4.91M
Category: mathematicsmathematics

Арифметические операции над пределами. Первый замечательный предел (базовый уровень)

1.

Арифметические операции над пределами.
Первый замечательный предел
(базовый уровень)
§ 4. Предел функции в точке

2.

3.

4.

5.

6.

7.

8.

9.

10.

11.

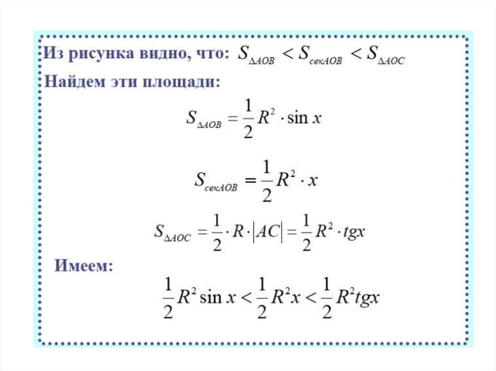
Первый замечательный предел
Рассмотрим числовую окружность.
у
Выберем близкое к нулю значение t и отметим
точку M (t).
Длина дуги АМ равна t.
Опустим перпендикуляр МР на ось абсцисс.
М
t
sin t
О
А
Р
х
Длина этого перпендикуляра равна ординате
точки M (t)
Для достаточно малых значений t длина дуги АМ примерно равна длине
отрезка МР
Чем ближе к нулю значение t, тем точнее это приближенное равенство.
В курсе высшей математики доказано, что
Равенство
называют первым замечательным
пределом.

12.

Вычислим:
=1 (первый замечательный предел)

13.

не совсем
первый замечательный предел
=1

14.

=1
=1

15.

Ответьте на вопросы теста,
пройдя по ссылке:
https://forms.gle/UyNWGP1c8mrUdzfdA
English     Русский Rules