в выпечке.
Маннит (Е 421) – подсластитель, представляющий собой бесцветное соединение, хорошо
растворимое в воде. Степень сладости маннита по сравнению с сахарозой 0,4.
Стевиозид – сладкий кристаллический гликозид, выделенный из листьев растения Stevia rebaudiana.
Стевиозид примерно в 300 раз слаще сахарозы. Небольшое его количество вызывает ощущение
приятного сладкого вкуса, с повышением его количества ощущение вначале сладкого, затем горького
вкуса.
Эритрит
Стевиозид
18

19.

Производство сорбитола
Технологическая схема гидрирования глюкозы
С-100 водородный компрессор; E-X00 теплообменник; P-X00 импульсный/вакуумный насос; ; R-X00 реактор; V-X00 сепаратор.
Водный раствор глюкозы (40%) вместе с потоком водорода предварительно нагревают примерно до 100 °С (373 К) и подают в реактор R-100 под
давлением. R-100 содержит неподвижный слой никелевого катализатора Ренея. Гидрирование проводят при 150 °С (423 К) и 88 бар (87 атмосфер).
Соотношение подачи газообразного водорода к раствору глюкозы в стандартных условиях составляло 3000. При этих условиях конверсия глюкозы
составляет 99,99 %. Сточные воды из реактора охлаждаются в теплообменнике E-200 и поступают в сепаратор высокого давления V-100, где сверху
отбирается верхний газовый поток (основной водород), а снизу-жидкий (вода + сорбит). Водород из реактора поступает на рециклизацию, lkz
повторного использования в реакции. Жидкий поток поступает в сепаратор низкого давления V-200, в котором через верхний газовый поток
удаляются водородные отходы, а водный раствор сорбита поступает в вакуумный сепаратор V-300 , в котором при при 50-80 мм. рт. ст.
концентрируется сорбитол до 95%. В дальнейшем сорбит поступает на дополнительную очищение.
• Химический метод очистки заключается в осаждении ионов тяжелых металлов (меди, железа, никеля) с помощью двузамещенного
фосфорнокислого натрия (Na2HPО4). К 20-25%-ному раствору сорбита добавляют 1,5-% Na2HPО4 и 2-5% мела (к массе раствора),
нагревают в течение 1 ч до 85-90 °С, фильтруют через нутч-фильтр или фильтр-пресс с применением асбестовой или угольной подушки.
19

20. Получение эритрита

-Химические методы получения:
1. Синтез эритрита из 2-бутен-1,4-диола. Субстрат
галогенировали, а затем омыляли.
2. Гидрирование диалкилового эфира винной
кислоты в растворе метанола или этанола приводит
к образованию смеси эритрита и тритола.
Необходимые условия-высокое давление(20 МПа)
и температура (125-200 С). Реакция с L-винной
кислотой в качестве субстрата требует более
мягких условий (120-180 ° С, 4-10 МПа), но
основным продуктом является треитол. Стадия
изомеризации может быть выполнена до или после
гидрирования. Другим возможным субстратом
является диальдегидный крахмал, но побочным
продуктом гидрирования является этиленгликоль
.Ни один из этих методов не получил широкого
применения из-за высокой стоимости или низкой
точности.
3. Эритроза и более поздний эритрит получают
путем электролитического декарбоксилирования
арабиноевой или рибоновой кислот. Субстраты для
реакции получаю тдекарбоксилированием сахаров
С-6.
Биотехнологические методы получения:
в настоящее время в промышленных масштабах эритрит получают из
ферментационных процессов, в основном проводимых грибами. Кроме того, он
также синтезируется некоторыми молочнокислыми бактериями.

21.

Биохимический способ получения эритрита
Гетероферментативные
молочнокислые
бактерии
используют
фосфокетолазный путь для генерации АТФ и метаболизма сахаров
[40]. Сахара, такие как глюкоза и фруктоза, превращаются в ксилулозу
5-фосфат с промежуточными стадиями глюкозы 6-фосфата, 6фосфоглюконата и рибулозы 5-фосфата, чтосопровождается
превращением
двух
НАД(Р)
в
НАД(Р)Н
(никотинамид
адениндинуклеотид фосфат) . Ксилулоза 5-фосфат расщепляется
фосфокетолазой
на
ацетилфосфат
и
глицеральдегид
3фосфатфермент.
Основными
конечными
продуктами
фосфокетолазного пути являются лактат, ацетат, этанол и CO2.
Производство лактата и ацетата сочетается с производством АТФ,
тогда как НАД(Р)Н переносится в ацетил-КоА, образуя этанол.
Ферментация этанола представляет собой предельную стадию, и
избыточный НАД(Р)Н повторно окисляется с использованием
акцепторов электронов, таких как фруктоза, пируват, O2, или
метаболических путей,ведущих к образованию полиола [41].
Наиболее известной эритритол-продуцирующей молочнокислой
бактерией является Leuconostoc oenos. При его росте на глюкозе в
анаэробных условиях повышается уровень НАДФН. Соотношение
НАДФ ингибирует глюкозо-6-фосфатдегидрогеназу. Накопленный
глюкозо-6-фосфат изомеризуетсяво фруктозу-6-фосфат, который затем
расщепляется на ацетилфосфатиэритрозу-4-фосфат. Расщепление
может быть неспецифической реакцией, катализируемой той же
фосфокетолазой, которая расщепляет ксилулозо-5-фосфат в аэробных
условиях роста [34,40]. Эритроза 4-фосфат восстанавливается до
эритрита.
21

22. Синтетические подслащивающие вещества.

К настоящему времени синтезированы сотни органических соединений интенсивного сладкого вкуса.
Синтетические сладкие вещества должны отвечать ряду требований:
- их сенсорные свойства должны проявляться в течение 1 - 2 с для подавления горького и других неприятных вкусовых ощущений, вызываемых
лекарственными препаратами;
- они должны быть химически инертными в отношении всех природных и других химических соединений, содержащихся в пищевых продуктах, в
которые они добавляются;
- быть термически устойчивыми;
- хорошо растворяться в воде или жирах в зависимости от цели использования;
- быть физиологически безвредными, нетоксичными, обязательно подвергаться биотрансформации и полностью выводиться из организма.
- Сахарин (Е 954) представляет собой о-сульфамид бензойной кислоты. Сахарин в 300 - 550 раз слаще сахарозы. Обычно он используется в виде
натриевой соли, которая по сладости в 500 раз превосходит сахарозу. Он используется при производстве пищевых продуктов для больных сахарным
диабетом – диетических сыров, напитков и жевательной резинки.
- Цикламаты (Е 952) как подслащивающие вещества открыты случайно в 1937 г. М. Сведа при изучении свойств производных аминосульфоновой
кислоты. Сладость цикламатов в 30 раз выше, чем сахарозы. Используются в кондитерской промышленности и при производстве напитков. Аспартам
(Е 951) – метиловый эфир N-L-L-аспартил- L -фе-нилаланина – является первым неуглеводным подслащивающим веществом, полученным
промышленным способом. Сладость аспартама в 200 раз выше, чем сахарозы. Аспартам обладает способностью усиливать естественные вкус и
аромат пищевых продуктов, особенно цитрусовых соков и напитков.
- Ацесульфам калия (Е 950) – представитель гомологического ряда оксатиацинонди-20 оксидов. Пищевые продукты, подслащенные им, можно
подвергать стерилизации. Сладость ацесульфама в 200 раз выше, чем сахарозы.
22

23. Регуляторы кислотности

Регуляторы кислотности – вещества, устанавливающие и поддерживающие в пищевом продукте определенное значение рН.
Пищевые кислоты могут намеренно вводиться в пищевую систему в ходе технологического процесса для достижения различных
целей: придание определенных органолептических свойств (вкуса, цвета, аромата), характерных для конкретного продукта; влияние на
коллоидные свойства, обусловливающие формирование консистенции, присущей конкретному продукту; повышение стабильности
(влияние на микрофлору), обеспечивающей сохранение качества продукта в течение определенного времени. Регуляторы кислотности
применяются в производстве напитков, мясо- и рыбопродуктов, мармеладов, желе, твердой и мягкой карамели, кислых драже,
жевательной резинки, жевательных конфет. Большинство пищевых кислот широко используются в производстве безалкогольных
напитков.
Уксусная кислота. Уксусную кислоту получают путем уксуснокислого брожения.
Основная область использования – овощные консервы и маринованные продукты.
Применяется в майонезах, соусах.
Молочная кислота – это продукт молочнокислого брожения сахаров. В виде
пищевой добавки используется в производстве карамельных масс,
кисломолочных продуктов.
Лимонная кислота – это продукт лимоннокислого брожения сахаров.
Применяется в кондитерской промышленности, при производстве некоторых
видов рыбных консервов.
Винная кислота является продуктом переработки отходов виноделия (винных
дрожжей и винного камня). Применяется в кондитерских изделиях.
Яблочная кислота обладает менее кислым вкусом, чем лимонная и винная. Эту
кислоту получают синтетическим путем. Применяется в кондитерском
производстве.
Фосфорная кислота и ее соли – фосфаты широко распространены в пищевом
сырье и продуктах его переработки. В высоких концентрациях фосфаты
содержатся в молочных, мясных и рыбных продуктах, в безалкогольных напитках
и кондитерских изделиях.
Молочная кислота
Лимонная кислота
Винная кислота
Яблочная кислота
23
Фосфорная кислота

24.

Производство лимонной кислоты
Химизм образования лимонной кислоты
Синтез лимонной кислоты связан с циклом дикарбоновых кислот и происходит в результате конденсации какой-либо
кислоты, содержащей четыре атома углерода и две карбоксильные группы, с кислотой, имеющей два атома углерода и одну
карбоксильную группу. В результате гликолиза глюкозы образуется пировиноградная кислота. На следующем этапе происходит
ферментативное связывание пировиноградной кислоты с диоксидом углерода. Образовавшаяся щавелевоуксусная кислота
вступает далее в реакцию с уксусной кислотой и образуется лимонная кислота. Таким образом, химизм образования лимонной
кислоты включает реакции гликолиза и ряд реакций, замкнутых в цикл Кребса. При каждом обороте этого цикла молекула
щавелевоуксусной кислоты вступает во взаимодействие с молекулой уксусной кислоты, образуя требуемую лимонную кислоту.
24

25. Производство лимонной кислоты поверхностным и глубинным способами

• Получение посевного материала
Для производства лимонной кислоты поверхностным и глубинным способами используют отселекционированные штаммы Asp. niger.
Исходные культуры хранят в виде сухих спор (конидий) в смеси с активным углем. Тщательно проверенная на микробиологическую чистоту и
биохимическую активность музейная культура используется для приготовления посевного материала, который размножают в пробирках с
агаризованной средой, а затем в колбах и кюветах - на твердой питательной среде. Длительность каждой стадии 2-7 сут, оптимальная
температура выращивания 32 °С. В процессе выращивания на поверхности твердой среды развивается плотная мицелиальная пленка, которая
затем покрывается конидиями. На последней стадии (из кювет) зрелые конидии собирают при помощи специального вакуумного устройства. Для
удлинения срока хранения конидии подсушивают при 32 °С, смешивая со стерильным наполнителем - активным углем или тальком в
соотношении 1:2. Обработанные таким способом конидии можно хранить 1-2 года. С 10 дм2 площади кювет получают 3-4 г сухих конидий
(площадь одной кюветы 8,5 дм2). Готовый посевной материал фасуют в стерильные стеклянные колбы или банки вместимостью от 0,5 до 1 л.
Посевной материал хранится при комнатной температуре и относительной влажности воздуха 70%. Гарантированный срок годности конидий не
менее 6 мес. со дня выпуска.
• Подготовка мелассы к сбраживанию
Многие органические вещества, главным образом сахара, сбраживаются с образованием лимонной кислоты. Хороший выход получают
обычно, если используют в качестве источника углерода глюкозу, фруктозу, сахарозу, мальтозу. Для промышленного производства лимонной
кислоты в качестве субстрата применяют обычно мелассу - отход сахарного производства.
Меласса - нестандартное сырье, ее химический состав зависит от качества сахарной свеклы, технологии переработки и условий хранения.
Пригодность мелассы для производства лимонной кислоты определяют на основе предварительных биохимических испытаний. Растворы
мелассы сбраживают поверхностной и глубинной культурой соответствующего штамма гриба Asp. niger. Меласса считается пригодной для
производства лимонной кислоты поверхностным способом, если съем лимонной кислоты при контрольном сбраживании составляет не менее
1,25 кг/(м2-сут), глубинным способом - 10-12 кг/(м3-сут). Хорошо сбраживаемые мелассы обычно содержат не более 1,0% инвертного сахара, 1%
СаО, 0,06% SO2 при общем содержании сухих веществ не менее 75% и сахара более 46%. В зависимости от способа сбраживания мелассу
разбавляют и готовят растворы с различной концентрацией сахара: для поверхностного выращивания Asp. niger до 13-15%, для глубинного
культивирования - 3-4% и 25-28%. В приготовленных растворах серной кислотой доводят pH до 6,8-7,5. Необработанная меласса плохо
ассимилируется и сбраживается микроорганизмом-продуцентом, так как наряду с веществами, необходимыми для нормального роста гриба и
активного кислотообразования, в ней содержатся минеральные и ограничение примеси, тормозящие рост гриба и подавляющие процесс
образования лимонной кислоты. Это ионы тяжелых металлов, в первую очередь железа. Меласса, как было сказано выше, не единственный
источник сырья для получения лимонной кислоты. За последние годы в различных странах мира запатентованы способы получения лимонной
кислоты путем культивирования микроорганизмов, в основном дрожжей рода Candida, на средах, содержащих в качестве источника углерода нпарафины, глицерин, этанол, кислоты уксусную, масляную, животные или растительные жиры.
25

26.

Глубинный способ производства лимонной кислоты
При глубинном способе сбраживания мелассных растворов процесс ведут в
ферментаторах вместимостью 50 м3, разовая загрузка - 38 м3. Конидии проращивают в
посевных аппаратах вместимостью 5 м3 с рабочим объемом 3 м3. Все аппараты
должны быть выполнены из нержавеющей стали. Раствор мелассы, содержащий 3-4%
сахара, для посевных аппаратов готовят в варочном котле. Мелассу разбавляют
кипящей водой, устанавливают pH 7.0-7.2. Для удаления железа при кипячении
добавляют желтую кровяную соль. Растворы хлорида аммония и сульфата магния
вводят в регламентированных количествах. Подготовленный раствор стерилизуют при
128-130 °С в течение 12-15 мин. В раствор мелассы, охлажденный в посевном
аппарате до 35-36 °С, добавляют стерильные растворы К2НРО4 и MgSO4-7H2O. Для
производственного ферментатора раствор мелассы готовят в той же
последовательности. Растворы питательных солей готовят отдельно и стерилизуют
при температуре 123-125 °С. Воду стерилизуют при 128-130 °С. Подливной раствор
должен иметь 25-28%-ную концентрацию по сахару и температуру 34-36 °С, как и
основной сбраживаемый раствор.
Подливной раствор направляют в сборник. Посевной аппарат засевают
предварительно подготовленной суспензией конидий. Культуру выращивают при 3435°С при постоянном перемешивании, дробной аэрации и избыточном давлении в
аппарате 10-20 кПа. В период интенсивного вспенивания среды (12-24 ч) небольшими
порциями подают пеногаситель (олеиновая кислота). Процесс подращивания мицелия
заканчивается к 30-36 ч. Общая титруемая кислотность культуральной жидкости
составляет 1.0-2.0%. Подращенный мицелий передают для засева среды
производственного ферментатора.
Процесс кислотообразования продолжается 5-7 сут при температуре 31-32 °С,
непрерывном перемешивании и дробной аэрации. Начиная со 2-х суток после посева
по мере снижения концентрации сахара в растворе проводят 2-3 подкормки. Дробное
введение подливного 25-28%-ного раствора обычно проводят из расчета доведения
конечной концентрации сахара в сбраживаемом растворе до 12-15%. Контроль за
нарастанием титруемой кислотности и расходом сахара позволяет вовремя определить
конец процесса и получить наибольший съем лимонной кислоты с 1 м3 ферментатора
в сутки (не ниже 7.5 кг/м3). После окончания процесса сброженный раствор нагревают
острым паром до 60-65 °С и сливают в сборник, откуда его подают на вакуум-фильтр
для отделения и промывки мицелия горячей водой. Отделенный и промытый мицелий
направляется на корм скоту. Основной раствор лимонной кислоты вместе с
промывными водами передается в химический цех.
1-бак с мелассой; 2-приемный бак; 3-весы; 4-варочный
котел; 5-центробежный насос; 6-промежуточная емкость; 7стерилизационная колонка; 8-выдерживатель; 9-холодильник; 10посевной ферментатор; 11 –производственный ферментатор; 12противобактериальные фильтры; 13- промежуточный сборник; 14емкость для хранения мелассы; 15-барабанный вакуум-фильтр; 16приемник мицелия; 17-вакуум-сборник для мицелия; 18-вакуумсборник сброженного раствора.
26

27.

Схема выделения лимонной кислоты из сброженных
растворов
1-сборник сброженных растворов; 2-насос; 3-сборник
известкового молока; 4-нейтрализатор; 5-нутч-фильтр для
отделения цитрата кальция; 6-реактор; 7-бачок-мерник серной
кислоты; 8-промежуточный сборник; 9-ленточный выкуум-фильтр
для отделения гипса; 10- вакуум-сборник; 11 -вакуум-насос; 12насос;
13-сборник
раствора
лимонной
кислоты;
14барометрический конденсатор; 15-вакуум-аппарат первой упарки;
16-пароструйный компрессор; 17-барометрический ящик; 18вакуум-насос; 19-монтежю; 20-фильтр-пресс; 21-кристаллизатор;
22-вакуум-аппарат второй упарки; 23- промежуточный сборник;
24-центрифуга; 25-сборник маточного раствора; 26-барабанная
сушилка; 27-трясосито; 28-упакованная лимонная кислота.
При глубинном способе сбраживания основные растворы содержат от 5 до 12
% органических кислот, 0.2-1.5% сахара, а лимонная кислота составляет 80-98% °т
суммы всех кислот. Сброженные растворы представляют собой смесь лимонной,
глюконовой и щавелевой кислот, несброженного сахара и минеральных примесей.
Лимонную кислоту из раствора выделяют путем связывания ее катионами кальция
с образованием слаборастворимой соли цитрата кальция.
Нейтрализацию осуществляют в нейтрализаторах, снабженных мешалками и
паровыми барботерами. Сброженный раствор нагревают в нейтрализаторе до
кипения, после чего в него при непрерывном перемешивании вводят известковое
или меловое молоко. Полноту нейтрализации определяют с помощью индикатора.
Она считается законченной при pH 6.8-7.5. При нейтрализации сброженного
раствора образуются кальциевые соли лимонной, глюконовой и щавелевой кислот,
которые при этом выпадают в осадок, а кальциевая соль глюконовой кислоты и
основная часть органических и минеральных веществ мелассы остаются в
растворе. Для отделения образовавшегося осадка горячую реакционную массу
передают на вакуум-фильтры. После отделения маточного раствора осадок на
фильтре промывают горячей водой (температура около 95 °С). Об окончании
промывки судят по отсутствию в промывных водах сахара. Перевод лимонной
кислоты в свободное состояние и отделение ее от оксалата кальция достигается
обработкой осадка серной кислотой с последующим фильтрованием. Разложение
цитрата кальция осуществляют в реакторе, снабженном мешалкой и паровым
барботером. В реактор подают воду и при работающей мешалке загружают туда
цитрат кальция с таким расчетом, чтобы после его разложения концентрация
лимонной кислоты в растворе была не меньше 25%. В качестве осветлителя в
реактор вводят активный уголь, содержимое реактора нагревают до 60 °С и при
перемешивании подают из мерника серную кислоту (плотность 1.80-1.84) из
расчета 0.425 л на 1 кг лимонной кислоты в цитрате. Смесь кипятят в течение 1020 мин.
После полного разложения цитрата кальция в реактор вводят
гранулированный сернистый барий для осаждения тяжелых металлов. Для
отделения раствора лимонной кислоты от осадка, содержащего гипс, оксалат
кальция, уголь, сернистые соединения тяжелых металлов и берлинскую лазурь,
горячую реакционную смесь направляют из реактора на вакуум-фильтр.
Отфильтрованный раствор передают на дополнительное упаривание, а осадок на
фильтре промывают горячей водой (90°С). Средняя концентрация 27раствора
лимонной кислоты (вместе с промывными водами) должна быть не ниже 16%.

28.

Соленые вещества (заменители соли)
• Заменители соли – вещества, которые придают продуктам соленый вкус.
• Обычная соль (хлорид натрия) придает продуктам привычный чистый соленый вкус.
Однако при заболевании (почек, сердца, гипертонии и т. п.) больным не рекомендуется
употреблять соль из-за содержащегося в ней натрия. С целью сохранения для таких больных
привычного вкуса знакомых продуктов необходимо использовать заменители соли, не
содержащие ионов натрия: кальциевые, калиевые или магниевые соли органических и
неорганических кислот. Такие соли имеют удовлетворительный соленый вкус, но не
типичный вкус хлорида натрия. Подобно сахару, поваренная соль оказывает влияние не
только на вкус пищевых продуктов, но и на другие их свойства: в мясопродуктах она влияет
на связывание воды, в тесте – на клейковину; в высокой концентрации соль проявляет
консервирующее действие. Заменители соли такими свойствами не обладают. Используют
заменители соли в основном при производстве диетических продуктов и напитков
28

29. ПИЩЕВЫЕ ДОБАВКИ, РЕГУЛИРУЮЩИЕ КОНСИСТЕНЦИЮ ПИЩЕВЫХ ПРОДУКТОВ

Эмульгаторы и пенообразователи
Эмульгаторы – это вещества, уменьшающие поверхностное натяжение на границе раздела фаз. Их добавляют к пищевым
продуктам для получения тонкодисперсных и устойчивых коллоидных систем. В частности, с помощью таких добавок создают
эмульсии жира в воде или воды в жире. Такая способность связана с поверхностноактивными свойствами, поэтому применительно к
данной группе пищевых добавок термины «эмульгатор», «эмульгирующий агент» и «поверхностно-активное вещество» могут
рассматриваться как синонимы. Запрещено использовать добавки Е 491-496.
Лецитин - применяется при производстве хлеба, мучных кондитерских
изделий, конфет, шоколада, напитков, мороженого, сухого молока.
Жирные кислоты и их соли (Е481-Е482) - применяют в пищевой
промышленности в качестве эмульгаторов. Это олеиновая, стеариновая,
пальмитиновая кислоты и их натриевые, калиевые, кальциевые соли. Их
добавляют при производстве хлебобулочных и кондитерских изделий.
Алифатические спирты жирного ряда, получаемые в результате гидрирования
соответствующих жирных кислот, отчасти являются естественными
компонентами жиров. В большинстве случаев это стеариловые и олеиловые
спирты. Они применяются непосредственно или в виде сложных эфиров
уксусной, молочной, фумаровой, яблочной, лимонной и других кислот в
качестве стабилизаторов при изготовлении печенья. К таким пищевым
добавкам относятся, например, стеароилмолочная кислота (Е 48П),
стеароиллактилат натрия (Е 481), олеиллактилат кальция (Е 482Н) и др.
Области применения добавок этой группы различны.
Ацилированный моноацилглицерол (эфир моноглицерола и уксусной кислоты)
и малат-эфир (эфир моноглицерида и яблочной кислоты) используются в
хлебопечении, сахарной промышленности и при производстве мороженого.
Стеароилмолочная кислота (производное молочной кислоты с высшими
жирными кислотами) и ее натриевая соль (стеароиллактилат натрия)
используются в качестве поверхностноактивного вещества для маргаринов и
других продуктов.
Лецитин (фосфатидилхолин)
Глицерилмоноолеат (Е471)
Стеароил-2-лактилат натрия (Е481)
29

30.

• Сложные эфиры жирных кислот сахара и сорбита также входят в класс эмульгаторов.
Эфиры сахарозы и жирных кислот (Е 473) применяются в производстве кондитерских
изделий, мороженого и хлебопечении. Сорбитанмоностеарат, или СПЭН 60 (Е 491),
сорбитантристеарат (Е 492), сорбитанмонолаурат, или СПЭН 20 (Е 493), сорбитанмоноолеат, или СПЭН80 (Е 494), сорбитантриолеат, или СПЭН 85 (Е 496), Твин 20, Твин 40,
Теин 60, Твин 80 (Е 432- Е 435) применяют при изготовлении жировых эмульсий, шоколада,
печенья, кондитерских изделий, мороженого из сухого молока, яичного и какао-порошков, а
также для улучшения растворимости кофе.
Сорбитанмоностеарат (Е491)
В отдельный функциональный класс выделены эмульгирующие соли – пищевые добавки, основная технологическая функция
которых также связана с образованием и стабилизацией дисперсных тем, состоящих из двух или более несмешивающихся фаз. Эффект
достигается путем снижения межфазного поверхностного натяжения. К этому функциональному классу относятся соли-плавители и
комплексообразователи, применение которых, например, при изготовлении плавленых сыров, позволяет предупредить отделение жира
благодаря взаимодействию молекул эмульгирующей соли с белками сырной массы. По химической природе добавки этого
функционального класса, разрешенные к применению при производстве пищевых продуктов, представляют собой преимущественно
соли фосфорных кислот с щелочными и щелочноземельными металлами, а также соли этих металлов с отдельными органическими
кислотами.
ортофосфат калия
дизамещенный (Е340 (I I))
ортофосфат натрия
однозамещенный (Е339 (I))
полифосфат натрия натрия
(Е450 (с))
моногидропирофосфат
натрия (Е450 (I))
Фосфаты натрия Е339(i) (ортофосфат натрия однозамещенный,
ортофосфат натрия двузамещенный, ортофосфат натрия
трёхзамещенный). Выполняют функции регулятора кислотности,
эмульгатора,
текстуратора,
водоудерживающего
агента,
стабилизатора, комплексообразователя.
Фосфаты калия Е340 (i) (ортофосфат калия однозамещенный,
ортофосфат
калия
двузамещенный,
ортофосфат
калия
трёхзамещенный).
Пирофосфаты Е450 (i)
(дигидропирофосфат натрия,
моногидропирофосфат натрия, пирофосфат натрия, пирофосфат
калия и другие). Используются как эмульгаторы, стабилизаторы,
регуляторы кислотности, разрыхлители, комплексообразователи,
водоудерживающие агенты.
Полифосфаты Е450 (с) (полифосфат натрия, полифосфат калия,
полифосфат натрия-кальция, полифосфаты кальция, полифосфаты
аммония).
30

31.

Эмульгаторы и пенообразователи
Пенообразователи. Одним из способов изменения консистенции и структуры пищевых продуктов в целях удовлетворения
вкусов потребителей является введение в пищевое сырье диспергированного воздуха или другого газа. Для многих продуктов питания
пенообразная структура оказывает решающее влияние на их отличительные свойства (например, в хлебобулочных и некоторых
кондитерских изделиях, мороженом, напитках и десертных изделиях). В этот функциональный класс входят вещества,
обеспечивающие равномерную диффузию газообразной фазы в жидкие и твердые пищевые продукты. В результате образуются пены и
газовые эмульсии. Если пенообразующим веществом служит яичный белок, то вследствие развертывания его молекул на границе
межфазного раздела наступает поверхностная денатурация. Денатурированный белок повышает стабильность пен. В соответствии с
СанПиН 2.3.2.560-96 технологические функции пенообразователя имеют четыре пищевые добавки. В отличие от шампанского,
лимонада и боржоми пиво содержит пенообразователи – хмелевые смолы, белки, декстрины и др.
Триэтилцитрат Е1505 представляет собой сложный эфир
лимонной кислоты и этилового спирта, входит в группу
пенообразователей, добавляется в качестве стабилизатора
консистенции в производстве соевого и салатного масла,
кондитерских изделий и напитков (за исключением молочных
ликеров).
Метилэтилцеллюдоза Е465 — простые эфиры целлюлозы. Чаще
всего используется при изготовлении десертов, ликеров, пищевых
покрытий, мармеладов, фруктовых наполнителей, кисломолочных
продуктов, какао-продуктов, жевательных конфет и резинок,
сухих молочных смесей, сгущённого молока, сыров, пудингов,
заливок для мясных и рыбных продуктов.
Жирные кислоты Е570
— предельные и непредельные
одноосновные кислоты алифатического ряда, используются в
производстве
выпечки,
замороженных
молочных
продуктах, желатине, пудингах, леденцах и безалкогольных
напитках.
Сорбитан монопальмитат Е495 — смесь сложных эфиров
сорбита и его моно- и диангидридов с пищевой пальмитиновой
кислотой. встречается в составе концентратов безалкогольных
напитков, заменителей молока, жевательной резинки, соусов,
кондитерских изделий, жировых эмульсий, БАДов, мучных и
хлебобулочных изделий, хлебопекарных дрожжей
триэтилцитрат (Е1505)
метилэтилцеллюдоза (Е465)
Стеариновая кислота (Е570)
Сорбитан монопальмитат (Е495)
31

32.

Загустители и гелеобразователи
Загустители образуют с водой высоковязкие растворы, а студнеобразователи и желирующие агенты – гели. При этом одни и те
же вещества в зависимости от их концентрации в пищевом продукте могут выполнять роль как загустителя, так и желеили
студнеобразователя. Различают загустители натуральные, полусинтетические и синтетические. Натуральные и
полусинтетические загустители применяют при производстве пищевых продуктов, синтетические – только при производстве
косметических изделий.
Загустители
Натуральные
Полусинтетические
Синтетические
К натуральным загустителям
относятся гетерогликаны высших
растений, галактоманнаны, цератонии, гуаровая
камедь и
полисахариды морских растений
и микробиологического происхождения.
К полусинтетическим загустителям и гелеобразователям
относят
производные
натуральных веществ, физикохимические свойства которых
изменены в требуемом направлении введением определенных функциональных групп.
К синтетическим загустителям и
гелеобразователям относят полиакриламиды,
поливиниловый
спирт, пропиленгликоль, полиакрилат натрия, карбомеры и
полиакрилоилдиметилтаурат
натрия.
Агар-агар, выделяемый из
красных водорослей
Микрокристаллическая
целлюлоза
полиакрилат натрия
32

33.

ПИЩЕВЫЕ ДОБАВКИ, РЕГУЛИРУЮЩИЕ СРОК ХРАНЕНИЯ
ПИЩЕВЫХ ПРОДУКТОВ
Консерванты
Консерванты – используются для обеспечения сохранности сырья и готовых продуктов, защищая их от микробиологической порчи.
Они могут оказывать бактерицидное (убивать бактерии), бактериостатическое (замедлять развитие микроорганизмов),
фунгистатическое действие (угнетать грибы) и фунгицидное (убивать грибы) действие.
При выборе консерванта следует руководствоваться определенными требованиями.
Так, консервант:
- не должен вызывать опасений с точки зрения физиологии;
- не должен порождать токсикологические и экологические проблемы в процессе
производства, переработки и использования;
- не должен вызывать привыкание;
- не должен реагировать с компонентами пищевого продукта или реагировать
только тогда, когда антимикробное действие больше не требуется;
- не должен взаимодействовать с материалом упаковки и адсорбироваться им;
- должен иметь более широкий спектр действия;
- должен быть достаточно эффективным против микроорганизмов, которые могут
присутствовать в (на) данном пищевом продукте в определенных условиях (рН,
активность воды и т.д.);
- должен воздействовать на токсинобразующие микроорганизмы и по
возможности замедлять образование токсинов в большей степени, чем развитие
микроорганизмов;
- должен как можно меньше влиять на микробиологические процессы,
протекающие в некоторых пищевых продуктах (дрожжевое брожение теста,
молочнокислое брожение квашений, созревание сыров);
- должен по возможности оставаться в пищевом продукте в течение всего срока
хранения;
- должен как можно меньше влиять на органолептические свойства пищевого
продукта (запах, вкус, цвет и текстуру);
- должен быть по возможности быть простым в применении.
33

34.

Консерванты
Эффективность конкретного консерванта неодинакова в отношении плесневых грибов, дрожжей и бактерий, т.е. он не может быть направлен
против всего спектра возможных возбудителей порчи пищевых продуктов. Эффективность консервантов зависит от состава и физико-химических
свойств консервируемого пищевого продукта. На нее могут влиять вещества, изменяющие рН или активность воды либо селективно
адсорбирующие консерванты, а также природные составляющие продукта, которые сами проявляют антимикробное действие. Некоторые
консерванты могут разлагаться микроорганизмами. Это относится прежде всего к органическим соединениям, которые служат для ряда
микроорганизмов источником углерода. Так, метилпарабен разлагается бактериями вида Pseudomonas aeruginosa, а сорбиновая кислота – грибами
рода Penicillium и др. Разложение наблюдается не только когда консервант не действует против данного микроба, но и если имеется значительное
несоответствие между концентрацией эффективного консерванта и обсемененностью субстрата (например, в случае сильно загрязненного
пищевого продукта или при уже начавшейся микробиологической порче). Поэтому нельзя сохранить пищевые продукты с помощью консервантов
и возвратить им «свежесть», если порча уже началась. Запрещено применять консерванты в отдельных продуктах массового потребления (молоке,
сливочном масле, муке, хлебе, кроме фасованного) и детского питания, а также в изделиях с маркировками «натуральные», «свежие». В России в
качестве консервантов разрешены: сорбиновая кислота, бензойная, уксусная кислота, соединения серы, пропионовая кислота, лизин, муравьинная
кислота и др. Запрещено использовать формальдегид (Е240).
Диоксид серы (Е220) и ее производные – сернистый ангидрид SO3
(Е220), сульфит натрия Na2SO3 (E221), бисульфит натрия NaHSO3
(E222) и метабисульфит натрия Na2S2O5 (E223) используют в
качестве консервантов и для предотвращения потемнения
пищевых продуктов. Сернистый ангидрид подавляет, главным
образом, рост плесневых грибов, дрожжей и аэробных бактерий,
широко
применяется
как
консервант
в
консервной,
винодельческой,
кондитерской
и
рыбоперерабатывающей
отраслях пищевой промышленности. Сульфит натрия оказывает
сильное бактерицидное влияние на Staphylococcus aureus и
Bacillus subtilis, что определяет области его применения.
Бензойная кислота (Е210) в небольших концентрациях тормозит
развитие аэробных микроорганизмов, в высоких – плесневых
грибов и дрожжей. В жидкие пищевые продукты вводят
натриевые и калиевые соли бензойной кислоты – бензоаты натрия
и калия.
Метабисульфит натрия
Сернистый ангидрид
Бензойная кислота
34

35.

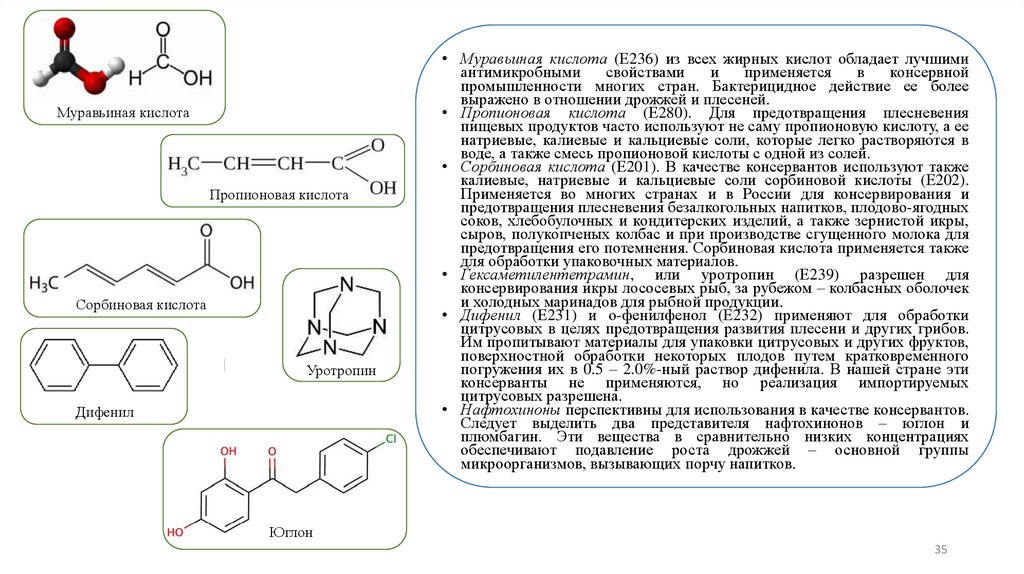
Муравьиная кислота
Пропионовая кислота
Сорбиновая кислота
Уротропин
Дифенил
• Муравьиная кислота (Е236) из всех жирных кислот обладает лучшими
антимикробными
свойствами
и
применяется
в
консервной
промышленности многих стран. Бактерицидное действие ее более
выражено в отношении дрожжей и плесеней.
• Пропионовая кислота (Е280). Для предотвращения плесневения
пищевых продуктов часто используют не саму пропионовую кислоту, а ее
натриевые, калиевые и кальциевые соли, которые легко растворяются в
воде, а также смесь пропионовой кислоты с одной из солей.
• Сорбиновая кислота (Е201). В качестве консервантов используют также
калиевые, натриевые и кальциевые соли сорбиновой кислоты (Е202).
Применяется во многих странах и в России для консервирования и
предотвращения плесневения безалкогольных напитков, плодово-ягодных
соков, хлебобулочных и кондитерских изделий, а также зернистой икры,
сыров, полукопченых колбас и при производстве сгущенного молока для
предотвращения его потемнения. Сорбиновая кислота применяется также
для обработки упаковочных материалов.
• Гексаметилентетрамин, или уротропин (Е239) разрешен для
консервирования икры лососевых рыб, за рубежом – колбасных оболочек
и холодных маринадов для рыбной продукции.
• Дифенил (Е231) и о-фенилфенол (Е232) применяют для обработки
цитрусовых в целях предотвращения развития плесени и других грибов.
Им пропитывают материалы для упаковки цитрусовых и других фруктов,
поверхностной обработки некоторых плодов путем кратковременного
погружения их в 0.5 – 2.0%-ный раствор дифенила. В нашей стране эти
консерванты не применяются, но реализация импортируемых
цитрусовых разрешена.
• Нафтохиноны перспективны для использования в качестве консервантов.
Следует выделить два представителя нафтохинонов – юглон и
плюмбагин. Эти вещества в сравнительно низких концентрациях
обеспечивают подавление роста дрожжей – основной группы
микроорганизмов, вызывающих порчу напитков.
Юглон
35

36.

Антибиотики
Молоко, мед, зерновые, лук, чеснок, фрукты и пряности содержат естественные компоненты с антибиотическим действием. Эти
вещества могут быть выделены, очищены и применены для консервирования пищевых продуктов. Введение антибиотиков
сельскохозяйственным животным может привести к загрязнению пищевых продуктов животного происхождения. Контроль над остатками
антибиотиков имеет большое гигиеническое значение. При употреблении продуктов питания, содержащих антибиотики, изменяется кишечная
микрофлора, что приводит к нарушению синтеза витаминов, размножению патогенных микроорганизмов в кишечнике и возникновению
аллергических заболеваний.
Аллилизотиоцианат (аллилгорчичное эфирное масло) является активным
антимикробным компонентом горчичного порошка, который издавна применяли для
предохранения вин и соков от помутнения биологического характера.
Низин (Е234) является продуктом жизнедеятельности группы молочнокислых
стрептококков, естественным местом обитания которых являются молоко, сыр,
кисломолочные напитки, творог, простокваша и ряд других продуктов при рН 6.8.
Низин подавляет развитие стафилококков, стрептококков, сарцин, бацилл и
клостридий. Использование низина позволяет уменьшить интенсивность тепловой
обработки и сохранить пищевую ценность молока. Применение низина при
выработке твердых и полутвердых сыров способствует уменьшению их вспучивания,
вызываемого маслянокислыми бактериями.
Биомицин, или хлортетрациклин, оказывает широкое антибактериальное действие, но
превращается в безвредный для организма человека изомер изохлортетрациклин,
проявляющий бактериостатическое действие. В настоящее время применение
биомицинового льда (5 г биомицина на 1 т льда) допущено в условиях тралового
лова в ограниченном районе и для хранения рыбы только тресковых пород.
Применяют его также против бактериальной порчи говяжьего мяса в сочетании с
нистатином, тормозящим развитие на мясе дрожжей и плесеней. Токсикологические
исследования показали безвредность такого мяса.
Пимарицин, или натамицин (Е235), находит применение за рубежом наряду с
низином в молочной промышленности. Пирамицин активен против большого числа
микроскопических грибов и дрожжей. Применяют его в основном для
предупреждения плесневения сыров во время их созревания. На основе этого
антибиотика выпускается препарат «Дельвоцид», который применяют в
производстве сыров.
Нистатин – антибиотик, действие которого направлено преимущественно против
дрожжей и плесеней. Применяется в комбинации с биомицином для сохранения
свежести мяса.
Аллилизотиоцианат
Низин
Пимарицин
Биомицин
Нистатин
36

37.

Антиокислители или антиоксиданты
Антиокислители снижают скорость реакций окисления и предотвращают нежелательные изменения при хранении жиросодержащих
пищевых продуктов (в частности, ненасыщенных жирных кислот). К натуральным антиокислителям относят: токоферолы, аскорбиновая
кислота, флавоин, к искусственным: бутилгидроксианизол (БОА) и бутилгидрокситолуол (БОТ). Антиокислительные свойства проявляют и
некоторые пряности: анис, кардамон, кориандр, укроп, фенхель, имбирь, красный перец. Наиболее целесообразно использование
антиокислителей для сохранения жировых продуктов, способных окисляться на свету под влиянием кислорода и тепла до гидропероксидов. В
ходе дальнейшего окисления последних образуются токсичные альдегиды, кетоны, низкомолекулярные жирные кислоты, различные продукты
полимеризации и другие соединения.
Натуральные
Антиокислители
• Токоферолы (Е306, Е307, Е308, Е309) в виде смеси изомеров в
больших количествах содержатся в растительных жирах (50-100 %):
масле пшеничных зародышей, кукурузном, подсолнечном и др. В
животных жирах их содержание незначительно. Они являются
важнейшими природными антиоксидантами.
• Аскорбиновая кислота и ее производные (Е300) используются для
предотвращения окислительной порчи пищевых жиров, в частности
маргарина, топленых жиров, а также других продуктов.
• Аскорбилпальмитат (Е304) и аскорбилстеарат (Е305) – эфиры
аскорбиновой кислоты с пальмитиновой, стеариновой, миристиновой
и другими высокомолекулярными жирными кислотами также
обладают антиоксидантными свойствами.
• Гваяковая смола (Е314) добывается из тропического дерева Guajacum
officinalis L. и применяется, главным образом, в качестве окислителя
животных жиров. В России гваяковая смола как пищевая добавка
запрещена к применению.
1-Токоферол
Аскорбилпальмитат
Искусственные
• Галлаты, или эфиры галловой кислоты (пропилгаллат (Е310),
октилгаллат (Е311) и додецил-галлат (Е312). Галлаты широко
применяются для предохранения от окисления жиров и
жирсодержащих продуктов. Пропилгаллат используют также
при производстве бульонных мясных и куриных кубиков.
• Бутилоксианизол и бутилокситолуол эффективно подавляют
процессы окисления жировых компонентов. Этими
веществами также можно пропитывать упаковочный материал
для жиров и изделий, содержащих в значительных
количествах жир.
• Бутилгидроксианизол (Е320) используют в пищевой
промышленности для замедления окисления животных
топленых жиров и соленого шпика.
Бутилоксианизол
37

38.

ФУНКЦИОНАЛЬНЫЕ ПИЩЕВЫЕ ДОБАВКИ
Биологически активные добавки (БАД)
Биологически активные добавки (БАД) или food supplements – это не лекарства, это композиции природных или идентичные природным
биологически активные вещества, получаемые из растительного, животного и минерального сырья, реже – путем химического или
биологического синтеза. Они предназначены для употребления одновременно с пищей или введения в состав пищевых продуктов или
напитков. Необходимо различать два термина – «биологически активная добавка к пище (БАД)» и «пищевая добавка». БАД к пище производят
в виде экстрактов, настоев, бальзамов, изолятов, порошков, сухих и жидких концентратов, сиропов, таблеток, капсул и др. форм.
БАД используют как:
• дополнительный источник пищевых и биологически
активных веществ;
• для оптимизации углеводного, жирового, белкового,
витаминного и других видов обмена веществ при
различных функциональных состояниях;
• для нормализации и/или улучшения функционального
состояния органов и систем организма человека;
для снижения риска заболеваний;
• для нормализации микрофлоры желудочно-кишечного
тракта;
• в качестве энтеросорбентов.
Функции биологически активных добавок:
• Оздоровительная. Для поддержания здоровья
организма.
• Профилактическая. Для профилактики ряда
заболеваний, адаптации к окружающей среде.
• Подготовительная. Подготовка организма к лечению
синтетическими препаратами.
• Протективная. Для смягчения действия синтетических
препаратов.
• Восстановительная. Для восстановления организма
после длительного заболевания, после приема
синтетических лекарств или антибиотиков.
• Лечебная. При острых заболеваниях.
38

39.

Биологически активные добавки (БАД)
Биологически активные добавки к пище используются для следующих целей:
Рационализация питания. Быстрое восполнение дефицита поступающих с пищей биологически активных веществ (аминокислот,
полиненасыщенных жирных кислот, витаминов, макро- и микроэлементов, пищевых волокон, экстрактивных веществ и др.); подбор
оптимального соотношения питательных и энергетических веществ для каждого конкретного человека с учетом пола, возраста, энергозатрат,
физиологических потребностей.
Уменьшение калорийности рациона, регулирование массы тела. Например, комплексные БАД, содержащие витамины и минеральные вещества,
снижают калорийность традиционного рациона. БАД, приготовленные на основе лекарственных растений (фенхель, можжевельник, ревень,
сенна и др.,), оказывают анорексигенное действие или мягкое послабляющее влияние.
Удовлетворение физиологических потребностей в пищевых веществах больного человека. При этом уменьшается нагрузка на пораженные
патологическим процессом метаболические звенья. Например, включение в диету больных сахарным диабетом топинамбура (основного
источника фруктозы) позволяет удовлетворять потребности организма в углеводах без риска развития гипергликемии.
Повышение неспецифической резистентности организма к воздействию неблагоприятных факторов окружающей среды. Для этого
используют вещества растительного происхождения, созданные на основе женьшеня, элеутерококка, родиолы розовой и т.д.
Профилактика нарушения обменных процессов и возникновения связанных с этим хронических заболеваний. Например, БАД, содержащие
полиненасыщенные жирные кислоты, пищевые волокна, обладают гиполипидемическим действием. Они влияют на центральное звено
патогенеза широко распространенных хронических заболеваний (атеросклероза и ишемической болезни сердца).
Направленное изменение метаболизма, связывание и ускоренное выведение из организма токсических и чужеродных веществ. Это происходит,
например, при применении адсорбента – полифепама; компонентов лекарственных растений, оказывающих мочегонное и послабляющее
действие.
Восстановление сниженной иммунной системы организма. Иммуномодулирующим действием обладает целый ряд БАД, содержащих
витамины, минеральные вещества, экстракты биологически активных веществ из растений, адаптогены, экстракты тимуса и т.д.
Нормализация состава и функционирования сапрофитной кишечной микрофлоры. Для этого используют БАД, созданные на основе
естественных микроорганизмов кишечника человека (бифидобактерин, лактобактерин и т.д.). Они ограничивают размножение патогенных
микроорганизмов; содержат фруктоолигосахариды, которые создают условия для размножения и жизнедеятельности сапрофитных бактерий.
Регуляция в физиологических границах функций организма. Например, продукты и БАД, содержащие кофеин, стабилизируют артериальное
давление при гипотонии, оказывают психостимулирующий эффект и повышают работоспособность. Антиоксиданты ограничивают перекисное
окисление липидов при патологических процессах, так они обеспечивают нормальное функционирование различных органов и систем,
улучшают качество жизни больных.
39
English     Русский Rules