596.50K
Category: physicsphysics

Кинематические характеристики вращательного движения

1.

КИНЕМАТИЧЕСКИЕ ХАРАКТЕРИСТИКИ
ВРАЩАТЕЛЬНОГО ДВИЖЕНИЯ

2.

φ – угол поворота; 1рад
d - элементарное угловое перемещение; d 1рад
Правило правого винта:
d
из конца вектора
r dr
d
r
dr
1
2
d
поворот тела
виден происходящим против хода
часовой стрелки.

3.

-угловая скорость
d
lim
t 0 t
dt
t
d
Равномерное вращение
2
1
d
dt
r
1 рад / с
d
d
const
dt
t

4.

угловое ускорение
t
d
lim
t 0 t
dt
d
dt
(d 0)
r
2
1
1 рад / с 2
(d 0)

5.

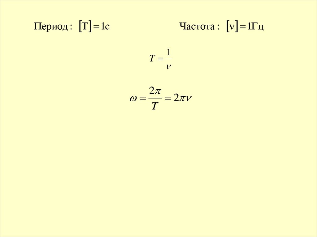
Период : T 1c
Частота : 1Гц
T
1
2
2
T

6.

ВЗАИМОСВЯЗЬ УГЛОВЫХ И ЛИНЕЙНЫХ
КИНЕМАТИЧЕСКИХ ХАРАКТЕРИСТИК
Скалярное произведение векторов
c a b
c a b cos

7.

Векторное произведение векторов
c a b [a , b ]
c a b sin
c b a
c a b sin

8.

d
dr dS d r
d
r
dr
1
dr [d , r ]
2
dS
dr
d
[
,r]
dt
dt
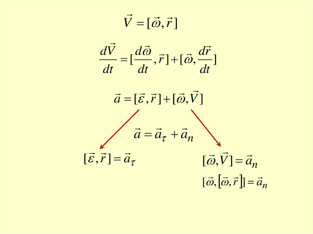
V [ , r ]
V r sin 90 r

9.

V [ , r ]
dr
dV
d
[
, r ] [ , ]
dt
dt
dt
a [ , r ] [ ,V ]
a a an
[ , r ] a
[ ,V ] an
[ , , r ] an

10.

an
r
V
a
a
an
a
a
V

11.

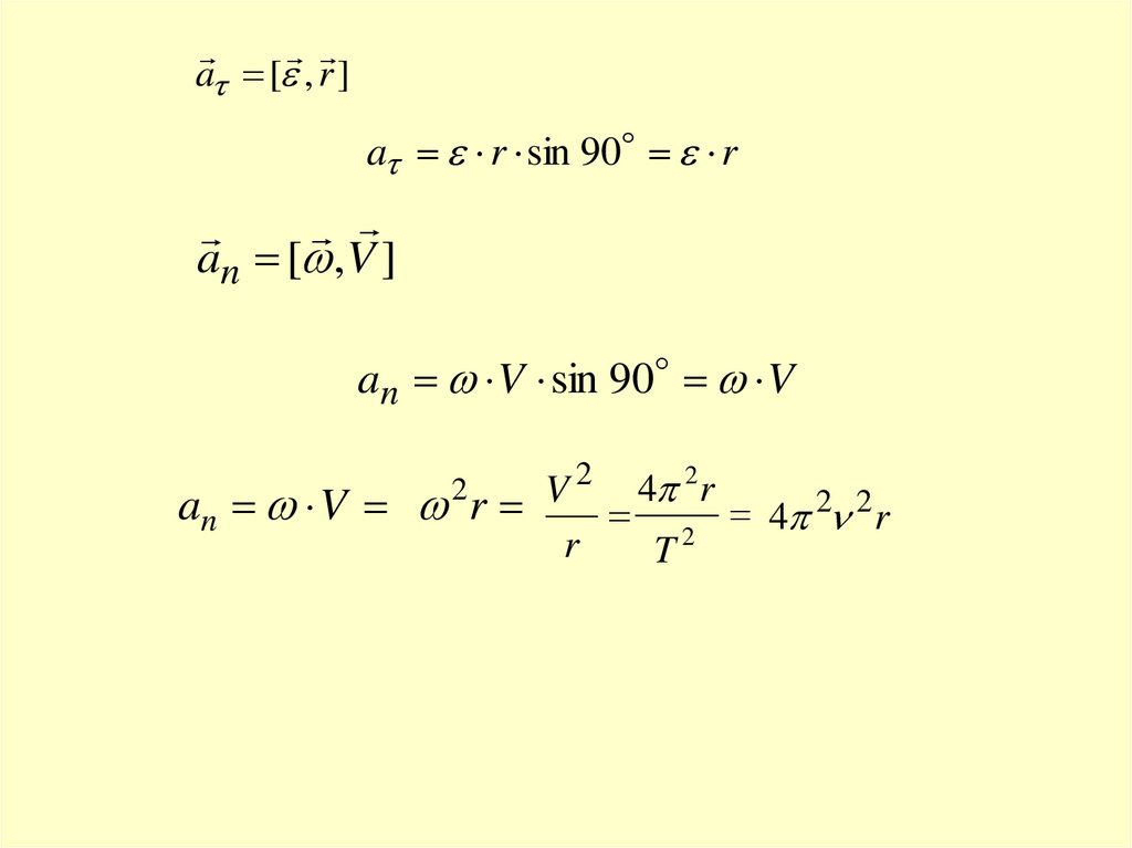
a [ , r ]
a r sin 90 r
an [ ,V ]
an V sin 90 V
2
2
4
r
V
an V r
2 4 2 2 r
r
T
2

12.

Формулы связи между линейными
величинами (прямолинейное и
криволинейное движение)
Формулы связи между угловыми
величинами (движение по
окружности)
Равномерное движение
Скорость V = const
Угловая скорость = const
Закон движения х = х0 + V t
Закон движения = 0 + t
Равноускоренное движение
Ускорение a = const
Скорость V = V0 + a t
Путь S = Vot + a t2/2
Угловое ускорение = const
Скорость = 0 + t
Угловое перемещение
= 0 + 0 t+ t2/2
English     Русский Rules