Тема: ФУНКЦИИ НЕСКОЛЬКИХ ПЕРЕМЕННЫХ
Понятие функции нескольких переменных
Пример
Линии уровня
Предел и непрерывность функции 2-х переменных
Частные производные ФНП
Пример
Частные производные второго порядка
Обозначения частных производных второго порядка:
§4. Полный дифференциал ФНП
670.50K
Category: mathematicsmathematics

Функции нескольких переменных

1. Тема: ФУНКЦИИ НЕСКОЛЬКИХ ПЕРЕМЕННЫХ

2. Понятие функции нескольких переменных

Если каждой упорядоченной паре чисел
(x;y) из некоторого числового множества
D ( x; y ) поставлено в соответствие
согласно некоторому правилу f число z из
множества Z, то говорят, что на множестве
D задана функция двух переменных
z f ( x; y ).

3.

При этом переменные x и y называются
независимыми
переменными
(или
аргументами).
Множество D ( x; y )
называется областью определения, а
множество Z f ( x; y ) | ( x; y ) D
– множеством значений функции.
Областью определения может быть вся
плоскость OXY, или ее часть, ограниченная
некоторыми линиями.

4.

Линию,
ограничивающую
область,
называют границей области.
Точки области, не лежащие на границе,
называются
внутренними.
Область,
состоящая из одних внутренних точек,
называется открытой.
Область с присоединенной к ней
границей
называется
замкнутой,
обозначается D .
Примером замкнутой области является
круг с окружностью.

5.

Значение функции z f ( x; y ) в точке
M 0 ( x0 ; y0 ) обозначают z0 f ( x0 ; y0 ) и
называют частным значением функции.
Пример.
2
z
x
y 2x 3 y 1
Найти значение функции
в точке M 0 (1; 2).
Решение. z(1; 2) 12 ( 2) 2 1 3 ( 2) 1
2 2 6 1 7.

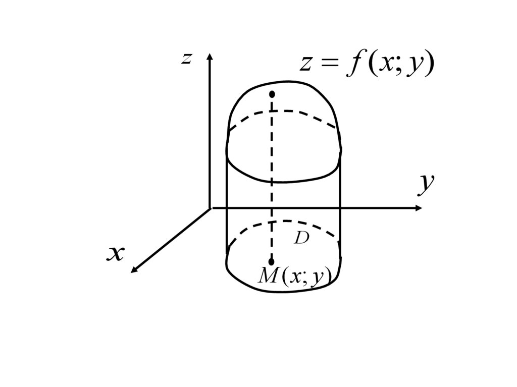
6.

Графиком функции z f ( x; y )
называется поверхность, образованная
множеством точек
пространства с
координатами ( x; y; f ( x; y ))
для всех ( x; y ) D.

7.

z
z f ( x; y)
y
x
D
M ( x; y )

8. Пример

Найти область определения функции:
z 1 x y
2
Решение.
2
1 x y 0,
2
2
x y 1.
2
2
Построим линию x 2 y 2 1.
Это окружность с центром в точке O(0;0) и
радиусом
R 1.

9.

y
R
0
x

10.

Функция двух переменных, как и
функция одной переменной, может быть
задана разными способами:
- таблицей,
- аналитически,
- графиком.
Будем пользоваться, как правило,
аналитическим способом: когда функция
задается с помощью формулы.

11.

Величина u называется функцией n
переменных x1 , x2 , , xn ,
если каждой
совокупности x1; x2 ; , xn , переменных
x1 , x2 , , xn из некоторой области
nмерного
пространства
соответствует
определенное
значение
u,
что
символически записывается
u f x1; x2 ; ; xn .

12. Линии уровня

Линией уровня функции z f ( x; y )
называется множество всех точек плоскости
OXY , в которых функция z принимает
постоянное значение, т. е. f ( x; y ) C ,
где C – постоянная.
Число C в этом случае называется уровнем.

13.

Многие примеры линий уровня хорошо
известны и привычны.
Например, параллели и меридианы на
глобусе — это линии уровня функций
широты и долготы. Синоптики публикуют
карты с изображением изотерм — линий
уровня температуры.
Построение линий уровня оказывается
существенно более легкой задачей, чем
построение графиков самих функций.

14. Предел и непрерывность функции 2-х переменных

ОПР. -окрестностью точки M 0 ( x0 ; y0 )
называется множество всех точек M ( x; y )
плоскости,
координаты
которых
удовлетворяют неравенству
( x x 0 ) ( y y0 )
Т.е. -окрестность точки M 0
2
2
– это
круг радиуса , с центром в точке M 0

15.

Пусть функция z f ( x; y ) определена в
некоторой окрестности точки M 0 ( x0 ; y0 )
кроме быть может самой точки.
Опр. Число A называется пределом
функции z f ( x; y )
при x x0 и
y y0 , если для любого 0 , найдется
положительное число , такое, что для
всех x x0 и y y0 , удовлетворяющих
неравенству
2
2
( x x 0 ) ( y y0 )
выполняется неравенство
f ( x; y ) A

16.

Записывают
A lim f ( x; y )
x x0
y y0
Предел функции двух переменных
обладает
свойствами,
аналогичными
свойствам
предела
функции
одной
переменной.

17.

Опр. Функция z f ( x; y ) называется
непрерывной в точке M 0 ( x0 ; y0 ) , если
она:
• 1) определена в этой точке и некоторой ее
окрестности;
• 2) имеет конечный предел
lim f ( M )
M M0
• 3) этот предел равен значению функции z в
точке
M0 :
lim f ( M ) f ( M0 ).
M M0

18.

Геометрический смысл непрерывности
очевиден: график в точке M 0 ( x0 ; y0 )
представляет
собой
сплошную,
нерасслаивающуюся поверхность.
ОПР. Функция, непрерывная в каждой
точке некоторой области, называется
непрерывной в этой области.

19. Частные производные ФНП

Частным приращением функции
z f ( x; y )
по независимой переменной x,
соответствующим приращению x
переменной x, называется разность
x z f ( x x; y ) f ( x; y ).

20.

Частным приращением функции
z f ( x; y )
по независимой переменной y,
соответствующим приращению y
переменной y, называется разность
y z f ( x; y y ) f ( x; y ).
Полным приращением функции z f ( x; y )
соответствующим приращениям
аргументов x и y , называется разность
z f ( x x; y y ) f ( x; y ).

21.

Частной производной первого порядка
функции нескольких переменных по
одной из этих переменных называется
предел
отношения
соответствующего
частного
приращения
функции
к
приращению данной переменной, когда
последнее стремится к нулю.

22.

Для функции двух переменных z f ( x; y )
по определению частная производная по x
равна
xz
z
lim
,
x x 0 x
частная производная по y равна
yz
z
lim
.
y y 0 y

23.

При
нахождении
частной
производной
пользуются
правилами дифференцирования
функции одной переменной,
считая все другие аргументы
постоянными.

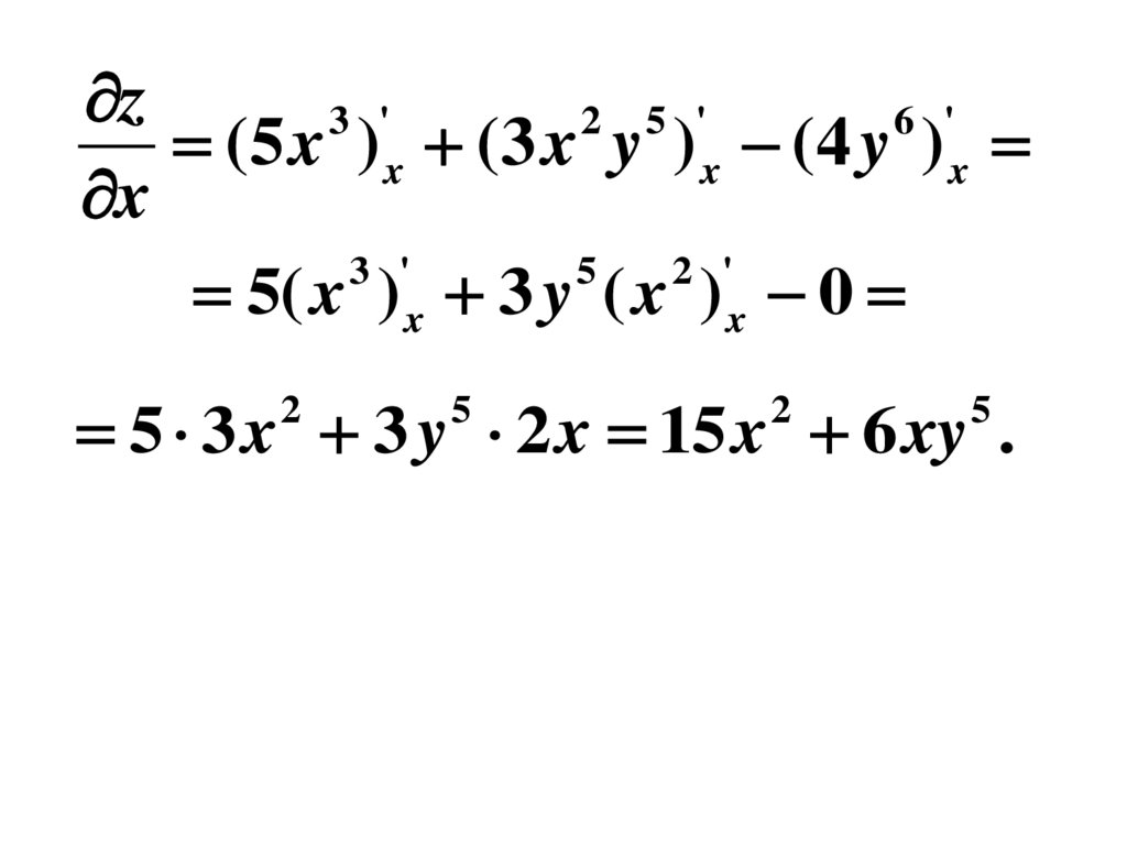
24. Пример

Найти частные производные первого
порядка
z 5x 3x y 4 y .
3
2
5
6
Решение. Считая
y постоянной и
дифференцируя
данную функцию как
функцию переменной x, находим частную
производную по x:

25.

z
3 '
2 5 '
6 '
(5 x ) x (3 x y ) x (4 y ) x
x
3 '
5
2 '
5( x ) x 3 y ( x ) x 0
5 3 x 3 y 2 x 15 x 6 xy .
2
5
2
5

26.

Считая x постоянной и дифференцируя z
как функцию переменной y, находим
частную производную по y:
z
3 '
2 5 '
6 '
(5 x ) y (3 x y ) y (4 y ) y
y
2
5 '
6 '
0 3 x ( y ) y 4( y ) y
3 x 5 y 4 6 y 15 x y 24 y .
2
4
5
2
4
5

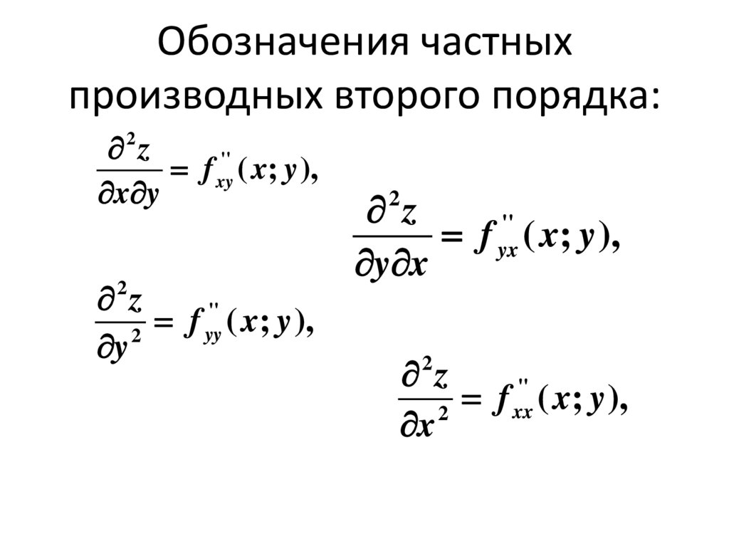
27. Частные производные второго порядка

Частными производными второго порядка
функции z f ( x; y ) называются
частные
производные, если они существуют, от ее
частных производных первого порядка.

28. Обозначения частных производных второго порядка:

z
''
f xy ( x; y ),
x y
2
z
''
f
yy ( x; y ),
2
y
2
z
''
f yx ( x; y ),
y x
2
z
''
f xx ( x; y ),
2
x
2

29.

Аналогично
определяются
и
обозначаются
частные
производные
третьего и высших порядков.
''
'''
''
Частные производные f xy , f yx , f xxy
называются смешанными производными.
Если функция дважды дифференцируема в некоторой точке, то в этой точке
смешанные производные равны.

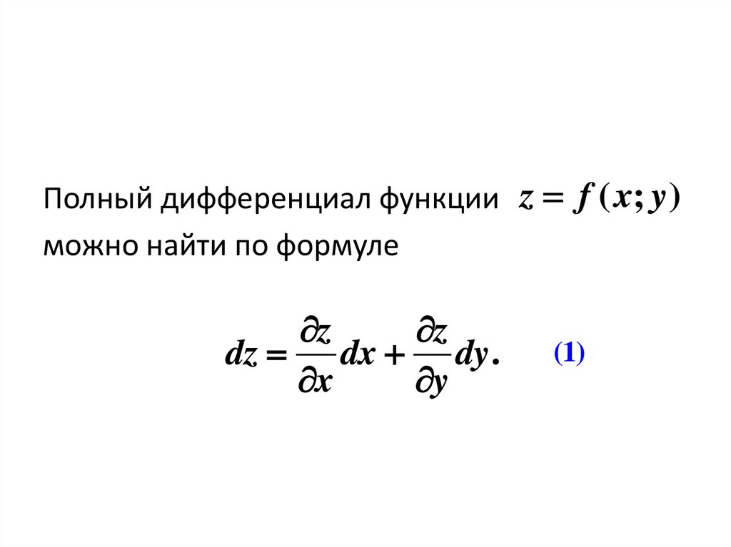
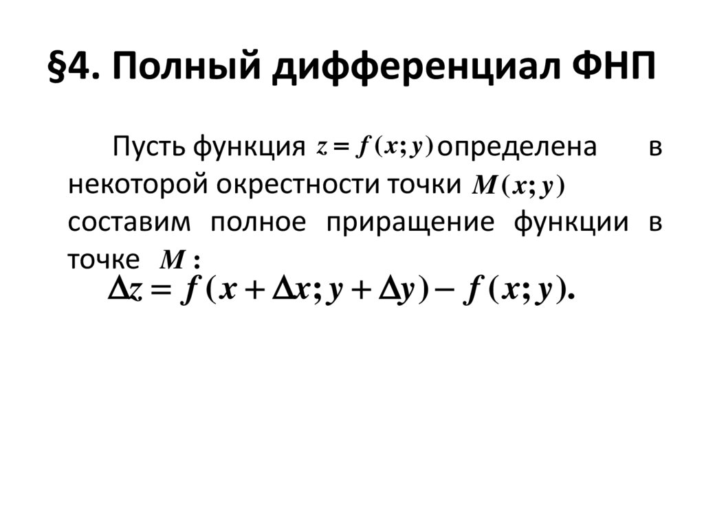
30. §4. Полный дифференциал ФНП

Пусть функция z f ( x; y ) определена
в
некоторой окрестности точки M ( x; y )
составим полное приращение функции в
точке M :
z f ( x x; y y ) f ( x; y ).

31.

Полный дифференциал функции z f ( x; y )
можно найти по формуле
z
z
dz dx dy .
x
y
(1)

32.

Пример. Найти полный дифференциал
функции
2
2
z x y .
Решение.
z x
2x
2 x y
dz
2
x
x2 y2
2
,
dx
z y
2y
,
2 x y
2
y
xdx ydy
2
x2 y2
dy
x2 y2
.

33.

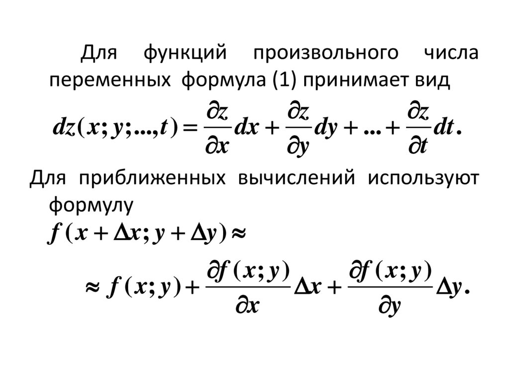
Для функций произвольного числа
переменных формула (1) принимает вид
z
z
z
dz( x; y;..., t ) dx dy ... dt .
x
y
t
Для приближенных вычислений используют
формулу
f ( x x; y y )
f ( x; y )
f ( x; y )
f ( x; y )
x
y.
x
y
English     Русский Rules