Определение напряжения смещения нейтрали:
Комплексные действующие токи фаз: - ток фазы «А»
- ток фазы «С»
Задача 2 Условие задачи №1.Трехфазная несимметричная цепь с нулевым проводом, сопротивление которого равно нулю ( ). Решение
165.00K
Category: physicsphysics

Токи фаз трехфазной цепи. Задачи

1.

Задача 1
Линейное напряжение симметричного
3х ф. источника равно 380 В. Комплексные
сопротивления фаз несимметричного приемника
Z A 30 j 40, Ом;
Z B 50 j50,
Z С j 70,
Ом;
Ом.
Рассчитать токи фаз трехфазной цепи без
нулевого провода. Построить ВД напряжений и токов.

2.

3.

Решение (см. параграф 3.3.2)
Расчет комплексных проводимостей фаз:
1
1
1
0
yA
0
,
02
53
См
;
0
Z A 30 j 40 50e j 53
1
1
1
0

0,014 45 См;
j 450
Z В 50 j 50 50 2e
1
1
1
0

0 0,014 90 См.

j 70 70e j 90

4. Определение напряжения смещения нейтрали:

U 0 0
U A y A U B y B U C yC
y A y B yC
.

5.

Фазное напряжение симметричного источник
U л 380

220 B
3
3
Комплексные напряжения фаз симметричного 3хф.
источника
U A 220B
U B 220e
;
j1200
U С 220e
B ;
j1200
B.

6. Комплексные действующие токи фаз: - ток фазы «А»

I A y A U A U 0 0 (220 - 266,7e j 3 ) 0,02e j 53
0
0
48,39e
j1630
0,02e
j 530
0,97e
j 2160
0,97e
j1440
А;
- ток фазы «B»
I В y В U В U 0 0 (220e
6e
j1060
А;
j1200
- 266,7e
j 30
) 0,014e
j 450

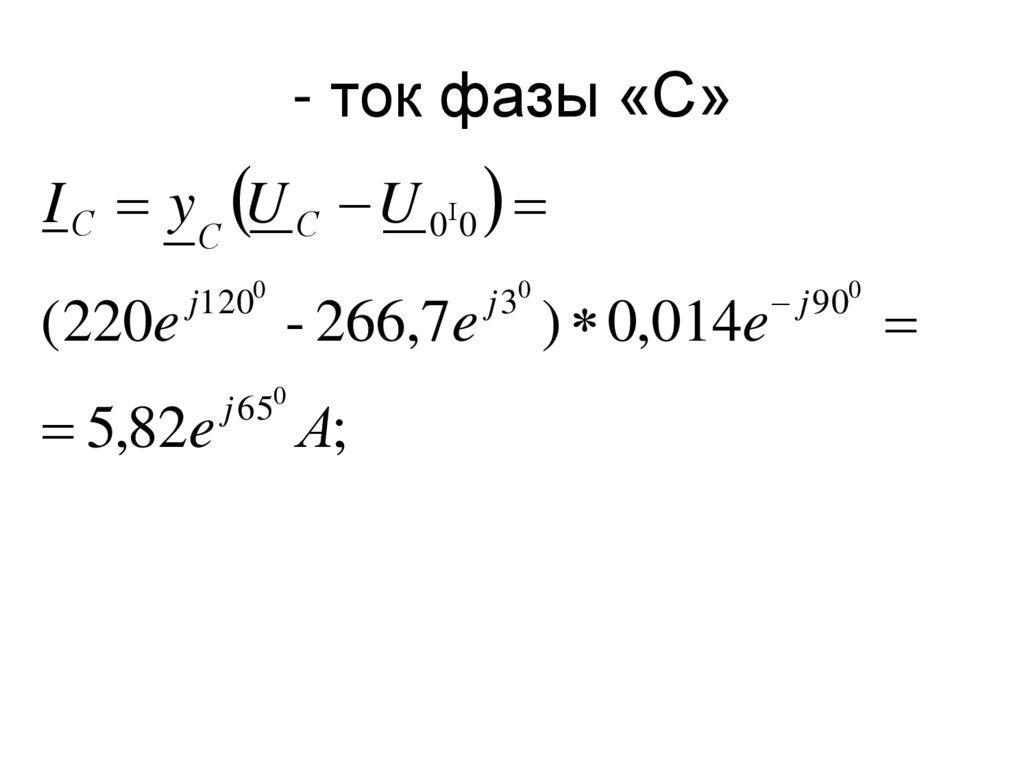
7. - ток фазы «С»

I С y С U С U 0 0
(220e
j1200
5,82e
- 266,7e
j 650
А;
j 30
) 0,014e
j 900

8. Задача 2 Условие задачи №1.Трехфазная несимметричная цепь с нулевым проводом, сопротивление которого равно нулю ( ). Решение

Задача 2
Условие задачи №1.Трехфазная
несимметричная цепь с нулевым
проводом, сопротивление
которого равно нулю ( Z N 0 ).
Решение задачи производится
в соответствии с параграфом
3.3.3.
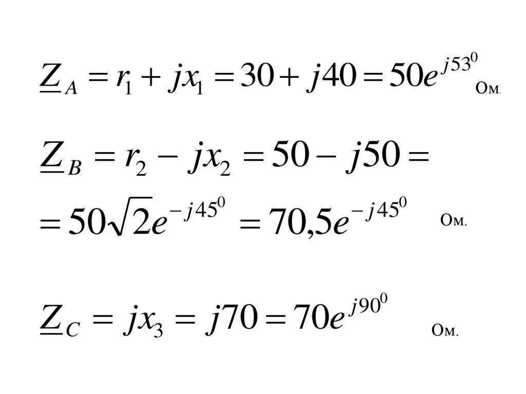
Комплексные сопротивления
фаз:

9.

Z A r1 jx1 30 j 40 50e
j 530
Ом
Z B r2 jx2 50 j50
70,5e
j 45
Z C jx3 j 70 70e
j 900
50 2e
j 45
0
0
Ом.
Ом.
.

10.

11.

Токи фаз по закону Ома в комплексной форме:
UA
220
j 530
IA
A,
0 4, 4e
j 53
ZA
50e
j1200
U B 220e
j 750
IB
A,
0 3,12e
Z B 70,5e j 45
j1200
U C 220e
j 300
IC
3
,
14
e
A,
0
j 90
ZC
70e

12.

Ток нейтрального провода по IЗК в
комплексной форме:
I N I A I B I C 4,4e
3,12e
j 750
3,14e
j 300
6,18 j 4,95 7,92e
j 530
j 39
A.
English     Русский Rules