Условная вероятность. Независимость событий. Формулы сложения и умножения вероятностей. Формула полной вероятности, формула
§8. Вероятность произведения событий
Схема Бернулли
Теорема (формула Бернулли)
Наивероятнейшее число успехов
Пример
Еще один пример
Полиномиальная схема
Полиномиальная формула
Пример
Гипергеометрические испытания
Гипергеометрические вероятности
Пример
Теорема
Доказательство
Предельные теоремы для схемы Бернулли
Теорема Пуассона
Доказательство
При n  , n= np  
Приближенная формула Пуассона
Пример (дни рождения)
Предельная теорема Муавра –Лапласа
Локальная приближенная формула Муавра –Лапласа
График биномиальных вероятностей при n=30, p=0,2 и график φ(X)
Интегральная предельная теорема Муавра –Лапласа
Доказательство
По локальной предельной теореме
при n  An 0
Интегральная приближенная формула Муавра –Лапласа
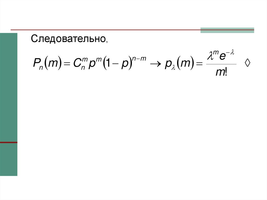
Следствия
Свойства функции (x)
Свойства функции Ф(x)
Функция Лапласа Φ0(x).
График функции Φ0(x)
Замечания
Пример
426.50K
Category: mathematicsmathematics

Аксиоматическое определение вероятности события

1.

Аксиоматическое определение вероятности
события.
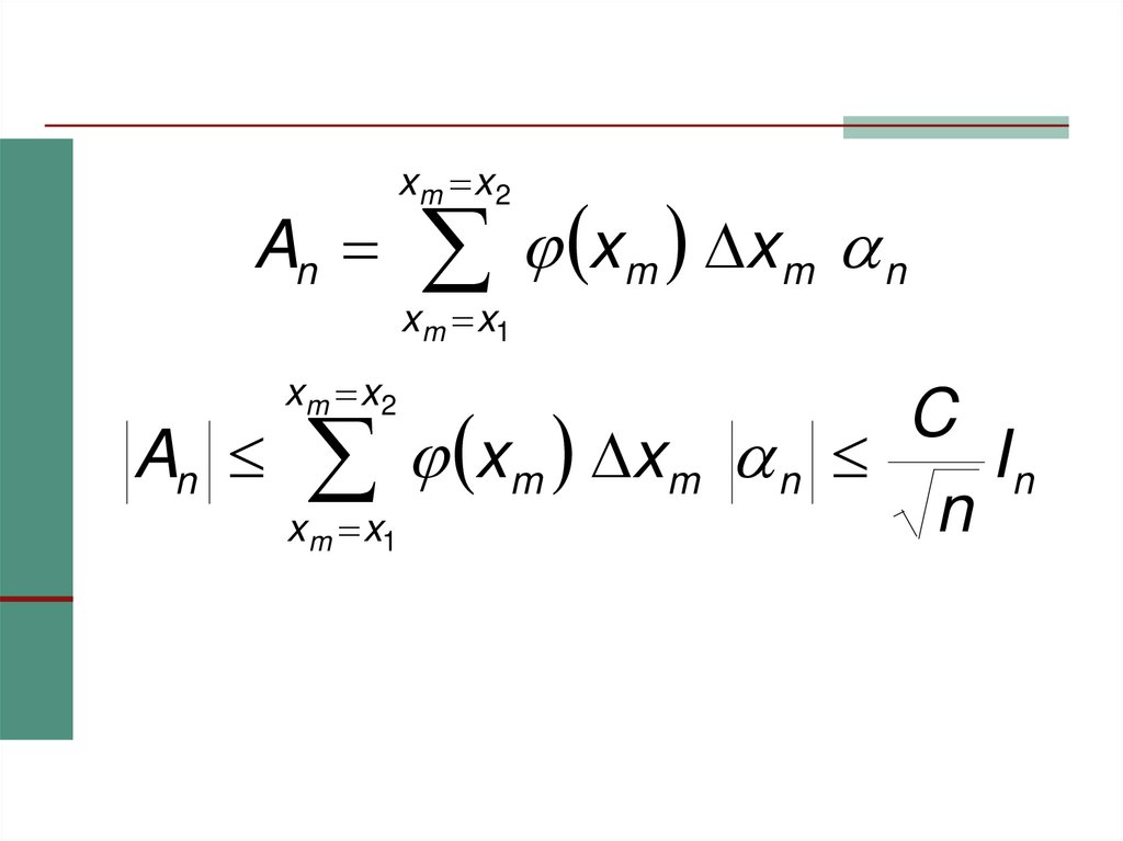
•Определение. Пусть Ω - пространство элементарных событий, u-
алгебра событий, А - событие, принадлежащее алгебре событий.
Вероятностью p(А) события А называется числовая функция,
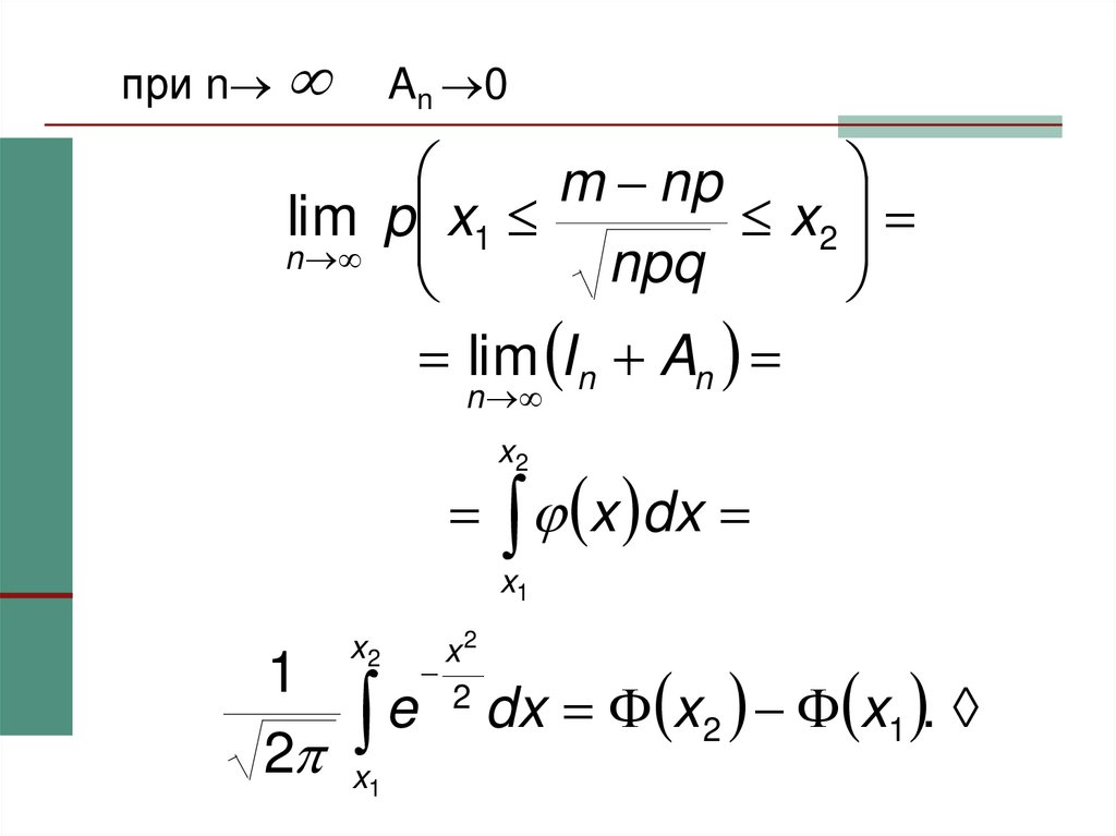
p:A
p(А) каждому событию сопост. Действ. число
определенная для любого А из u и удовлетворяющая следующим
условиям (аксиомам):
A1) p(А) всегда неотрицательна (p(А)≥0)
A2)p(Ω) =1
A3)p(Σ Aк) = Σ p(Aк) - для несовместных событий A1, A2,…An (Ai Aj= Ø)
Вероятность суммы равна сумме вероятностей

2.

Свойства вероятности
1.Вероятность противоположного события:
P(Ā)=1-P(A)
2.Формула сложения вероятностей (вероятность суммы двух совместных
событий):
P(A+B)=P(A)+P(B)-P(AB)
3.Монотонность вероятности:
Пусть событие А влечет за собой наступление B , тогда
P(B)≥P(A)
•Определение. Тройка (Ω,u,p) образует вероятностное пространство.

3. Условная вероятность. Независимость событий. Формулы сложения и умножения вероятностей. Формула полной вероятности, формула

Байеса.
Схема Бернулли. Предельные теоремы — локальная, интегральная, теорема Пуассона. /Лек/
• Определение.
Условной вероятностью P(B/A)=PА(B)
называют
вероятность события В, вычисленную в предположении, что событие
А уже произошло.
Пример. В урне 3 белых и 3 черных шара, из урны дважды т по одному
шару, не возвращая их обратно. Найти вероятность извлечь черный
шар при втором испытании, если при первом испытании был
извлечен белый шар.
До-во
PА(B)=3/5=0,6.
P(W/A)= P(AW)/P(A) = P(A)/P(A) =1
P(B/A)=P(AB)/P(A) –
формула для вычисления условной вероятности. Проверить аксиомы

4. §8. Вероятность произведения событий

• Вероятность произведения событий А и В вычисляется по формуле
Р(АВ)=Р(А)Р(В/А)=Р(В)Р(А/В),
которую называют формулой умножения вероятностей.
Д-во
P(AB)/P(A) =P(B/A) домножить на P(A)
Замеч. Если число рассматриваемых событий больше двух, то
вероятность произведения событий следует вычислять,
последовательно применяя формулу умножения вероятностей.
Например, для трех событий
Р (АВС)=Р(АВ)Р(С/АВ)=Р(А)Р(В/А)Р(С/АВ)

5.

• Определение. События А и В называются независимыми если
P(B/A)=P(B).
• Теорема. Если События А и В независимые события
Р(АВ)=Р(А)Р(В).
.д-во Р(АВ)=Р(А)Р(В/А)= Р(А)Р(В).
• Определение. События A1, A2,…An называются независимыми в
совокупности, если для любого
1≤k≤n и любого набора
различных между собой индексов i1,i2…ik имеет место равенство:
P(Ai ∩Ai …∩Ai )=P(Ai )P(Ai )…P(Ai )
1
2
k
1
2
k
Замечание. Если события независимы в совокупности, то они попарно
независимы, т.е. любые два события независимы. Обратное
утверждение, вообще говоря, неверно: из попарной независимости не
вытекает независимость в совокупности.

6.

Пример. Производится бросание двух игральных костей. А =
{на первой кости выпало четное число очков}
В= {на второй кости выпало нечетное число очков} С = {сумма
очков четна}
Являются ли события попарно независимыми и независимыми в
совокупности?
Решение.
Р(АВС)=0; Р (А)=Р(В)=Р(С)=1/2; Р (АС)=Р(АВ)=Р(СВ)=1/4
Вывод.
События попарно независимы, но не являются независимыми в
совокупности.

7.

§8. Формула полной вероятности
• Теорема. Пусть выполняются следующие условия:
события Н1, Н2,…..Нn – попарно несовместные события, т.е. Нi Нj = Ø
для любых i ≠ j;
события обладают конечными вероятностями Р(Нi) >0;
событие А наступает только вследствие наступления одного из
событий Нi, т.е. А = А Н1 + А Н2 +…..+ А Нn .
Тогда вероятность события А
вычисляется по формуле
P(A)= P(A/H1)P(H1)+ P(A/H2)P(H2)+…+ P(A/Hn)P(Hn)
(формула полной вероятности)
Доказательство. По А3 P(А) = P( А Н1 ) + P( А Н2 )+…..+ P( А Нn )
ДАЛЕЕ ПРИМЕНИТЬ ТЕОРЕМУ УМНОЖЕНИЯ P( А Н1 ) = P(A/H1)P(H1)

8.

Замечания.
1.Если события Н1, Н2,…..Нn – попарно несовместные события и
Н1+Н2+….+Нn = Ω, то множество событий Н1, Н2,….., Нn называется
полной группой событий.
2.Часто события Н1, Н2,….., Нn называют гипотезами.
Пример.
На фабрике, изготавливающей болты, первая машина производит – 25%,
вторая – 35%, третья – 40% всей продукции. Брак в продукции
составляет 5%, 4% и 2% соответственно. Какова вероятность того, что
случайно выбранный болт оказался дефектным?A, H1,H2,H3
P(H1)=0,25;
P(H2)=0,35;
P(H3)=0,4
P(A/H1)=0,05;
P(A/H2)=0,04;
P(A/H3)=0,02
P(A)=0,25*0,05+0,35*0,04+0,40*0,02= 0,0345

9.

§9. Формула Байеса
Если до опыта вероятности гипотез были Р(Нi), а в результате опыта
появилось событие A, то с учетом этого события "новые", т.е. условные
вероятности гипотез вычисляются по формуле Байеса:
P(Hk/A) = P(Hk)P(А/Hk) /P(A),
Где P(Hk) - априорная вероятность гипотезы Hk; P(Hk/A) - апостериорная
вероятность гипотезы Hk ;
P(А/Hk) - вероятность наступления события A при истинности гипотезы Hk;
P(A) - полная вероятность наступления события A.
Доказательство. Вычислим двумя способами вероятность P(HkA) :
P(HkA)= P(Hk) P(A/Hk)
и также P(AHk)= P(A) P(Hk/A)
Тогда
P(A) P(Hk/A) =P(Hk) P(A/Hk) . Далее делим на P(A) . Все.
Замечание. Формула Байеса позволяет «переставить причину и следствие»:
по известному факту наступления события вычислить вероятность того, что
оно было вызвано данной причиной.

10. Схема Бернулли

Определение
Схемой Бернулли называется
последовательность независимых
испытаний, в каждом из которых возможны
лишь два исхода — «успех» и «неудача»,
при этом «успех» в одном испытании
происходит с вероятностью p, а
«неудача» — с вероятностью q = 1 – p.

11. Теорема (формула Бернулли)

Обозначим через m число успехов в n
испытаниях схемы Бернулли. Тогда
Pn m C p q
m
n
m
n m
Доказательство
Событие A = {число успехов равно m}
означает, что в n испытаниях схемы
Бернулли произошло ровно m
успехов.
Рассмотрим один из благоприятных исходов:
у , у ,..., у , н, н,..., н
n m
m

12.

Поскольку
испытания
независимы,
вероятность такого элементарного исхода
равна
n m
m
p 1 p
Другие благоприятствующие событию A
элементарные исходы отличаются от
рассмотренного выше лишь расположением
m успехов на n местах. Есть ровно
m
n
способов расположить m успехов на n
местах.
C

13.

Поэтому событие A состоит из
m
n
C
элементарных
исходов,
каждого из которых равна
вероятность
p 1 p
n m
m
т.е.
Pn m C p q
m
n
m
n m
.

14. Наивероятнейшее число успехов

В испытаниях схемы Бернулли наиболее
вероятным числом успехов является
единственное число m0 = [np + p]
(целая часть), если число np + p не
целое;
a)
б)
два числа
m0 = np + p и m0' = np + p – 1, если
число np + p целое.

15. Пример

Вычислить вероятности всех возможных
значений появления «герба» при 5
бросаниях монеты. Построить график
распределения этих вероятностей.
Решение
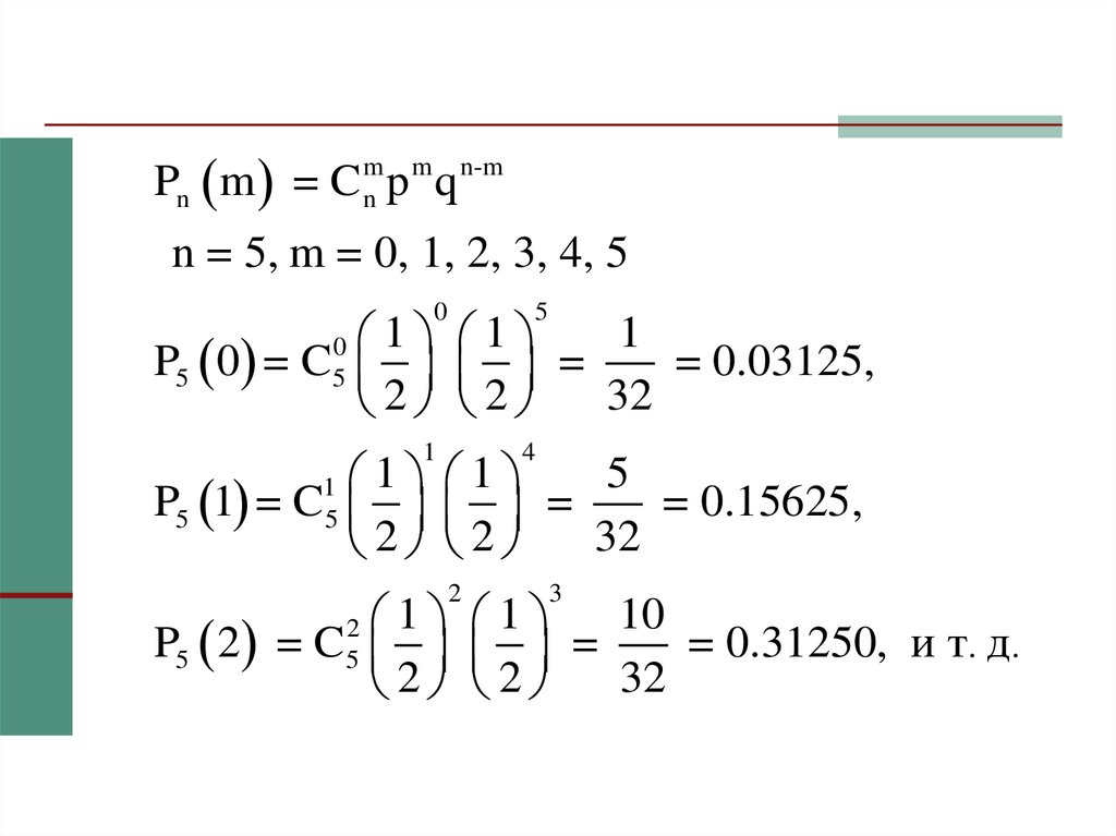
Число независимых испытаний n = 5.
Число успехов m = 0, 1, 2, 3, 4, 5.
Вероятность успеха в одном испытании p =
0,5.

16.

Pn m = C mn p m q n-m
n = 5, m = 0, 1, 2, 3, 4, 5
0
5
1
4
1
1 1
P5 0 = C =
= 0.03125,
32
2 2
0
5
5
1 1
P5 1 = C =
= 0.15625,
32
2 2
1
5
2
3
10
1 1
P5 2 = C =
= 0.31250, и т. д.
32
2 2
2
5

17.

Наивероятнейшее число успехов:
Вычисляем np + p = 5∙1/2 + ½ = 3.
Это целое число, поэтому
m0 = np + p = 3 и m0' = np + p – 1 = 2.
Самые большие (и равные между собой)
вероятности у двух и трех появлений
герба.

18.

m
0
1
2
3
4
5
Pn(m) 0.03125 0.15625 0.31250 0.31250 0.15625 0.03125
Вероятности
Распределение вероятностей
0.35000
0.30000
0.25000
0.20000
0.15000
0.10000
0.05000
0.00000
0
1
2
3
4
Число успехов
5
6

19. Еще один пример

Вероятность сдать экзамен равна 0,8.
Найти наивероятнейшее число студентов,
сдавших экзамен в группе из 30 человек.
Решение.
Вычисляем np + p = 30∙0,8 + 0,8 = 24,8.
Это не целое число, поэтому
m0 = [24,8] = 24.

20. Полиномиальная схема

Определение
Полиномиальной схемой называется
последовательность n независимых
одинаковых испытаний, в каждом из которых
возможны k исходов
k
A1 , A2 ,
, Ak ,
Ai ,
i 1
при этом вероятность любого исхода в каждом
испытании постоянна,
P Ai pi ,
1, n , i 1, k,
k
p 1
i 1
i

21. Полиномиальная формула

Pn m1 , m2 ,...mk
событие A1 произошло ровно m1 раз,
P
событие A произошло ровно m раз
k
k
n!
m1
m2
p1 p2
m1 ! m2 ! mk !
p .
mk
k

22. Пример

Человек с вероятностью 0,2 оказывается
брюнетом, с вероятностью 0,4 —шатеном, с
вероятностью 0,3 — блондином и с
вероятностью 0,1—рыжим. Выбирается наугад
группа из шести человек. Найти вероятность
того, что в составе группы два брюнета, один
шатен и три блондина.
P6 2,1,3,0
6!
0, 22 0, 41 0,33 0,10.
2! 1! 3! 0!!

23. Гипергеометрические испытания

Пусть из совокупности n предметов, среди
которых n1 предметов первого вида и n2
предметов второго вида (n1 + n2 = n)
производится выборка без возвращения m
предметов, 1 m n.
Вероятность того, что в выборке будет m1
предметов первого вида и m2 предметов
второго вида (m1 + m2 = m), согласно
классическому определению вероятности,
выражается формулой

24. Гипергеометрические вероятности

Pn1 ,n (m1 , m)
C C
m1
n1
m2
n2
m
n
C
Данные испытания являются зависимыми.

25. Пример

В урне 6 белых и 5 черных шаров.
Из урны вынимают наугад 5 шаров. Найти
вероятность, что два из них будут белыми,
а три – черными.
Решение:
n( A) C С
2
6
n C
5
11
3
5
C C
P( A)
.
5
C11
2
6
3
5

26. Теорема

Пусть n и n1 так, что
n1
p, 0 p 1
n
Тогда
Pn1 ,n (m1 , m) Pm (m1 ).

27. Доказательство

Pn1 ,n m1 , m
Cnm11 Cnm22
C
m
n
m! n m !
n1!
n2 !
n!
m1! n1 m1 ! m2 ! n2 m2 !
n1 n1 1 n1 m1 1 n2 n2 1 n2 m2 1
m!
n n n n
n n n n n
n
n n 1 n m 1
m1! m2 !
n n n n
n
m!
m
p m1 1 p 2 Pm m1
m1! m2 !

28. Предельные теоремы для схемы Бернулли

При числе испытаний, превышающем 20,
вычисление точного значения Pn(m)
затруднительно. В этих случаях применяют
приближенные формулы, вытекающие из
предельных теорем.
Различают два случая:
когда р мало, используют приближение
Пуассона,
когда р не мало (и не очень близко к единице),
справедливо приближение Муавра –Лапласа.
Существует область, в которой возможно
применение обоих приближений.

29. Теорема Пуассона

Если n , р 0 так, что np , 0 < < ,
то
для
любого
фиксированного
m N
справедливо:
Pn m C p 1 p
m
n
m
n m
p m
e
m
m!

30. Доказательство

Пусть np = n. Тогда
Pn m C p 1 p
m
n
n m
m
n!
n n
1
n m ! m! n n
m
n m
n n 1 n m 1 n n
1
m!
n
n
m
n m
n 1 2 m 1 n
1 1 1 1
1
m!
n n n
n
n
m
n
n
m

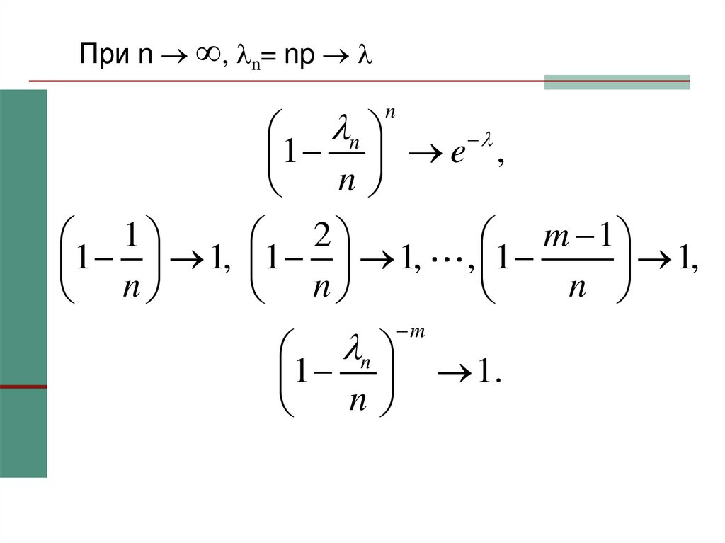
31. При n  , n= np  

При n , n= np
n
1 e ,
n
1
2
m 1
1 1, 1 1, , 1
1,
n
n
n
n
n
1
n
m
1.

32.

Следовательно,
Pn m C p 1 p
m
n
m
n m
p m
e
m
m!

33. Приближенная формула Пуассона

Pn m p m
e
m
m!
где = np. Приближенную формулу
Пуассона применяют при
n > 30,
р < 0.1,
0.1 < = np < 10.

34. Пример (дни рождения)

Какова вероятность, что среди 500
случайно выбранных людей ни один не
родился 1 января ?
Решение
По формуле Бернулли
P500 0 C p 1 p
0
500
0
500
364
365
500
0.2537

35.

По приближенной формуле Пуассона
1
np 500
1.3699
365
0e
P500 0
e 1.3699 0.2541
0!

36. Предельная теорема Муавра –Лапласа

Если при n и постоянном р, не равном 0
или 1, величина
m np
xm
npq
ограничена так, что – < а хт b < + , то
Pn m
xm
1
1 O
,
npq
n
1
где x
e
2
x2
2
.

37.

Доказательство этой теоремы основано на
применении формулы Стирлинга
n! n e
n
n
2 n e
1
O
n

38. Локальная приближенная формула Муавра –Лапласа

Локальная приближенная формула Муавра –
Лапласа
Pn m
x m
npq
m np
xm
npq
Локальную приближенную формулу Муавра –
Лапласа применяют при
n > 30, 0.1 p 0.9, nрq > 9.

39. График биномиальных вероятностей при n=30, p=0,2 и график φ(X)

40. Интегральная предельная теорема Муавра –Лапласа

При n и постоянном р, не равном 0 или 1,
m np
lim p x1
x 2
n
npq
x2
1
e
2 x1
x
x2
2
dx x 2 x1 ,
x
1
e
2
t2
2
x
dt t dt

41. Доказательство

m np
p x1
x 2
npq
p x1 npq np m x 2 npq np
x 2 npq np
xm x2
pn m pn m
m x1 npq np
x m x1
m np
xm
npq

42. По локальной предельной теореме

xm x2
p m
x m x1
n
In
xm x2
1
e
2 xm x1
xm x2
1
e
2 xm x1
x2
2
x2
2
1
1 n In An
npq
xm x2
1
npq xm x1
1
x m
npq

43.

m np
m 1 np m np
1
xm
, xm
npq
npq
npq
npq
xm x2
x2
x m x1
x1
In xm xm x dx

44.

xm x2
An xm xm n
x m x1
xm x2
C
An xm xm n
In
n
x m x1

45. при n  An 0

при n
An 0
m
np
lim p x1
x 2
n
npq
lim I n An
n
x2
x dx
x1
x2
1
e
2 x1
x2
2
dx x 2 x1 .

46. Интегральная приближенная формула Муавра –Лапласа

m np
lim p x1
x 2 x 2 x1 ,
n
npq
x
x
1
e
2
t2
2
x
dt t dt
Интегральную приближенную формулу Муавра –
Лапласа применяют при
n > 30, 0.1 p 0.9, nрq > 9.

47. Следствия

b np
a np
p a m b
npq
npq
m
n
n
1 p
p 1 2 2 p
n
pq
pq
m
n
n
1
p 1 p 2 2
n
pq
pq

48. Свойства функции (x)

Свойства функции (x)
x x
1
0
0.3989
2
lim x 0
x
4 0.001
0.45
0.4
0.35
0.3
0.25
0.2
0.15
0.1
0.05
0

49. Свойства функции Ф(x)

x x 1
lim x 0
x
lim x 1
x
1
0
2
3.8 0.9999
3.8 0.0001
1
2

50. Функция Лапласа Φ0(x).

Вместо Φ(x) часто используют функцию
Лапласа Φ0(x).
0 x
x
1
e
2 0
t2
2
1
( x) 0 ( x)
2
dt .

51. График функции Φ0(x)

0.5
Ф0(x)
0
–0.5
x

52. Замечания

0 x2 0 x1 x2 x1 ,
поэтому в формулах может
использоваться как Φ(x), так и Φ0(x).
Значения функций находят в таблицах.

53. Пример

Вероятность рождения мальчика p = 0,5.
Найти вероятность того, что в группе из 100
новорожденных мальчиков не меньше 60.
Решение.
p 60 m 100
100 100 0,5
60 100 0,5
100 0,5 0,5
100 0,5 0,5
50
10
(10) (2) 1 0,98=0,02.
25
25
English     Русский Rules