2.62M
Category: managementmanagement

Процесс стратегического управления. Часть I

1.

УДК 65.0
Б Б К 65.290-2
Л 24#
Содержание
Предисловие
8
ЧАСТЬ I
СТРАТЕГИЧЕСКИЙ МЕНЕДЖМЕНТ: БАКАЛАВРИАТ
Рецензенты:
МОДУЛЬ 1. ПРОЦЕСС СТРАТЕГИЧЕСКОГО УПРАВЛЕНИЯ
Корецкая Л.К. — доктор экономических наук, профессор
Хартанович КВ. — доктор экономических наук, профессор
13
Тема 1. Типология проблем управления
1.1. Проблемная ситуация
1.2. Моделирование проблемной ситуации
1.3. Матрица организационных проблем
13
13
18
19
Тема 2. Проблемно-целевое управление
2.1. Анализ проблемной ситуации
2.2. Целеобразование в организациях
2.3. Построение дерева целей
2.4. Стратегическая система целей
23
23
28
30
32
Тема 3. Стратегическое управление организацией
36
3.1. Стратегия как явление
36
3.2. Концепция стратегического управления
38'
3.3. Стратегическое планирование
43
3.4. Соотношение оперативного и стратегического управления . . . 45
Контрольные вопросы и задания по модулю 1
47
Лапыгив Ю . Н .
Л 24
Стратегический менеджмент: учеб. пособие / Ю. Н. Лапыгин, Д. Ю. Лапыгин. — М. : Эксмо, 2010. — 432 с. — (Новое
экономическое образование).
ISBN 978-5-699-35358-3
Издание такого рода выпускается впервые и содержит материал по направле­
нию «Менеджмент» для двух уровней подготовки: бакалавр и магистр.
Часть первая книги дает начальные знания, нацеленные на компетенции ба­
калавра и позволяющие принимать стратегические решения в реальной практичес­
кой хозяйственной деятельности фирм любой организационно-правовой формы.
Часть вторая посвящена изучению современных проблем стратегического уп­
равления и методам проведения исследований в области стратегического менедж­
мента. В ней раскрываются приемы модификации ранее разработанных решений и
показаны пути выстраивания ключевых компетенций на их основе.
В конце книги даны рекомендации по подготовке выпускной работы бакалав­
ра и магистерской диссертации.
Для студентов и преподавателей экономических вузов и факультетов, практи­
ческих работников, занимающихся стратегическим планированием.
УДК 65.0
ББК 65.290-2
ISBN 978-5-699-35358-3
© Ю.Н. Лапыгин, Д.Ю. Лапыгин, 2009
© ООО «Издательство «Эксмо», 2009
МОДУЛЬ 2. КОРПОРАТИВНОЕ СТРАТЕГИЧЕСКОЕ У П Р А В Л Е Н И Е . . . 49
Тема 4. Корпоративная стратегия
4.1. Стратегичность трансформационных процессов
4.2. Четыре уровня корпоративной стратегии
Тема S. Корпоративная социальная ответственность
в стратегическом управлении
5.1. Сущность корпоративной социальной ответственности
5.2. Направленность и уровни КСО
5.3. Преимущества использования КСО
5.4. Принципы взаимодействия с внешней средой
Контрольные вопросы и задания по модулю 2
63
63
66
72
73
74
МОДУЛЬ 3. ФОРМИРОВАНИЕ СТРАТЕГИИ ОРГАНИЗАЦИИ
76
Тема 6. Эталонные стратеги организаций
6.1. Типология стратегий по Портеру
6.2. Типология стратегий по Томпсону и Стрикленду
6.3. Стратегии развития бизнеса по Котлеру
6.4. Типология, основанная на компетентном/ресурсном
подходе
6.5. Типология стратегий, основанная на модели
«продукт—рынок» И. Ансоффа
6.6. Анализ «GAP»
6.7. Матрица БКГ
76
76
78
78
49
49
59
80
81
83
84
3

2.

ф
Тема 7. Подходы к разработке стратегии организации
85
7.1. Конфигуратор методов разработки стратегий
85
7.2. Традиционные методы разработки стратегий
86
7.3. Общая схема разработки стратегии
87
7.4. Методические основы формирования стратегии организации . . .91
Тема 8. SWOT-анализ организации
8.1. Метод SWOT-анализа
8.2. ТРиМ-анализ
8.3. Анализ внешней среды организации
8.4. Матрица решений как результат SWOT-анализа
94
94
96
99
102
Тема 9. Анализ действующей стратегии организации
9.1. Принципы оценки развития организации
9.2. Проблемы действующей стратегии
9.3. Конкурентоспособность цен и издержек
9.4. Прочность конкурентной позиции
9.5. Стратегические проблемы
105
105
112
115
118
120
Тема 10. Философия бизнеса организации
10.1. Стратегическое видение организации
10.2. Миссия организации
10.3. Стратегические цели организации
121
121
125
131
Тема 11. Модели детализации стратегии
11.1. Политики, или функциональные стратегии
11.2. Проект, или черный ящик
11.3. Программа как модель состава
Контрольные вопросы и задания по модулю 3
137
137
139
141
144
МОДУЛЬ 4. РЕАЛИЗАЦИЯ СТРАТЕГИЧЕСКИХ И З М Е Н Е Н И Й . . . 147
Тема 12. Стратегические изменения в организациях
147
12.1. Перемены как проблема менеджмента организации
147
12.2. Типология концепций стратегических перемен
151
12.3. Сопротивления изменениям в организациях
156
12.4. Подходы для преодоления сопротивления изменениям . . . . 159
Тема 13. Три уровня управления стратегическими изменениями
13.1. Индивидуальные изменения
13.2. Командные изменения
13.3. Организационные изменения
164
164
165
167
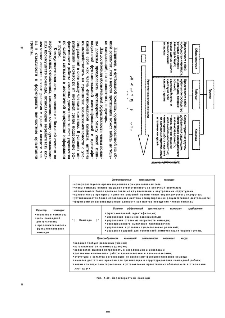
Тема 14. Командообразование в стратегическом управлении
14.1. Стратегическое управление с помощью малых групп
14.2. Системное командообразование
14.3. Лидерство в команде
14.4. Виды групп, составляющих команды
14.5. Стратегия создания команды
171
171
171
173
175
180
Тема 15. Командное взаимодействие в стратегическом у п р а в л е н и и . . . . 181
15.1. Управленческие команды в решении стратегических
проблем
181
15.2. Уровни командообразования
184
15.3. Этапы формирования команд
188
Контрольные вопросы и задания по модулю 4
192
Компетенции бакалавра в части стратегического менеджмента
194
4
ф
Содержание
Содержание
ЧАСТЬ II
СТРАТЕГИЧЕСКИЙ МЕНЕДЖМЕНТ: МАГИСТРАТУРА
Напутствие магистранту
МОДУЛЬ 5. ПРОБЛЕМЫ СТРАТЕГИЧЕСКОГО
МЕНЕДЖМЕНТА
197
198
Тема 16. Конфигуратор школ стратегий
16.1. Становление школ стратегического управления
16.2. Стратегическое управление как научная дисциплина
16.3. Современная структура школ стратегического
менеджмента
16.4. Ресурсная школа стратегий
16.5. Школа «материнства»
16.6. Стратегия конкурентного преимущества
198
198
199
Тема 17. Конкурентные стратегии организаций
17.1. Типология конкурентов
17.2. Стратегические направления конкуренции
17.3. Характеристика типовых конкурентных стратегий
17.4. Семь факторов, влияющих на ситуацию в отрасли
Контрольные вопросы и задания по модулю 5
220
220
222
222
229
236
203
209
211
216
МОДУЛЬ 6. МЕТОДЫ ПРОВЕДЕНИЯ ИССЛЕДОВАНИЙ
В ОБЛАСТИ СТРАТЕГИЧЕСКОГО МЕНЕДЖМЕНТА . . . 237
Тема 18. Методы организационной диагностики
и структурирования проблем
18.1. Диаграмма «рыбий скелет» как инструмент
идентификации проблем
18.2. Пять «Почему?»
18.3. Поле корреляции
18.4. Гистограмма
18.5. Анализ решений
18.6. Диагностическое интервью
18.7. Наблюдения
237
237
239
241
242
242
244
246
Тема 19. Методы поиска стратегических решений
19.1. Структура методов
19.2. Экспертные методы
19.3. Методы обработки экспертной информации
249
249
251
254
Тема 20. Методы активизации творческого мышления
20.1. Креативность стратегического мышления
20.2. Методы индивидуальной активизации творческого
мышления
20.3. Методы креативного взаимодействия
20.4. Метод сценариев в построении стратегии
20.5. Методы групповой работы в решении стратегических
проблем
Контрольные вопросы и задания по модулю б
256
256
260
263
269
269
272
5

3.

ф
Содержание
МОДУЛЬ 7. СХЕМЫ РАЗРАБОТКИ СТРАТЕГИИ
Содержание
274
Тема 21. Общие методы разработки стратегий
21.1. Быстрая разработка
21.2. Динамика методов разработки стратегий
21.3. Взаимосвязь факторов разработки стратегии
274
274
276
277
Тема 22. Стратегические модели
22.1. Общие замечания
22.2. Модель пяти компонентов П. Сенге
22.3. Дерево решений
22.4. Модель «7S» Мак-Кинси
22.5. Эффект масштаба и кривая опыта
22.6. «Мертвая петля» и «спираль удачи»
22.7. Модель совершенной компании по Питерсу
и Уотерману
22.8. Стратегия эпохи перемен
22.9. Стратегия, ориентированная на лояльность
22.10. Стратегия, ведущая к поражению
22.11. Ключевые компетенции
22.12. Пять конкурентных сил М. Портера
22.13. Цепочка создания стоимости
22.14. Реинжиниринг бизнес-процессов
22.15. Сбалансированная система показателей
22.16. Методы изучения профиля
279
279
280
282
283
284
285
287
289
290
291
292
294
295
297
297
299
Тема 23. Стратегические матрицы
23.1. Относительная доля рынка
23.2. Матрица «возможность/уязвимость»
23.3. Матрица «рост/рост»
23.4. Матрица «Дженерал Электрик»/«Мак-Кинси»
23.5. Матрица создания/приобретения/объединения
300
300
302
303
304
307
Тема 24. Методы корректировки стратегии
24.1. Анализ внешней среды при корректировке стратегии
24.2. Использование сценариев в разработке стратегии
24.3. Матрицы влияния на ситуацию
24.4. Связь анализа макросреды с разработкой стратегии
Контрольные вопросы и задания по модулю 7
МОДУЛЬ 8. ПРИНЯТИЕ СТРАТЕГИЧЕСКИХ
УПРАВЛЕНЧЕСКИХ РЕШЕНИЙ
308
308
317
319
320
323
325
Тема 25. Стратегические управленческие решения
325
25.1. Специфика стратегических управленческих решений
в сравнении с оперативными
325
25.2. Этапы разработки стратегических управленческих
решений
328
25.3. Конфигуратор стратегий
331
25.4. Управленческие решения в стратегическом менеджменте... 334
25.5. Определение элементов философии развития
338
6
ф
Тема 26. Анализ стратегических решений
341
26.1. Анализ сегмента SWOT-матрицы решений
341
26.2. Матрица анализа сочетаний синергии
344
26.3. Анализ показателей стратегического развития системы . . . . 346
Тема 27. Альтернативы стратегических решений
27.1. Разработка альтернатив стратегического решения
27.2. Реализация философии с использованием эталонных
стратегий
27.3. Проекция выделенных (приоритетных) стратегий
на факторы среды
27.4. Альтернативы тактических решений и использования
эталонных стратегий
Контрольные вопросы по модулю 8.
352
354
МОДУЛЬ 9. МОДИФИКАЦИЯ И РАЗРАБОТКА СТРАТЕГИИ
НА ОСНОВЕ КЛЮЧЕВЫХ КОМПЕТЕНЦИЙ
Тема 28. Решения о модификации действующей стратегии
28.1. Внутренний потенциал стратегичности
28.2. Выявление ключевых компетенций
28.3. Ключевые компетенции и конкурентные стратегии
28.4. Модификация и корректировка
28.5. Стратегические ключевые компетенции
Тема 29. Формирование стратегических альтернатив
29.1. Типология стратегических альтернатив
29.2. Альтернативы текущей стратегии
29.3. Процессы, помогающие генерированию альтернатив
356
356
357
359
361
366
374
380
380
385
387
Тема 30. Обратная связь в системе принятия решений
30.1. Обратная связь и система показателей
30.2. Контроль как фактор оценки реализации решения
30.3. Контур обратной связи
Контрольные вопросы по модулю 9
389
389
394
396
398
348
348
350
352
Подводя итоги изучения курса
400
Рекомендуемая литература
402
ПРИЛОЖЕНИЯ
Приложение 1. Матрица решений,
основанных на результатах SWOT-анализа
407
Приложение 2. Опросник
410
Приложение 3. Вопросы диагностического интервью
417
Приложение 4. Примеры формулировок видения
419
Приложение 5. Формулировки миссии
421
Приложение 6. Примеры формулировок целей
424
Приложение 7. Основные особенности школ стратегического
управления
425
Приложение 8. Решения проблемы магистрантов в части боязни
первого занятия на практике в аудитории студентов,
полученные «методом 635» за 30 минут
427

4.

Предисловие
Предисловие
Гари Хамелу — одному из выдающихся современных теоре­
тиков и практиков стратегического управления — принадлежит
высказывание о том, что науки о стратегическом управлении
бизнесом как таковой не существует. Есть отдельные подходы,
методы, инструменты, с помощью которых лица, принимаю­
щие стратегические решения, выстраивают свое видение пер­
спектив развития организаций.
Но менеджеры организаций во все времена и везде в мире
едины в стремлении обеспечить динамичное развитие своего
бизнеса, что предполагает выстраивание перспективных пла­
нов, которые они часто называют стратегическими.
Переход на двухуровневую подготовку кадров в системе
высшего образования предъявляет специфические требования
к подготовке бакалавров и магистров. Кроме того, стандарты
третьего поколения базируются на компетентностном подходе,
что требует подготовки соответствующей учебной литературы.
Учебная дисциплина «Стратегический менеджмент» в сос­
таве направления «Менеджмент» является обязательной для
подготовки как бакалавров, так и магистров, что делает необ­
ходимым систематизацию знаний и опыта по указанной дис­
циплине в отношении последовательности изложения ма­
териала, и в то же время для обеспечения достаточности
компетенций на уровне бакалавра в случае завершения обуче­
ния на этом уровне.
Настоящее учебное пособие состоит из двух частей. Первая
посвящена рассмотрению вопросов, отражающих содержание
8
ф
компетенций в рамках бакалавриата направления «Менедж­
мент», а вторая часть содержит модули для магистратуры того
же направления подготовки. Всего в пособии девять модулей,
материал которых связан комплексом компетенций, необходи­
мых выпускнику высшей школы в практической деятельнос­
ти.
Первый модуль предусматривает передачу знаний и опыта
в области процесса стратегического управления с акцентом на
целеполагание в этом процессе.
Во втором модуле рассмотрен новый аспект стратегическо­
го управления бизнесом, представляющий собой обоснование
того, как корпоративная социальная ответственность может по­
высить капитализацию самого бизнеса, как могут быть учтены
ожидания стейкхолдеров в процессе формирования стратегии
развития организации.
Третий модуль содержит описание базовой методологии
формирования стратегии развития организаций на основе кон­
фигуратора, включающего эталонные стратегии, результаты
SWOT-анализа, а также анализа действующей стратегии и раз­
работки философии развития организации. Кроме того, в мо­
дуле представлены модели детализации стратегии до уровня
функциональных стратегий, стратегических проектов и про­
грамм.
Первую часть заключает четвертый модуль, в котором отра­
жены компетенции, обеспечивающие эффективную реализа­
цию разработанной стратегии. Соответствующие изменения
рассмотрены на уровне индивида, группы и организации в це­
лом. Отдельная тема посвящена командообразованию (малой
группе), которое необходимо не только в процессе разработки
стратегии, но и на этапе внесения стратегических изменений в
организацию.
Вторая часть включает пять модулей, отражающих компе­
тенции, которыми должны обладать выпускники высшей шко­
лы в направлении «Менеджмент», ориентированные на науч­
ную и педагогическую деятельность.
Пятый модуль посвящен рассмотрению новейших проблем
стратегического менеджмента, как в части основных научных
школ, так и в части конкурентных стратегий организаций.
В шестом модуле нашли отражение методы проведения
стратегических исследований, среди которых выделены методы
организационной диагностики и методы поиска стратегических

5.

ф
Предисловие
решений, а также активизации творческого мышления, необхо­
димые на всех этапах стратегического управления.
Схемы разработки стратегии составили основу седьмого мо­
дуля, где рассмотрены общие методы разработки стратегии, а
также стратегические модели матрицы и методы корректировки
реализуемой стратегии.
Восьмой модуль включает новые подходы к принятию стра­
тегических управленческих решений, а девятый — вопросы мо­
дификации и разработки стратегии на основе ключевых компе­
тенций.
Основной текст иллюстрируется большим числом таблиц и
рисунков. После каждой темы приводятся контрольные вопро­
сы. Дан список основной литературы. Завершают книгу восемь
приложений, содержащих иллюстрации к учебному материалу.
Стратегический
менеджмент:
бакалавриат

6.

МОДУЛЬ l
ПРОЦЕСС
СТРАТЕГИЧЕСКОГО
УПРАВЛЕНИЯ
ТЕМА 1
Типология проблем управления
Проблемная ситуация
Из теории систем известно, что разнообразие, привнесен­
ное в систему, увеличивает ее потенциал. Но вместе с тем вне­
сение разнообразия понижает стабильность системы, приводит
к отклонениям от нормы. Когда указанные отклонения приоб­
ретают уродливую форму, то речь идет о патологии. Патологи­
1
ческие изменения возникают не сразу, а в результате систем­
ных отклонений от нормы.
Например, если руководитель один раз отложил принятие
управленческого решения, другой раз отложил, а затем это ста­
новится нормой, которая сводится примерно к следующему:
бумага должна отлежаться, или решение должно созреть. Но в
тех случаях, когда решения следует принимать незамедлитель­
но, продолжает срабатывать отмеченная норма: бумага должна
отлежаться.
Система претерпевает патологические изменения в силу не­
способности ее элементов адекватно воспринимать происходя­
щие изменения. Неадекватность восприятия обусловлена как
давлением метальных моделей, так и физиологическими спо­
собностями людей.
1
См.: Кордон СИ. Организационная патология. — Пермь, 1997. — 56 с.
13

7.

# Ч А С Т Ь I. Стратегический менеджмент: бакалавриат
Начинаются патологические изменения с нарушений взаи­
модействия внутри системы.
Источники отклонений от нормы могут находиться как на
границе между внешней средой и системой (на входе и выхо­
де), так и в составе самой системы, а также на линиях связей
между элементами системы.
На входе в систему патология возникает как реакция на
воздействие внешней среды и регулирующие воздействия уп­
равляющей системы. На выходе из системы патология прояв­
ляется в несоответствии ожиданиям внешней среды и реальных
потоков продуктов жизнедеятельности системы.
Примером может служить зарплата «в конвертах». При
приеме на работу работнику сообщают о такой системе оплаты
труда, и он воспринимает это как проблему. Внешняя среда в
лице, например, налоговых органов, также воспринимает по­
добную ситуацию как проблему.
Модель состава системы претерпевает патологические изме­
нения в силу неспособности ее элементов адекватно восприни­
мать происходящие в системе изменения.
Например, в процессе приватизации государственной собст­
венности в 90-х гг. прошлого столетия в России только часть
населения страны сознательно хотели стать собственниками,
1
что подтверждается социологическими опросами , в соответс­
твии с которыми более 60% населения были настроены патер2
налистски , т.е. не желали нести ответственность не только за
свою собственность, но и за свое будущее. В итоге — собствен­
никами стали те члены социально-экономической системы,
которые способны были адекватно воспринять происходящие в
обществе реформы.
В отношении связей между элементами системы можно
сказать, что они как место зарождения патологии в первую
очередь отражают борьбу, происходящую внутри системы за
различные ресурсы (время, энергию, информацию, финансы и
т.д.). Например, те же отношения собственности в период эко1
См.: Лапыгин Ю.Н., Эйдельман Я.Л. Мотивация экономической де­
ятельности в условиях российской реформы. — М.: Наука, 1966. — 112 с.
2
Патернализм в данном случае представляет собой явление, при ко­
тором люди добровольно перепоручают заботу о своей судьбе кому-либо:
президенту, директору, соседу по даче и т.д.
14
М о д у л ь 1. Процесс стратегического управления
щ
номических реформ стали основным источником формирова­
ния отклонений от нормы в потреблении благ, когда «братва»
стала носить огромные золотые цепи на шее и ездить исклю­
чительно на джипах.
Чтобы лечить, образно говоря, заболевание системы, необ­
ходимо выяснить источник возникновения патологии и причи­
ны, которые способствуют ее сохранению.
Как показывают наблюдения, подавляющее число патоло­
гических изменений находится внутри самой системы, а не на
границе раздела ее с внешней средой. Что же касается внутрен­
них патологий, то бблыпая их часть сосредоточена на линиях
связей между работниками, составляющими основу организа­
ции как системы.
Особенность проблемных изменений в организациях заклю­
чается в том, что причиной их возникновения является де­
ятельность человека, непрерывно создающая себе и окружаю­
щим проблемы, без решения которых невозможно рассчитывать
на «оздоровление организации» и на развитие.
При описании проблемных ситуаций необходимо выявить
полный объем знаний о потребности организации и о возмож­
ных средствах ее удовлетворения. Сбор информации не может
продолжаться до бесконечности и должен быть подчинен ко­
нечной цели — решению проблемы, поэтому в течение всего
процесса сбора информации целесообразно корректировать по­
нимание проблемной ситуации, что позволяет отсечь избыточ­
ную информацию и сократить поиск.
Процесс описания проблемной ситуации состоит из следу­
ющих этапов:
• фиксация проблемной ситуации (недостаточная и неупо­
рядоченная информация о ситуации);
• предварительное описание проблемной ситуации (упоря­
дочение имеющейся информации и осознание ее недостаточ­
ности);
• информационный поиск (получение дополнительной ин­
формации, которая приводит к ее разупорядочению);
• полное описание проблемной ситуации (получение доста­
точной и упорядоченной информации о ситуации).
Проблемная ситуация возникает в процессе познавательной
деятельности субъекта, направленной на некий объект, когда
субъект встречает какое-то затруднение, преграду. Графическая
модель такой ситуации приведена на рис. 1.1.
15

8.

М о д у л ь 1 . Процесс стратегического управления
Ф Ч А С Т Ь I. Стратегический м е н е д ж м е н т : бакалавриат
Результаты деятельности
не соответствуют
желанным целям
Ранее выработанные, т е о р е т и ч е с к и
обоснованные и п р а к т и ч е с к и
п р о в е р е н н ы е методы р е ш е н и я
не дают д о л ж н о г о эффекта или
не м о г у т быть использованы
ПРОБЛЕМНАЯ СИТУАЦИЯ
Деятельность
системы
Рис. l . i . Графическая модель проблемной ситуации
Например, собирая грибы, мы видим привлекательную по­
ляну, но попасть на нее не можем, потому что глубокая лесная
речка преграждает нам путь, а идти в обход далеко.
Проблемную ситуацию следует рассматривать как «разрыв»
в деятельности, «рассогласование» между целями и возможнос­
тями субъекта. Проблемная ситуация представляет собой усло­
вия, порождающие проблему.
Проблемные ситуации (рис. 1.2) возникают тогда, когда ре­
зультаты деятельности не соответствуют желанным целям; когда
ранее выработанные, теоретически обоснованные и практически
проверенные методы решения не дают должного эффекта или
не могут быть использованы; когда в практической деятельнос­
ти обнаруживаются факты, которые не укладываются в рамки
существующих теоретических представлений либо одна из час­
тных теорий вступает в логическое противоречие с более общей
теорией или другими областями жизни в пределах данной от­
расли знаний. Например, появление новых крупных конкурен­
тов на конкретном сегменте рынка приводит к тому, что объ­
емы продаж снижаются, а традиционные методы рекламы не
обеспечивают изменения ситуации в лучшую сторону.
Для корректной постановки проблемы необходимо понима­
ние проблемной ситуации, которое трактуется как усвоение ее
смысла и способность к ее воспроизведению. Здесь требуется
адаптация общего знания к конкретному объекту. Перегруппи­
ровка и адаптация информации, как правило, выступают в виде
i6
В практической деятельности
обнаруживаются факты,
которые не укладываются
в р а м к и существующих
теоретических представлении
РИС. 1.2,
О д н а из частных т е о р и й вступает
в логическое противоречие с общей
т е о р и е й или д р у г и м и областями
ж и з н и в пределах д а н н о й
отрасли з н а н и й
Сочетание факторов проблемной ситуации

9.

ф Ч А С Т Ь I. Стратегический м е н е д ж м е н т : бакалавриат
ф
М о д у л ь 1. Процесс стратегического управления
переформулировки описания проблемной ситуации в силу того,
что описание оказывается противоречивым.
При переформулировании надо учесть, что описание про­
блемной ситуации фиксирует не только элементы и структуру, но
и эмпирический базис, ментальные модели. Полезно поставить
вопрос: как еще можно составить описание проблемной ситуации,
какими средствами, с учетом каких мотивов и установок?
Необходимой предпосылкой для использования имеющейся
информации в целях получения дополнительной или новой ин­
формации о проблемной ситуации является способность поста­
новщика проблемы к особой перегруппировке и адаптации ин­
формации, содержащейся в описании проблемной ситуации.
Графической иллюстрацией подобной процедуры является
изображенное на рис. 1.3 преобразование первоначальной струк­
туры описания проблемной ситуации (состояние А) в иерархи­
чески систематизированную структуру (состояние Б).
В результате либо описание проблемной ситуации дополня­
ется новыми вопросами, которые возникают в процессе анали­
за описания, либо совокупность вопросов систематизируется
посредством выявления новых отношений между ними. Опери­
руя первым или вторым приемом, можно находить новые эле­
менты и структуры проблемной ситуации.
• описание проблемной ситуации (создание исходной сово­
купности знаний о проблеме — например, ярко светит солнце);
• ее осмысление и понимание ее описания (установление
смысла проблемной ситуации в структуре человеческой деятель­
ности — например, дискомфорт, испытываемый от ярких сол­
нечных лучей);
• формирование теоретической схемы проблемы (построе­
ние системы теоретических конструктов — например, солнце
светит в глаза потому, что мы заняли неудачную позицию);
• формулирование проблемы (соотнесение теоретической
схемы проблемы со структурой проблемной ситуации — напри­
мер, неудачная позиция, занятая нами по отношению к солнцу,
создает нам дискомфорт от его ярких лучей).
Однако нужно отдавать себе отчет в том, что на практике
формулировки некоторых проблем не всегда позволяют увидеть
причину и следствие, да и саму сущность проблемы. В данном
случае под проблемами понимаются противоречия, требующие
разрешения; сложности преодоления трудностей.
В основание классификации проблем могут быть положены
различные явления реальной действительности. Пример извест­
ных классификаций проблем приведен в табл. 1.1.
1.2. Моделирование проблемной ситуации
1.3. Матрица организационных проблем
Если представить себе проблему как иерархически упорядо­
ченную совокупность вопросов, то ядром проблемной ситуации
являются противоречия, установить иерархию которых и выявить
центральное противоречие удается, как правило, только на уров­
не теоретической схемы проблемы. Примером теоретической
схемы может служить ментальная карта, от центра которой отхо­
дят «стволы» противоречий, на которых «ветвятся» проблемы.
Наиболее важными факторами, определяющими процесс
формулирования проблемы, являются методологические уста­
новки (разграничение старого и нового, проблемного знания,
содержащегося в описании проблемной ситуации) и ценност­
ные ориентации, в которых методологические установки высту­
пают в качестве принципов запрета или нормы.
Таким образом, генезис проблемы представляет собой по­
следовательную реализацию следующих процедур:
По типологии А.И. Пригожина, проблемы подразделяются
на встроенные, социокультурные и ситуативные, а формули­
ровки проблем — на назывные, причинно-следственные и ан1
титезные . Итак, в ходе проведения интервью встречаются три
типа формулировок проблем:
• назывные — формулировки, состоящие из констатации
факта, не содержащего причинно-следственной связи или про­
тиворечий, как правило, состоящих только из причинной части,
только из следственной части или из части какого-либо проти­
воречия;
• причинно-следственные — формулировки, содержащие чет­
ко выраженную причинно-следственную связь;
18
1
См.: Пригожим A.M. Методы развития организаций. — М.: МЦФЭР,
2003.
19

10.

• ЧАСТЬ '-Стратегическийменеджмент:бакалавриат
М о д у л ь 1. Процесс стратегического управления
Таблица
Типология проблем
иг
Наименование
ин
классификации
1
1
Содержание классификации
Основное
содержание
1
, 1 Степень форма-
J
1
1.1
]
Особенности
I
Неструктурированные, слабоструктурированные, структурированные
лизании
< 1 Характер прояв1 1 ления
1 1 Степень связности 1 Комплексные и автономные
1
Нахождение
принципиально
1 нового решения
1
Инновационный
*
Все процедуры заранее предписаны
1
Требуется доля инициативы и своооды / инициативный выбор проЦедур из числа известных (станцартных)
1
1
1
1
Новое решение известной проб-
1
1
jюмы
1
1
]
-£овое решение неизвестной про-
е>лемы
*
j
Особенности
Количественные
Выражаются в числах
Качественные
Описываются качественными
характеристиками
Смешанные
Обладают и качественными,
и количественными сторонами
Слабоструктури­
рованные
Состав элементов и их связи извес­
тны лишь частично
Оперативность
Решение направлено на устранение
возмущений, нарушающих текущую
деятельность системы
Совершенствова­
ние и развитие
Решение направлено на повышение
эффективности функционирования
за счет внедрения новых идей
По Малину
и Мухину
Попытка определить саму проблему |
Учет действия объективных законов развития
Основное
содержание
1
1 Решение направлено на предотвра­
щение, устранение или компенса­
цию возмущений, нарушающих те­
кущую деятельность системы
|
Улучшение де1 ятельности
Адаптационный
По Оптнеру
^?
направлено на повышение
эффективности функционирования
за счет изменения характеристик
объекта управления или системы
управления объектом
1
I Стабилизация
1 Селективный
Содержание классификации
Наименование
классификации
шение
1 Развитие
Рутинный
Продолжение табл. 1.1
1
Повторяющиеся, аналогичные, но­
вые и уникальные
Щ
• антитезные — формулировки, включающие два явления,
одновременное существование которых есть нонсенс или при­
знак патологии системы.
Необходимо добавить к этому списку сложную формулировку
проблемы, суть которой заключается в том, что такая формули­
ровка включает в себя две и более причинно-следственные связи
или два и более противоречия. Например, «на предприятии ре­
шено организовать отдел маркетинга, не изменив функции отде­
ла сбыта, которые определялись сотрудниками самого отдела, а
не вышестоящим руководством, что привело к дисфункции от­
дела сбыта как функционально подчиненного подразделения».
Первая часть противоречия: «на предприятии решено орга­
низовать отдел маркетинга, не изменив функции отдела сбы­
та» — антитезная формулировка.
Вторая часть противоречия: «функциональность подразде­
ления была нарушена вследствие определения его функций ра­
ботниками самого подразделения» — причинно-следственная
формулировка.
20
21

11.

• Ч А С Т Ь I. Стратегический менеджмент: бакалавриат
ЛР
K^ZZZZ^T*
°1и
В ПР бЛеМ Так
2
в табл.
1
°
М о д у л ь 1. Процесс стратегического управления
ЛШ
'
>
примерь:
™ их формулировок представлена
U
Матрица оргаиизационных проблем"
Типы
формулировок
Назывные
Типы проблем
Встроенные
Работники жалу­
ются на низкий
уровень заработ­
ной платы
Причинноследственные
Слабая связь
между трудовым
вкладом и зара­
ботной платой
не заинтересовы­
вает работников
в большей трудо­
вой отдаче
Антитезные
Производитель­
ность труда па­
дает, а заработ­
ная плата работ­
ников растет
j
Социокультурные
Ситуационные
Работники часто
пьют чай
Отдел сбыта дуб­
лирует работу
отдела маркетин­
га
Традиционное
чаепитие отни­
мает много рабо­
чего времени
Отделы дублиру­
ют друг друга,
так как не раз­
работаны
должностные
инструкции
Чаепитие во вне- i В новой структу­
урочное время
ре организации
приводит к поте­
предусмотрен от­
ре репутации
дел маркетинга,
фирмы
но компетенция
отдела сбыта не
изменена
Встроенные в организацию проблемы — это противоречия,
присущие организациям:
• между стабильностью организации и ее развитием;
• между целями субъектов целеполагания;
• между формальными и неформальными отношениями;
• между трудом и оплатой труда;
• между текущей эффективностью и стратегическим разви­
тием.
Избавиться от этих противоречий полностью невозможно,
да в этом и нет необходимости, поскольку именно наличие
противоречий является основой развития организаций. Главная
1
См.: Лапыгин Ю.Н. Основы управленческого консультирования. — М.:
Академический проект, 2006. — С. 155.
| 22
|
ф
задача управления — снять остроту этих проблем, направить
количественную энергию, возникающую на стыках организа­
ционных противоречий, в русло целевых качественных измене­
ний.
Социокультурные проблемы — это проблемы, вызванные сре­
дой, в которой находится организация. Под средой в данном
случае понимаются привычки, традиции, устоявшиеся взгляды,
опыт и т.д. Преодоление этих проблем требует значительного
времени, оно сродни воспитанию корпоративной культуры, оп­
ределению системы ценностей, присущей данной организации.
Ситуативные проблемы — это проблемы, связанные с нару­
шением какой-либо функции или связи, зависят они от ситуа­
ции в организации и от ее окружения, поэтому каждый раз они
разные.
ТЕМА 2
Проблемно-целевое управление
г л . Анализ проблемной ситуации
Исследователи сходятся в том, что этапы системного ана­
лиза проблем развития организаций включают последователь­
ность действий, представленных на рис. 1.4.
Схема формирования совокупности проблем организации
(проблемного поля) приведена на рис. 1.5, которая демонстри­
рует, как по мере роста количества и качества информации о
проблемной ситуации в организации система из простого мно­
жества проблем (первичного каталога) трансформируется в
структурированную проблемную область.
Структуризация проблемного поля позволяет выделить сре­
ди всего перечня проблем значимые (корневые и узловые, ко­
торые являются причиной возникновения других проблем) и
решаемые автоматически при решении других проблем катало­
га (результирующие проблемы).
В результате получаем граф проблем организации, из кото­
рого следует, чем заниматься организации в первую, во вторую
и в третью очередь. Главная проблема организации требует, как
правило, стратегических решений.
К достоинствам рассмотренного подхода к анализу проблем
организации следует отнести относительную простоту и быст23

12.


М о д у л ь 1. Процесс стратегического управления
Ч А С Т Ь I. Стратегический м е н е д ж м е н т : бакалавриат
Наименование
этапа
Результат
этапа
Формирование целей
исследования
Составление
каталога проблем
Выявление п р о б л е м
Формирование перечня
Цель исследования
Анализ системы и
выявление проблем
Концептуальная модель системы
Описание проблем
Ф а к т наличия п р о б л е м и их о п и с а н и е
#
> Модель состава
Уточнение
каталога
П о п о л н е н и е каталога
С о к р а щ е н и е каталога
Отношения причинности
Связи м е ж д у
проблемами
Анализ проблем
Граф п р о б л е м и выводы о б а к т у а л ь н о с т и ,
важности и сложности проблем
Генерирование
альтернатив
Концептуальные модели новой системы -
Выбор р е ш е н и я
Один из вариантов: оптимальный, лучший,
средства р е ш е н и я п р о б л е м
приемлемый
Агрегирование
проблем
Отношения
предшествования
Подготовка
Обеспечение ресурсами участников изменений
Внесение изменений
Нейтрализация противников и поддержка
Модель
структуры
I
>
I
Модель
структурной
схемы
О б щ е е и частное
М н о ж е с т в о связанных
между собой проблем
К о р н е в а я проблема
Узловые проблемы
к изменениям
I
Г
Результирующие проблемы
Рис. 1.5. С х е м а ф о р м и р о в а н и я п р о б л е м н о г о п о л я
сторонников изменений
Оценка
эффективности
решений
Определение степени успешности достижения
Корректировка
решений
Внесение изменений в решения
Рис. 1.4. Э т а п ы р е ш е н и я п р о б л е м
24
роту его реализации, но оценки, лежащие в основе подхода,
несут в себе погрешности субъективных суждений экспертов.
Специалисты в области исследования систем управления
рассматривают этапы постановки проблем в виде схемы, пред­
ставленной на рис. 1.6, из которого следует, что многошаговая
процедура состоит из пяти повторяющихся этапов.
Первый этап «диагностика» — общее знакомство с пробле­
мой; составление плана работы с указанием срока выполне­
ния, исполнителей и основных источников, которые могут
быть использованы. Например, общий спад производственнохозяйственной деятельности организации воспринимается как
проблема.
25

13.

М о д у л ь 1. Процесс стратегического управления
Ф Ч А С Т Ь I. Стратегический м е н е д ж м е н т : бакалавриат
ф
Истолкование фактов
Определение симптомов проблемы
Предварительное знакомство с проблемой
Сбор фактов
Формулировка проблемы
Рис. 1.6. П о с л е д о в а т е л ь н о с т ь э т а п о в « д и а г н о з а » п р о б л е м ы
Второй этап — установление «симптомов» проблемы, под
которыми понимаются некоторые косвенные признаки или ха­
рактеристики, указывающие на наличие проблемы. Например,
не хватает финансовых ресурсов для пополнения оборотных
средств.
Третий этап — сбор факторов, подтверждающих «симпто­
мы» — выявление причин возникновения проблемы, например
в отношении воровства сырья и полуфабрикатов, нерациональ­
ных запасов на складах, роста цен на материальные ресурсы,
нерациональной деятельности отдела сбыта и т.п.
Четвертый этап — истолкование факторов (анализ всей ре­
1
левантной информации). Например, рост дебиторской задол­
женности обусловлен тем, что работники отдела сбыта пассивны
во взаимодействии с организациями, осуществляющими оптовые
закупки.
Наличие обратных последовательных этапов работы позво­
ляет направить процесс формулирования проблемы по пра­
вильному руслу и постоянно его улучшать по мере выявления
и накопления факторов.
При вскрытии существа проблемы большую помощь могут
оказать следующие шаги:
• собрать и проанализировать данные, которые представля­
ют недостатки системы;
• описать и проанализировать подсистему, которая прямо
порождает данные проблемы, в частности оценить вход на пол­
ноту, на частоту, на согласованность, на надежность и на точ­
ность;
Relevant — относящийся к делу.
Рис. 1.7. В ы я в л е н и е к о р н е в о й п р о б л е м ы п р е д п р и я т и я
(номера обозначают место конкретной проблемы
в о б щ е м неупорядоченном перечне проблем предприятия):
t g _ нет с т р а т е г и и , о б е с п е ч и в а ю щ е й подготовку и п о в ы ш е н и е к в а л и ф и к а ц и и к а д ­
ров; 34 — н и з к а я т р е б о в а т е л ь н о с т ь и с л а б а я ответственность р у к о в о д и т е л е й с н и ­
жают э к о н о м и ч е с к и е результаты; 36 — с и с т е м а оплаты труда н е д о с т а т о ч н о м о т и в и ­
рует р а б о т н и к о в ; 37 — отсутствие с о п р и ч а с т н о с т и к о б щ е м у д е л у не ф о р м и р у е т
социокультурных ц е н н о с т е й ; 38 — н е р а в н о м е р н а з а г р у з к а ИТР, есть « с л у ч а й н ы е »
люди; 39 — отдел к а д р о в не в е д е т б а з у д а н н ы х « л у ч ш и х » с е з о н н ы х р а б о ч и х ; 46 —
р а с п о л о ж е н и е Д Р С У в г. В л а д и м и р е п р и п о д ъ е м е э к о н о м и к и в е д е т к оттоку к в а л и ­
фицированных кадров
• найти обратную связь, которая дает возможность судить
об отклонении, о величине ошибки или о недостатке системы;
• постараться связать объекты и свойства подсистемы в со­
ответствии с их очевидной, логической или причинной связью;
• постараться представить полную систему, в которой дан­
ная проблема является только частью;
• постараться связать между собой полную систему, относя­
щиеся к делу подсистемы и проблему, как она определена.
Выполнение этих шагов создает возможность для формули­
рования проблемы.
Пятый этап (формулирование проблемы) включает:
• составление исходной формулировки проблемы;
• осмысление этой формулировки в связи с различными
частями проблемы;
26
27

14.

М о д у л ь г. Процесс стратегического управления
Ф Ч А С Т Ь I. Стратегический менеджмент: бакалавриат
• осмысление факторов, которые касаются проблемы;
• общее уточнение исходной формулировки проблемы, на~
пример отсутствие системы стимулирования снижения дебитор­
ской задолженности, приводит к нехватке оборотных средств.
Формулирование проблемы называется исходной, или пред­
варительной, постановкой потому, что в ходе анализа и на его
основании многие исходные положения могут быть пересмот­
рены или уточнены.
Перечень проблем, описывающих проблемную область, как
правило, можно упорядочить методом парных сравнений, оп-=
ределяя наличие и направленность причинно-следственных
1
связей между проблемами . Пример построения графа проблем
приведен на рис. 1.7.
В результате получаем граф проблем организации, из кото­
рого следует, чем заниматься организации в первую, во вторую
и в третью очередь.
Главная проблема организации требует стратегических ре­
шений, что предопределяет формулирование соответствующих;
целей.
2.2. Целеобразование в организациях
Если целеполагание системы определяется как сочетание
целей существования каждого ее элемента (создание системы
целей), то создание структуры целей системы позволяет опи­
сать структурно-функциональную зависимость элементов в це­
лом образовании (системе). Определение такой зависимости
является основой для выявления закономерностей структурно­
го образования конкретной системы и описания ее формаль­
ными методами системного анализа.
Описание системы в виде структуры целей, их связей и от­
ношений лежит в основе системного исследования любого
сложного объекта, изучения его состояния, поведения и управ­
ления процессом его движения к образу идеального состоя­
2
ния .
1
См.: Лапшин Ю.Н. Теория
ИНФРА-М, 2007. - С. 244.
2
организации:
учеб.
пособие

М-
См.: Алексеева М.Б., Волан С.Н. Основы теории систем и системного
анализа: Учеб. пособие. — СПб.: СПбГИЭУ, 2002. С. 54.
28
ф
Организация как смешанная система относится к многоце­
левой системе. Одна из возможных моделей целей системы
приведена в табл. 1.3. Назначение указанной таблицы состоит
в том, чтобы продемонстрировать положение, в соответствии с
которым, содержание целей системы меняется в зависимости
от того, что становится объектом и предметом целеобразования. Другая задача — показать, на что могут быть направлены
цели.
Таблица 1.3
Модель состава целей
Типы целевых ориентация организаций
Характеристика
Внутренне
заданные цели
Цели внешней
среды
Образование
новых целей
Объекты целеобразования
Организация
как система
Конкуренты и
клиенты как
внешняя среда
Цели как образ
будущего
Предмет целеобразования
Контроль само­
сохранения
Оперативное уп­
равление
Стратегическое
управление
Содержание це­
лей
Пассивное функ­
ционирование
Адаптация к из­
меняющейся
внешней среде
Формирование у
внешней среды
новых целей
Образ формы
целей организа­
ции
«Общество ин­
валидов»
«Круговая обо­
рона»
«Наступление
через прорыв»
Клиентная ори­
ентация органи­
заций
Организация и
клиент: две
несвязанные
системы
Благополучие
организации за­
висит от клиента
Благополучие
клиента зависит
от развития ор­
ганизации
Содержание таблицы показывает, что организация как сис­
тема стремится к пассивной устойчивости и функционирова­
нию независимо от существования внешней среды. Внешняя
среда организации в лице конкурентов и потребителей продук­
та (услуги) вынуждает ее реагировать на их запросы методами
оперативного управления. Если субъекты управления ставят
перед собой цели, ориентированные на будущее и способные
изменить внешнюю среду, то организация способна иницииро­
вать необходимые ей события для совершения прорыва и на­
ступления на конкурентов.
29

15.

Ф
Ч А С Т Ь I. Стратегический м е н е д ж м е н т : бакалавриат
Таким образом, содержание целей определяется не тольк*
субъектом управления, но и самим объектом и предметом i
леобразования. Например, цель «Повышение производите,
ности труда» определяется не только амбициями менеджеров!
но и квалификацией работников организации и технически
оснащением менеджеров и работников.
2.3. Построение «дерева целей»
Универсальных правил постановки целей не существует.
Основные требования, предъявляемые к формулированию це-;
лей, сводятся к тому, что они должны быть конкретными, точ-?
ными, полными и непротиворечивыми.
{
Конкретность целей обеспечивается предметной направлен-,
ностью, адресностью и временнбй определенностью (задаются
начало, конец и порядок достижения целей), например рост
производительности труда в технологии упаковки товара на 6%>
в течение двух лет.
Состав и полнота целей зависят от специфики объекта и
условий внешней среды, которая служит источником формиро­
вания целей, например рост производительности труда на 6% в
течение двух лет посредством использования новых материа-j
лов, появившихся на рынке в текущем году.
>
Цели должны рассматриваться во взаимосвязи с сопряжен-*
ными задачами, для того чтобы обеспечить их непротиворе^
чивость и согласованность в стремлении рационально распре-^
делить имеющиеся ресурсы. Пример такого рода: рост про­
изводительности труда на 6% в течение двух лет за счет
использования новых материалов, что обеспечит отгрузку в
срок возрастающего объема производимой продукции.
Достижимость целей проверяется с помощью оценки име­
ющихся экономических, юридических, социальных психоло­
гических и иных препятствий. Продолжим пример: рост про­
изводительности труда на 6% в течение двух лет должен со­
провождаться получением банковского кредита и страхованием
лизинга нового оборудования, а также повышением квалифи­
кации технологов упаковочного производства.
Для оценки степени достижения цели необходимо обеспе­
чить измеримость поставленной цели, которая может быть как
количественной, так и качественной, например предусмотреть
зо
М о д у л ь 1. Процесс стратегического управления
ф
рост производительности труда на 6% в течение двух лет, для
чего разработать бизнес-план модернизации упаковочного про­
изводства и показатели успешности его реализации.
Гибкость целей проявляется в возможности их корректировки
в силу изменений, происходящих во внутренней и внешней сре­
де системы, например в обеспечении роста производительности
труда на 6% в течение двух лет реализации бизнес-плана модер­
низации упаковочного производства, предусмотрев закупку обо­
рудования, которое может быть использовано универсально.
Рассматривая цель как целостный объект, важно установить
ее структуру, графическая модель которой представляет собой
древовидньш граф («дерево целей»). В этом случае цель декомпо­
зируется на подцели, а число иерархических уровней определяет­
ся субъектом целеполагания, исходя из стоящей перед ним зада­
чи.
Процедура структуризации цели состоит в вычленении в ре­
шаемой проблеме базовых элементов и в установлении связей
между ними, что позволяет формализовать проблемную ситуа­
цию.
Процедура разработки «дерева целей» представляет собой
длительный процесс с различными уточнениями и согласова­
ниями, а выбор самой процедуры зависит от специалиста, ре­
шающего проблему.
• Начинается построение «дерева целей» с формулирования
главной цели, которая отражает проблемную ситуацию в це­
лом.
• Соблюдая принцип «от общего к частному» — выполняют
редукцию (разделение) цели на части (подцели).
• Иерархичность целей обеспечивается тем, что цели ниж­
него уровня вытекают из вышестоящих целей и подчиняются
им, т.е. средства к достижению цели являются ее подцелями и,
в свою очередь, становятся целями для следующего ниже уров­
ня иерархии.
• Полнота декомпозиции обеспечивается тем, что на каж­
дом уровне иерархии формулируется полный перечень подце­
лей. Понятно, что каждая цель декомпозируется не менее чем
на две подцели.
• Необходимо стремиться к тому, чтобы иметь общую шка­
лу измерений для каждого уровня иерархии.
Цели, представленные на уровнях иерархии, должны быть
гибкими, предусматривать возможность корректировок и изме31

16.

ф Ч А С Т Ь I. Стратегический менеджмент: бакалавриат
нений (и в процессе построения «дерева целей», и в прог
изменений внешней и внутренней среды, и в процессе ре/
ь
зации).
Завершается процедура построения «дерева целей» на
уровне декомпозиции, на котором удается разработать
нативные способы достижения цели.
2.4. Стратегическая система целей
1
Игорь Ансофф , рассматривая отличительные черты ст
гии, приводит такое определение ее самой и ее ориентира
дения): «Ориентир представляет собой цель, которую стрел
достичь фирма, а стратегия — средство для достижения ц
Но из теории систем известно, что, перефразируя опред
ние, средство для достижения цели есть система. Отсюда
дует, что стратегия есть система достижения цели. Попро
выдвинутый тезис обосновать, анализируя структуру целей
ганизации.
В начале 1980-х гг. А.И. Пригожий, рассматривая гла
общеорганизационные цели, предложил три вида, не связа~
между собой иерархией: цели-задания, цели-ориентации и
системы. Цели-задания должны были отражать внешнее н~
чение организации (терминологии стратегического управле
в данном случае больше соответствует «миссия вовне»). Це
ориентации соответствовуют общим интересам работнико
могут быть реализованы через организацию (миссия, н
ленная вовнутрь). Цели системы призваны реализовать п
ность структуры в равновесии, стабильности, целостности (
нее, цели по обеспечению системности организации, к
характеризуется, прежде всего, структурой — совокупи
связей между частями системы) и т.д.
Отсюда следует, что система целей организации пред
ляет собой «системный конфигуратор» — систему, состо
из подсистем, представленных разными языками описания,
пример, рост производительности труда на 6% в течение двух
и укрепление репутации на рынке услуг по упаковке товара ц
четании с сокращением цикла оборота оборотных средств.
1
И. Ансофф — почетный профессор стратегического менеджк*
Американского международного университета (US International Univ
в Сан-Диего, основатель школы стратегического планирования.
32
М о д у л ь 1. Процесс стратегического управления
ф
Попытаемся представить себе модель состава системы це­
лей стратегического управления, которую затем преобразуем в
модель структуры. Однако предварительно необходимо сделать
несколько замечаний, руководствуясь положениями системно­
го анализа.
Любая деятельность носит целенаправленный характер. Ви­
дов деятельности у организации, как правило, несколько, поэ­
тому и цель может быть не одна. Кроме того, различие целей
приводит к разным определениям одних и тех же явлений (под
определениями здесь понимается языковая модель какой-либо
системы). Отмеченное свидетельствует о том, что ц е л и ор­
ганизации могут лежать в н е с к о л ь к и х пересе­
к а ю щ и х с я п л о с к о с т я х , причем точка (или линия) пере­
сечения указанных плоскостей, как нам представляется, в
общем виде будет в наибольшей степени отражать место на­
хождения совокупной (интегральной) цели организации.
Под целью здесь понимается «субъективный образ (абстракт­
ная модель) несуществующего, но желаемого состояния среды,
1
которое решило бы возникшую проблему» .
Если теперь этот образ желаемого будущего спроецировать
на окружающую исследуемый объект среду, то проекция будет
представлять собой совокупность элементов среды, использова­
ние свойств которых позволяет достигнуть цель. Подобная «тень»
цели на среде представляет собой средство достижения цели —
систему (совокупность взаимосвязанных элементов, обособлен­
ную от среды и взаимодействующую с ней как целое).
Рассуждая аналогичным образом и исходя из ранее данных
определений, можно построить несколько подсистем, на раз­
ных языках описания, характеризующих рассматриваемую цель.
Пример подобного описания (конфигуратора целей) приведен
на рис. 1.8.
Представленная система целей показывает, что видение,
миссия, объективная цель, стратегия характеризуют одну и ту
же цель, рассматривая ее как бы в разных плоскостях, причем
указанные характеристики цели занимают один и тот же (верх­
ний) уровень иерархии.
В целом, рисунок иллюстрирует взаимосвязи основных це­
левых характеристик организации и позволяет сформулировать
следующие выводы.
1
Перегудов Ф.И., Тарасенко Ф.П. Введение в системный анализ. — М.:
Высшая школа, 1989. — С. 68.
Стратегический менеджмент
33

17.

$
Ч А С Т Ь I. Стратегический м е н е д ж м е н т : бакалавриат
М о д у л ь 1. Процесс стратегического управления
• Стратегия есть система достижения цели организации.
• Содержание стратегии есть отображение, проекция Т
ния и объективной цели организации на саму организацию и
окружающую ее среду.
• Направленность стратегии определяется миссией, обра
иной во внешнюю по отношению к организации среду и
внутрь организации: в социальную структуру и в структуру, ot
печивающую поддержание системных свойств организации.
• Стратегия лежит в одной плоскости с оперативным;
лением организации, которое состоит из элементов внеп
среды и слабо структурировано.
• Цель организации есть система, подсистемы которой леат в разных плоскостях, но объединены ею, и через нее осу­
ществляется связь между элементами разных подсистем.
• Цели организации (как и любой системы) формируются
под воздействием многих факторов, о чем свидетельствует
рис. 1.9.
Социально-экономическая
ориентация
Срочность
Г
Краткосрочные
Долгосрочные
(конкретные и
детализированные)
(рассчитанные на
длительный срок)
Экономические
(цели
хозяйственной
деятельности)
Неэкономические
(цели
социальные)
Образ будущего
Субъективное
(видение)
- Содержание
Объективное
(цель)
Вовне
(миссия)
Цель
организации
Направленность

Внутрь
(миссия)
Ценностные
ориентации
Направлен­
Пространство
ность
определения целей
целей
Параметры
в н у т р е н н е й среды
Внешняя
Установки субъектов
целеполагания:
• собственников;
• менеджеров;
• работников-исполнителей;
• потребителей;
• поставщиков;
• местного сообщества;
• общества в ц е л о м
Потребление
ресурсов
Реализация товаров
Параметры
в н е ш н е й среды
Переработка ресурсов
Внутренняя Управление
отношениями
Удовлетворение
потребностей
Обеспечение
развития
Цели
Социальная
структура
Технологические
структуры
Оперативные свойства
организационных структур:
Видение
(образ будущего о р г а н и з а ц и и )
• стремление к максимальной
стабильности;
• обеспечение минимальной
неопределенности
Миссия о р г а н и з а ц и и
(в о т н о ш е н и и общества и
работников организации)
Проекты
Система
(стратегия)
Программы
Критерии:
Отображение
на среде
Множество
элементов
(оперативное
управление)
• эффективность;
• реализуемость;
• иерархичность;
• совместимость;
• измеримость;
• гибкость
Планы
Мероприятия
Рис. 1.9. Распределение факторов, влияющих на ф о р м и р о в а н и е целей
Рис. 1 . 8 . Структура системы целей
34
ф
2"
35

18.

Ф
М о д у л ь 1. Процесс стратегического управления
Ч А С Т Ь I. Стратегический м е н е д ж м е н т : бакалавриат
Из рисунка, в частности, следует, что цели могут р
чаться:
• по времени достижения и ориентации;
• по субъектам целеполагания и по направленности в
странстве;
• по объективности — могут быть как объективными,
логично свойствам любой системы, так и субъективными,
добно образу, к которому стремится организация.
Степень достижения цели оценивается с помощью крите
ев, выбранных для конкретного решения.
Следует заметить, что цели, в отличие от целевых уст;
вок, характеризуются ясностью, измеримостью, достижим
тью, соотнесенными с миссией, а также должны и
временное рамки их достижения.
Эти отличительные черты целей называют SMART-xapa
ристикой. SMART — это аббревиатура из следующих пяти с
и понятий.
1. Specific — быть настолько ясными и точными, чтобы
оставалось места для их неправильного или множественн
толкования.
2. Measurable — выражать количественно все, что мо
в первую очередь субъективные ожидания, фиксируя то, ка
может оказаться результат, если цель достигнута.
3. Achievable — и начальник, и подчиненный должны б
уверены, что поставленная цель достижима.
4. Related — соотноситься со стратегией, хозяйствен
целями организации, интересами исполнителя.
5. Time-bound — допускать определение на шкале време
по срокам достижения цели.
ТЕМАз
Стратегическое управление организацией
3 . 1 . Стратегия как явление
В стратегическом управлении центральную позицию за
мает понятие самой стратегии как научной категории. Что
означает слово «стратегия»?
Это слово, как известно, заимствовано из греческого: stra
gia — искусство или наука быть полководцем. А китайс
36
ф
оводец Сун Цу 23 столетия назад писал: «Тот, кто одержал
и побед в сотнях конфликтов, вряд ли обладает высоким
° стеоством. Тот, кто владеет высоким мастерством использо­
вания стратегии, покоряет других, не вступая с ними в конф-
ПЛ
°
ЛИК
Наш современник Генри Минцберг — профессор менедж­
мента Монреальского университета Макгилла, Канада — опре­
деляет понятие стратегии через так называемую комбинацию
пяти «П»:
• стратегия — план действии;
• стратегия — прикрытие, т.е. действия, нацеленные на то,
чтобы перехитрить своих противников;
• стратегия — порядок действий, т.е. план может быть не­
реализуем, но порядок действий должен быть обеспечен в лю­
бом случае;
• стратегия — позиция в окружающей среде, т.е. связь со
своим окружением;
• стратегия — перспектива, т.е. видение того состояния, к
которому надо стремиться.
Другие авторы пишут о том, что стратегия — это:
• план или нечто в этом роде — руководство, ориентир или
направление развития, дорога из настоящего в будущее;
• принцип поведения или следования некой модели поведе­
ния;
• позиция, а именно расположение определенных товаров
на конкретных рынках (создание уникальной и ценовой пози­
ции посредством разнообразных действий);
• перспектива, т.е. основной способ действия организации
(теория ее бизнеса);
• ловкий прием, особый маневр, предпринимаемый с целью
перехитрить соперника или конкурента.
Таким образом, стратегия затрагивает организацию и ее ок­
ружение. Она не бывает простой, представляет собой содержа­
ние и процесс. Ее невозможно продумать до конца. Она пред­
полагает разнообразные мыслительные процессы, объединяет
все части организации в единое целое, охватывает все основные
аспекты организации и обеспечивает совместимость всех час­
тей долгосрочного планов организации. Стратегия — это ре­
зультат анализа сильных и слабых сторон организации, а также
определения возможностей и препятствий ее развития. Страте37

19.


Ч А С Т Ь I. Стратегический менеджмент: бакалавриат
М о д у л ь 1. Процесс стратегического управления
гия — это заранее спланированная реакция организащ
изменения внешней среды. От нее зависит благополучие
низации. Плюсы и минусы стратегии приведены в табл. 1
Достоинства и недостатки стратегии как явления
Табли
Характеристики
Достоинства
Задает свойство,
направление
Указывает курс
развития
Может заслонить опасное!
В условиях неопределенно
ведет к столкновению с не­
ожиданными препятствия
(Иногда выгоднее двигаться
«на ощупь»)
Координирует
усилия
Ликвидируется
хаос
Принятая стратегия довлеет
над организацией.
Координация ведет к утрате
периферийного зрения, по
ВНОВЬ ОТКРЫВШИХСЯ ВОЗМОЖт
ностей
Характеризует
организацию
Демонстрируются
отличительные
особенности орга­
низации
Упрощенное определение о-"
ганизации через ее страте ^
может привести к ее недо­
оценке
Обеспечивает
логику
Устраняется неоп­
ределенность,
больше внимания
делу, а не дискус­
сиям
Творчество не терпит после
вательности.
Стратегия упрощает, а пота
искажает реальность
Недостатки
3.2. Концепция стратегического управления
Стратегическое управление представляет собой процесс,
ределяющий последовательность действий организации по
работке и реализации стратегии.
Оно проявляется в умении моделировать ситуацию, в
собности выявлять необходимость изменений, в разработке
мой стратегии, в способности воплощать стратегию в жи '
Исходя из этого можно предложить несколько определе
стратегического управления.
Например, О.С. Виханский так определяет стратегичес'
управление: «Это такое управление организацией, которое
щ
ается на человеческий потенциал как основу организации,
ориентирует производственную деятельность на запросы потре­
бителей, осуществляет гибкое регулирование и своевременные
изменения в организации, отвечающие вызову со стороны окоужения и позволяющие добиваться конкурентных преиму­
ществ, что в совокупности в результате позволяет организации
выживать и достигать своей цели в долгосрочной перспек­
тиве» [8, с. 12].
Патриарх стратегического управления И. Ансофф определя­
ет такое управление как совокупность стратегического плани­
рования, планирование возможностей руководства и управле­
ния процессом стратегических изменений.
Несколько отличное определение дает X. Виссема. В его по­
нимании это «стиль управления (мотивированный потребите­
лями, ориентированный в будущее, направленный на конку­
ренцию) и методы коммуникации, передачи информации,
принятия решений и планирования, с помощью которых аппа­
рат управления и линейные руководители своевременно при­
нимают и конкретизируют решения, касающиеся целей пред­
принимательской деятельности. Стратегическое управление
предполагает стратегическую ориентацию всех работников и
синхронизацию планов подразделений, отвечающих за реализа­
1
цию целей компании» .
Как видим, речь идет о своевременности решений, прини­
маемых работниками организации, ориентированными в буду­
щее при удовлетворении запросов внешней среды и сплоченно
устремленными к общей цели.
Таким образом, стратегическое управление представляет со­
бой систему действий, необходимых для достижения постав­
ленных целей, зачастую в условиях ограниченности ресурсов.
Важны обе составные части стратегического управления: и
разработка, и внедрение. Об этом с долей иронии американ­
ские специалисты в области стратегического менеджмента за­
мечают, что некоторые менеджеры развивают сильные стра­
тегии, но не могут претворить их в жизнь. Другие создают
посредственные стратегии, но с блеском осуществляют их.
В обоих случаях есть возможность усовершенствования.
1
Виссема X. Менеджмент в подразделениях фирмы (предприниматель­
ство и координация в предпринимательской компании) / Пер. с англ. —
М.: ИНФРА-М, 1996. - С. 176.
38
39

20.

Ф Ч А С Т Ь I. Стратегический м е н е д ж м е н т : бакалавриат
Существует еще два подхода. В первом случае спещш
по управлению допускают, что все возможные изменения
сказуемы, а происходящие процессы строго определены и
равляемы. Поэтому стратегия сводится только к определе
цели и разработке стратегического плана действий организ
в достижении намеченных целей.
Но подобная ситуация возможна только в короткие т:
валы времени, тем более что скорость изменения внешней
ды на практике постоянно возрастает. Поэтому эффективн
управления в значительной степени определяется способ
тью получить преимущества от использования измене
возникающих при этом возможностей.
Второй подход заключается в определении только нап
ления развития организации, которое приводит ее к дос
нию выбранной цели. В этом случае у организации име
!
свобода выбора с учетом изменений во внешней среде; стр
гия организации состоит как из продуманных целенаправ
ньгх действий, так и из реакции на непредвиденное разв
событий.
Само возникновение потребности в стратегическом уп"
лении обусловлено динамичными переменами во внешней
де, в условиях которых действия менеджеров не могут сво
ся к простому реагированию на происходящие перемены и
шире признается необходимость сознательного управления
менениями, ведущими к достижению поставленных целей.
В этих условиях менеджерам трудно не распылить с~
силы, стремясь охватить как можно больше рынков, произ"
ти как можно больше разнообразных продуктов и удовлетвор
потребности различных групп клиентов. Поэтому страте
ность в управлении становится конкурентным преимуще
вом.
В развитии подходов к стратегическому управлению мо
выделить несколько этапов.
• Управление на основе контроля над исполнением, при
тором реакция управляющего на изменения появляется пс
совершения событий. Такое реактивное управление тре"
много времени на осознание неизбежности изменений, в
ботку новой стратегии и адаптацию к ней системы.
• Управление на основе экстраполяции, когда темп изме
ний ускоряется, но будущее еще можно предсказывать, экс
40
М о д у л ь т. Процесс стратегического управления
ф
полируя сложившиеся тенденции и проводя долгосрочное пла­
нирование.
• Управление на базе предвидения изменении, когда темп
их ускорился, однако не настолько, чтобы нельзя было вовремя
предусмотреть будущие тенденции и выработать реакцию на
них построением соответствующей стратегии — стратегическое
планирование.
• Управление на основе гибких экстренных решений, кото­
рое складывается в настоящее время, в условиях, когда многие
важные задачи возникают настолько стремительно, что их не­
возможно вовремя предусмотреть — стратегическое управление
за счет корректировки ранее выработанной стратегии.
Стратегическое управление базируется на ряде принципов,
к которым следует отнести в первую очередь научность, целе­
направленность, гибкость, реализуемость, системность и адап­
тивность.
Научность проявляется в том, что менеджеры в своей де­
ятельности должны использовать достижения множества наук
и, импровизируя, искать индивидуальные подходы к разреше­
нию проблемных ситуаций.
Целенаправленность стратегического управления связана с
ориентацией на достижение глобальной цели развития органи­
зации.
Гибкость стратегического управления подразумевает воз­
можность внесения коррективов в ранее принятые решения
или их модификацию сообразно изменениям внешней и внут­
ренней среды организации.
Реализуемость должна быть обеспечена в части создания не­
обходимых условий для воплощения стратегии в реальную
практику.
Системность самой стратегии как сочетания функциональ­
ных стратегий, стратегических проектов и программ означает
согласованность содержания структурных элементов стратегии
как по вертикали, так и по горизонтали.
Адаптивность состоит в том, что все внутриорганизационные построения (культура организации, оргструктура, система
планирования и т.д.) являются реакцией организации на соот­
ветствующие изменения во внешнем окружении и некоторые
изменения во внутренней среде.
41

21.

Ф Ч А С Т Ь I, Стратегический м е н е д ж м е н т : б а к а л а в р и а т
Однако стратегическое управление не лишено некот
недостатков, которые всегда присутствуют при моделиро'
процессов реального мира:
• оно не дает детальной картины будущего, а является.
качественным описанием желаемого состояния организащ
• оно не позволяет полностью формализовать процесс
равления, поскольку представляет собой органическое сое.
ние интуиции и искусства руководителей организации;
• оно требует корректировок стратегии по мере возш
ния изменений во внешней и внутренней среде организаг
• велика цена возможных ошибок при выборе неве
стратегии;
• разработка добротного стратегического плана не гар"
рует положительного результата, поскольку многое завис
внедрения необходимых изменений в самой организации.
Тем не менее желание создать эталонные стратегии н
кидает специалистов в этой области.
Стратегическое управление представляет собой циклич
процесс, состоящий из процедур формулирования, внедре
контроля.
Стратегические неудачи современных российских орг
заций во многом обусловлены поверхностными знаниями
руководителей в области стратегического менеджмента и
сутствием опыта проведения стратегических изменений в
низациях.
Однако, как замечает Г. Минцберг, самые последние с
ния об успешности функционирования организаций в со
менных условиях не у к л а д ы в а ю т с я в р а м к и какойбо одной школы стратегического управления. Более то~~
некоторой степени отсутствие стратегии может рассматрива
как некое благо в силу нескольких причин. Во-первых, по
шению стратегической гибкости организации способств"
без разработки стратегии) продуманные действия руковод
Во-вторых, жесткое следование стратегическому курсу вед'
утрате способности к инновациям (стратегия «как догма»
вает способность к обучению и адаптации). В-третьих, отсу
вие формальных элементов стратегии позволяет исключить
рократизм.
Теоретиков, занимающихся управлением, в большей стё
ни интересуют процессы и этапы стратегического развития
ганизаций, в то время как для практиков важны проце
42
ф
М о д у л ь 1. Процесс стратегического управления
стратегических изменений, а также макроподход школы власти
(изучение союзов, коллективной стратегии) и изыскания ког­
нитивной школы. В последние годы возрастает популярность
подходов школы обучения в части так называемых самообуча­
ющихся организаций и ключевых факторов успеха (стержневых
компетенций).
3.3. Стратегическое планирование
Стратегическое управление появилось путем эволюционно­
го развития из стратегического планирования, которому, в свою
очередь, предшествовало долгосрочное планирование.
Базовое отличие долгосрочного планирования от стратеги­
ческого заключается в трактовке будущего.
В процессе долгосрочного планирования делается допуще­
ние о том, что будущее может быть предсказано путем распро­
странения сложившихся тенденций на отдаленную перспекти­
ву. Руководители при этом исходят из предположения, что в
перспективе итоги деятельности улучшатся по сравнению с
прошлым периодом, и эту посылку закладывают в обоснование
плана. Результат такой практики — постановка оптимистичес­
ких целей развития, с которыми не сходятся реальные резуль­
таты. Они могут быть и выше, но чаще оказываются сущест­
венно ниже планируемых.
В системе стратегического планирования не предполагает­
ся, что будущее обязательно будет лучше прошлого, поэтому в
стратегическом планировании важное место отводится анализу
перспектив организации, задачей которого является выяснение
тех тенденций, возможностей и угроз, которые способны изме­
нить сложившиеся тенденции.
Почему не все попытки разработать стратегию успешны?
Главная причина, как нам кажется, в подходе к управлению.
Для сравнения рассмотрим этапы стратегического планирова­
ния, предлагаемые Э.А Уткиным. К таким этапам относятся
исследование внешней и внутренней среды организации, оп­
ределение основных ориентиров фирмы, сравнение результа­
тов двух предьгдущих этапов, определение возможных вариан­
тов стратегий, выбор варианта, разработка стратегического
плана (исходя из ранее проведенных разработок, предложений
нижестоящих уровней). Как видим, этапы почти те же, только
43

22.

М о д у л ь 1. Процесс стратегического управления
Ф Ч А С Т Ь I. Стратегический м е н е д ж м е н т : бакалавриат
речь не идет о формулировании образа будущего. Иными
вами, планирование осуществляется как бы для преодол
разрыва между ориентиром организации и действитель
состоянием, а не для превращения организации в н е т
вершенное. Сам же стратегический план формируется,
1
му-то исходя из предложений нижестоящих уровней, кото
как правило, не участвуют на предыдущих этапах разра"
стратегии.
Концепция стратегического планирования, по словам
фессора X. Виссема, является все той же «тейлористской
цепцией» исполнения хорошо составленного плана. Но л
ные руководители, пишет Виссема, вовсе не заинтересо
выполнении таких планов, да и сами планы часто оторв
практики. Поэтому планирование, по его мнению, должно,
перенесено в линейные подразделения.
Планирование (а в данном случае стратегическое плани
вание) отечественные специалисты определяют как осой
вид практической деятельности людей, состоящей в разр:Г
ке решений, целью которых является эффективное фун
нирование объекта управления в долгосрочной перспекти~
быстрая адаптация к изменяющимся условиям внешней
ды. Они выделяют также основные процедуры стратег
кого планирования: прогнозирование, программирова
проектирование.
Однако разработка проектов, программ и прогнозов
мает значительное время, в течение которого происходят
нения во внешней и внутренней среде, что в значительной
пени снижает эффект от реализации разработанной страте
Кроме того, имеет место и ряд других проблем, связан!
стратегическим планированием, которые американский спе
алист в области стратегического менеджмента К. Боумен
мулирует следующим образом: «События опережают запл
рованный график. Процесс планирования мешает проявле
изобретательности и инициативы. В ходе реализации
возникают непредвиденные проблемы. Менеджеры, не уча
ющие в разработке плана, не придерживаются его. Те"
проблемы отвлекают внимание менеджеров от реализации
на» [6, с. 13].
Это, возможно, является главной причиной срывов в
лизации проектов и программ.
44
ф
Шведские ученые Б. Карлоф и С. Седерберг идут дальше,
когда обосновывают большую эффективность развития по срав­
нению со стабильностью, которая эффективна лишь в отноше­
нии затрат. Более того, «с изменением условий в окружающем
мире эффективная организация становится жерновом. Масса
капитала, организованные процессы или имеющиеся знания
1
становятся тогда препятствием для процесса перемен» .
Текущая работа поглощает наиболее важные ресурсы: вре­
мя, талант и энергию работников, их стремление к инноваци­
ям. Иногда в процессе планирования не учитываются формаль­
ные и неформальные служебные отношения и соподчиненность
работников, их отношение к изменениям и моральному облику
персонала, да и к изменениям корпоративной культуры орга­
низации в целом.
Нельзя сбрасывать со счетов и то, что процесс стратегичес­
кого управления протекает наряду с выполнением текущих за­
дач организации. Изменение ситуации влечет за собой измене­
ние стратегии, следовать которому менеджеры не успевают в
силу недостаточной квалификации и нехватки времени на ре­
акцию. Поэтому общее правило (в том случае, если у органи­
зации ранее была разработана стратегия) заключается в том,
что лучше совершенствовать существующую стратегию, чем
разрабатывать и внедрять новую.
3.4. Соотношение оперативного
и стратегического управления
В отличие от стратегического оперативное управление зани­
мается реализацией существующей стратегической линии орга­
низации в целях намеченных параметров. В этих условиях ру­
ководитель, занимающийся оперативными вопросами, должен
превратить потенциал организации в реальную прибыль.
Когда три десятилетия назад стратегическое планирование
пришло на смену долгосрочному, появилась возможность раз­
рабатывать альтернативные версии развития будущего органи­
заций.
1
Карлоф Б., Седерберг С. Вызов лидеров / Пер. со швед. — М.: Дело,
1996. - С. 263.
45

23.

ф
М о д у л ь 1. Процесс стратегического управления
Ф Ч А С Т Ь I. Стратегический менеджмент: бакалавриат
Термин «стратегическое управление» был введен в нау
оборот в начале 1970-х гг. для обозначения различий м
управлением текущими производственными процессами
равлением на высшем уровне, в центре внимания кото:
должно быть внешнее окружение объекта управления.
,
Новизна подхода заключалась в том, что если при оп
тивном управлении организация рассматривалась как стру
ра, извлекающая прибыль от своей деятельности, то стра
ческое управление обеспечивало развитие организации за
сбалансированного взаимодействия с внешней средой.
Для сопоставления существенных отличий показателей о'
низации при различных подходах к управлению автором сс
лена табл. 1.5, из которой, в частности, следует, что стратег,
кое управление принципиально отличается от оперативного.
Таблице
значительное количество информации, сделан стратегический
анализ и выполнен прогноз. На основе прогноза разрабатыва­
ется план работы на несколько лет, детализируемый в програм­
мы действий, реализация которых осуществляется в структур­
ных подразделениях организации.
Таблица 1.6
'
Определение целей
Формулирование видения и миссии
Формулирование целей
Системный анализ ситуации
Анализ существующей стратегии
Анализ окружающей среды
Разработка стратегии
Анализ внутренней ситуации
Разработка концепции стратегии
Выбор варианта стратегии
Проведение стратегических из­
менений
Конкретизация выбранной стратегии
Разработка функциональных стратегий
Разработка стратегических мероприятий
Проведение изменений
Сопоставление стратегического и оперативного управления
Показатель
Оперативное
управление
Стратегическое
управление
Предназначение
Получение прибыли от
производства продукции
Развитие организации
сбалансированного :
модействия с внешней'
средой
Концентрация
внимания
Взгляд обращен вовнутрь
организации для поиска
путей эффективного ис­
пользования ресурсов
Взгляд обращен вовне
организации для поиска
новых возможностей
Фактор времени
Ориентация на ближай­
шую перспективу
Ориентация на долго­
срочную перспективу
Системообразую­
щие факторы
Функции, техника и тех­
нологии
Люди и рыночные отно­
шения
Управление пер­
соналом
Взгляд на работников
как на один из видов ре­
сурсов
Работник как основная
ценность организации
Оценка эффек­
тивности
Прибыльность
Изменения как реакцияна изменение внешней
среды
1
Этап
Стадия планирования
Последовательность стадий и этапов стратегического управ­
ления приведена в табл. 1.6, составленной на основе анализа
устоявшихся подходов к стратегическому управлению.
о
Контрольные вопросы и задания по модулю i
Тема 1
1. Где в о з н и к а е т б о л ь ш е о т к л о н е н и й от н о р м ы : в р а м к а х о р г а н и з а ­
ции или на выходе из н е е ?
2. Что з н а ч и т р е ш и т ь п р о б л е м у ?
3. Что з н а ч и т с и с т е м а т и з и р о в а т ь о п и с а н и е п р о б л е м н о й ситуации?
4. Что в к л ю ч а е т в с е б я о п и с а н и е п р о б л е м н о й ситуации?
5- П р и в е д и т е п р и м е р встроенных п р о б л е м .
6. Сформулируйте п р о б л е м у в п р и ч и н н о - с л е д с т в е н н о й ф о р м е .
Безусловно, одного универсального подхода к прш
значительных решений в организации не существует, но, .
правило, стратегические решения принимаются, когда соб'р46
7- К ч е м у п р и в о д и т рост о р г а н и з а ц и и б е з соответствующего ее р а з ­
вития?
47

24.

ф
Ч А С Т Ь I. Стратегический м е н е д ж м е н т : бакалавриат
8. Н а з о в и т е типы ф о р м у л и р о в о к п р о б л е м .
9. Сколь длительны социокультурные п р о б л е м ы о р г а н и з а ц и и ?
ю. Почему необходимо переводить формулировки
б л е м в причинно-следственные?
МОДУЛЬ 2
КОРПОРАТИВНОЕ
СТРАТЕГИЧЕСКОЕ
УПРАВЛЕНИЕ
назывных п
Тема 2
1. Что представляет с о б о й п р о б л е м н о е поле о р г а н и з а ц и и ?
2 . П е р е ч и с л и т е этапы д и а г н о с т и к и п р о б л е м .
3. К а к о в а структура ц е л е й о р г а н и з а ц и и ?
ц. Что т а к о е к о н ф и г у р а т о р ц е л е й о р г а н и з а ц и и ?
5. Ч е м о п р е д е л я е т с я н а п р а в л е н н о с т ь стратегии?
6. П р и в е д и т е п р и м е р г р а ф а п р о б л е м .
7. Что представляют с о б о й в н у т р е н н е з а д а н н ы е цели?
ТЕМА 4
Корпоративная стратегия
8. В ч е м з а к л ю ч а е т с я п р о ц е с с п о с т р о е н и я д е р е в а целей?
9 . К а к р а с ш и ф р о в ы в а е т с я а б б р е в и а т у р а SMART?
ю С к а к о г о этапа н а ч и н а е т с я р е ш е н и е п р о б л е м ?
4.1. Стратегичность трансформационных
процессов
Тема з
1. Что о з н а ч а е т слово «стратегия»?
2 . П е р е ч и с л и т е достоинства стратегии к а к я в л е н и я .
3. В ч е м н е д о с т а т к и стратегии к а к явления?
4 . Что о з н а ч а е т с л о в о с о ч е т а н и е « с т р а т е г и ч е с к о е п л а н и р о в а н и е » ?
5. Ч е м отличается стратегическое у п р а в л е н и е от о п е р а т и в н о г о ?
6. В ч е м состоит системный подход в с т р а т е г и ч е с к о м управлении*?
7. Н а з о в и т е недостатки д о л г о с р о ч н о г о п л а н и р о в а н и я .
8. Что о б ы ч н о п о н и м а ю т под стратегией?
9. Что является м е т о д о л о г и е й с т р а т е г и ч е с к о г о у п р а в л е н и я ?
ю . Н а з о в и т е недостатки с т р а т е г и ч е с к о г о у п р а в л е н и я .
V
Корпоративная форма бизнеса имеет ряд характеристик,
которые отличают ее от индивидуальных предприятий и партнерств (товариществ).
Корпорация находится полностью во владении ее акцио­
неров, которые приобрели доли собственности, называемые
акциями. Акционеры в качестве собственников корпорации
имеют определенные права. Число голосов (прав) у каждого
акционера зависит от количества находящихся у него акций.
Основными целями формирования корпораций являются:
• увеличение рыночной доли;
• повышение качества товаров;
• снижение издержек по сравнению с конкурентами;
• расширение ассортимента продуктов и повышение их
привлекательности;
• укрепление репутации перед потребителями;
• повышение качества обслуживания;
• расширение применения инноваций;
. • укрепление конкурентных позиций на международном
уровне;
49

25.


Ч А С Т Ь
Стратегический м е н е д ж м е н т : б а к а л а в р и а т
М о д у л ь 2 . К о р п о р а т и в н о е с т р а т е г и ч е с к о е управление
• рост доходов;
• рост дивидендов;
• увеличение доходов на инвестируемый капиталШ6НИе
I ™
«РВДигаого и облигационного рейтингов^
• рост потоков наличности;
*»имгов*
• повышение курсов акций'
• улучшение и оптимизация структуры источников
Создание корпоративных
объединений
позволяет of
П ВЫСтЪ
К0
конеТнош
тоспоХоСТь '
конечного продукта, так° и бизнеса ^в нцелом
Как правило, корпорация состоит из матеоинскпй » ™
имеющих различный
Z
Э
>s
S
=J
3
ные способы управления
не„„е,
„ н е ,
в
е
и
н и е а
п™а Р„ о=г
'
СН0Ве праетики
~
^ Г Г п р и Г ?
таж
-т^1°
р
а
™ » - г
бизнеса' можно добавить к этим ™
бЪеДИН
Ие С
трансформаций создание
и еН
ликвидацию
предали?
^
Д
^ Г олица
^ ти противоположный
Г °
^ ~ разъедини
» о £
дического
ему° процесс
Поглощение можно определить как процедуру переход!
ной организации под контроль другой в р е з ^ Л п З
ния абсолютного или частичного права с о б ^ н н о с Г 3
глощаемую организацию.
^оственности на,
И
го
п
S
X
га
i_
о.
о
>s
S1
З
га
S
о.
о
-еО
I
га
о.
t-
2
е£
s
со
u
X
о.
ПОГЛОЩения
смены"™*?
представляют собой проце!
смены собственника или изменения структуры собстаеннй
К0НеЧНЫМ ЗВСНОМ
С
" ™ 1 и П Целью
I ?
"
- ™
труктуризации.
слияний и поглощений
является
v'
— у д а ч н о е положение „а р^„Ке, „ м е ^ о р Г и ? .
50
51
ф

26.

Ч А С Т Ь I. Стратегический м е н е д ж м е н т : бакалавриат
спективы развития, но ей требуется усилить свои позкм*
достижения конкурентных преимуществ в данной отрасл
используя механизм слияния и поглощения, она может дос
нуть своей цели, объединяясь или приобретая компании
же сегмента рынка.
Часто корпорации могут осуществлять слияние и погл^
ние фирм из других сегментов рынка для снижения риска^
ей деятельности, для расширения сферы своего присутст?
Если корпорация пересматривает свои позиции на pi
находит новые приоритеты, выделяет для себя основные
правления своей деятельности, освобождаясь от неосной;
проблемных направлений, а также если корпорация испьг
ет недостаток в финансах, то она может эффективно испсц
вать механизм слияний и поглощений для продажи или в|
ления отдельных подразделений, дочерних компаний.
Различаются слияния
горизонтальные, вертикальные,
1
вые, конгломеративные .
Горизонтальные слияния — объединения компаний
отрасли, производящих одно и то же изделие или осущесл
ющих одни и те же стадии производства.
Л
В этом случае наиболее часто возникают следующие^
фекты:
• сокращение производственных и иных издержек;
• расширение масштабов производства, сбыта и т.п.;
• повышение мобильности в распределении финанос
ресурсов.
Вертикальные слияния — объединение корпораций ра~.
ных отраслей, связанных технологическим процессом пщ
водства продукции, т.е. расширение корпорацией круга щ
пателей результатов своей деятельности либо переходе
предьгдущие производственные стадии, вплоть до источи
сырья, либо на последующие — до конечного потреб*
(слияние горнодобывающих, металлургических и машиноЦ
ительных компаний). Такая интеграция может обеспечить"
лее низкие издержки производства и обращения и более
5
фективное распределение и использование ресурсов.
Родовые слияния — объединение корпораций, выпуа
щих взаимосвязанную продукцию. Например, фирма, про»
1
2005.
52
См.: Милънер Б.З. Теория организации: учебник. - М.: Инфр
М о д у л ь 2. К о р п о р а т и в н о е стратегическое управление
ф
яшая фотоаппараты, объединяется с фирмой, производящей
Фотопленку или химические реактивы.
<
^Конгломеративные слияния — объединения корпораций
пазличных отраслей без наличия производственной общности,
(! слияние корпораций одной отрасли с корпорацией другой
г/гоасли, не являющейся ни поставщиком, ни потребителем, ни
конкурентом. В рамках конгломерата объединяемые корпора­
ции не имеют ни технологического, ни целевого единства с
основной сферой деятельности фирмы-интегратора. Можно
выделить три разновидности конгломеративных слияний:
• слияния с расширением продуктовой линии — объедине­
ние неконкурирующих продуктов со схожими каналами реали­
зации и процессами производства;
• слияния с расширением рынка — приобретение дополни­
тельных каналов реализации продукции, например супермарке­
тов в географических районах, которые ранее не обслужива­
лись;
• чистые конгломератные слияния — не предполагается ни­
какой общности.
Среди других классификаций слияний можно выделить на­
циональные и транснациональные, дружественные и враждеб­
ные, корпоративные альянсы, производственные, финансовые
слияния и т.д.
В зависимости от отношения управленческого персонала
корпораций к сделке слияния или поглощения выделяют сли­
яния, которые могут осуществляться на паритетных условиях
(«пятьдесят на пятьдесят») или неравных (с позиции силы). Од­
нако имеющийся опыт свидетельствует о том, что «модель ра­
венства» является самым трудным вариантом интеграции. Лю­
бое слияние в результате может завершиться поглощением.
Тип слияний зависит от ситуации на рынке, а также от
стратегии деятельности компаний и ресурсов, которыми они
располагают. Слияния и поглощения компаний имеют свои
особенности в разных странах или регионах мира. Так, напри­
мер, в отличие от США, где происходят слияния или поглоще­
ния крупных фирм, в Европе идет поглощение мелких и сред­
них компаний, семейных фирм, небольших акционерных
обществ смежных отраслей.
Соответствующие трансформационные процессы в части
*шквидации и образования новых юридических лиц представ­
лены в табл. 1.7.
53

27.

М о д у л ь 2 . Корпоративное с т р а т е г и ч е с к о е управление
Ч А С Т Ь I. Стратегический м е н е д ж м е н т : бакалавриат
Табли
Характеристики трансформационных процессов
Трансформационный
процесс
Образуется новое
Ликвидируется
ш
Н
1
Создание
I
Слияние
1
2 сливающихся
Присоединение

1 из присоединяющихся'
Объединение
1 — объединение

Рекомбинация
1

Преобразование
1
Разделение
2
J
#
нужным ресурсам, но и позволяет получать их на более выгод­
ных условиях, что также способствует увеличению размеров
рыночной ниши корпорации наряду со снижением уровня кон­
куренции.
Финансовые синергии проявляются в эффекте увода от на­
логообложения временно свободных денежных средств, а воз­
можность покупки компании по цене ниже балансовой дает
дополнительный выигрыш.
Часто в качестве катализатора слияний финансовые менед­
жеры называют диверсификацию, которая позволяет снижать
J
степень риска.
Прежнее юридическое л|
Теория агентских
издержек
-Tjj
Выделение
1
Прежнее юридическое Щ

Разъединение

Ликвидируется объединен
Попытки понять мотивы, движущие корпорациями,
но использующими в своей деятельности стратегии слг
поглощений, привели к определению трех основных те<3
объясняющих слияния: синергическая теория, теория are*
издержек свободных потоков денежных средств и теорий!
дыни, основное содержание которых отражено на рис. 1.Н
Суть синергетической теории заключается в том, что
кающая при слиянии новая корпорация может испол
широкий спектр преимуществ (появляющихся в резулы
кого свойства систем, как эмерджентность), которые возе
ют вследствие объединения ресурсов этих корпораций.
Так, новая корпорация, возникшая в результате сл
может добиться серьезного сокращения издержек [45].
того, корпорация-покупатель может использовать научно
следовательские центры приобретенной корпорации, а
потенциал ее работников для разработки и внедрения не
продуктов. Что же касается эффекта комбинирования
дополняющих ресурсов, то он не только обеспечивает дс
• М е н е д ж е р ы не всегда д е й с т в у ю т
в интересах акционеров
• М е н е д ж е р ы о р и е н т и р о в а н ы на
рост к о р п о р а ц и и
• Рост к о р п о р а ц и и у в е л и ч и в а е т
власть м е н е д ж е р о в
п
к
*
к
Ж
с
%
w
К
ж
а
•о
Сииергетическая
теория
• Операционные синергии:
- экономия операционных издержек I
(эффект а г л о м е р а ц и и ) ;
- эффект к о м б и н и р о в а н и я в з а и м о ­
дополняющих ресурсов;
- увеличение размеров рыночной
ниши корпорации
• Финансовые с и н е р г и и :
- с о з д а н и е налоговых щ и т о в
(уход о т н а л о г о о б л о ж е н и я ) ;
- возможность покупки компании
компании по цене н и ж е балансовой!
- диверсификация
• С л и я н и я к а к результат и н д и в и д у а л ь ­
ного решения менеджеров
корпорации-покупателя
Теория
гордыни
• М е н е д ж е р считает, ч т о и м е н н о
его оценка стоимости верна, а
рыночная оценка стоимости
корпорации-цели не полностью
отражает ее потенциал развития
1
Цифрами указано число вновь образованных или ликвидиров
юридических лиц.
54
Рис. 1.И. С о ч е т а н и е т е о р и й , о б ъ я с н я ю щ и х с л и я н и я
55

28.


Ч А С Т Ь I. Стратегический м е н е д ж м е н т : бакалавриат
Теория агентских издержек и теория гордыни отража
туацию, в которой решения о трансформациях прини
большей степени не собственники, а их агенты — мене
корпораций. При этом менеджеры руководствуются i
всего своими личными интересами.
Известная модель под названием «Кривая опыта» о
тот факт, что при удвоении накопленного объема выпус
кого-либо товара или услуги затраты организации на
водство единицы продукции в реальном исчислении, т.е.
ректированные с учетом инфляции, снижаются на 20—3ft
1
В большинстве случаев за счет слияния или присоед
компаний достигается повышение эффективности деяте
ти поглощающей компании как результат проявления
синергии.
Существует два типа синергизма: структурный и упр
ческий. Структурный синергизм означает объединение
сов двух компаний, позволяя снизить издержки и уве
объем продаж. Управленческий синергизм позволяет доб
улучшения показателей работы благодаря повышению катуправления без каких-либо структурных изменений.
Обычно под синергизмом подразумевают его стр
вид: объединение служб сбыта двух компаний позволяет*
жать издержки; продукция одной компании может реали"
ваться через сбытовую сеть другой, что ведет к возрас^
объемов продаж и снижению издержек, приходящихся на
ницу продукции. Структурный синергизм особенно велик,
две компании производили аналогичную или взаимосвяз"
продукцию, но имели разные системы сбыта и разных к,
тов. В таких случаях сокращение издержек достигает 15—
а объем продаж возрастает на 25—30% [23].
Управленческий синергизм имеет место в случаях,
компания-покупатель способна более эффективно упра
приобретенным производством, в частности благодаря вне
нию новой системы финансового контроля, повышений
ветственности менеджеров за исполнение бюджета, сокр"
нию необоснованных расходов (без структурного синерги
продаже неосновного бизнеса компании покупателю, для £
рого он представляет ббльшую ценность, чем для прод
Управленческий синергизм позволяет добиться снижения
ржек, значительно реже он ведет к увеличению объема
компании.
I 56
М о д у л ь 2. К о р п о р а т и в н о е стратегическое управление
ф
Синергизм существует и независимо от поглощений: в соестных предприятиях и стратегических союзах, в более тес**L. отношениях с поставщиками, в уже существующей групкомпаний, когда менеджеры систематически приходят на
помощь коллегам. Такого рода синергизм называют «дешевым
ияергизмом», поскольку он не связан с затратами на поглодеяие компаний. Синергизм может возникать в любой группе
предприятий; это потенциал, который может быть реализо­
ван при правильной организации и распределении ресурсов
группы.
Помимо эффекта синергизма объединение компаний может
привести к получению экономии за счет масштаба (сокраще­
ния постоянных затрат в производстве). Такой эффект сущест­
вует также при обращении продукции и ее обслуживании у
потребителя. Основная идея экономии за счет масштаба состо­
ит -в том, чтобы выполнить больший объем работы без увели­
чения мощностей и численности работников.
. При дивестировании (реализации части предприятия или
фирмы в целом) путем распродажи или передачи акций может
иметь место эффект обратного синергизма: 4 - 2 = 3, т.е. экс­
плуатация реализуемых объектов оказывается целесообразной
ддя какой-нибудь другой компании как средство образования
Чистой положительной стоимости. В итоге эта компания готова
заплатить за данные объекты более высокую цену, чем их оцен­
ка владельцем на настоящий момент. В некоторых случаях ре­
ализуемый объект устойчиво убыточен, и его владелец не на­
мерен расходовать на него необходимые ресурсы, чтобы сделать
его доходным.
Источниками получения экономического эффекта от слия­
ния и поглощения являются:
• экономия на масштабе производстве (технологическая
экономия);
• экономия на масштабе сферы деятельности (экономия на
разнообразии производимой продукции и рынков сбыта);
• экономия на трансакционных издержках (экономия на
сделках, операциях, контрактах, договорах);
• получение конкурентных преимуществ на рынках (эконо­
мия от координации рыночного поведения объединяемых пред­
приятий (корпораций, фирм), внутрифирменного и межстранового перераспределения ресурсов, регулирования цен товаров).
57

29.

М о д у л ь 2. Корпоративное стратегическое управление
Ф Ч А С Т Ь I. Стратегический менеджмент: бакалавриат
К дезинтеграционным трансформациям относятся д
(продажа, разделение, выделение), разъединение и ликвид
Проведенный анализ делений и разъединений предпр
описанных в экономической литературе за последние
позволил выделить особо широко распространенные вар
делений и разъединении предприятий. Наиболее расп~
ненным вариантом деления является продажа части би~
бизнес-единицы, предприятия. При этом покупателем вы
ют другое предприятие, юридические и физические лица,
Выделение бизнеса в качестве составной части корпо
ной стратегии также может осуществляется за счет испол
ния механизма слияний и поглощений. Для этих целей к
ния может проводить «отпочковывание» и продажу отде,
подразделений.
«Отпочковывание» предполагается как создание из
ния компании отдельного юридического лица. Акционер
теринской компании пропорционально своей доле в ее
тале становятся владельцами акций новой образовав
компании. При этом никакого движения денег не проис
материнская компания какого-либо дохода в результате
ковывания своего подразделения не получает. Примером
служить произошедшая в 1996—1997 гг. реорганизация
канской корпорации «AT&T», в ходе которой от нее отде
два подразделения: NCR (производитель компьютеров ий
коматов) и Lucent Technologies (производитель телефо
оборудования). Эти подразделения преобразовались в са
ятельные акционерные общества, акции которых были р~
делены между существующими акционерами «AT&T».
,:/
Возможно два варианта «отпочковывания»: разбиение
паний и отделение. При разбиении материнская компа
результате серии отпочковываний преобразуется в неск
независимых новых юридических лиц, а сама перестает су
вовать. При отделении часть акционеров получает долю
вой компании взамен своей доли в материнской комп~
определенном соотношении.
Продажа отдельных подразделений или дивестигхг
предполагает продажу подразделения третьему лицу. В от,
от «отпочковывания», материнская компания получает ,
ные денежные средства в результате проведения под
рода реструктуризации.
58
ф
рели какое-либо подразделение выставляется на открытую
„ооввжу, то подобная операция называется выделением. Дивесд^рование стало весьма популярным методом реструктуризации
компании с одновременным получением необходимых мате­
ринской компании «живых» денег.
.Причины, побуждающие корпорации прибегать к продаже
иди к «отпочковыванию» своих подразделений, очевидны. Ос­
новная из них — повышение эффективности ведения бизнеса.
Зачастую в составе компании присутствует убыточное подраз­
деление, занимающееся неосновным видом деятельности. Вы­
деление подобного бизнеса позволяет менеджменту компании
концентрировать свое внимание на основном виде деятельнос­
ти, устраняя ненужные расходы на поддержание неосновного и
неприбыльного направления. К тому же, если различные на­
правления бизнеса становятся независимыми, довольно просто
увидеть истинную эффективность каждого из них и на основа­
нии этого адекватно распределять вознаграждение управлен­
ческого персонала.
4.2. Четыре уровня корпоративной стратегии
В диверсифицированной корпорации стратегии разрабаты­
ваются, как правило, на следующих четырех различных органи­
зационных уровнях.
1. Корпоративная стратегия (стратегия для компании и сфер
се деятельности в целом).
'2. Деловая стратегия (для каждого отдельного вида деятель­
ности компании).
3. Функциональная стратегия (для каждого функционально­
го' направления определенной сферы деятельности). Каждая
сфера деятельности имеет производственную стратегию, стра­
тегии маркетинга, финансов и т.д.
3
- Операционная стратегия (более узкая стратегия для ос­
новных структурных единиц: заводов, торговых региональных
представителей и отделов (внутри функциональных направ1
аений)) .
1
- ,
См.: Томпсон АЛ, Стрикленд А.Дж. Стратегический менеджмент.
Искусство разработки и реализации стратегии: учебник для вузов / Пер.
с англ.; под ред. Л.Г. Зайцева, М.И. Соколовой. — М.: Банки и биржи,
ЙНИТИ, 1998. - С. 71-73.
59

30.

М о д у л ь 2. Корпоративное стратегическое управление
#
ф Ч А С Т Ь I. Стратегический м е н е д ж м е н т : бакалавриат
Корпоративная стратегия является общим планом утг
ния для диверсифицированной компании. Корпоративна
тегия распространяется на всю компанию, охватывая
правления деятельности, которыми она занимается. О*
тоит из действий, предпринимаемых для утверждения,
позиций в различных отраслях промышленности, и по,
используемых для управления делами компании. Корпо*;
ная стратегия создается руководителями высшего звек
г
несут основную ответственность за анализ сообщений и
мендаций, поступающих от руководителей более низкого
управления.
Деловая стратегия концентрируется на действиях и
дах, которые связаны с управлением, направленным на
чение успешной деятельности в одной специфической
бизнеса. Сущность деловой стратегии состоит в том, чтоб
казать, как завоевать сильные долгосрочные конкуре*
зиции. Деловая стратегия нацелена на установление и
ние долгосрочной конкурентоспособной позиции компа
рынке.
Функциональная стратегия относится к плану управ
текущей и основной деятельностью подразделения (I
производство, маркетинг, финансы, кадры и т.д.). Корпо;
необходимо иметь столько функциональных стратегий, с~
ко у нее основных направлений деятельности. Функции
ная стратегия, хотя и является более узкой по сравн"
деловой стратегией, конкретизирует отдельные детали в
плане развития компании на основе определения пода
необходимых действий и практических шагов по обеспе
управления отдельными подразделениями или функциями
неса. Основная ответственность за формирование фу
нальной стратегии обычно возлагается на руководителей
разделений.
Операционные стратегии определяют, как управлять
выми организационными звеньями (заводами, отделам®
даж, центрами распределения), а также как обеспечить
нение стратегически важных оперативных задач (по
материалов, ремонт, рекламные кампании и т.д.) Основ*
ветственность за разработку операционных стратегий ло
на руководителей среднего звена, предложения которых
ны быть рассмотрены и приняты вышестоящим руково
Несмотря на то что операционная стратегия является основа­
нием пирамиды разработки стратегии корпорации, ее важность
1
не должна быть принижена .
На рис. 1.12 показана взаимосвязь стратегий четырех уже
рассмотренных организационных уровней управления диверси­
фицированной компании.
к
д
Ф
Ф
Ф
Рис 1.12. С т р а т е г и ч е с к а я п и р а м и д а 2 :
К _ корпоративная с т р а т е г и я ; Д - д е л о в ы е с т р а т е г и и ; Ф - ф у н к ц и о н а л ь н ы е а р а К - корпор
_ о п е р а ц и о н н ы е стратегии
Q
Поток данных о направлениях развития корпорации должен
вдги от высшего уровня к хозяйственным подразделениям и от
«их — на функциональный и операционный уровни. Соответ­
ствие между деловой стратегией и функциональной и операци­
онной стратегиями наступает при переходе от организационното взаимодействия к целям.
Содержание стратегических действий, соответствующих каж­
дому из перечисленных ранее уровней разработки стратегии,
иллюстрировано в табл. 1.8.
^
'См.: Томпсон А.А., Стрикленд А.Дж. Стратегический менеджмент. Ис-
«усство разработки и реализации стратегии. — С. 74—84.
2
Построено по: Томпсон А.А., Стрикленд А.Дж. Стратегический ме­
неджмент. Искусство разработки и реализации стратегии. — С. 72—73.
6i

31.

ЧАСТЬ I. Стратегический менеджмент: бакала вриат
М о д у л ь 2. Корпоративное стратегическое управление
1
Иерархия уровней разработки стратегии
Тай
Уровень
стратегии
Лица, принимающие
решения
Корпоративная
стратегия
Управляющие выс­
шего ранга, другие
ключевые менедже­
ры (решения обыч­
но принимаются
советом директоров)
1. Создание высокопрод., «и
хозяйственного портфеля СЦ
турных подразделений корпв
(приобретение компаний, ук
ние существующих деловых
ций, прекращение деятельно^
не соответствующей управлей
ким планам) и управление
2. Достижение синергизма ц
родственных структурных по,
делений и превращение его'
курентное преимущество.
3. Установление инвестицион
приоритетов и направление I
ративных ресурсов в наиболе
влекательные сферы деятельй
Деловая стра­
тегия
Генеральные дирек­
тора / руководители
подразделений (ре­
шения обычно при­
нимаются корпора­
тивным руковод­
ством или советом
директоров)
1. Разработка мер, направлен
на усиление конкурентоспс
та и сохранение конкуреи
преимуществ.
<j
2. Формирование механизма]
гирования на внешние изме*
3. Объединение стратегическ
действий основных функ
ных подразделений.
4. Усилия по решению спец
ческих вопросов и проблем :
НИИ
Функциональ­
ная стратегия
Руководители сред­
него звена (реше­
ния принимаются
главой подразделе­
ния)
1. Действия по поддержке дел
стратегии и достижению целв
подразделения.
2. Обзор, пересмотр и объед»
ние предложений менеджеро!
1
местах
Операционная
стратегия
Руководители на
местах (решения
принимаются руко­
водителями функ­
циональных служб
и других отделов)
Действия по решению узко™
альных вопросов и проблем,,
занных с достижением целей!
разделения
1
Там же. С. 7 3 — 7 4 .
Ф
ТЕМА 5
Корпоративная социальная ответственность
в стратегическом управлении
Мероприятия, характера
для каждого уровня страт
5.1. Сущность корпоративной
социальной ответственности
-i
£тюследние несколько лет научная и практическая дискусв России о корпоративной социальной ответственности
flCCO) становится одной из первых среди прочих дебатируемых
общественных тематик. Каков ранг этого явления в структуре
драдагии организаций?
1
Корпоративная социальная ответственность — одно из на­
иболее противоречивых явлений в современном бизнес-сообцдове. Социальная ответственность хозяйствующих субъекЧ^В, характерная для предприятий советского периода, прояв­
ляется в большей степени в монопоселках и малых городах
России — на градообразующих предприятиях. Передав в про­
цессе приватизации в основном в муниципальную собствен­
ность социальную инфраструктуру, предприятия смогли сни­
зить себестоимость продукции и тем самым повысить конку­
рентоспособность, необходимую в бушующем море рыночной
экономики. Они перестали выдавать своим работникам бесшитные путевки в дома отдыха, оплачивать безвозмездные ме­
дицинские и прочие услуги.
В, настоящее же время возвращается внимание к КСО хо­
зяйствующих субъектов как перед своими работниками, так и
реред обществом в целом. И вызвано оно не только возросшим
за^последние годы уровнем этического контроля общества над
бизнесом и пониманием самим бизнесом того факта, что здо­
ровье работников определяет эффективность его деятельности,
нр и тем, что социальная ориентация ведет к росту репутации
(рзнеса и тем самым повышает его инвестиционную привлека­
тельность. Кроме того, социальная ориентация в части сохра­
нения биосферы планеты и рационального использования ее
минеральных ресурсов повышает лояльное отношение к бизне­
с е » стороны власти и общества.
1
Corporate Social Responsibility — CSR.
62
63

32.

М о д у л ь 2. К о р п о р а т и в н о е стратегическое управление
Ф Ч А С Т Ь I. Стратегический м е н е д ж м е н т : бакалавриат
В силу того, что КСО фактически становится системой уп­
равления и минимизации нефинансовых рисков, ее можно рас­
сматривать как часть корпоративной стратегии устойчивого
развития бизнеса.
Следует заметить, что деятельность бизнеса по КСО носит
сугубо добровольный характер и основывается на понимании
того, что быть социально ответственными в современном мире
необходимо, а главное, выгодно: растет капитализация, укреп­
ляются устойчивость и привлекательность бизнеса. Выгоды от
реализации КСО представлены на рис. 1.13. Естественно, что:
максимальную пользу из КСО бизнес может извлечь, когда о"
его социальных инициативах говорят и пишут.
Повышение
инвестиционной
привлекательности
Укрепление сплоченности
трудового коллектива
Расширение
возможностей
привлечения,
мотивации и
вознаграждения
сотрудников
(
Рост о б ъ е м о в п р о д а ж
Выгоды
Укрепление позиций
бренда
)
Сокращение
производственных затрат
Закрепление
позитивной репутации
компании
Рост к а п и т а л и з а ц и и
Рис. 1.13. Выгоды р е а л и з а ц и и КСО
Необходимым для российского бизнеса становится и интег­
рация в мировое экономическое пространство, которое уже
имеет правила и стандарты отчетности бизнеса, содержащие, в
1
том числе, показатели . Эти показатели унифицированы и по­
нятны всему развитому миру бизнеса.
Политическая компонента КСО состоит в реализации ожи­
дания властей в части решения некоторых социальных проблем"
как с помощью прямых инвестиций бизнес-сообщества, так и
косвенно, в виде добровольной работы сотрудников или бес­
платного предоставления товаров или услуг.
1
Например, международный стандарт Глобальной инициативы по
отчетности в области устойчивого развития (Global Reporting Initiative —
GRI).
64
ф
В то же время наблюдается разночтение в основных катего­
риях КСО.
Понятие КСО прошло становление в 60-х гг. XX в. и про­
чно вросло в корпоративное управление в США и Канаде, ох­
ватывая в основном вопросы корпоративной филантропии, со­
циального обеспечения собственного персонала, а также
оказания помощи местным органам власти на профессиональ­
ной и спонсорской основе, что переплеталось с функциями
корпораций по связям с общественностью (PR).
Но при объединении ресурсов государства и бизнеса для
решения отдельных социальных и экологических проблем не
должны смешиваться, а тем более перекладываться друг на дру­
га отчетность и законодательная ответственность бизнеса и
власти.
Законодательно во многих европейских странах закреплены
как обязательное медицинское страхование и пенсионное регу­
лирование, так и природоохранная деятельность бизнеса.
В то же время в США и Канаде выработаны механизмы учас­
тия бизнеса в социальной поддержке общества через корпора­
тивные фонды, нацеленные на решение социальных проблем за
1
счет бизнеса . При этом такое поведение и благотворительность
бизнеса поощряются соответствующими налоговыми льготами и
зачетами, закрепленными на законодательном уровне.
В Европе, правда, благотворительность не так популярна,
как в США, что объясняется более существенным налоговым
бременем.
Но если американская модель рассматривает в качестве це­
лей КСО прибыльность и ответственность перед акционерами,
то европейская относит к КСО дополнительно вопросы ответст­
венности перед работниками и местными сообществами.
Два основных подхода к КСО представлены на рис. 1.14 и
показывают, что на этапе становления КСО как системы пре­
обладал подход, в основе которого лежали обращения к бизне­
су с просьбами о помощи как от работников или некоммерчес­
ких организаций, так и от органов власти, или давление
профсоюзов и общества в целом как в части условий труда, так
и в части экологии.
1
Например, спонсирование профессионального образования, пенсион­
ных и страховых сфер для персонала.
3 Стратегический менеджмент
65

33.

Ф Ч А С Т Ь I. Стратегический м е н е д ж м е н т : бакалавриат
М о д у л ь 2. К о р п о р а т и в н о е стратегическое у п р а в л е н и е
ф
КСО
Упрощенный
Комплексный
• Работа по о б р а щ е н и я м
• О т в е т на п р о с ь б ы в л а с т е й
• Требования профсоюзов
• С о ц и а л ь н ы е п р о е к т ы по
развитию персонала
• Благотворительность
• Философия развития
• Корпоративная а, .
• Э к о н о м и ч е с к а я пол1>
• Кадровая политика
• Экологическая полит
• Социальная политика
Рис. 1.14. Д в а п о д х о д а к К С О
При комплексном же подходе, который стал преобл^
последнее десятилетие, речь идет о формировании страте
кой модели достижения поставленных целей на основе
лексной увязки и бизнеса, и экологии, и социальной по.
через разработку корпоративной стратегии и ее после,
декомпозицию до уровня проектов, программ и меропр
5.2. Направленность и уровни КСО
После 2000 г. в Европе понятие КСО ассоциируется^
теграцией заботы о социальном и экологическом разв»Ц
бизнес-операциях компаний во взаимодействии со своими
ционерами и внешней средой. Эта концепция реализуй!
результате формирования и укрепления деловой репута
проведения реструктуризации; рационального исполъзся
природных ресурсов; управления развитием персонала им
печения его здоровья, безопасности и охраны труда, а Щ
соблюдения прав человека; взаимодействия с местными J
нами власти, государственными структурами и обществе!,
организациями для решения общих социальных проблеме
альных аспектов взаимодействия с поставщиками, покуп;
ми и PR-обеспечения перечисленных направлений.
%
Результаты выборочного обследования менеджеров р<йГ
ских предприятий свидетельствуют о том, что в осн^
финансируются внутренние программы и в меньшей ст
внешние (рис. 1.15).
f
66
Рис. 1.15. Н а п р а в л е н и я социальных инвестиций
Направленность социальной ответственности (рис. 1.16) мозвет быть представлена ориентацией на позитивное взаимодей­
ствие с внешней средой и на улучшение ситуации внутри корпорации. Внешнее взаимодействие обеспечивает рост внешней
эффективности, а внутреннее — повышение эффективности
внутренних бизнес-процессов как за счет роста квалификации
работников, так и за счет повышения мотивации к реализации
этой квалификации в процессе функционирования корпора­
ции.
1
Обследование, проведенное Ассоциацией менеджеров в
2ЙМ г., показало, что в представлениях российских менеджеров
I населения КСО бизнес — это:
v • выпуск качественной продукции (47,5% опрошенных ме­
неджеров и 46% населения);
• соблюдение законов (35 и 35,5% соответственно);
• уплата налогов (29,5 и 30,4%);
•^•"См. Корпоративная социальная ответственность: общественные ожи­
в и м , потребители, менеджеры, С М И и чиновники оценивают социаль­
н а » роль бизнеса в России. — М.: Ассоциация менеджеров, 2004.
67

34.

М о д у л ь 2. К о р п о р а т и в н о е стратегическое управление
ф Ч А С Т Ь I. Стратегический м е н е д ж м е н т : бакалавриат
ф
КСО
Внутренняя
Внешняя
• Безопасность труда и
стабильность заработной
платы
Поддержание социально
значимой заработной
платы р а б о т н и к о в
Дополнительное
медицинское и социальное
страхование сотрудников
Развитие человеческих
ресурсов через обучающие
ресурсы
Оказание помощи
работникам в критических
ситуациях
Рис.
i.i6.
Направленность
• Спонсорство и корпор
благотворительность
• Содействие охране
о к р у ж а ю щ е й среды
• В з а и м о д е й с т в и е с ме
сообществом и местной!
властью
• О т в е т с т в е н н о с т ь за выл
качественных товаров
• Готовность у ч а с т в о в а т ь j
кризисных ситуациях
социальной
Средний уровень п р е д п о л а г а е т о б е с п е ч е н и е
работников адекватными условиями не только
работы, но и ж и з н и : повышение уровня
квалификации, профилактическое медицинское
обслуживание, строительство жилья, развитие
с о ц и а л ь н о й сферы
Базовый уровень п р е д п о л а г а е т
с в о е в р е м е н н у ю уплату налогов, выплату
з а р а б о т н о й платы, п о в о з м о ж н о с т и
п р е д о с т а в л е н и е новых р а б о ч и х мест
ответственности
• охрана окружающей среды (31,5 и 30%);
• улучшение условий труда (33,5 и 22,5%);
• выплата высоких зарплат (11,5 и 19,1%);
• вложение денег в производство (19 и 14,8%);
• помощь бедным (2,5 и 10,5%);
• помощь регионам в решении социальных вопросов
10,4%);
/;
• поддержка образования (3 и 9,3%);
• честность, прозрачность отчетности (13,3 и 8,7%).
Как видим, в представлениях менеджеров и на
КСО отождествляется в основном с корпоративной -г_
внутренней социальной политикой. Для менеджеров бшй!
ными представляются улучшение условий труда и влоа
развитие производства, для населения — зарплата.
Можно говорить о том, что КСО, во-первых, пе
быть в России экзотическим явлением, а во-вторых, все!
ше она ассоциируется только с благотворительностью 1|
лантропией.
Если рассмотреть уровни социальной ответствен
бизнеса, то можно выстроить пирамиду (рис. 1.17), в
нии которой будет находиться ответственность в ра»
68
высший уровень ответственности предполагает
благотворительную деятельность
Рис. 1.17. У р о в н и с о ц и а л ь н о й о т в е т с т в е н н о с т и б и з н е с а
ствующего законодательства, чуть выше — забота о работни­
ках корпорации, представляющих собой главный ресурс,
трансформирующий все остальные виды ресурсов (финансо­
вые, информационные, материальные, энергетические) в го­
товую продукцию или услуги. На верхнем уровне пирамиды
возвышается благотворительная деятельность в отношении
Всего сообщества.
Рассмотрим различные определения КСО, сведенные в
§абл. 1.9, из которой следует, что не существует единого общекирового определения КСО. Однако все представленные под­
ходы едины в одном: КСО — это ответственность компании
Шред всеми людьми и организациями, с которыми она сталки­
вается в процессе деятельности, и перед обществом в целом.
Ще объединения предпринимателей и исследователи включают
Ъ это понятие ответственность компании во взаимоотношениях
&Й8ртнерами, потребителями, работниками компании, ответс­
твенность компании перед обществом в целом и ответствентеть экологического характера.

35.

$ Ч А С Т Ь I. Стратегический менеджмент: бакала вриат
Определения КСО
Источник информации
Филип Котлер
и Нэнси Ли
М о д у л ь г. Корпоративное стратегическое управление
Та
Корпоративная социальная ответственность
...свободный выбор компании в пользу п
ния уровня благосостояния местного сое
ва с помощью соответствующих подходов;
дению бизнеса и предоставления корпоных ресурсов
Бизнес для социальной
ответственности
...достижение коммерческого успеха „ у1
торые ценят этические принципы и уваж
людей, сообщество и окружающую среду,
Международный форум
бизнесс-лидеров
...продвижение практик ответственного
которые приносят пользу бизнесу и общ
способствуют социальному, экономически"
экологически устойчивому развитию пут*
симизации позитивного влияния бизнеса
щество и минимизации негативной на
окружающую среду
Мировой совет бизнеса
для устойчивого разви­
тия
...обязательство бизнеса вносить вклад в"
чивое экономическое развитие, в трудо
ношения с работниками, их семьями, ме
сообществом и обществом в целом для
ния их качества жизни
Центр системных
бизнес-технологий
«SATIO»
Объединение корпора­
ций США
Всемирный бизнес-кон­
гресс за устойчивое
развитие
Green paper Европей­
ского союза
70
...добровольный вклад бизнеса в р а з в и т и е
ства в социальной, экономической и э
ческой сферах, связанный напрямую с
ной деятельностью компании и выхо.
рамки определенного законом минимума
достижение коммерческого успеха
торые основаны на этических нормах и"'
нии к людям, сообществу, окружающей
..постоянная приверженность бизнеса к
нию дела на основах этики и внесению ь
вклада в экономическое развитие, в то Л
мя улучшая качество жизни своих раб
их семей как и общества в целом
.концепция, в рамках которой компания
добровольной основе интегрируют со
и экологическую политику в бизнес-опе
их взаимоотношения со всем кругом с
с компанией организаций и людей
ф
гиалисты в этой области выделяют шесть основных ви(
'' 2шиально ответственных альтернатив.
^Пппдвижение корпоративной благотворительности — предо'
inie финансовых и прочих ресурсов компании для присгавЯ
®
внимания общественности к конкретной социальной
^^^отворительный маркетинг — компания обязуется вы­
пивать определенную часть объемов продаж либо отдельных
ф р а к ц и й в пользу избранного доброго дела.
^Корпоративный социальный маркетинг — компания поддер­
живает разработку и проведение акций, направленных на изме­
нение поведения четко определенной группы людей для улучцдада общественного здоровья или повышения уровня
безопасности, защиты окружающей среды.
Корпоративная филантропия — компания делает пожертво­
вания непосредственно благотворительной организации, чаще
вой» в виде грантов, подарков и товаров (услуг). Отсутствие
Стратегического подхода значительно умаляет эффект корпора­
тивной филантропии, так как в глазах общественности пожерт­
вования на не связанные с деятельностью компании нужды
^jcro истолковываются как PR-ходы либо, еще хуже — вывод
вди «отмывание» денег.
L Волонтерская работа — поддержка и стимулирование ком­
панией добровольной и бесплатной помощи сотрудников местщцм организациям в форме выполнения различных работ или
Оказания услуг.
[ Социально ответственный подход к ведению бизнеса — со­
циальная ответственность полностью интегрирована в систему
Принятия компанией стратегических решений. Компания инаде$фует средства, нанимает сотрудников, потребляет ресурсы
а>авдет бизнес, основываясь на ответственном подходе к окру^акмпей среде, на деловой этике и отношениях в коллективе и
партнерами.
Социальная ответственность приносит больше пользы обу и самой компании, если направление социально ответнной работы логично «вписывается» в стратегию компании,
компания готова выделять ресурсы на социально ответработу и если компания знает, как эффективно сообобществу о своих достижениях на этом поприще.
. И поскольку в систему КСО вовлечены все внутренние проабесы бизнеса, можно говорить о том, что эта система должна
71

36.

М о д у л ь 2. Корпоративное стратегическое управление
• Ч А С Т Ь I. Стратегический менеджмент: бакалавриат
быть частью корпоративной стратегии. Привлекая к се!
мание со стороны внутренней и внешней среды, компая
шают важную задачу повышения ее стоимости в стратеги
перспективе.
5.3. Преимущества использования КСО
*
Преимущества использования подходов КСО (таб$
обусловлены повышением эффективности взаимодейй!
внешней средой и синергией внутреннего потенциала к<3|
ции, что проявляются, с одной стороны, в лояльности 1
тов, доверии партнеров и инвесторов, а с другой — в ра^
лизации бизнес-процессов, деловой активности и раз
интеллектуального капитала корпорации.
$
Преимущества использования КСО
Характеристика
Табд%
%
Содержание эффекта • п
Формирование имиджа и закрепле­
ние репутации
Сохраняет клиентскую базу и|
личивает темпы роста прибьи
ти компании
^
Повышение качества работ (услуг)
и внедрение технических новшеств
Повышает лояльность клиент)
Информирование о благонадежнос­
ти и ответственности компании
Увеличивает доверие партнер!
лояльность персонала
J
Информационная прозрачность
Облегчает доступ к кредитный
сурсам
J|
Выполнение требований в области
корпоративного управления (систе­
ма сдержек и противовесов)
Облегчает доступ к капиталу^
чивает размеры инвестировав]
сокращает затраты на привлеЯ
капитала за счет снижения g j |
Модернизация систем управления
и внедрение внутреннего контроля
за использованием ресурсов и ре­
зультатами работ
Упорядочивает бизнес-процЯ
обеспечивает рост операциоЯ
эффективности (рост надсМЯ
процедур)
,Ц§
Проведение социально-экологичес­
кого аудита и корректировка на его
основе бизнес-процессов
Снижает риски и ведет к рощ
ловой активности
Диалог с заинтересованными сторона­
ми и своевременное решение проблем
-*щ
Развивает и сохраняет интелШ
альный капитал

Регулярные социальные отчеты и
прозрачность бизнеса
72
Определяют адекватную оцеяД
стоимости бизнеса
а!
ф
оИ проблемой анализа КСО в России является пробле-
1»модействия бизнеса, власти и общества при разработке
*** vnaaawm социальных программ бизнеса, в основе которых
152гаедуюшие принципы:
м
^ д е л а т ь то, что говоришь (тем самым демонстрируя уваже­
ния" к потребителю); не преувеличивать достоинства товаров
«да услуг в рекламе;
^•предлагать специальные этически чистые продукты или
усяугя (например, товары, изготовленные без применения детевоготруда);
»; демонстрировать озабоченность состоянием окружающей
ддддц и осуществлять производство «зеленых» продуктов (производстао электроэнергии за счет использования метана, получен­
ного в результате процессов брожения органических отходов);
г ( - • осуществлять маркетинг «добрых дел» (например, предодовлять свою экспертизу и навыки своих сотрудников для поМввтя благотворительным организациям);
•iv • производить вторичное использование выпускаемых това• создавать структуры, соответствующие этическим принциййичсак в самой корпорации, так и в числе поставщиков и парт­
неров.
Я*
-ris
е ш- 5.4. Принципы взаимодействия с внешней средой
4>ь Приоритеты в сфере КСО определяются для каждой корпо$щии индивидуально — в зависимости от стратегических целей
Цввития корпорации в целом. Например, МДМ-банк на своем
вейте разместил информацию о таких приоритетах на период
1
36*8-2012 гг.
Так, в качестве критерия формирования четырех приоритет­
ных групп выступила потребность в активизации взаимодей­
ствия со стейкхолдерами:
j 1) с обществом в целом — в части повышения информаци­
онной прозрачности для всех групп заинтересованных лиц;
| 2) с клиентами и контрагентами — в части этических при(нципов ведения бизнеса, качества обслуживания и доступа к
^продуктам и услугам банка;
X
1
См. http://www.mdmbank.ru/about/CSR.

37.

М о д у л ь 2. К о р п о р а т и в н о е стратегическое управление
ф Ч А С Т Ь I. Стратегический м е н е д ж м е н т : бакалавриат
3) с персоналом — в поддержании командного
шении привлекательности банка как работодателя и
ления возможностей карьерного роста всем сотрудник
4) с сообществами в регионах — как в проведен»
труктивного диалога и ответственного финансирован*
в спонсорской и благотворительной деятельности.
Активное взаимодействие с внешней средой и ори
на долгосрочную перспективу позволяют рассматриват
качестве функциональной стратегии корпорации. Одна
тывая, что КСО, пронизывая основные бизнес-проце
порации, представляет собой многофункциональную
скорее, следует считать стратегически значимой про
действий, сформированной в рамках общей стратегии.
В России происходит постепенный переход от с
патерналистской модели социальной политики к р у т
низаций, через «дикий» капитализм периода разгосул
ния и приватизации к более цивилизованным отног
Переход этот осуществляется методом проб и ошибок^
тании с попытками адаптировать опыт развитых стран
КСО.
Указанное обстоятельство порождает дискуссию о
содержании КСО, а также формирует потребность в
тизации накопившегося знаний и опыта, опыта «хао^
зачастую «принудительной» благотворительности, опь
трализации ошибок государства и частичного его заме
решении социальных проблем развития России.
Кроме того, КСО не является абсолютно новой для.'"
ского бизнеса, поскольку градообразующие предпр
советское время создавали и поддерживали социаль
и соответствующую инфраструктуру. Работники пол
тевки в дома отдыха, пользовались поликлиниками пр
приятиях, имели продолжительные оплачиваемые отпу
Контрольные вопросы и задания по модулю 2
Тема 4
1. Что следует называть о с н о в н ы м и ц е л я м и ф о р м и р о в а н и я
раций?
2 . П е р е ч и с л и т е о с н о в н ы е виды т р а н с ф о р м а ц и й к о р п о р а ц и й .
74
цто представляет с о б о й п о г л о щ е н и е к о р п о р а ц и й ?
4 Что следует понимать п о д с л и я н и е м к о р п о р а ц и й ?
5 Назовите основные виды с л и я н и й к о р п о р а ц и й .
6. Изложите о с н о в н о е с о д е р ж а н и е с и н е р г и ч е с к о й т е о р и и с л и я н и й .
j Чем отличается д е л о в а я
стратегия
от к о р п о р а т и в н о й ?
8. Что с о б о й представляют функциональные стратегии?
^^Какова иерархия уровней разработки стратегии?
ю . К а к представлены л и ц а , п р и н и м а ю щ и е р е ш е н и я , н а и е р а р х и ч е с ­
ких уровнях р а з р а б о т к и стратегии?
Тема 5
1 . Что, п о в а ш е м у м н е н и ю , с т о и т з а а б б р е в и а т у р о й КСО?
2. В чем состоят выгоды р е а л и з а ц и и КСО?
3. Назовите два подхода к КСО?
4. Каковы н а п р а в л е н и я с о ц и а л ь н ы х и н в е с т и ц и й с о в р е м е н н о г о б и з ­
неса?
5. К а к о в а н а п р а в л е н н о с т ь с о ц и а л ь н ы х и н в е с т и ц и й ?
6. Что о б е с п е ч и в а е т рост к а п и т а л и з а ц и и б и з н е с а с п о з и ц и й КСО?
у
j . Дайте о п р е д е л е н и е к о р п о р а т и в н о й с о ц и а л ь н о й ответственности,
j y , 8. В чем з а к л ю ч а е т с я п р е и м у щ е с т в о и с п о л ь з о в а н и я КСО?
9. Каковы п р и н ц и п ы КСО в части в з а и м о д е й с т в и я с в н е ш н е й с р е ­
дой?
ю. В чем состоит с о ц и а л ь н а я ответственность б и з н е с а ?

38.

М о д у л ь з. Ф о р м и р о в а н и е стратегии о р г а н и з а ц и и
ф
• стратегия дифференциации;
• стратегия фокусирования на издержках;
• фокусирование на дифференциации.
. По Портеру, организация должна решить, следует ли ей
вшускать уникальную продукцию и продавать ее по завышен­
ной, дене или ей надлежит снижать затраты ниже уровня затрат
^дгурентов и таким образом добиваться конкурентных пре­
имуществ.
МОДУЛЬ з
ФОРМИРОВАНИЕ
СТРАТЕГИИ ОРГАНИЗАЦ1
Низкие
- У. Ь ': '
затраты
Дифференциация
о
кг.; <
НОЛ
О2
Q CD
•II
з
£ аS
Стратегия лидерства
по издержкам
Стратегия дифференциации
Стратегия фокусирования
на издержках
Фокусирование
на дифференциации
||
ТЕМА 6
Э со
•i'i i
Э т а л о н н ы е стратеги о р г а н и з а ц и й
4
I
6.1. Типология стратегий по Портеру
М. Портер в начале 80-х гг. XX в. выдвинул идеи ч
тельно конкурентных стратегий, выведенных из некото|
зовьгх постулатов. В книге «Стратегия конкуренции» «
ставил три вида общих стратегий, направленных на повь
конкурентоспособности: лидерство в снижении издержу
держание издержек на более низком уровне, чем у коь
тов); дифференциация (производство уникальной проду^
фокусирование (сосредоточение на определенной группе^
пателей).
Портер предложил типологизировать конкурентные
гии, основываясь, с одной стороны, на масштабе рын
рокий, узкий) и, с другой — на направлении приложе»
лий организации либо на минимизацию издержек, ли
выпуск уникальной продукции (придание товару спещЦ
ких черт), что позволяет устанавливать более высокие'
Комбинации перечисленных предпочтений позволяют
лить четыре типа стратегий (рис. 1.18):
• стратегия лидерства по издержкам (поддержание из
на более низком уровне, чем у конкурентов);
76

1=
•a s
its 1
т .
Рис. i.i8. С х е м а г е н е р и ч е с к о й ( р о д о в о й ) с т р а т е г и и
доДСонцепция общих (эталонных) стратегий Портера имеет
до недостатков. Так, у концепций дифференциации и лидерпо издержкам много общего: при дифференциации нужно
jlUperrb о себестоимости, а при снижении затрат нельзя забы1J9& о стандартах качества. А лидерство по издержкам не всег-ЩМЧйшосит больше выгод, чем второе, или, скажем, третье
Шито в отрасли.
< Кроме того, возникают трудности из-за противоречивости
требований к организации деятельности, которую подразумевакаждая из стратегий.
SfeiJH непонятно, почему надо выбирать только одну из страте1W,-в то время как лучшее решение может дать сочетание не•ййъких из них.
77

39.

М о д у л ь 3 . Ф о р м и р о в а н и е стратегии о р г а н и з а ц и и
Ч А С Т Ь I. Стратегический м е н е д ж м е н т : бакалавриат
6.2. Типология стратегий
по Томпсону и Стрикленду
Стратег»! роста
Спустя десятилетие А.А. Томпсон и А.Дж. Crpmorei
дожили несколько иную модель классификации подобн
тегий — пять вариантов подходов к стратегии конкуреь
• стратегия лидерства по издержкам (снижение из
что привлекает большое количество покупателей);
• стратегия широкой дифференциации (придание i
специфических черт, что привлекает большое число по|
лей);
• стратегия оптимальных издержек (большая ценно
покупателей за счет сочетания низких издержек при
дифференциации);
• сфокусированная стратегия, или стратегия рь
ниши, основанная на низких издержках (низкие издера
кий сегмент покупателей);
• сфокусированная стратегия, или стратегия рьш
ниши, основанная на дифференциации продукции (й
удовлетворение требований клиентов из выбранного сег
6.3. Стратегии развития бизнеса по Котлеру
Помимо общих стратегий, направленных на повв
конкурентоспособности, существуют классификации <
определяющие изменение их масштабов. Например,
роста бизнеса по Котлеру (рис. 1.19):
• стратегия концентрированного роста: усиления
на рынке (рост за счет победы над конкурентами);
рынка (вслед за освоением рынка областного центра,
вляется освоение рынка малых городов и поселков); v
продукта, когда, например, вслед за выпуском йогурта,
зация начинает выпускать йогурт с малиной, йогурт с ч«
и т.д., что позволяет удовлетворять в большей степе»
потребителей и тем самым обеспечивать рост бизнеса;
• стратегия интегрированного роста: «обратной вер
ной интеграции» и «вперед идущей» вертикальной т
В первом случае организация приобретает долю в j
поставщика, чтобы и в его бизнесе навести порядок,
вающий снижение издержек, рост качества и объема
78
Концентри­
рованного
Интегри­
рованного
Гусиления позиции
' нарынке
- обратной
вертикальной
интеграции
Отрицательного
(сокращения)
- центрированной
диверсификации
- ликвидации
- вперед идущей - горизонтальной
диверсификации
вертикальной
интеграции
^развития рынка
iLI
"
г развития продукта
fcb;
Диверсифици­
рованного
- конгломеративной
диверсификации
- сбора урожая
- сокращения
расходов
•г
*Dd

Рис. 1.19. Сочетание стратегий роста
'юшускаемой продукции и т.п. Инвестиции обеспечивают при­
врет бизнеса как за счет деятельности поставщика, так и за счет
^появления новых конкурентных преимуществ у продукции саРРЙ организации в силу отмеченных улучшений поставок. Во
случае интеграция с оптовыми покупателями или создаj y o собственной дилерской сети позволяет обеспечивать рост
•''.дцр за счет объемов дополнительного вида деятельности, так и
авусчет повышения чувствительности к изменениям ситуации на
цуцке товаров самой организации;
и ч<» стратегия диверсифицированного роста: центрированной
здяурсификапии (как расширение номенклатуры выпускаемой
щюдукции, например, автомобилей); горизонтальной диверсиjtacanmi (как частичный переход в смежную с основным видом
деятельности отрасль: например, выпуская автомобили, осваи^вем выпуск химической промышленности — моющих средств
[ автомобилей); конгломеративной диверсификации, когда
одевая компетентность позволяет на ее базе организовать выс продукции различных отраслей (например, компетенции в
рзводстве микропроцессоров позволяют выпускать швейные
холодильники, автомобили и другие технически
ожные в управлении изделия);
• стратегия сокращения: ликвидации в случае банкротства
ь ^ — . состояния близкого к банкротству; сбора урожая, когда
•j. Йвфодается «раскрученный» бизнес для инвестирования выру^^•нкых средств в быстрорастущий сегмент рынка; сокращения
сходов (например, в период экономического спада).
79

40.

ф
Ч А С Т Ь I. Стратегический м е н е д ж м е н т : б а к а л а в р и а т
М о д у л ь 3. Ф о р м и р о в а н и е стратегии о р г а н и з а ц и и
Иную классификацию стратегий предлагают авторы к
1
тивной монографии «Стратегическое планирование» :
стратегия стабильности — сосредоточение на сущее
направлениях бизнеса и поддержка их;
стратегия роста — увеличение организации, час
проникновение и захват новых рынков (разновидностя
тегии роста являются вертикальная и горизонтальная
ция; последняя, в частности, проявляется через погл
слияние, присоединение и создание совместных орган
стратегия сокращения применяется в тех случаях, к
живание организации находится под угрозой (разнови ,
отмеченной стратегии являются: стратегия разворота
от неэффективного использования ресурсов и поиск:
стратегии; стратегия отделения — продажа структурно
разделения или выделение его в самостоятельную орга;
стратегия ликвидации — распродажа активов).
6.4. Типология, основанная
на компетентном/ресурсном подходе
Самое удачное определение стержневой компетен
К. Прахаладом и Г. Хэмелом: стержневые компетенции
ются коллективным знанием организации, направле
координирование разнотипных производственных на
связывание воедино множественных технологических ti
Стержневая компетенция должна:
• обеспечивать компании возможность проникнуть *
нок и успешно конкурировать на нескольких рынках;
• повысить значимость продукта в глазах покупа"
сравнению с его конкурентным аналогом;
• иметь такие свойства, которые не могут быть вое
дены конкурентами.
Стержневые компетенции и отличительные спос
компании помогают понять, как организация может дос
качества, обеспечивающего ей превосходные резулъта;
ятельности, и определить, где именно компания может I
нять свои компетенции и способности.
1
См.: Стратегическое планирование / Под ред
«ТАНДЕМ», 1998. — С. 329.

ф
6.5. Типология стратегий, основанная
на модели «продукт—рынок» И. Ансоффа
***Одной из самых распространенных моделей анализа других
возможных стратегических направлений является матрица Анвдффа, представленная на рис. 1.20. Эта матрица показывает
потенциальные сферы применения стержневых компетенций и
гомерических (родовых) стратегий. Возможны четыре широкие
^тернативы:
• проникновение на рынок — увеличение рыночной доли на
ф£$цх рынках с помощью существующей продукции;
освоение рынка — внедрение на новые рынки и новые сегДЩы рынка с помощью существующей продукции;
1'\г.'ё*разработка продукта — разработка новой продукции для
^луживания старых рынков;
э»«-^диверсификация — разработка новых продуктов для обслуЛвФгия новых рынков.
Проникновение на рынок. Основной целью этой стратегии
ШЙ&гся увеличение рыночной доли на старых рынках с поШЙъю существующей продукции. Под этим подразумевается
|ЩМботка мер, направленных на усиление существующих
<аЙ0*нёвьгх компетенций или на создание новых. Такие меры
призваны улучшить качество обслуживания или качество проЛ^кга и вместе с этим повысить репутацию компании, выделяя
ПРОДУКТЫ
существующие
ш
-щл
<
:жг
V
Стратегия п р о н и к н о в е н и я
на рынок (увеличение
рыночной доли)
Разработка продукта
(новые или улучшенные
продукты)
Освоение рынка (новые
покупатели, новые
рыночные сегменты или
новые страны для
существующей продукции)
Д и в е р с и ф и к а ц и я (новые
п р о д у к т ы д л я новых
рынков)
'М-
-Ув',
-ЭТ'
Э А Уткина
Рис. 1.20. М а т р и ц а Ансоффа
81

41.

М о д у л ь з. Ф о р м и р о в а н и е стратегии о р г а н и з а ц и и
Ф
Ч А С Т Ь I. Стратегический м е н е д ж м е н т : бакалавриат
ее среди конкурентов. При разработке компетенции
сделать акцент на увеличении производительности,
лучить затраты ниже уровня затрат конкурентов.
Проникновение на зрелые или угасающие рынки
чем на рынки, находящиеся в стадии роста. Если рьщ
ет, компания может рассмотреть возможность выхода е;
переноса ресурсов на более прибыльные рынки.
Если на рынках компании наблюдаются признаки,,
ния, она может изучить возможности новых направ
своего развития.
Освоение рынка связано со вступлением на новы
или новые сегменты старых рынков с использование
вующей продукции. Основой вхождения на новые р
ется усиление существующих компетенций, а также
новых компетенций. Чтобы проникнуть на новые сег
шествующих рынков, иногда необходимо разработа
компетенции, которые будут обслуживать специфич
просы покупателей этих сегментов.
Интернационализация и глобализация — яркий*
того, как можно разрабатывать уже существующие рьв
никая на международные рынки, компания должна
новые компетенции, чтобы успешно справляться с я
и культурными проблемами, вопросами сбыта и т.п.
Основной риск, связанный с освоением нового р
ключается в том, что у компании может не хватить п~
опыта деятельности на новых рынках.
Разработка продукта означает создание новых това
существующих рынков. Цели данного направления,
дыдущих, — привлечь новых покупателей, сохранить
клиентов и увеличить рыночную долю. Разработка ног
дукта может происходить на базе имеющихся компете
потребовать создания новых (таких, которые могут по
ся для научных исследований).
Разработка продукта имеет свои преимущества,
компании уже есть опыт работы с покупателями на
ющем рынке. Сегодня, когда жизнь продукта очень
возможности его развития становятся важной сторон
гического направления многих организаций.
Диверсификация — это развитие компании с помо
вой продукции и новых рынков. В условиях, когда
ные рынки быстро насыщаются, а жизненный цикл
82
ф
^ыильяеяся крайне коротким отрезком времени, диверсифика^^тяяется неплохой альтернативой. Она может привести к
IJSJmn синергизма и способствовать распределению риска за
^ ^ е л и ч е н и я портфеля продуктов и рынков.
6.6. Анализ «GAP»
ку:Методы анализа «GAP» разработаны в Стэнфордском ис­
следовательском институте в Калифорнии. Они позволяют
дввреясхвом формирования стратегии привести дела компа­
ния в соответствие с наиболее высоким уровнем притязаний
^t#fflara (этапы) анализа, представленные далее, характерны
дня корпораций, состоящих из подразделений (зависимых орл
" и создающих бизнес-портфель — набор определенных видов деятельности и товаров:
-№d) предварительное формулирование целей деятельности на
доя- год, три года, пять лет;
2) прогноз динамики нормы прибыли в увязке с установ­
ленными целями для существующих подразделений;
3) установление разрыва между целями и прогнозами;
>
2005
2006
2007
2008
2011
Желаемый
результат
Период
Рис. 1.21. Р а з р ы в м е ж д у т е н д е н ц и е й и ц е л ь ю ( п р и м е р )
83

42.

ф
4) определение альтернатив осуществления инвес
каждого подразделения и прогноз результатов;
5) определение общих альтернативных конкуре:
ций для каждого подразделения и прогноз результатов?
6) рассмотрение инвестиций и альтернатив делово"
гии для каждого подразделения;
7) согласование целей стратегии каждого подразд
перспективами бизнес-портфеля в целом;
8) установление разрыва между предварительными/
деятельности и прогнозом для каждого подразделения^
9) уточнение профиля возможных приобретен]
подразделений;
10) определение ресурсов, необходимых для таких
тений, и характера их возможного влияния на другие
деления;
11) пересмотр целей и стратегии существующих по,
ний для создания этих ресурсов.
Таким образом, анализ «GAP» можно назвать орга
ной атакой на разрыв между желаемой и прогнозир"
ятельностью.
6.7. Матрица БКГ
Достаточно часто используется метод фирмы
Consulting Group — Бостонской консультативной гру
по которому компания классифицирует все свои виды
согласно матрице «рост/доля» (рис. 1.22).
Вертикальная ось — темпы роста рынка — опреде
привлекательности рынка; горизонтальная ось — отн
ная доля рынка — отражает прочность положения кои
рынке. При делении матрицы «рост/доля» на секторы
выделить четыре типа состояния бизнеса.
Матрицу БКГ заполняют следующим образом: сна"
четным и (или) экспертным путем определяют свое:
«водораздел» — точку, соответствующую значению
темпа роста рынка и среднему уровню его доли, а
черчивают указанные четыре сектора.
Затем предварительно рассчитанные координаты (з
темпов роста и доли рынка) по каждому бизнесу
матрицу в виде кружочков, размер которых прямо про
нален объемам продаж рассматриваемого бизнеса.
84
ф
М о д у л ь 3. Ф о р м и р о в а н и е стратегии о р г а н и з а ц и и
Ч А С Т Ь I. Стратегический м е н е д ж м е н т : бакалавриат
1
«дикие
'Звезды»
кошки»
Быстроразвивающиеся элементы
бизнеса, имеющие большую долю
рынка. О н и требуют обычно мощного
инвестирования для поддержания
своего быстрого роста. Со временем
их рост замедляется, и они
превращаются в «дойных коров»
^„-иенгы бизнеса, имеющие
Э^^долюбьк^растущих
J ^ ^ n
требуют
большого
. ^ ^ н и ^ Ж С н Т г о в о р я
^ о е е у в е л и ч е н и и . Руководству
^Ler тщательно продумать, каких
^^ооитпревратитьв
.звезды», а каких - поэтапно
«Собаки»
Зпвленты бизнеса с низкой скоростью
поста и небольшой долей
оынка-Они могут приносить
достаточный доход для поддержания
оммх себя, но не обещают стать
более серьезными источниками
дохода
Маленькая
Относительная
'
«Дойные
коровы»
Элементы бизнеса с низкими темпами
роста и большой долей рынка. Для
поддержания их доли рынка требуется
значительно меньше инвестиций. При
этом часть высокого дохода, которые
о н и приносят, компания использует для
оплаты своих счетов и для поддержки
других своих бизнес-единиц
доля рынка,
Большая
%
Рис. 1.22. М а т р и ц а Бостонской консультативной группы
ТЕМА 7
Подходы к разработке стратегии
организации
7.1. Конфигуратор методов разработки стратегий
У Все подходы к разработке стратегии организации сводятся
, что стратегия представляет собой сочетание теоретичеанализа и интуиции разработчиков, коими в первую очедолжны являться те субъекты, которые будут детализирои реализовывать стратегию. Важным является и то, что
гия никогда не может быть продумана и просчитана до
, а ее корректировка по мере изменения внешних и внутусловий — процедура необходимая.
85

43.

Ф Ч А С Т Ь I. Стратегический менеджмент: бакалавриат
М о д у л ь з. Ф о р м и р о в а н и е стратегии организации
Из сказанного следует, что универсального, пригодн
случаи жизни метода разработки стратегии не сущест
опыт подсказывает несколько возможных направли
ботки.
Лидером разработки процедур формирования о
считается Гарвардская школа бизнеса. К. Эндрюс, М
Г. Хэмел и К. Прахалад разработали главные подх
с. 74—136] к формированию стратегий, основные п^
которых приведены в табл. 1.11.

Та
Подходы к разработке стратегий в XX в.
Х0№ построить экономическую стратегию, определив доступ|щ|ррвсурсы, необходимые для ее реализации.
до фишз модели пяти сил конкуренции дает возможность опдадоггь сильные и слабые позиции организации на рынке и
додать области, стратегические изменения в которых (в соотдекггвии с прогнозом) могут дать максимальные результаты для
шштгтя бизнеса.
-оэ <Йе>*Портеру, необходимо:
гада» определить выгодную позицию на рынке, которая обеспедоает наилучшую защиту от пяти сил конкуренции;
»№> *хоставить прогноз вероятного потенциала прибыльности
довели;
Разработчики
Основное содержание
разработок
Эндрюс К.
SWOT-анализ
Экономическая
70-
Портер М.
Пять сил конкурен­
ции, типовые стра­
тегии
Стратегия бизнеса
80
Стержневые компе­
тенции
Стратегия лидерства
Хэмел Г.
Прахалад К.
ф
Стратегия
разработать мероприятия (как стратегические ходы), наДОВЛенные на то, чтобы занять наиболее выгодную позицию на
щ1и<€тержневые компетенции как способность организации к
дояу-то уникальному, обеспечивающему лидерские позиции
ацда конкурентов, легли в основу разработки стратегии в рам-
90-Ы
К. Эндрюс предложил стратегию, основанную на
ствии между существующими рыночными возможно*
способностями организации при заданном уровне риск
номическую стратегию). Подходы к разработке страте
неса, основанные на конкурентной позиции организа
сами конкурентные стратегии разработал М. Портер, а
ция стержневых компетенций принадлежит К. Пр
Г. Хэмелу.
рщ,следующих процедур:
\#н#. определение уникальных свойств организации и ее конечipfp продукта;
*f(4* оценка коллективных умений (совокупной системной
||1вшетенции) работников организации;
| ^ . . * фокусирование внимания организации на стержневых
|ЙМ1етенциях, которые составляют основу стратегии;
j*. • обеспечение невоспроизводимости стержневых компетенgjpft организации;
* разработка стратегии лидерства.
7.3. Общая схема разработки стратегии
7.2. Традиционные методы разработки страте
Ставший сегодня уже азбучной истиной для ме
SWOT-анализ внешних и внутренних параметров ор~
позволяет:
• определить возможности и угрозы;
• построить матрицу SWOT-анализа;
• выбрать товары и рынки, на которых они бу
ваться;
86
Процедура разработки стратегии, основанной на определе*~ видения, миссии и цели, заключается в формировании са'х указанных характеристик организации в будущем; умозри~ом переносе разработчика в то состояние организации,
соответствует этим характеристикам; проецировании
"того состояния на реальную среду с тем, чтобы опредедействия, ведущие к идеальному результату.
Моделью, иллюстрирующей процедуру формирования стра, является планирование своей жизни человеком преклон-

44.

ф Ч А С Т Ь I. Стратегический менеджмент: бакалавриат
М о д у л ь з. Ф о р м и р о в а н и е стратегии организации
ного возраста для самого себя, как бы находящегося в щ
(в юности): какую цель следовало бы поставить себе и-j
путями к ней идти, чтобы, находясь в настоящем, ,
результат, соответствующий идеальной картине возмоз
пехов с точки зрения самого человека. Однако после i
сформулированы видение, миссия и цели, переходить*!
ботке стратегии преждевременно. Стратегия не мод.
оторванной от конкретной организации и от ее реалвЗ
стояния. Поэтому необходимо проделать значительну]
тическую работу по выявлению сильных и слабых сто|
низации, возможностей и угроз, которые открываете
внешняя среда, по исследованию проблемного поля
действующей в организации стратегии.
Общая схема разработки стратегии изображена на
Чтобы представить ситуацию в целом по организ
вестный шведский специалист в области управления .
зационного развития Б. Карлоф рекомендует анам
логику отрасли и саму организацию, а также портфель
тивных бумаг. Нечто подобное предлагает и О.С. Bi
учитывать как внешние, так и внутренние факторы
нирования организации, а также портфель выпускав*
Философия развития:
видение,
миссия,
цели
Результаты
SWOT-анализа
Содержание стратегии
Соде
эт
'Л1
Результаты а н а л и з а
действующей
стратегии
Рис. 1.23. О б щ а я схема разработки стратегии
88
ф
I Но не увязнуть в деталях и мелочах, а увидеть главное
_1 о М вСю картину позволяет системное представление об
йййзании- Агрегат такой системы, как организация, в дансяучае может быть представлен подсистемами, составленs«a разных языках описания — конфигуратором. КонфиI организации, состоящий из четырех описаний, выглядит
_-т^шим образом:
^реологическая основа организации (видение, миссия, цели и
г
\ивность на рынке (потребности рынка и степени
гния их организацией, доли организации на рынке
$нции их изменения, способности организации в создаГновых направлений деятельности, потребительская оценка
|ешиала организации);
'внутренняя эффективность использования ресурсов — труеобственности и капитала;
^стратегическое управление организацией (способность руконаметить стратегический курс и организовать внедре"нёобходимых изменений).
"Йри, анализе стратегии организации трудно себе предстаахпобы всегда можно было обнаружить какую-либо пубjjjld предъявленную стратегию. Однако попытаться выделить
рры, характеризующие деятельность организации, необходля того, чтобы затем выдвинуть гипотезу о содержании
1
южно действующей стратегии . При этом необходимо проанализ как внутренних, так и внешних для организации
эв.
В, качестве критериев выбора стратегии целесообразно исовать сильные стороны организации и внешние возможI» цели организации и все виды ресурсов, а также решение
проблем организации.
водя итог рассмотрению вопроса о моделировании проразработки стратегии управления организацией, привеВис. 1.24, из которого следует, что разработка стратегии
гется последовательным приближением к ответу на
что принесет организации успех в будущем?
1||Даже если у организации нет документа, который называется «Стра^развития...», то все равно в каком-либо направлении идет развитие
организации, и важно идентифицировать такую «скрытую» стратезвития.
89

45.

Ч А С Т Ь I. Стратегический м е н е д ж м е н т : бакалавриат
М о д у л ь 3. Ф о р м и р о в а н и е стратегии о р г а н и з а ц и и
Ф
-лвячале необходимо «увидеть» свою организацию в буду-
Назначение:
Результаты
анализа
проблем
организации
и внешней
среды
• выявить
ключевые
факторы
успеха;
• определить
процедуры
достижения
целей;
оценить
содержание
возможных
изменений
^Гш>ичем образ организации, с одной стороны, создается
*ее'идеальный образ, но, с другой стороны, этот образ дол1»'Ьбответствовать именно той организации, для которой разается стратегия, поскольку не из любого исходного
ЗДЗёяНИЯ организации можно достичь желаемого лучшего бу-
Модель
изменений
организации,
которые ведут
к цели
^ * я « Этот образ необходимо наполнить содержанием того,
Стратегия
Один
из вариантов
эталонных
решений
Подробно
разработанная
концепция
успеха
учет
Рис. 1.24. Факторы, определяющие стратегию о р г а н и з а ц и и
Типовые
(эталонные)
стратегии
Формулировка
целей
Возможности и
угрозы внешней
среды и сильные
стороны
организации
Политики
(функциональные
стратегии)
Стратегия
организации
Проекты
стратегические
Рис. 1.25. Схема формирования стратегии
Дейс
ворга
стра-
Организация желает предложить обществу и самой себе —
'работникам, т.е. содержанием той миссии, которую орхотела бы выполнять в будущем.
^Определение конкретного результата, который может про;я, прорасти из образа будущего и миссии, обеспечивает
лирование целей организации, для достижения которых
врабатывается стратегия.
Р^^^абатывается своего рода модель, реализация которой
|ишхна обеспечить успех организации. Схема формирования
здвегии изображена на рис. 1.25.
!~&€1>мой простой моделью описания организации, как это
ШШет из теории систем, является модель «черного ящика», в
£§9орой известны только параметры на входе в систему и на
^УЙЙЙе из нее. Параметры на выходе из системы — это расенные нами цели, а параметры на входе — описания
вительного состояния организации и ее окружения. То,
находится внутри «черного ящика» (содержание самой
s), требует отдельного рассмотрения.
te
Пр
п
орган
Прог;
страт
7.4. Методические основы формирования
стратегии организации
г большинстве организаций при формировании их структуленяется один и тот же организационный принцип, наиённый на обеспечение эффективного использования имеся потенциала, и меньшее внимание уделяется проблемам
рам) наращивания указанного потенциала,
•'правляющая подсистема организации должна сочетать в
подсистему, обеспечивающую оперативное управление, а
подсистему стратегического управления, ориентированi на приращение потенциала.
90
91

46.

ф Ч А С Т Ь I. Стратегический м е н е д ж м е н т : б а к а л а в р и а т
В данном случае структура может состоять из ст
подсистемы, обеспечивающей оперативное управление
кой, мобильной подсистемы стратегического управле*
Таким образом, системный и одновременно ситуа
подход к управлению организацией позволяет рассмат
как открытую систему, адаптирующуюся к изменеш
ней среды и реализующую свою стратегию.
Цели определяются, исходя из видения и миссии орг
в процессе формирования самоорганизуемой системы,
из подсистемы, участвующей непосредственно в проце
ния услуг (или в процессе производства продукции) орг
и подсистемы, обслуживающей указанный процесс.
Из теории систем известно, что самоуправляемые
к которым относятся системы самоорганизуемые, или
еще называют, системы со структурной адаптацией,
жения стоящей перед ними цели изменяют во време
параметры (в первую очередь свою структуру) не стол
зультате воздействий извне, сколько путем генерирова
ализации решений внутренними подсистемами и элеме*
1
мой системы . По сути, перебираются все новые щ
модели систем до тех пор, пока не будет найдена иощ
темы, обеспечивающая попадание системы в целевую
Очевидно, что специфические параметры каждой о|
ции не позволяют предложить конкретную универса
дель. Именно поэтому стратегия как модель достиже*
разрабатывается для каждой организации отдельно.
Философия бизнеса включает в себя видение образа'!
го, формирование миссии организации, структуры
разработку стратегии поведения и направлений разв*
Первым шагом обычно является составление пер
можных целей организации. Например, перечень, с<|
ванный без ранжирования (в порядке перечисления),'?
включать следующие пункты: выживание, финансовое 6.
лучие, благосостояние работников, развитие, беспер
работа, насыщение рынка продукцией, доходность,
ность, уверенность в завтрашнем дне.
~
Второй шаг — анализ структуры субъектов целеполг
например: собственники, менеджеры, персонал, пс
организационная структура.
1
См.: Перегудов Ф.И., Тарасенко Ф.П. Введение в системный*
107-110.
92
М о д у л ь з-Формирование стратегии организации
Ф
Wnri* шаг — разработка структуры целей, обусловленной
1 - _ ^ ^ О Й субъектов целеполагания.
'^В'дабл. 1-12- приведены итоговые результаты.
Таблица
1.12
Содержание и структура целей
бители
Краткосрочные
цели
Долгосрочные
цели
Качество, потребительские
свойства.
Низкая цена.
Возможность выбора (ас­
сортимент).
Постоянное наличие товара.
Гарантии на товар.
Максимальное удовлетворе­
ние потребностей.
Сервисное обслуживание
Качество, потребительские
свойства.
Низкая цена.
Удовлетворение растущих
потребностей.
Новые виды товаров.
Долгосрочное партнерство.
Льготные цены на основе
длительных связей.
Модернизация существую­
щей продукции
Получение прибыли.
Курсовая стоимость акций.
Максимизация прибыли.
Политическая стабильность.
Экономическая стабиль­
ность в стране
Рост прибыли.
Минимальные затраты на
развитие.
Увеличение размера соб­
ственности
Заработная плата.
Социальные гарантии.
Условия труда.
Уверенность в завтрашнем
дне.
Гарантия рабочего места
Карьерный рост.
Рост заработной платы.
Расширение социальных га­
рантий.
Рост благосостояния.
Улучшение условий труда.
Уверенность в завтрашнем
дне
изаци- I Рентабельность.
1-струк- I Получение прибыли.
Экономическая стабиль­
ность.
Наличие основных средств,
хадров.
Сплоченная команда управ­
ления.
Экономический анализ.
Рост объемов (производ­
ства, продаж).
Минимум неопределенности
и максимум стабильности
Развитие.
Расширение рынка сбыта.
Финансовое благополучие.
Повышение квалификации.
Эффективное управление.
Техническое перевооруже­
ние.
Перспективный план разви­
тия.
Повышение эффективности
производства.
Автоматизация
93

47.

ф Ч А С Т Ь I. Стратегический м е н е д ж м е н т : б а к а л а в р и а т
ТЕМА 8
SWOT-анализ организации
8 л . Метод SWOT-анализа
Организации, как и любые системы, отграничены
ней среды и в то же время связаны с нею таким обр
из внешней среды они получают необходимые им
передают туда продукты своей жизнедеятельности, т.е. среда является необходимым условием существований!
Поэтому функционирование организации определяе
нем знания об окружающей среде.
Внешняя среда представляет собой совокупно,
объектов, не являющихся элементами данной систе»
модействие с которыми учитывается при изучении
Взаимодействие выступает фактором, посредством
происходит объединение частей в целое. Без взаимс
частей система перестает существовать. Взаимодейсц
печивает передачу информации от одного элемента ci
другому, от входа воздействия из внешней среды до nt
нее соответствующей информации.
Внешняя среда воспринимается организацией одЦ
но и как система, содержащая благоприятные для opi
параметры, и как система, включающая неблагоприят.
торы. Благоприятные параметры воспринимаются орг
ей как возможности (развития, повышения эффе*
т.д.), а неблагоприятные — как угрозы.
Вряд ли можно назвать другой метод анализа сое.
ганизации, который мог бы сравниться со SWOT-анг
эффективности и простоте применения. Название м.
разовано от первых букв английских слов strengths
nesses — opportunities — threats, что в переводе означа
слабости — возможности — угрозы.
Под силой организации понимают совокупность „.
ботников организации, их навыков, опыта, организ
ресурсов, конкурентных возможностей и т.д. Все пе
ное представляет собой активы организации в кок
борьбе.
Слабость есть отсутствие чего-то важного для ф>
рования организации или нечто, ставящее ее в небл
ное положение. Это — пассивы.
94
М о д у л ь з . Ф о р м и р о в а н и е стратегии о р г а н и з а ц и и
ф
_
рые сильные стороны организации более важны, чем
ВЖ
* ф Я Й МОГух быть использованы для формирования стра> В то же время сильная стратегия должна быть направле«сгранение слабых сторон. Главные достоинства органи— , „ « ™ v aвв превращении
ппевоашении ноу-хау
и опыта во
!lS заключаются
ноу-хау (умений
(уме
9eee
* djepax деятельности организации) в ее ключевые досто2ява-в разработке новой продукции, услуг и нового сервиса;
"^иИЯМании нужд потребителей и организации эффективной
"

к «битовой системы.
-щЛЩ/южности организации заключаются в предоставляемых
вешней средой условиях деятельности и проявляются в ис"иьэовании сильных сторон организации и укрепления слабых
домн Возможности, которые организация не может реализо% WBk, есть иллюзии.
Угрозы проявляются:
наличии более дешевых технологий конкурентов;
* во внедрении конкурентами производства и в реализации
_ продуктов;
Ш угрозах со стороны зарубежных организаций;
новых правилах, наносящих ущерб больше, чем прел,
j повышении процентных ставок;
;
>ЯИХ возможном поглощении;
вдемографических изменениях;
•••Jt изменениях курсов иностранных валют;
политических переменах в стране и т.д.
. ""ЯШЁЙлиз силы и слабости организации дает возможность усс одной стороны связь между потенциалом и проблеI Организации, а с другой — между ее сильными и слабы1зми, что позволяет определить варианты успешного
звания и перспектив развития организации.
шально слабые стороны организации могут корев отсутствии четкого видения перспектив развития и
!их методах управления; в недостатке умений и талани>тгоинимающих решения, и в низкой реализуемости присмых решений; в недостаточной квалификации испол­
ни и значительном дефиците бюджета организации; в
эчном имидже среди населения; в неудовлетворитель|шформационной работе.
образом, весь мир как бы делится на две части: на
как таковую и на все остальное (внешнюю среду),
95

48.

#
Ч А С Т Ь I. Стратегический м е н е д ж м е н т : бакалавриат
М о д у л ь з . Ф о р м и р о в а н и е стратегии о р г а н и з а ц и и
а содержание каждой из частей — на благоприятные^
гоприятные составляющие.
Матрица анализа параметров организации npj
рис. 1.26. В месте пересечения столбцов и строк по.
дующие оценки состояния организации:
ближняя внешняя среда — возможности и угроз
дальняя внешняя среда — возможности и угрозы}
анализ менеджмента — сильные и слабые сторо '
зации;
анализ процесса трансформации ресурсов в п
услуги — сильные и слабые стороны организации.
tqtfacb и э н н э с Ы н а еитгне-дои^х
аоэс)Аээс1
exiocjedsdsu
1НЭкМЖТ/ЭНЭ1\
СО
I I OQ I
( и
ъ
2 XО
ю
re
с; a
8.2. ТРиМ-анализ
и
S
al s
96
|2

П
X
S
го
|_
О)
й- ь
о s
2 о
Л
е- •=
Ш
X
2 3
го х
3
го <°
Я
о
a
•я-ri­
>s s
01
S
X
з-
еш
туа
Внутренняя среда организации представляет соб
гаческий ресурс ее развития.
Как и любая система, организация допускает ог,
содержания с помощью различных языков (эконом
технического, управленческого, социологического, эй
кого и т.д.) и представление ее с помощью различные
тем; это обусловлено постановкой конкретной задачи,,
анализ внутренней среды организации всегда иь^"
неповторим. Но общим для всех организаций являет
анализа и его многофакторность.
Иногда анализ проводят по функциональному.,
когда объектом анализа выступают функциональнь
деления организации, но такой подход может не
требуемые полноту и целостность результата. Возмо;
тегический анализ по отдельным бизнесам или б*
цессам.
Анализ внутренней среды организации целесооб{
водить по двум направлениям: анализ эффективно
формации основных видов ресурсов организации
продукцию и анализ уровня менеджмента в opi
(табл. 1.13).
В качестве ресурсов целесообразно рассматрив
энергию, финансы, материалы, информацию и лб
сурсы.
Анализ характеристик менеджмента в организ
из анализа уровня стратегии, качества торговой мар*
го
1ГО1 ГО
о
ь
и
X
s
од и
и
S
О.
го 11 го I
I ю II ю
иэняией1
иэнжи1/д
го
1
1
1
wtfacb иэнгпэна Еииену
:кий менеджмент
97
щ

49.

Утечка
инфор­
мации
Искаже­
ние ин-
Эффек­ Полу­
тивность фабри­
исполь­ каты
зования
Готовые
изделия
Соци­
альная и
корпо­
ративная
культура
Отноше­
ния с
Обеспе­
ченность
собст­
венными
средст­
вами
Конт­
1
Прогно­
роль ис­ зы раз­
полне­
вития
ния ре­
шений
й ft 1
>
о Щ
ЬШ
е am
s 8=1
Особен­ Оценка
ности
управляпро­
| емости
грамм
Напря­ Зависи­
жен­
мость
ность
(соотно­
межлич­ шение)
ностных статей
отноше­ j затрат
ний
Доста­
Матери­ Инфор­
точность алы
мацион­
ные тех­
нологии
О, as Щ
о т
Постро­
ение
прогноз­
ных
оценок
Коорди­
нация
Прогно­ Планиро­
зирование
вание
Методи­ Система Опера­
Финан­ Качест­
ка расче­ качества тивность совая
во пер­
та и уче­
решения устойчи­ сонала
та
проблем вость
Финансо­
вые ре­ Людские
ресурсы
сурсы
Учет
s
Sf
Органи­
зация
я
Подо1стемы
Менедикмент
о.
•» Л я
Я %
я si
Наличие Тип ор­ Взаимо­
проектов ганиза­ действие
ционной подраз­
структу­ делений
ры
j
о»
о,
>о0>
5
X
S
О)
М о д у л ь з. Ф о р м и р о в а н и е стратегии организации
Резуль­
татив­
ность
страте­
гии
I
Контроль
Объект анализа
X
я
и.
а.
о
Ресурс
времени
S
Подокггемы
Прои[есс трансф|ормации рес урсов
аг
Энергоре­ Матери­
альные
сурсы
ресурсы
Инфор­
мацион­
ные ре­
сурсы
Ф Ч А С Т Ь I. Стратегический менеджмент: бакалавриат
ll
111
о , J
т
If j
HHHEEHHEdjO ШГЕИПИЭХОП ИХНЭПО BHHWIIIMbq
if Ы
'
1
ре
• — -
•—т
ф
ой структуры, имиджа, структуры затрат и инновациЯв ИН
* °
организации. Подобный анализ внутренней среды
^^^ТРиМ-анализом (Трансформации Ресурсов и Менедж-
8.3. Анализ внешней среды
организации
Ввешняя среда (в зависимости от характеристик факторов
йствия) разделяется на дальнее и ближнее окружение.
Опаснее окружение оказывает непосредственное воздействие
?
я2ии*мы, а дальнее - опосредованное.
1
^Дальняя внешняя среда (или макроокружение) является
_JZjp внешней среды, но частью универсальной — общей для
К?
Организаций. Реакция конкретной организации на воза&гвие макроокружения оказывается специфической, отраjgLgleft особенность каждой организации и ту конкретную
^-мХащпо, в которой она находится.
^^Кбифоокружен ие как система включает такие подсистемы,
1|олитика, экономика, общество, технология, институты,
яо-географические подсистемы и т.д.
це всего проводится PEST-анализ (по первым буквам
Неких слов policy — политика, economy — экономи|iociety — социум (общество), technology — технология
1.27).
'качестве ближней внешней среды анализируется воздей|?ia организацию со стороны поставщиков, потребителей,
внтов и местного сообщества (табл. 1.14).
теская составляющая внешней среды оказывает
е* воздействие на все стороны жизнедеятельности оргаи проявляется не только в изменении положения гов международном сообществе, но и в отношениях
со всеми ветвями власти.
Мюмические аспекты воздействия внешней среды на
юацию проявляются в изменении темпов курса нацио*й валюты, темпов инфляции (дефляции), ставки рефитя Центрального банка РФ и прочих параметров,
на деловую активность организации,
•ррциальные факторы внешней среды в значительной степе•рязаны с изменением базовых социокультурных парамет­
99

50.

# Ч А С Т Ь I. Стратегический м е н е д ж м е н т : бакалавриат
М о д у л ь з. Формирование стратегии организации
ПОЛИТИКА
ЭКОНОМИК
я
•& я
S
3 с
£ =
I5
2I
.3 о
° Я
о. £
/
Поставщики
Потребители
>i о.
\
f
\
Рынок труда
Конкуренты
я
S
/
\
a s
/
S
S
ТЕХНОЛОГИЯ
5 5S
ч
\
/
СОЦИУ
6 2 ия
ЩВ
ХX*~
s S
я
£ -в-
5 *
I
о w
Рис. 1.27. Структура факторов внешней среды организаций
ров населения, образа его жизни и среды обитания, а^
изменением демографической ситуации в стране и, в ча
в конкретном регионе.
Воздействие технологических изменений на орг
проявляется в стремлении организации опередить «
курентов за счет своевременного использования
НИОКР.
Все четыре указанных компонента внешней среды^
связаны, поэтому анализ их воздействия на организг
жен быть скорректирован с учетом того, что измене!
го из факторов может как создать новые возможнс
организации, так и нести новые угрозы. Приоритета
занных факторов для каждой организации имеет свс
фику.
85
go
К
О
А
Х
3
й й
о Яя
Чо я
_ Ли
3
о. ч
St
.2 о
S 5
s a g
§
ч
А§ §
а> S
ЯS
и о

I|
0
С о о.
11II
1 Sц«
I f 11е
111 |а
3
•6- g
о
Яо
о
I
о .
Xi
Х
S §
a
§ sI
5 з
X
| m
Я
о
<D Q.
& &
S сх
й
ч
Я § я я
oiHlreiiurejdo e h г(вэйз иэшпэиа киодоиэгсоя имнэпо эинэитаппад
100
101
ф

51.

Ф
М о д у л ь з. Ф о р м и р о в а н и е стратегии о р г а н и з а ц и и
Ч А С Т Ь I. Стратегический м е н е д ж м е н т : бакалавриат
8.4. Матрица решений
как результат SWOT-анализа
И
Матрица решений как результат SWOT-анализа
•»
/««имер из материалов разработки стратегий развития
1.2 « {Прим V
Ипалимиоской области)
Макет матрицы приведен в табл. 1.15, а в табл. l.j
ставлен в заполненном виде один из ее квадрантов (с
квадранты — см. приложение 1).
J.1
Возможности
1. Близость к
Москве увели­
чивает возмож­
ность привлече­
ния инвестиций
2. Равномерное
распределение
поселков и го­
родов по терри­
тории области
позволяет обес­
печить сбалан­
сированное про­
странственное
развитие области
3. Прорывные
решения в тех­
нологиях (на­
пример, биотех­
нологии в
пос. Юрьевец и
пос. Большие кий) создают
возможность
развития
1.1. Программа
переноса бизне­
са в рамках аут­
сорсинга из
Москвы во Вла­
димирскую об­
ласть (чтобы
снизить мигра­
ционные потоки
квалифициро­
ванных кадров)
1.2. Создание в
поселках малых
предприятий и
включение их в
региональные
кластеры, осу­
ществляя подго­
товку квалифи­
цированных
кадров из числа
жителей посел­
ков и эмигран­
тов
1.3. Формирова­
ние образова­
тельного класте­
ра, ориентиро­
ванного на по­
вышение
квалификации
рабочих преиму­
щественно на
площадках пред­
приятий, созда­
вая корпоратив­
ные институты
1 уро-
2.1. Проекты
создания и про­
изводства новых
продуктов за
счет прямых ин­
вестиций
2.2. Рациональ­
ное размещение
предприятий
кластеров по
территории об­
ласти, что обес­
печит снижение
издержек
2.3. Программа
создания конку­
рентоспособной
продукции на
базе новейших
технологий
окая
пьруда не
3.1. Поощрение
в рамках област­
ного закона ин­
вестиций, ори­
ентированных
на значительное
повышение про­
изводительности
труда
3.2. Размещение
новых произ­
водств в посел­
ках области,
обеспечение по­
вышения произ­
водительности
труда за счет
внедрения но­
вых технологий
3.3. Программа
повышения про­
изводительности
труда на основе
внедрения нанотехнологий
Макет матрицы решений как результат SWOT-ана
fстороны
Характеристики
Возможности
Сильные стороны
Стратегия использования
сильных сторон организа­
ции для реализации воз­
можностей
Стратегия испоад
силы для преодо!
угроз
Слабые стороны
Стратегия преодоления
имеющихся слабостей за
счет реализации имею­
щихся возможностей
Стратегия избавь
слабости для пре)
ния нависших уя|
Угроз* «
Выявленные из полученных перечней (по опре
процедуре) наиболее значимые параметры SWOT-ана
воляют составить матрицу решений.
Конфигурация матрицы решений такова: если
матрицу, в столбцах которой разместить характерист
ней среды (возможности и угрозы), а по строкам — ci
слабые стороны, то в ячейках пересечения строк и
появляется возможность фиксировать решения, на
на устранение проблем: использование силы на ус
внешних угроз, использование возможностей вне1
для укрепления слабых сторон организации, испс
уникального сочетания внешних возможностей и су
рон, выявление опасности воздействия на организа
них угроз при ее слабых сторонах.
На первое место необходимо поставить решения ™
тов 1 x 1 , т.е. полученные при пересечении наиболее^
характеристик внешней среды (возможности, угрозь
ренней среды (слабые и сильные стороны). Эти
дует принять за основу — в них находятся основные
(функциональные стратегии) организации, а также
значимые программы и проекты.
102
Ф
Таблица 1.16
• кваован1ЧИХ
Гсдержиие
TIT
Лоикуренбиости
[ пред[ сокра\ валовой
ъный
•ус'конкури| на рынке
ов и услуг
103

52.

Ч А С Т Ь I. Стратегический м е н е д ж м е н т : бакалавриат
М о д у л ь з. Ф о р м и р о в а н и е стратегии о р г а н и з а ц и и
ф
место необходимо поставить решения квадратов
^ т о е т ь е - 2 . 2 , н а четвертое - 1 . 3 и 3 . 1 , н а пятое на
щеСТОе — 3 . 3 . Решения этих квадратов матрицы
Ъ 2,
U * '
^ п и т ь на согласованность (на непротиворечи-
w-
В
« н ш я таким образом матрица решений, а в расГ ^ ^ о м случае и х получится 3 6 - ( 3 + 3 ) х ( 3 + 3 ) , поз* * ^ л г т т ю и т ь систему действий, включающую как стратеI направления развития организации, так и наиболее
программы и проекты, а также отдельные крупные
• ' З Е т ю е н н а я матрица решений содержит стратегически
^ д Г ц е й с т в и я , поскольку в ее шапке и боковике отраже-тггегически значимые параметры внутренней и внешней
^ячейках же пересечения этих параметров помещены ва. реализации возможностей и решения главных проблем,
•fi варианты реализации основного потенциала и вариандоления угроз.
,му если разрезать матрицы по строкам и столбцам и
1
юать полученные решения методом сродства , а затем
х» иерархические связи между стратегически значимы^сниями, то получим структуру стратегии (например, см.
Ш) содержащую основные функциональные стратегии с
держанием, стратегические проекты и стратегические про-
§а
Г»
™*1;
IW If iitil "HI I
йзп?
sees
liilll
104
s-ssi-qgi
ТЕМА 9
Анализ действующей стратегии
организации
9.1. Принципы оценки развития организации
управления эффективностью организации необходима
единых принципов и подходов к управлению, изме­
ни оценке развития и функционирования организаций в
постоянных изменений и с учетом современных склакся представлений об эффективной организации. Ха-
лЪ Лапыгин ЮЛ. Системное решение проблем. Ь - С. 207.
М.:
ЭКСМО,
Ю5

53.

М о д у л ь з. Ф о р м и р о в а н и е стратегии организации
Ф Ч А С Т Ь I. Стратегический менеджмент: бакалавриат
Выполнение политических
функций
рактерные черты эффективной организации хоз
сферы, отражающие современные тенденции ее развив
ночной экономике, представлены в табл. 1.17.
|
Характерные черты эффективной организации
Сферы эффективности
Наименование характеристик i
Общие черты эффек­
тивности
Глобальность.

1
Гипергибкость и адаптивность.
I
Непрерывное совершенствование и н е !
ния.
~3
Фокусирование на интересах заинтереЛ
групп
1
Структурные характе­
ристики организации
Информационные про­
цессы
Менеджмент
Плоские.
J
Децентрализованные.
;3
Сетевые.
1
Самоорганизуемые.
:1
Проницаемые границы.
й|
Внутреннее отсутствие границ.
|
Внешние границы с неясными очертаи
Соответствие между структурой и проя
задачами
*1
Лоббирование интересов
Власть
Представительство
5
НИИ
jgm-"
Темпы роста организации
Обеспеченность ресурсами
Т
Удовлетворение потребностей
Рынок
Логика к о н к у р е н ц и и
Портфель ценных бумаг
Доля на рынке
Выполнение социальной
функции
Сообщество
акт*

Экологические параметры
Репутация
-
Производительность
- Себестоимость
Экономическая
Укрепление индивидуумов и групп, ,М
Самоконтроль и самостоятельное опре!
ответственности.
Ч
Внутреннее интрапренерство.
Членство в различных структурах орган.
Перекрестные функции.
|
Непрерывное обучение.
;|
Обучение множеству перекрестных фуй
г
Прибыль
-
Нормы расходов
.
Объемы продаж
н
Мотивация
-
Качество трудовой ж и з н и
• Уровень квалификации
Лидерство без контроля.
^
Меньше требовать, указьшать, оцениваэ
организовывать.
1
Больше контактировать с работниками;
тать в организационной сети.
J
Толерантность к неясности.
*°Щ
Вера в людей и космополитизм
Социальная

-
Социальная активность
-
Ценностные о р и е н т а ц и и
-
Отсутствие конфликтов
Обеспеченность информацией
г
Следует выделить два направления оценки эффе*
организации как открытой системы: оценка эффед
всех ее подсистем и оценка эффективности разв*
зации во внешней среде. Факторы, по которым моа
об эффективности действующей стратегии, nps
рис. 1.29.
• Скорость принятия р е ш е н и й
-
Организационная
-
.
Адаптивность, гибкость
-
Способность к развитию
Рис 1.29. Факторы эффективности действующей стратегии
107
юб

54.

1
]
i
ф
М о д у л ь з. Формирование стратегии организации
Ч А С Т Ь I. Стратегический м е н е д ж м е н т : б а к а л а в р и а т
Отмеченные два направления оценки определяют;
вание принципиальных положений, приведенных да,
1. Выявление сильных и слабых сторон организац,
ренние факторы) и их сравнительный анализ с возмоз»
и опасностями рынка (внешние факторы) позволяют!
реальные предпосылки ее приспособления к внутренне,
туре, определить потенциал адаптационного управлещ
правления его реализации.
Компоненты адаптационного потенциала (opi
ные, кадровые, технологические и информационные%
определяются основными составляющими подсистема
низации (персонал, экономика и финансы, марке!.,
вации) и одновременно являются объектами упра
оценки.
2. При оценке и измерении эффективности opnj
необходимо учитывать взаимосвязь и взаимовлияние
работы входящих в организацию подсистем.
3. Общее состояние организации предопределяется
ко параметрами ее отдельных подсистем, но и динами
торов внешней среды, прямо или косвенно воздейст
нее.
Чтобы описать состояние внешней среды в nej
определяют отдельные параметры и проецируют их
альное развитие в будущее. При этом выделяют сс
динамических изменений внутренней среды opi
(включающей параметры всех ее подсистем) измене!
росреды (включающей поставщиков, посредников,
тов, потребителей) и макросреды (включающей пот...
демографическую, научно-техническую, культурную .
ную среду) по направленности их на цели развития
ции.
4. Изменения, происходящие во внешней среде,
деляют необходимость стратегического подхода к раэЦ
функционированию организации (есть ли стратегия у\
зации?).
5. Функционирование организации в реальном
времени должно быть подчинено целевым установкам^
гии развития организации.
6. Связь между стратегическим, текущим и one.
управлением должна базироваться на использовании^
ческого инструментария, обеспечивающего единство m
ю8
4
змерений. При этом выделяют согласование кадроонала (готовность персонала управлять организацией
дарС
ч е т к 0 сформулированных высших целей и принциСИ
° явления); организационного (дееспособность органи^ ложности ее в решении стратегических и текущих
v информационного (наличие эффективного инструмендля сбора, переработки и передачи необходимой инфор°*>
И
фршя) и ДР^ -йв ft °*
^ определение информационного потенциала ор^ ^ • ^ - ^ « т и и обеспечивается следующим методическим инструш
е
р
у
-^^пазвитой системой управленческого и финансового учета;
развитой прогнозно-аналитической системой;
' У" • хорошими профессиональными знаниями;
гЯ&К эффективной системой электронной обработки данных.
даользование методического инструментария, обеспечиваединство подходов, оценок, измерений, основано на
„iax установления обратной связи видов управления,
наиболее популярных методов, обеспечивающих связь
>гического и оперативного управления и используемых
паниями в качестве инструментария, можно назвать:
£ метод «дерева целей» и проведение эксперимента (при
[рстике проблемы);
сетевые графики, логические методы, методы прогнозиро(дри выявлении и оценке альтернатив развития);
[етод «дерева решений» (при выборе альтернатив) и проч.
;мотрим единство подхода организации к формировасистемы экономических показателей и организационных
которая переводит содержательно сформулированные
область реального практического управления объектами.
>уровневость «дерева целей» требует адекватной системы
:лей, и каждый из них имеет собственное место и знав конкретных сферах и участках деятельности организа;й показатель по-разному «работает» в общем управ:ом процессе. Управление текущей эффективностью
дело не с собственно целями, а с показателями, количестхарактеризующими состояние и «поведение» наиболее
для организации экономических объектов и позволяюв связи с этим планировать, контролировать и регулироЮ9

55.

Ф Ч А С Т Ь I. Стратегический м е н е д ж м е н т : бакалавриат
вать работу многочисленных подразделений. Наи
ные среди них:
• прибыль (рентабельность) продукта;
• объем продаж;
• масштабы деятельности фирмы;
• наличие надежных партнерских отношений;
• наличие клиентской базы (постоянная клие~
• количество оборотов оборотных средств;
• принадлежность к ассоциациям (например, чле*
социации, предоставляющей разнообразные скидки в
• наличие собственной инфраструктуры (собстве
нимающая сторона, транспортные средства);
• участие в государственных программах;
• репутация фирмы;
• текучесть кадров на фирме.
7. Использование интегрированных систем планир
четности и информационного обеспечения как базы
мосвязанного управления развитием и функциог
организаций.
Различают содержательную интеграцию плановый
субъектов, отвечающих за их решение в рамках орг
ной структуры, и интеграцию во времени.
При этом возникает ряд проблем в связи с оцем.
тивности развития организации:
а) обычная сложность общеорганизационной
обусловленная переменами;
б) недостаточные возможности количественно оце
тические и намеченные параметры, характеризую .,
венное состояние организации (например, в области'
ционной культуры и структурных мероприятий);
в) недостаточная ясность причинно-следствев
между успехом организации и принимаемыми ме_
звано, в частности, большим временным разрывом
г) отсутствие, как правило, «образцовых моделей»
рым должна стремиться организация.
Выбор метода обследования определяется его ц
же особенностью объекта изучения и этапа диагн
процесса. Для этого следует использовать набор
показателей, отражающих как существующую пр
вновь возникающие объективные процессы. Важне
них:
по
Иг
М о д у л ь 3. Ф о р м и р о в а н и е стратегии о р г а н и з а ц и и
ф
^ -—кмая эффективность работы организации, т.е. мера до^ £ # м я я целей, ради которых она создана. Система целей здесь
:
fdU-яиет экономические и социальные, научно-технические
#*^1г^р. она может быть представлена в виде «дерева целей»,
Н * 2 " " " ^ ' ц е л и разного уровня связываются в классификацион^JJkjLynnbi таким образом, чтобы осуществление установок
уровня приводило к реализации определенной цели
•Е^высокого уровня;
^ЙЯидатолнение программы экономического и социального
В
<Ь«шансовая обеспеченность функционирования организа?o важнейший обобщающий экономический критерий
МЙЕждавности деятельности. Его показателем является превыpgnje выручки над расходами, включая затраты на установлен­
ие отчисления государству и региону, развитие деятельности
«мшы и социальное развитие коллектива;
•\Hfe соответствие технологического уровня организации и про•Йщябот (услуг) объективным требованиям развития рынка;
р№ достижение мирового уровня по качеству и себестоимости
р|догавляемых работ (услуг);
ешение главных социальных проблем коллектива фирмы,
дои показателями здесь являются степень удовлетвогдаотребностей коллектива в социально-бытовом отношеI в возможностях профессионального развития;
ЩТ соответствие деятельности организации требованиям эко-
•рНриведенные критерии позволяют оценить деятельность
•рвы, выявить узловые проблемы и определить направления
Нркнного анализа для выяснения главных резервов повыК о н эффективности.
• П р и решении проблемы критериев и показателей эффек•рости организаций необходимо учитывать принятые в миШФ науке подходы, в соответствии с которыми выделяют, по
Ирией мере, семь критериев оценки.
— это степень достижения систе
И и й перед ней целей. Чтобы ее измерить, сравнивают намеH p t e результаты с фактическими (используемые ресурсы не
•риваются, если они не фигурировали в качестве цели). На^Иве' распространенный метод измерения — расчет индексов
ИРвенности, характеризующих степень достижения цели в
РР"'периоде по сравнению с другим.
ЩШБСТВЕННОСТЬ
in

56.

ф
Ч А С Т Ь I. Стратегический м е н е д ж м е н т : б а к а л а в р и а т
Экономичность — это степень использования Л
«нужных» вещей. Экономичность определяют сопс
ресурсов, которые предполагалось израсходовать для;;
ния определенных целей и выполнения конкретных
луг), с ресурсами, которые были фактически потреС
Качество — это степень соответствия системы _г
спецификации и ожиданиям клиентов. Традиционные
ления качества предоставляемых работ (услуг) включа
ветствие спецификациям и своевременности преде,
работ (услуг) в сроки и в моменты времени, удобные;
требителей.
Прибыльность — это соотношение между валовь_.
ми (или сметой) и суммарными издержками (или фа_
ми расходами). Показателями прибыльности являются
• уровень прибыли, отнесенный к объему продаж;!
• отношение прибыли к совокупным активам;
• отношение прибыли к собственному капиталу
Производительность — это соотношение количесЗ
(услуг) и количества затрат на их реализацию.
д
Качество трудовой жизни — престижность pat
безопасности, уверенности, удовлетворенности ,
фирмы, включая управленческий персонал. Методы
направлены на определение степени соответствия
_
ставлений работников о социально-психологических^
в трудовом коллективе фактическому состоянию усяс
и проживания.
Внедрение новшеств отражает реальное ИСПОЛЬЗОЕ
достижений в области современной техники, о{
управления в организациях для достижения поставле
лей.
9.2. Проблемы действующей стратегии
Перспективы развития организации связаны в пе_
редь с решением стратегических проблем, среди котог,
ходимо выделить проблемы действующей стратегии Щ\
мы, обнаруженные вновь.
,yjj|
Анализ научной литературы показывает, что к
факторам успеха функционирования организации
нести наличие стратегии, целевого единства по \
112
М о д у л ь з. Ф о р м и р о в а н и е стратегии о р г а н и з а ц и и
ф
i, ^г в коМанде управления и наличие необходимых ресург aKSrnrrax факторов, влияющих на эффективность управле^щфгрРУ мН0Г0; что определить самый важный из них непроспл^ейдем к детальному исследованию всего проблемного
mSoi из уже рассмотренных методов.
Щгько эффективна действующая стратегия, судить можколичественным и качественным результатам деятельлрганизации.
стратегии в качественном отношении заключается
JCTHUCTH И ее внутренней согласованности (системнос^££же в обоснованности и в соответствии реальной сичественные результаты проявляются в результатах фидаий и хозяйственной деятельности организации, что наРсвое подтверждение в занимаемом месте среди конкуренахват лидерства или своя ниша).
1'Ъценку эффективности действующей стратегии накладыjj& отпечаток границы конкуренции в отрасли (сколько
ir каналов распределения используется; размеры и раз^рграфических рынков), а также содержание функциосоставляющих стратегии: рациональность каждой со­
вей стратегии; последние действия (снижение цен и
реклама) самой организации и конкурентов и т.д.
^яерием эффективности действующей стратегии является
рсовое положение организации в течение последнего вреючная доля, место в отрасли;
намика размера прибыли (в сравнении с конкурен^тенденция изменения чистой прибыли на инвестиции;
продаж компании (по сравнению с рынком в цезмер кредитов;
в глазах потребителей;
ерство (в технологии, инновациях, качестве и т.д.).
Карлоф в конце 80-х гг. XX в. перевел книгу «Деловая
|гия», в которой рекомендуется проводить анализ действуорганизации стратегии путем анализа портфеля ценных
^анаАиза логики отрасли и анализа деятельности самой
ни. Причем последний из указанных видов анализа
ается проводить в четырех аспектах (табл. 1.18), что, на
113

57.

М о д у л ь з. Ф о р м и р о в а н и е стратегии о р г а н и з а ц и и
Ш Ч А С Т Ь I. Стратегический м е н е д ж м е н т : б а к а л а в р и а т
наш взгляд, дает
представление об эффективности^
1
щей стратегии .
Аспекты анализа действующей стратегии орг
Наименование
аспекта
Содержание
аспекта
Пред»§|
преда
Идеологическая
основа
Видение, миссия, цели
Идеальное
о состоянии б м |
Внешняя эффек­
тивность
Потребности и доля на
рынке.
Новые отрасли предпри­
нимательства.
Потребительская оценка
качества
Знание
структуры
собность к
рению (доля оаЭ
на рынке,
вых сфер
и т.д.)
Внутренняя эф­
фективность
Затраты, капитал, произ­
водительность
Стратегическое
управление
Способность наметить
курс.
Способность организо­
вать дело в соответствии
с выбранным курсом.
Способность повысить
энтузиазм и заинтересо­
ванность людей в работе
органиаЯ
спрЯ
егоч|
создай
деятели
Наименование характеристик
'—*ч1
цение
капиюлал
производя}
ноу-
I ключевые
нства.
ЯВО.

органи-
I управления.
гаи и производи
. новой
ходимые измешШ
Составлено по: Маккей X. Как уцелеть среди акул: ( О п о и
курентов в умении продавать, руководить, стимулировать, захлН
ки) // X. Маккей. Деловая стратегия: (Концепция, содержаяивЯ
Пер. с англ. Б. Карлоф. Уфа: Академия менеджмента — М.:*чИ
1993. — С. 298-299.
»И
И4
Таблица 1.19
Сила и слабость, возможности и угрозы
Смял
Анализ состояния компании включает подготовЩ
н а пять основных вопросов.

• Насколько эффективна действующая стратегия^ J
• В чем сила и слабость компании, какие у нее естЩ
ности и что ей угрожает?
|
• Конкурентоспособны ли цены и издержки комцй
• Насколько прочна конкурентная позиция комдш
• С какими стратегическими проблемами с т а д !
;
фирмы?
<' Щ
1
на первый вопрос включает оценку стратегии как в
|
^©^вгвенном отдошении (законченность, внутренняя согласоъ обоснованность, соответствие ситуации), так и в ко­
деином аспекте (стратегические и финансовые результапяльности). Ухудшение этих показателей и (или) быстрые
еяяя внешней ситуации, определяемые анализом отрасли
рейхов, являются сигналом к тому, что назрела необхо, пересмотра стратегии.
Кмссический SWOT-анализ позволяет определить парамет'решней и внутренней среды организации (табл. 1.19).
Щ
Эффективности^
вания
мика
Способность, р«[
организации о с п
влять разрабощН
ф
проие
технолоие н у ж д
лей.
вная
; система
Слабость
Возможности
Угрозы
Отсутствие
чего-то важ­
ного для фун­
кционирова­
ния компа­
нии.
Нечто, ставя­
щее ее в не­
благоприят­
ные условия
Реализовать
сильные и
слабые сторо­
ны.
Возможности,
которые фир­
ма не может
реализовать
(иллюзии)
Более дешевые тех­
нологии.
Внедрение конку­
рентом лучших
продуктов.
Иностранные фир­
мы.
Новые правила,
наносящие ущерб
больше, чем преж­
ние.
Повышение про­
центных ставок.
Возможное погло­
щение.
Демографические
изменения.
Изменение курсов
иностранных ва­
лют.
Политические пе­
ремены в стране
9.3. Конкурентоспособность цен и издержек
«знаком, свидетельствующим о прочности компании, яв. конкурентоспособность ее цен и издержек в сравнении
ентами в отрасли. Анализ издержек и цепочек ценнос115

58.

ф
Ч А С Т Ь I. Стратегический м е н е д ж м е н т : бакалавриат
М о д у л ь з. Ф о р м и р о в а н и е стратегии о р г а н и з а ц и и
тей является необходимым инструментом при сравт
оценке цен и издержек фирмы и ее конкурентов .. г
лении эффективности отдельных видов деятельности
и при выявлении тех сфер деятельности, которые
лее тщательного исследования.
Различия в издержках конкурентов могут быть вь
хождениями:
• в ценах на сырье, комплектующие, энергию и щ.
ры поставщиков;
• в технологии и возрасте оборудования;
$1
• в производственных издержках (кривая опыта,
на масштабе, уровень оплаты труда, производительнс
ды на административный аппарат, разные уровни на.
жения и т.д.);
• в степени зависимости конкурентов от инфляг
курса валют;
• в затратах на маркетинг;
• в издержках на транспортировку сырья и товарад
• в издержках на сбытовую сеть.
Стратегический анализ издержек включает в себя*
издержек фирмы с ее основными конкурентами по
ке, начиная от покупки сырья и вплоть до цен, yraia<jj
товар конечными потребителями.
Цепочка ценностей компании (далее — ЦЦ) поз!
ределить основные виды деятельности, создающие
для потребителя и вспомогательные виды деятельное!
ляется средством для стратегической оценки связи ме|
ми деятельности, осуществляемыми внутри фирмы я<
делами, что важно для разработки стратегии, а
определения того, как можно развить существующие^
щества (мастерство).
Необходимо понять:
1) пытается ли компания добиться конкурентных!
ществ путем снижения издержек или дифференциа .
2) как формируются издержки в каждом звене Щ
затраты на выполнение одного вида деятельности
ч
издержки в остальных звеньях;
3) предоставляет ли связь между видами произвол
деятельности в ЦЦ фирмы возможность для сниже*
Конкурентоспособность компании в отношении из
висит не только от внутрифирменных издержек (сс
иб
Ф
но и от издержек в ЦЦ поставщиков и дистриТнительная оценка затрат компании и затрат ее конкуа также фирм, достигших лучших результатов, дает
картину конкурентоспособности компании по изде­
ри Оценка может быть произведена на основе информаУполученной из опубликованных материалов или в ходе
Говоров с осведомленными промышленными аналитикаА с ю е н т а м и и поставщиками. Однако сравнительная оцен,Чает в себя достаточно конфиденциальную информаспособах достижения низкого уровня издержек и
ее не просто.
§£ли причина слишком высоких по сравнению с конкурениздержек находится в первом или третьем звене ЦЦ, то
может восстановить конкурентоспособность, расширив
собственные операции.
,ш причина слишком высоких издержек лежит главным
IM в товарах, приобретенных у поставщиков, то фирма
исправить положение посредством следующих дейсг
^обсудить с поставщиками более выгодные цены;
сработать с поставщиками, чтобы помочь им достичь более
; издержек;
существить интеграцию «назад», чтобы получить конт_дц покупаемыми товарами и их стоимостью;
^попробовать использовать более дешевые товары-замени^пЬстараться лучше управлять связью между цепочками
ей поставщиков и самой фирмы;
Попробовать компенсировать высокие издержки в данном
• цепи, снижая их в других звеньях,
зможные пути снижения издержек в третьем звене:
'заставить торговцев сократить разницу между себестои1
и продажной ценой;
f;работать в тесном контакте с участниками канала распреддя выявления взаимовыгодных возможностей сниже­
на?;
"перейти к более экономичной стратегии распространения
8, включая интеграцию «вперед»;
аться компенсировать высокие издержки в одном
епи, снижая их в других звеньях.
U7

59.


Ч А С Т Ь I. Стратегический м е н е д ж м е н т : бакалавриат
Высокие издержки в среднем (втором) звене. Ч
новить паритет в издержках, можно использовать
стратегические подходы:
• сократить внутренний бюджет компании и р
ровать операции;
• улучшить методы работы и технологический гг
• попробовать совсем убрать из производственно
са этапы с высокими издержками, улучшив системы
• пересмотреть высокозатратные виды деятель
географические районы, где они могут быть осуще
шевле;
• проанализировать, могут ли определенные опер!
осуществлены подрядчиками вместо самой компании^
• инвестировать средства в ресурсосберегающие:
гии;
• совершенствовать этапы технологического про
мыми высокими издержками, если инвестиции в но
15
дование или организация уже сделаны;
• упростить дизайн товара и сделать его более эко'
для производства;
• попытаться компенсировать высокие издержки
не цепи, снижая их в других звеньях.
Анализ ЦЦ — мощный управленческий инструме
ределения того, какие виды деятельности в цепочке!
ально имеют конкурентное преимущество.
^
Основой конкурентного преимущества скорее явя
выки и способности компании по сравнению с ко
а точнее, пределы возможности компании организо
эффективное по сравнению с конкурентами ф
ние всех элементов ЦЦ.
9.4. Прочность конкурентной позиции.
Здесь для оценки ситуации требуются ответы на
сов: укрепится или будет ослаблена конкурентная
компании при сохранении применяемой ею в наста
стратегии; какое положение занимает компания по
ключевым факторам успеха по сравнению с ко
имеет ли компания (если имеет, то почему) ко
118
М о д у л ь 3. Ф о р м и р о в а н и е стратегии о р г а н и з а ц и и
ф
Ipctbo ИЛИ находится в благоприятном в этом аспекте по^ии? Количественные оценки конкурентной силы показыЙяабые и сильные позиции компании, а также позволяют
Обленить возможности фирмы по защите своих рыночных
^Икурентная стратегия компании, как правило, базируется
Пользовании сильных в конкурентном отношении сторон
(«вржке слабых. Области, которые для компании служат
сторонами, а для конкурентов — слабыми, являются
Ш базой для наступательных инициатив.
Иенка конкурентной силы и конкурентной позиции комШ осуществляется по следующим параметрам:
^способность компании удерживать свою конкурентную
$ а о в настоящее время;
Перспективы укрепления или ослабления конкурентной
Йии при сохранении применяемой в настоящее время стра^сесто компании среди основных конкурентов;
г*|&личие у компании в настоящее время конкурентного
Йщества или отставания по уровню конкурентоспособГ от основных конкурентов;
способность компании защищать свою позицию в контекгжущих сил отрасли, конкурентного давления, ожидае­
мое конкурентов.
тка конкурентной силы. Важна количественная оценка
внению с соперниками каждого из ключевых факторов
и каждого существенного индикатора конкурентной
ф шаг — составление списка ключевых факторов успеха и
Зателей (обычно 6—10) их конкурентных преимуществ (не(^сов);
|Й? шаг — оценка фирмы и ее конкурентов по каждому
Отелю;
I шаг — суммирование оценок сильных сторон каждого
Крников и расчет итоговых показателей их конкурентной
и шаг — выводы о масштабах и степени конкурентного
(ушества или недостатка и определение тех сфер, где по•'фирмы сильнее или слабее.
119

60.

ф
М о д у л ь 3. Ф о р м и р о в а н и е стратегии о р г а н и з а ц и и
Ч А С Т Ь I. Стратегический м е н е д ж м е н т : б а к а л а в р и а т
9.5. Стратегические проблемы
Цель завершающего этапа анализа действующей
состоит в разработке полного перечня вопросов, pet
торых необходимо для формулирования стратегии,
чень составляют на основе результатов анализа состс
пании, анализа отрасли и конкурентов. Основной ai ^
делают на выводах о слабых и сильных сторонах ко%
также на тех соображениях, которые должны быть-,
неджерами при оценке действующей и разработке не
тегии. Определить, на чем сосредоточить внимание,
ответы на следующие вопросы.
• Приемлема ли сегодняшняя стратегия фирмы д
отрасли, если учесть влияние движущих сил?
• Насколько действующая стратегия фирмы сс
ключевым факторам успеха отрасли в будущем?
• Хорошую ли защиту против пяти конкурентных I
лагает существующая стратегия (особенно против Tea
которых может усилиться)?
• В каких ситуациях сегодняшняя стратегия не ма]
ветствуюшим образом защитить компанию от внеип
J
внутренних слабостей?
"
• Может ли наступление одного или нескольких!
тов повредить компании (где и как)?
'
• Имеет ли компания конкурентное преимущес
должна работать, чтобы преодолеть конкурентные не!
• Каковы сильные и слабые стороны сегод!
гии?
• Необходимы ли дополнительные действия, чте
издержки, извлечь выгоду из существующих возможна
лить конкурентное положение компании?
Ответы на эти вопросы должны показать, может
ния продолжать реализацию своей базовой стратегия!
ходимы коррективы, разработка новой стратегии.
Чисто социологические методы выявления прс
ляют получить сравнительно надежную и часто
возможную информацию о проблемах организации и \
ся на опросе экспертов, среди которых наибольшее!
имеет опрос руководителя организации и его первых*
лей. Опрос экспертов проводится как методом анке
120
ф
летодом интервью (формализованного и неформализо^зДаделенный список проблем необходимо упорядочить и
йнмрйровать.
КГ \ вЫЯвлении стратегических проблем целесообразно наt проблемы о приемлемости действующей стратегии
ции для данной отрасли, беря во внимание влияние
ее сил. Здесь же целесообразно определить, хоро(щ^зашиту против пяти конкурентных сил предлагает констратегия.
пению стратегических проблем способствует исследоI^SoripocoB соответствия стратегии организации ключевым
успеха отрасли (в том числе и в будущем).
Состоятельным направлением исследования проблем
м я в организации является оценка положения компании
вднению с конкурентами (влияние конкурентов; наличие
ёнтных преимуществ, необходимых для преодоления
ентных недостатков, и т.д.), а также проблемы снижения
|К организации. Достаточно подробный перечень исслевопросов на этапе формирования проблемного поля
ден в приложениях 2 и 3.
ENU'
ТЕМА ю
Философия бизнеса организации
ю л . Стратегическое видение организации
Jin отмечает К. Боумен, часто необходима ситуация, близ. кризисной, чтобы заставить высшее руководство на прак$ЩншеНять методы стратегического управления. Как прави„уёкущие проблемы не дают возможности разрабатывать и
звывать стратегические планы, не позволяют мысленно
Йрить» над организацией и увидеть всю ситуацию, в ко, организация находится, а затем увидеть свою организа^ перспективе,
чествует множество определений понятия так называевидения, например: «видение — это понятие, обозначаю121

61.

ф
Ч А С Т Ь I. Стратегический м е н е д ж м е н т : бакалавриат
М о д у л ь з. Формирование стратегии организации
ф
1
щее картину относительно отдаленного будущего»
ние — это картина того, о чем можно мечтать,
бизнеса, которое может быть достигнуто в отдаленно"
при самых благоприятных условиях и к которому
2
чаяния владельца компании или ее директора» .
Еще более точное, на наш взгляд, определение
3
лективной монографии : «видение — это руководяще
фия бизнеса, обоснование существования фирмы, не
а, скорее, чувство основной цели фирмы. То есть
это идеальная картина будущего, то состояние, ко
быть достигнуто при самых благоприятных услов*
определяет уровень притязаний в процессе стра
планирования».
Таким образом, управление на основе видения
в стремлении людей работать ради достижения or
идеалов; видение может служить ориентиром для о"
уровня притязаний работников организации. Средне
1
ких ориентиров деятельности организации можно
идеалы (то, к чему стремится организация, но дс
жет), цели (общие ориентиры деятельности, дсчг
рых запланировано в полном объеме на ближайшее
задачи (количественно измеряемые ориентиры, ой
форму и время выполнения определенных действий).
Значение видения для организации состоит в том?
ние придает смысл труду, становясь средством мс
ботников, а также объединяет деятельность многи#
направлении; не выделяет желание получить ink
черкивает объединение индивидуальных идеалов.
обеспечивает преемственность следующих одна за,
организации и помогает выработать критерии их д
И поскольку у видения нет финишной черты, оно
пульс для постоянного прогресса в организации. ч«;
Факторы, влияющие на формулирование виден!
ны на рис. 1.30.
Видение может так никогда и не стать реальное
можно подвергнуть пересмотру по мере достижения
1
Маккей X. Как уцелеть среди акул: (Опередить конкуре
J
продавать, руководить, стимулировать, заключать сделки). - 2
3
122
Там же. С. 243.
См.: Стратегическое планирование. — С. 298.
<$>
Назначение
. мотивировать к д о с т и ж е н и ю о п р е д е л е н н ы х
результатов,
. объеденить деятельность м н о г и х в о д н о м
направлении,
. помочь выработать к р и т е р и и д о с т и ж е н и я ц е л е й ,
. создать эталоны ц е н н о с т е й
Не сама цель, а, с к о р е е ,
о щ у щ е н и е о с н о в н о й цели
Образ, к к о т о р о м у
стремится организация, но
достичь не м о ж е т
Обоснование того,
какой о р г а н и з а ц и я
должна быть п р и самых
благоприятных условиях
Объединение
индивидуальных идеалов
менеджеров и
собственников организации
Требования:
• мысленное п у т е ш е с т в и е от и з в е с т н о г о к н е и з в е с т н о м у ;
• взгляд на о р г а н и з а ц и ю «с высоты п т и ч ь е г о полета»;
• значительные качественные у л у ч ш е н и я
Рис. 1.30. Факторы, в л и я ю щ и е на ф о р м у л и р о в а н и е видения
ьтатов, в силу того, что оно представляет собой мыспутешествие от действительного состояния к неизвестсоздает будущее посредством монтажа известных фактов,
М мечтаний. Последнее дает основание утверждать, что
нсвязывает бизнес с корпоративной культурой и создаценностей, общие для индивидуальной деятельносслужащих организации. Если же этого не происходит,
ает недовольство низов и разочарование верхов из-за
уровень притязаний и видение у разных категорий
"лей организации разные,
а разработки видения приведена на рис. 1.31. Форми' видения начинается с образа существующей организаего описания.
123

62.

ф
Ч А С Т Ь I. Стратегический м е н е д ж м е н т : бакалавриат
М о д у л ь 3. Ф о р м и р о в а н и е стратегии о р г а н и з а ц и и
ф
Разработка видения организации
Образ
существующей
организации
Изображение и описание
настоящего
Объединение
индивидуальных
идеалов
собственников и
менеджеров
Образ будущего
Изображение и описание
будущего
\
Видение
О п и с а н и е разрыва м е ж д у
будущим и настоящим
*
Содержание
формулировки
видения
Оценка достижимости
желаемого будущего
Различные состояния внешней и внутренней среды органи­
заций объясняют разнообразие самих организаций и их факти­
ческое состояние.
Многофакторность параметров, определяющих положение
каждой конкретной организации, не позволяет их систематизи­
ровать и формализовать процесс разработки образа существую­
щего и желаемого состояния организации.
Разный жизненный опыт работников организаций приводит
к различному восприятию одних и тех же явлений, а неизбеж­
ные потери, искажения и опущения при вербальном описании
самих организаций требуют долгого и болезненного в социаль­
ном плане согласования мнений. Поэтому эффективным ока­
зывается метод «рисования образов» (образа настоящего и бу­
дущего, желаемого состояния организации) и последующее их
описание для определения «разрыва» между мечтой и действи­
тельностью.
На этом этапе особое искусство состоит в умелом трансфор­
мировании множества слабых сигналов в систему, представляю­
щую настоящее и будущее состояние организации.
Примеры формулировок видения приведены в Приложе­
нии 4.
Рис. 1.31. Схема разработки видения
Ю . 2 . Миссия организации
Затем эксперты создают образ желаемого будущего состоя­
ния организации и после составления описания указанного о б |
раза определяют наличие разрыва между желаемым будущим:
настоящим состоянием организации.
Например, видение конкретной организации Владимир
ской области в будущем, разработанное персоналом организ
ции в результате обсуждения командой управления, заклки
ется в следующем: зрелая, сплоченная и системная организаг
которая чутко реагирует на источники развития; корпорат
ная культура большинства работников ориентирована на
витие организации; от угроз со стороны внешней среды
ганизацию защищает вышестоящая структура, но она
является источником поглощения результатов развития орв
низации.
124
Видение определяет миссию организации — то, что органи­
зация собирается делать и чем она хочет стать, т.е. определяет
ее предназначение.
«В случае широкого понимания миссия рассматривается
как констатация философии и предназначения, смысла су­
ществования организации» [8, с. 47], — пишет О.С. Виханский.
Под философией организации при этом понимается сочетание
ценностей, верований, принципов, в соответствии с которыми
организация планирует вести свою деятельность, а предназна­
чением определяется деятельность, которую организация на­
метила для себя, и то, какого типа организацией она собира­
ется быть.
Узкое понимание миссии есть утверждение относительно
того, для чего и по какой причине существует организация и
125

63.

М о д у л ь з. Ф о р м и р о в а н и е стратегии о р г а н и з а ц и и
Ф Ч А С Т Ь I. Стратегический м е н е д ж м е н т : бакалавриат
126
g'i
Г'
{
5
S
1
1.
-е-
к
X
СО
в
Q
т~
i
!
И

А
S
О
T)

с
и IV
ЛЛ
S
Й
oi
1- I <и а.
С с;
з
Треб
чем она отличается от других ей подобных. Здесь ми
туется как основная, общая цель организации, как ч
женная причина ее существования. Другими ело*
сия — это цель, для которой организация существует и*'
должна быть выполнена в плановом периоде.
Добавим, что цель эта комплексная, включающай:
ренние, и внешние ориентиры, в силу чего, очевидно!
ными являются утверждения некоторых авторов, что
отличает направленность на внешнюю среду: на кли
требителя. Организация, являясь открытой системой,
себе миссию, определяющую направление своего ра
внешней среде и внутри самой себя.
К факторам, влияющим на формирование миссии.,
относят: исторические особенности организации; стиль
ния работников организации; состояние внешней по
нию к организации среды; наличие ресурсов, необхо.
достижения стоящих перед организацией целей; спе
кие особенности организации. Миссия, кроме того'
определяться и кругом удовлетворяемых организацией
ностей общества, и совокупностью внешних сил,
ствующих с организацией.
В сопровождающих миссию тезисах обычно содер
левая направленность организации; наименование того
та, который она предлагает внешней среде, и технол
производства; социокультурные ценности, принятые в
зации; представление о себе (внутренняя концепция) И:'
ление, которое организация хочет произвести во вне!
де (внешний образ).
Факторы, влияющие на формирование миссии,
на рис. 1.32. Последовательность шагов, позволяющих
лировать миссию организации, состоит в определении
и внутренней направленностей организации (рис. 1.33.
Что дает организации формулирование миссии? -1
Во-первых, возможность субъектам внешней среды
фицировать организацию, а самой организации фор*
свой имидж.
Во-вторых, заставляет пересмотреть факторы, л
основе управления, и помогает взглянуть на деятельн
низации как бы «с высоты птичьего полета» (по
кую панораму).
\S
г—
* 2 й £ р га Э
со
1 * <и с е- и
А
5
2 * й £ О О
О О и =г
Ф
У 0 %
8 S
к
s
з
V
О
и
10

у о> т
01 оо. хs 1 э
с G 2
со О А О 01
* О а. х
2
1 1«
с
h
X
А
i s2 О
&
X
5
О
О
га
х
S
О.
S
к
О
И
"
5
2
01
01 01
X
О.
X
m
О X
А
О
о> и
а х I
я
Х
Н О.
А
! 01
I ьк

m
01
2
S
X
X 10
01 СО
э* S
01 X
2 2
X А.
О
ш
А
ф 1
сп
s
5
G О
С (О го О
ш *
jo s ^ О-
§ I
^ с
А
Я
s з- SА
3"
Л
га
х
1
S
S
S
S
а.
с
& f °
А
I
ч: 5 Р CD
ег. О
О. га

С
х
2
А
m
А О
• рь
fee
10
X
Л
>s
ь s 2
е i
m
ш m
2 го о >ч
х s
га О 2 g I
£ &
0 со О а 2х
О
s а vo
ь 1 га
S У
а и I * з - <J га А
s х о S а.
О А S ? <S >s О.
5, О
А О s -в2
§
S 3 Л -в- a
О Е S <->
ц
А.
О
«
А
-е- О
Р 01
Х
А.
tо- е5
О S
°5 II I 1I уОS к и О Оsз- о>>,ct
О 1
йО m с
к
О.
£ О
и и
2
а Л1 Г
127

64.

Ч А С Т Ь I. Стратегический м е н е д ж м е н т : бакалавриат
М о д у л ь 3. Ф о р м и р о в а н и е стратегии о р г а н и з а ц и и
Наименование
продукта, который
организация
предлагает
внешней среде
Корпорап
и социаль
культура"
Отличие от других
организаций
Впечатление, к о т о р о е
организация желает
произвести во
в н е ш н е й среде
Миссия
Ценн
прин
органи
Таблица
1.20
Матрица миссии
Назначение
о р г а н и з а ц и и для
своих работников,
собственников,
менеджеров
Девиз'
органи
раметр
Назначение
организации
для в н е ш н е г о
мира
Содержание параметра
в
Содержание
характеристик
организации
Характе­
ристика
в
Ранг
128
i
Экспансия
и
i
--a
! t
Нацио­
наль­
ная
идея
В-третьих, подобно магниту, направляет векторы
сотрудников организации в одну сторону — к цели.
В-четвертых, помогает работникам организации
цировать себя с организацией, что усиливает их м<
В-пятых, устанавливает определенную социалы
в организации.
Наконец, в-шестых, является основой при фор"
целей организации и принятии наиболее важных peur
я
Требования к формулированию миссии заключ
боре простых и понятных терминов, обеспечиваю
значность толкования при сохранении простора для
го развития организации.
™»
Предпочтительным является сочетание короткого^
определяющего основное направление деятельности
ции, с хорошо проработанным текстом миссии.
it-
Легальное осуществление идеи
етегичес
1СГ
ттт»
1/1ITP 10
Содержание
формулировки
миссии
Предна
значени
Ценности и нормы
Рис. 1.33. Схема р а з р а б о т к и миссии о р г а н и з а ц и и . . .
ф
^^тка миссии. Являясь платформой мотивации развития
^ ^ ^ д и и , миссия отражает амбиции лидера и его команды.
&^гому при разработке миссии учитывается не только потенци? ^ « 1 н и з а ц и и и ее взаимодействие с внешней средой, но и взаС
-вйствие субъектов целеполагания, репутация организации,
вние выпускаемого продукта на рынке и многое другое.
рв
^любом случае необходимо помнить о том, что в ее разравГ
! должны принимать участие и те сотрудники, которые будут
__Ж1Ъ результаты разработки,— менеджеры среднего звена.
- Полезна в этом процессе матрица, приведенная в табл. 1.20,
^ыильзуемая в целях концентрации информации, необходиЕ | д л я составления формулировки миссии.

Удовлетворение потребностей
клиентов
Развитие
Совершенствование
Идентификация организации во
внешней среде
Особенности национального мен­
талитета
Аспекты национальной гордости
Презентация своего образа
ламна
кция
ф
Формирование имиджа организа­
ции
Он
Заверение в приоритетности инте­
ресов клиентов, партнеров
ож м
Народная
а о
с X
а X
Элитарная
Специальная
J G i p n tтнческий
,
менеджмент
129

65.

Ч А С Т Ь I. Стратегический менеджмент: бакалавриат
М о д у л ь 3. Ф о р м и р о в а н и е стратегии организации
Окончание ,
Л
1
s
о
г*
1
Содев
1
Содержание параметра
ас
Кадровый потенциал

Мотивация к развитию
5 о
°> £
Уникальность ресурсов и квали­
фикации
с *
низании. Указанные характеристики формулируют, зано**т'аблйцу и ранжируют (например, по степени значимости
^ о р г а н и з а ц и и в целом и для формирования миссии в частв
<
Характе- ;3
ристика .'Д
1 8
ф
*° Дналогичным образом оценивают параметры внутренней
« м ш организации: определяют соответствующие им характеорганизации, которые ранжируют.
^Окончательная формулировка миссии должна содержать
^^нболее значимые характеристики организации.
^ П р и м е р ы формулировок миссий различных организаций
доведены в приложении 5.
^ЦМИКИ
[окульт урнь
ити принят
эганизащии
Нравственные нормы
я оргаш
S

и
S
2
Ответственность за производимую
продукцию
Перейти от общей формулировки миссии к конкретным
данам работы помогает определение конкретных целей оргад 0 д целями здесь понимают конкретные результаты
Традиции и легенды
о ft я
и 5
я
Ожидания персонала
уравнивание
:ктора инте;сов сотрудков в одном
аправлении
овсоо
S
is °
10.3. Стратегические цели организации
Ориентация на концепцию кон­
сенсуса (компромисса)
Снижение противоречия между
трудом и капиталом
1
2t S "г
я « о. J *
Работа в команде
?
лощь раникам в
етификасебя с оризацией
%
Этические и эстетические нормы
Вовлеченность персонала в управ­
ление
1
я
8 О » R
S e g a
§aJ§
Объединение персонала
Возможность раскрытия потенци­
ала работников
Качество трудовой жизни
Обучение всему передовому
Помощь персоналу в самосовер­
шенствовании
Миссия вовне, представленная в матрице пятью
ниями, детализируется до содержания параметров,
соответствуют определенные характеристики рассмат
130
ч
% \
рщения. Используют цели в качестве критерия для оценки воз­
можных успехов в реализации той или иной стратегии.
' Обычно речь идет о целеполагании, под которым понимаетЩ, выбор цели как образа будущего результата деятельности
впганизации.
ГГ Теория организаций гласит, что каждая из них — это целеjgu общность людей, однако цель не должна пониматься упро­
щенно. На деле речь идет о целевой структуре, состоящей как
Ввнимум из трех групп целей, которые представляют собой
адоническое единство, и эффективность достижения этих
Групп целей различна в условиях разных структур,
g^, Не все цели, которые можно сформулировать, достижимы
$ р , организации в принципе. Кроме того, цели могут быть
только в том случае, если существует обратная связь
эщей системы с управляемой. Если же обратиться к
рии А. Маслоу, то станет ясно, что люди не могут полно>,достичь своих целей, поэтому целеполагание есть процесс
ерывный и итеративный.
•(•Основными группами лиц, целеполагание которых влияет на
деятельность организации, являются собственники организаработники организации, потребители (покупатели) проорганизации, партнеры организации, местное сообщест­
ва» общество в целом. Формулировки целей в определенной
131

66.

ф
Ч А С Т Ь I. Стратегический м е н е д ж м е н т : бакалавриат
мере должны отражать взаимодействие с каждым из н
субъектов. Наибольшее влияние на содержание целей
ют интересы собственников, наемных работников и по
лей продукции организации.
Попытки исследователей классифицировать цели орг
приводят к тому, что в одном случае рассматривается!
картина в четырех измерениях: экономическом, кол
ном, качественном и в аспекте развития. В другом
организации представляют в виде перечней неэкошг
(социальных) целей либо экономических целей (каче
количественных показателей деятельности) или време~
лей (краткосрочных и долгосрочных, в большей степени
ных с миссией). В третьем случае выделяют ключев
странства, в пределах которых определяются следующие;
• положение на рынке (позиция по отношению к ко
там);
• инновации в технологии и методах организации
• производительность при меньших затратах ресурс'
• ресурсы, будущая потребность в них;
• доходность — количественный уровень необходи
ходности;
• управленческие аспекты — персональные дост
неджеров организации;
• персонал в части выполнения трудовых функций
шения к работе (цели должны отражать мотивационную
ленность — высокую зарплату, лучшие условия труда,
и т.д.);
• социальная ответственность — обязанность бизн'
собствовать благосостоянию общества, обеспечение ercf
венными товарами и услугами, формирование благо
экологической среды, участие в решении острых coi
проблем.
Как критерии качества целей обычно использу
показатели:
• конкретность (чем конкретнее, тем легче оце*
жение цели);
• напряженность и достижимость (повышает мот*
• измеримость;
• сопоставимость (цели конфигураторов и иера
сопоставимость);
• гибкая возможность корректировки стратегии.
132
М о д у л ь 3 . Ф о р м и р о в а н и е стратегии о р г а н и з а ц и и
стратегическом управлении важно помнить о так на<>й иерархической структуре стратегии, которая заклюЯВВаеМ
в следующем: то, что на высшем уровне управления
вТ Я
* ° ся средством достижения каких-либо целей, на более
<ЯЯ
^уровнях оказывается целью. Из этого следует, что стра8,13
я разработанная для организации в целом, выступает в
^ мггве цели по отношению к структурным подразделениям
Йианизации. На основании указанной цели и разрабатывают5^нкциональные стратегии (политики) структурных подразжмний, которые, в свою очередь, являются целями отдельных
jtanee мелких подразделений организации или отдельных раЙ0ГЯИКОВ.
FT( в недавние годы преподаватели школ делового администри­
рования призывали менеджеров к постановке ясных целей для
и б я и т е м более для своих подчиненных. И хотя идея управ­
ления по целям утеряла часть своей привлекательности в ка­
честве философии менеджмента, она продолжает оказывать
мияние на управленческую практику менеджеров и по сей
fe№b.
факторы, определяющие цели организации, представлены
на рис. 1.34.
! Процедура разработки целей организации заключается в
froM, что, отталкиваясь от формулировки миссии и учитывая
Целевые установки основных субъектов целеполагания, цели
формулируются с учетом базовых и стратегических критериев
(рис. 1.35).
г
Образ
желаемого
будущего
состояния
организации
Назначение:
нпикретизировать
Я р е н и е и миссию;
Отражение
миссии
организации
цитировать
.(•ботников;
МНентировать
Арэтегхю
/
i
/
У
/

/
/
Конкретное
состояние
организации
Цель
Критерии
оценки
возможных
успехов
Требования:
о
• учет целеполагания
основных групп лиц;
• соответствие
критериям
ч
\
Рис. 1.34. Факторы, о п р е д е л я ю щ и е цели о р г а н и з а ц и и
133

67.

Ш Ч А С Т Ь I. Стратегический менеджмент: бакалавриат
Стратегич
• использование
возможностей; *
• преодоление
угроз;
• решение nv
проблем;
• реализация
сторон орга
Цели значимых
субъектов
целеполагания:
• собственников;
• менеджеров;
• сотрудников;
• кредиторов;
• потребителей;
• общества
Цели вовне по
отношению:
• к потребителям;
• к конкурентам;
• к кредиторам;
• к обществу в целом
М о д у л ь з- Ф о р м и р о в а н и е стратегии организации
бл 1-21 приведена форма матрицы, позволяющая вы^ цели организации, определяемые как совокупность
В
' *^ субъектов целеполагания субъектов различного уровня и
] ^^авленности.
Таблица 1.21
Матрица целей
Характеристики целеполагания
Субъекты
целепола­
гания
Критерии
Базовые:
• иерархичность;
•достижимость;т
• гибкость;
»'
• измеримости; <
• совместимость; k
• эффективность;
• реализуемость|»
1
Цели внутренние:
• функциональные;
• экономические;
• социальные
Ркпшие
I
Содержание
формулировки
целей
И
Получение большей ценнос­
ти приобретаемого товара
(услуги) на один рубль за­
трат
Постав­
щики
Установить долгосрочные и
взаимовыгодные партнер­
ские отношения
Конкуренты
При минимальных затратах
захватить долю конкурентов
организации на рынке
Кредиторы
Получить в срок выданный
кредит с процентами
Местное
сообщество
Сохранить экологическое
равновесие
Органы
власти
Обеспечить занятость насе­
ления и поступление
средств в бюджет
№•'
й-
Рис. 1.35. Схема разработки стратегических целей организач
Определение стратегических целей
Отталкиваясь от формулировки миссии, необхо.
ти к разработке стратегических целей организации,
голландский консультант X. Виссема [7, с. 73] выд
типа стратегических целей:
• корпоративные (цели организации в целом);
• бизнес-цели (цели однородной группы ко
ятельности);
• функциональные (цели функциональной деятельн
134
Потреби­
тели
!
Цели система
Содержание
возможных целей
ен- Менеджеры
: цели
Осуществить рост имиджа
организации и увеличение
доли рынка, принадлежаще­
го ей
Собствен­
ники
Получить процент на вло­
женный в организацию ка­
питал
Работники
Стабильно зарабатывать на
жизнь
соIfli
Степень
значи­
мости
(рант)
При­
меча­
ние
135

68.

ЧАСТЬ I. Стратегический менеджмент: бакалавриат
fy! о д у л ь з. Ф о р м и р о в а н и е стратегии организации
Окончание ,
Характеристики целеполагания
Наимено­
вания
направ­
лений
Субъекты
целепола­
гания
Систем­
ные
цели
Организа­
ция как
система
Минимум неопределеннос­
ти при максимальной ста­
бильности
Крите­
рии
Базовые
Эффективность
Содержание
возможных целей
Степень
значи­
мости
(ранг)
Реализуемость
Достижимость
Измеримость
Совместимость
Иерархичность
Гибкость
Стратеги­
ческие
Решение главных проблем
Преодоление угроз
Использование возможнос­
тей
Реализация сильных сторон
организации
Критерии приоритетности целей приведены в нижне
матрицы, но, как уже было показано, приоритетное
имеют внутренние цели, и в первую очередь целепола.
неджеров и собственников. Векторы остальных целей
ются, но не являются доминирующими.
Решение об итоговой формулировке целей организа
нимается на уровне интуиции в силу многофакторнс*
явления, но все сформулированные цели затем так илн|
будут использованы при детализации самой стратегии
зации.
Примеры формулировок стратегических целей opi
приведены в Приложении 6.
tof­
ф
ТЕМА li
Модели детализации стратегии
tH
* ' п л . Политики, или функциональные стратегии
Ь
* Поежде чем приступить к рассмотрению модели реализации
^йгйтегии, отметим, что в связи с широким распространением
.«ватегического управления на уровне организаций наблюдает^тенденция проникновения стратегического управления на урофункциональных подразделений, которые еще недавно были
gj власти правил и инструкций, определяемых деятельностью
Я йиизации. Указанное обстоятельство способствует формиров организации политик, или функциональных стратегий,
мо вносит новизну в деятельность организации.
В явном виде политики не имеют целевого начала, а могут
^ рассмотрены как детализация стратегии организации по
Аункпиям, ею выполняемым. Поэтому функциональные стра•вии носят предписывающий характер. Тем не менее совокупъ функциональных стратегий образует систему, поскольку
как элементы, связаны между собой, обособлены от внешI среды и взаимодействуют с ней как нечто целое. Попытапостроить модель системы, состоящей из функциональ.стратегий.
а$>ункциональные стратегии необходимы для соответствуюI распределения ресурсов отделов и служб компании. Важ^подразделять портфельную стратегию на ряд деловых стра. Й р й и затем на функциональные стратегии, поскольку факта приток ресурсов происходит обычно на функциональном
вне.
Д р и разработке функциональных стратегий необходимо не
ко определять роль и конкретное содержание функций, но
уверенным в том, что руководителю функционального
целения ясна миссия организации. Также необходимо
ь, как выполнение каждой функции спор>£твует р а з в и т и ю д е я т е л ь н о с т и о р г а н и з а ц и и .
Ike того, следует провести ревизию всех функций и разграих между собой. Чтобы избежать угрозы узкофункциощого подхода, целесообразно направить энергию исполнивсех функций в единое русло миссии организации. А для
(чтобы не допустить возникновения конфликтов в межфун-
Ш
136
137

69.

М о д у л ь 3 . Ф о р м и р о в а н и е стратегии о р г а н и з а ц и и
Ч А С Т Ь I. Стратегический м е н е д ж м е н т : б а к а л а в р и а т
кциональном плане, нужно сбалансировать тенденции,
ные профессиональной компетентностью, професси
этикой и практической деятельностью.
Как правило, разрабатываются следующие функци
стратегии:
• ф и н а н с о в ы е с т р а т е г и и , которые за»
прогнозировании финансовых результатов деятельн
низации и в расходовании финансовых ресурсов;
• с т р а т е г и и у п р а в л е н и я персоналом, наг.г
на эффективное использование такого фактора про
как труд, во всех его проявлениях (в том числе в в'
деятельности);
• инновационные и инвестиционные
т е г и и, проявляющиеся в активизации деятельности
ции;
;
• п р о и з в о д с т в е н н ы е с т р а т е г и и как стра '
фективного использования факторов производства
собственности и капитала;
• м а р к е т и н г о в ы е с т р а т е г и и , которые оп
что производить, где это будет продано и на каких у
В этом же ряду могут находиться учетная политика
зационная, структурная, социальная, корпоративная и-'
торговая политики. Иногда разрабатываются и другие*
ональные стратегии: информатизации, реинжинщ».
пасности и т.д. Поэтому модель состава стратегии м
представлена классифицированным перечнем, сое
функциональных стратегий.
Если организацию рассматривать как открытую
взаимодействующую с внешней средой, из которой
чает ресурсы и в которую затем передает продукты с
недеятельности, то графическая модель структуры п
жет выглядеть в соответствии с рис. 1.36.
Нельзя утверждать, что функциональные стратегий
заны между собой и реализуются независимо. Напг.
но получить синергический эффект от их совместной
ции или, как говорят специалисты в области теории?*
использовать такое свойство систем, как эмерджент
страивая совокупность необходимых и достаточных
жения стратегической цели отношений между фун
ными стратегиями, можно построить модель, кот
носить название модели структуры системы.
138
Внутрифирменная
(вовнутрь)
Стратегия
управления
Стратегия
переработки
ресурсов
№ ^политика
запасов;
^маркетинговая
политика
-iX поставок
• маркетинговая
политика
товаров;
> политика
взаимодействия
с конкурентами
• финансовая
политика;
•техническая
политика;
• социальная
политика
т
• политика
принятия
решений и
информирования;
политика
управления
персоналом
Ш^Рис 1.36. Структурная схема детализации к о р п о р а т и в н о й стратегии
*£',Ками стратегии только направляют работников на определе действия, но действий не содержат. Поэтому вслед за
„зональными стратегиями разрабатываются соответствуюI им мероприятия и определяются ресурсы, необходимые для
^Иялизации.
~~аряду с политиками или, точнее, вместо функциональных
в организациях чаще всего разрабатывают программы
екты, направленные на достижение стратегических целей
изирующие функциональные стратегии. Например, кадполитика организации может включать в свой состав
ы повышения квалификации и проекты по аттестации
ьных категорий работников. Рассмотрим эту ситуацию
бнее.
1 1 . 2 . Проект, или черный ящик
lb своей сути любой проект есть какой-либо замысел, во­
женный в форму описания. Специалисты в области управпроектами дают такое детальное определение: «Под пропонимается система сформулированных в его рамках
*, создаваемых и модернизируемых для их реализации фи139

70.

М о д у л ь з. Ф о р м и р о в а н и е стратегии о р г а н и з а ц и и
Ф Ч А С Т Ь I. Стратегический м е н е д ж м е н т : бакалавриат
зических объектов, технологических процессов; те>
организационной документации для них, материальны»!!
совых, трудовых и иных ресурсов, а также управ
1
решений и мероприятий по их выполнению» . В прь_
определении фигурируют сформулированные цели и:<
их реализации: объекты, документация, мероприятия „
можные ресурсы для их выполнения. Но суть от этогЫ
ся незначительно.
Более приемлемым можно считать определение,
в «Кодексе знаний об управлении проектами» амет.
Института управления проектами: «Проект — некото|
с определенными исходными данными и требуемыми
тами (целями), обусловливающими способ ее peiuei__
4
Приведенное определение отвечает требованиям,
ляемым к моделям типа «черного ящика». Действител!
ект в рамках стратегического управления можно расе*
как реализацию стратегии с помощью модели «черного^
на входе которого находятся результаты анализа вщ
внутренней для организации ситуации, а на выходе —
достижения стратегических целей.
Однако следует предостеречь от соблазна любой
чинать со стадии замысла и определения целей, м и д
разработки стратегии и ему предшествующие этапы, щ
даже с блеском разработанная концепция проекта,
и его реализация могут не дать ожидаемого максима
зультата.
При проектном подходе часто прогноз сводится к
путей решения стоящей перед организацией задачи,
чения требуемого локального результата, а не к npoF
нечного состояния организации в целом. В отношений^
целей следует заметить, что ее выполняют из числа вс
целей, а это занижает амбиции работников организ
нижает уровень самих целей. Концепция разработки
как правило, формируется специалистами функционал!
правленности, что снижает результативность проекта
стадиях его жизненного цикла. Возникают проблемы 'и?!
1
Ильин Н.И., Лукманова И.Г., Нелечин A.M. Управление
СПб.: «ДваТрИ», 1996. - С. 41.
2
Там же.
140
ф
ной увязкой нескольких проектов, выполняемых одно* 0 дай имеющих один и тот же объект воздействия.
в * ^ й а м по себе проектный подход больше ориентирован на
milt
^ \ a T чем на исполнение функций. В этом плане у него
3 1
t* ^ * щансов вписаться в стратегическое управление, чем у
2^щионального подхода в управление организацией. И тем
^ ^ н е е проекты целесообразно разрабатывать в рамках еди* стратегии организации, либо отдельных функциональных
й либо отдельных межфункциональных (комплексных)
,щвтегии,
)|фвграмм.
s. -
!»•»
11.3. Программа как модель состава
^Вошедшее в 80-х гг. XX в. в научный оборот словосочетание
"^яедевая комплексная программа», под которым понималась
Яйркупность мероприятий, объединенных общей целью, в настоя; Л Й Е время утратило былое значение.
|а всякая программа представляет собой план намеченных
вий по решению какой-либо проблемы. Применительно к
ьности организаций остановимся на определении про*, данном специалистами консультационной фирмы «МакВси». Программы — это «запланированные практические
вия для достижения долгосрочных стратегических целей,
раммы включают планы действий с временным графиком
1
лп'Щ. выполнения и четким описанием необходимых ресурсов» .
рЙ^РТаким образом, программы детализируют выработанные
ш и определяют не только необходимые действия по
ШИйгижению обозначенных целей, но и требующие для этого
сы. Программы и стратегии соотносятся как часть и цеI, т.е. стратегию можно представить системой программ.
'Чтобы построить модель трансформации стратегии в проI, рассмотрим сначала состав программ.
Как отмечают отечественные специалисты в области протого управления, «программы являются основой провойой государством бюджетной политики, которая ориентиро2
яа на реализацию важнейших задач развития» , т.е. перечень
1
Реструктурирование предприятий. — М.: Дело, 1996.
Г&Мяьин Н.И. и др. Управление проектами. — С. 29.
С. 194.

71.

Ф Ч А С Т Ь I. Стратегический м е н е д ж м е н т : бакалавриат
программ в первом приближении может состав*
структуры такой системы, как стратегия.
В структурировании программ могут быть испс
различные способы группировок. Например, возможная!
фикация программ по таким показателям, как:
• степень важности (программы федеральные,
ские, региональные, муниципальные);
• функциональная направленность (программы
ческие, социальные, инвестиционные);
• совокупность отдельных объектов (программы^
струкции памятников, заботы о детях).
В том случае, если программа комплексная (сс
нескольких подпрограмм, охватывающих все основные,
деятельности организации), а генеральная цель програ
падает со стратегической целью организации, можно
о модели структуры стратегии. Указанное становится!
ным в силу того, что в такой программе обозначены
состав программ и подпрограмм, отражающий суще
тегии, но и связи между программами, подпрограмма
тегической целью. Таким образом, получаем модель
системы стратегического управления организацией,
из взаимосвязанных программ.
Дальнейшая детализация (декомпозиция) пс
грамм и проектов должна осуществляться исходя из
ных задач разработчиков декомпозиции, но при
ходимо «видеть» сформированный ранее образ буп
низации, освещенный ее миссией, а также «держать в j
стратегические цели и саму стратегию организации,
тегическое управление и отличается от программного
ектного управления.
Конкретизация политик, программ и проектов
как правило, в разработке планов организованных
т.е. в разработке планов мероприятий и определении
необходимых для их выполнения.
Как и любые планы, планы мероприятий включа
цели, содержание, объем и методы работ, а также их
вательность и сроки выполнения.
В отношении ресурсов необходимо отметить, что J
значительным является мотивационный ресурс, кс
только приводит в движение все другие виды ресу
142
М о д у л ь з. Ф о р м и р о в а н и е стратегии о р г а н и з а ц и и
ф
Рис. 1.37. Стратегическая п и р а м и д а
создает такие уникальные виды, как интеллектуальный и
ельностный ресурсы.
| ^ Л а к и м образом, можно выстроить стратегическую пирамиду
ас. 1.37), отображающую как видимую иерархию, так и возпоследовательность разработки стратегии.
| Большое значение имеет детализация указанных подсистем
(Разработка мероприятий. Но более важным, значимым и
т является реализация разработанной и детализированстратегии.
143

72.

М о д у л ь з. Формирование стратегии организации
Ч А С Т Ь I. Стратегический м е н е д ж м е н т : б а к а л а в р и а т
6
Контрольные вопросы и задания по модулю
И з каких п а р а м е т р о в состоит б л и ж н я я в н е ш н я я с р е д а о р г а н и з а ­
Тема
ции?
б
4- К а к р а с ш и ф р о в ы в а е т с я т е р м и н «PEST-анализ»?
5- Назовите н а п р а в л е н и я а н а л и з а в н у т р е н н е й среды о р г а н и з а ц и и .
1. В ч е м з а к л ю ч а е т с я т и п о л о г и я стратегий по Портеру?
2. К а к о в ы недостатки эталонных стратегий по Портеру?
6. Каковы н а п р а в л е н и я а н а л и з а э ф ф е к т и в н о с т и т р а н с ф о р м а ц и и
ресурсов в о р г а н и з а ц и и ?
3. П р и в е д е т е с х е м у г е н е р и ч е с к и х стратегий по Портеру.
4 . П р и в е д и т е т и п о л о г и ю стратегий п о Т о м п с о н у — С т р и к л е н -
7- Каковы н а п р а в л е н и я а н а л и з а м е н е д ж м е н т а в о р г а н и з а ц и и ?
8. Назовите факторы, в л и я ю щ и е н а ф о р м и р о в а н и е в о з м о ж н о с т е й
5. В ч е м з а к л ю ч а е т с я о с о б е н н о с т ь т и п о л о г и и стратегий
леру?
6. В ч е м состоят о с о б е н н о с т и стратегии д и в е р с и ф и ц и р роста?
7. Н а з о в и т е о с н о в н ы е н а п р а в л е н и я стратегий д и в е р с и ф и
нота роста.
и угроз.
!
9
Ю. К а к осуществляется п о с т р о е н и е м а т р и ц ы р е ш е н и й ?
К а к используются результаты м а т р и ц ы р е ш е н и й ?
. Т ема
8. Дайте характеристику матрицы Ансоффа «продукт—ры
9
за?
ю . К а к и е р е к о м е н д а ц и и м о ж н о с ф о р м у л и р о в а т ь н а основе
м а т р и ц ы БКГ?
7
.Что следует относить к к л ю ч е в ы м ф а к т о р а м успеха о р г а н и з а ­
ции?
:| Iff
По к а к и м п а р а м е т р а м дается качественная о ц е н к а действующей
1. Стратегия — это ж е с т к и й план или о н а к о р р е к т и р у е т с я ?
2. П р и в е д и т е о б щ у ю с х е м у р а з р а б о т к и стратегии.
,
1. К а к и е виды с т р а т е г и ч е с к и х п р о б л е м м о ж н о выделить для а н а л и ­
9. В ч е м з а к л ю ч а е т с я а н а л и з GAP?
Тема
стратегии о р г а н и з а ц и и ?
^
Нужна л и к о л и ч е с т в е н н а я о ц е н к а э ф ф е к т и в н о с т и д е й с т в у ю щ е й
3. О п и ш и т е с х е м у ф о р м и р о в а н и я стратегии о р г а н и з а ц и и .
4 . Существуют ли у н и в е р с а л ь н ы е стратегии р а з в и т и я любой"
зации?
стратегии?
а,'
6.
Назовите аспекты а н а л и з а д е й с т в у ю щ е й с т р а т е г и и о р г а н и з а ц и и .
Прокомментируйте «цепочку ценностей» к а к параметр о ц е н к и
5. Что представляет с о б о й ф и л о с о ф и я б и з н е с а о р г а н и з а ц и
конкурентоспособности о р г а н и з а ц и и .
6. В ч е м суть подхода К. Э н д р ю с а к р а з р а б о т к е стратегии?
Назовите в о з м о ж н ы е пути с н и ж е н и я и з д е р ж е к о р г а н и з а ц и и .
7. К а к о в ы о с о б е н н о с т и подхода к р а з р а б о т к е стратегии
тера?
В чем состоит прочность к о н к у р е н т н о й п о з и ц и и о р г а н и з а ц и и ?
Каковы элементы о ц е н к и к о н к у р е н т н о й силы и к о н к у р е н т н о й по­
8. В ч е м с п е ц и ф и к а подхода Г. К э м е л а к р а з р а б о т к е стра
зиции?
9 . К а к о в ы в о з м о ж н о с т и м е т о д а SWOT-анализа?
На ч е м следует сосредоточить в н и м а н и е п р и в ы я в л е н и и страте­
ю . Д а й т е х а р а к т е р и с т и к у с т е р ж н е в ы м к о м п е т е н ц и я м как
разработки стратегии.
гических п р о б л е м ?
Тема
'Тема
8
ю
ь В чем з а к л ю ч а е т с я у п р а в л е н и е о р г а н и з а ц и я м и на о с н о в е виде-
1. Что представляет с о б о й в н е ш н я я среда?
t
2. К а к и е элементы в к л ю ч а е т в с е б я SWOT-анализ?
•а.Опишите п р о ц е д у р у р а з р а б о т к и в и д е н и я .
144
ф
ния?
145

73.

ф
Ч А С Т Ь I. Стратегический м е н е д ж м е н т : бакалавриат
3. Дайте определение миссии организации.
4. В чем основное содержание миссии организации?
5. К а к о в о т р е б о в а н и е к с о д е р ж а н и ю м и с с и и ?
6. Опишите процедуру разработки миссии.
7. Д а й т е о п р е д е л е н и е ц е л и о р г а н и з а ц и и .
8. В ч е м состоит т р е б о в а н и е к с о д е р ж а н и ю целей?
9. Опишите процедуру разработки целей,
ю. Что в к л ю ч а е т в с е б я ф и л о с о ф и я б и з н е с а ?
Тема
li
МОДУЛЬ 4
РЕАЛИЗАЦИЯ
СТРАТЕГИЧЕСКИХ
ИЗМЕНЕНИЙ
1. Д а й т е о п р е д е л е н и е ф у н к ц и о н а л ь н ы м с т р а т е г и я м (поли
2. Приведите определение проекта как модели организа
3. Что н а з ы в а е т с я п р о г р а м м о й ?
4 . Д а й т е о п р е д е л е н и е к а т е г о р и и мероприятие.
5. На что о р и е н т и р о в а н п р о е к т н ы й подход в у п р а в л е н и и
цией?
6. К а к соотносятся п р о г р а м м а и стратегия?
7. По к а к и м п а р а м е т р а м м о ж е т быть с т р у к т у р и р о в а н а
8 . К а к о й вид р е с у р с о в н а и б о л е е з н а ч и м для о р г а н и з а ц и й '
тегическом управлении?
9. Прокомментируйте стратегическую пирамиду о р г а н и "
ю . П р о к о м м е н т и р у й т е модель структуры с т р а т е г и и .
ТЕМА 12
Стратегические изменения
в организациях
1 2 . 1 . Перемены как проблема
менеджмента организации
ретворение в жизнь организационных изменений можно
с восхождением на неизвестную вершину. Всегда су•ет вероятность неудачи, но тщательная подготовка и
ошибок предшественников повышают вероятность устегические изменения закладывают основу будущих ус. Процесс проводимых изменений должен получить все»ю поддержку во всех сферах деятельности организатакже со стороны кадровой политики, так как в первую
изменения кадровой политики направлены на достистратегических целей, выработанных руководством,
«ль организационных перемен состоит в лучшем осущест1 организационной стратегии [25, с. 8—9].
роведение изменений в организации приводит к тому, что
создаются условия, необходимые для осуществления вы147

74.

ф
Ч А С Т Ь I. Стратегический м е н е д ж м е н т : бакалавриат
бранной стратегии. Можно выделить пять достаточно!
вых и отличающихся определенной завершенностью I
менений.
Перестройка организации предполагает фундаме*
менение организации, затрагивающее ее миссию и орг
онную культуру. Данный тип изменения может
тогда, когда организация меняет свою отрасль и сое
меняется ее продукт и место на рынке. В случае пер
организации возникают самые большие трудности вь
стратегии.
Радикальное преобразование организации провод
дии выполнения стратегии в том случае, если орга*
меняет отрасли, но при этом в ней происходят ра
изменения, вызванные, например, ее слиянием с
организацией. В этом случае слияние различных кул
явление новых продуктов и новых рынков требуют^
внутриорганизационных изменений, особенно касаюв
ганизационной структуры.
Умеренное преобразование осуществляется тогда, ко
низация выходит с новым продуктом на рынок и
заполучить для него покупателей. В этом случае
затрагивают производственный процесс, а также
особенно в той его части, которая связана с npHRne4et
мания к новому продукту.
Обычные изменения связаны с проведением преобр
в маркетинговой сфере в целях поддержания интер
дукту организации. Эти изменения несущественны,.
дение мало затрагивает деятельность организации в
Неизменяемое функционирование организации
тогда, когда она постоянно реализует одну и ту же
В этом случае на стадии выполнения стратегии не.
проводить никаких изменений, потому что при or
обстоятельствах организация может получать xopoi
таты, опираясь на накопленный опыт [8, с. 113—114
при таком подходе очень важно чутко следить за
нежелательными изменениями во внешней среде.
Важные аспекты, связанные с проведением изме*
дующие:
• изменения должны подкрепляться ясным видев
щей перед организацией цели, иначе существует р и и
148
М о д у л ь 4. Реализация стратегических и з м е н е н и й
ф
т
¥ нитгтп "-" случайных, нескорректированных действий, когда
^З^Греально не понимает, зачем нужны изменения;
|*!во^ельзя «вести наступление на нескольких фронтах»: из-за
jLfP ресурсы управления непомерно истощаются. Лучше пред*г.[гпт ^ отдельные действия, которые позволят начать дви' ^ f f c B нужном направлении. Следует помнить, что для начала
^самого долгого путешествия необходимо сделать первый
^•обязанность принять то или иное решение должна лежать
еделенном человеке. Главное, что есть в организациях, —
[люди, поэтому необходимо убедиться, что они знают о свозенности за осуществление определенной части странамерения должны подкрепляться ощутимыми, видимы^йствиями менеджмента. Не следует недооценивать значейимволических событий и изменений;
надо привлекать людей к выработке конкретных шагов
Шуществления изменений. Чем больше людей осознают,
Вринимают участие в выработке стратегии достижения по­
енной цели, тем в большей степени эти люди будут готовы
i через связанные с этим изменения;
следует убедиться, что системы оценки и контроля поддерновую стратегию [6, с. 124—125].
ратегическое изменение традиционно представлялось как
6, иногда однократное, крупномасштабное изменение,
(со в последнее время стратегическое развитие организаассматривается как в большей степени непрерывный эвоцрнный процесс, в котором одно стратегическое изменение
необходимость в других изменениях [19, с. 180].
|екоторые специалисты считают, что «стратегическое измеэто постоянный или ступенчатый процесс перевода
1зации на новую ступень с использованием существуюцей и концепций» [19, с. 180].
1о мнению С.А. Попова, стратегические изменения — это
*ое конструктивное содержание любой стратегии. «Именратегические изменения являются главными носителями
качества в ходе развития организации, и именно страские изменения представляют собой ключевой объект
149

75.

ЧАСТЬ I. Стратегический менеджмент: бакалавриат
управления в процессе реализации как каждой спев
ванной стратегии, так и корпоративной стратегии в
Под стратегическим изменением следует понима!
ленные действия, заставляющие организацию пер
одного состояния в другое, более качественное, и свс
реагировать на изменения внешней среды, что, в СЕ
способствует постоянному развитию организации, а
матическом проведении изменений неуклонно ведет Х]
нию качества ее функционирования.
Как пишет С.А. Попов, основными областями
ких изменений принято считать:
• информирование и мотивацию персонала;
• лидерство и стиль менеджмента;
• базовые ценности и корпоративную культуру; . |
• организационную и другие структуры;
• финансирование и иное ресурсное обеспечение;
2
• компетенцию и навыки .
Поскольку организационная структура является^
видимым организационным фактором, чаще всего
3
начинаются с нее . Часто выбранная стратегия треб
ния соответствующих подразделений, осуществляю^
цию развития организации или объекта управления
На организационную структуру оказывает влияние]
тивная культура как система неофициальных прав»
ленный набор ценностей и ожиданий, разделяемых
ми компании и передаваемых от одного поколения
к другому.
Культура организации трудно поддается измене*
с тем она является ключом к реализации стратегии,
или низкий уровень организационной культуры мс
главной причиной провала стратегии организации,
этим менеджмент занимает активную позицию в
' Попов СЛ. Стратегическое управление: 17-модульная
для менеджеров «Управление развитием организации». Мод
«ИНФРА-М», 1999. - С. 202.
2
Там же. С. 203.
3
Маркова В.Д., Кузнецова СЛ. Стратегический менеджмей
ций. — М.: ИНФРА-М; Новосибирск: Сибирское соглашен
С. 203-204.
150
М о д у л ь 4. Реализация стратегических изменений
общие ценности
ф
Нормы поведения
Символы
и символические действия
4WJ.
#ие. 1.38. Организационная культура к а к сочетание подсистем'
-изменении и использовании корпоративной культуры как
повышения конкурентоспособности и адаптивности
2
ации, поддержания лояльности его работников ,
^аким образом, в первую очередь при проведении измене^цеобходимо оценить организационную структуру и органикультуру в отношении их соответствия выбранной
вгии, и если это необходимо, то они должны быть измеяовные элементы организационной культуры представлерис. 1.38.
12.2. Типология концепций
стратегических перемен
цествует две полярные концепции организационного
каждая из которых определяет соответствующую
егию перемен.
рия «Е» исходит из примата финансовых целей и ориенся на их эффективное достижение, учитывающее посто. давление акционеров компании.
ррия «О» рассматривает организацию как саморазвиваюI систему и в большей степени ориентирована на корпокультуру, цели и мотивы сотрудников организации,
^оводители, придерживающиеся теории «Е», используют,
авило, жесткие методы, делая акцент на осуществлении
«но по: [2, с. 482].
Маркова В.Д., Кузнецова СЛ. Стратегический менеджмент.
-•210.
151

76.

ф Ч А С Т Ь I. Стратегический менеджмент: бакалавриат
перемен сверху вниз и уделяя основное внимание
структуры и систем. Руководители, придерживают
«О», в большей степени ориентированы на обучение
своих сотрудников, изменения корпоративной кульществление перемен снизу вверх.
Специалисты по организационным изменениям
что именно комбинирование жестких и мягких м
ходимо для достижения максимального эффекта,
ние комбинировать эти методы ввиду глубоких п
между теориями, на которых они основаны — этолее талантливых и подготовленных руководителей.
Американский социолог К. Левин предложил
рении организационных изменений использовать
тую модель (анализ силовых полей), которая вклю
раживание», движение к новому уровню и «зас
Основные шаги этого метода:
• четко представьте себе, чего вы хотите доб
• четко представьте себе, где вы находитесь се
• выявите силы, которые благоприятствуют
цели (помощников);
• выявите силы, которые сопротивляются дост
(противников);
• попытайтесь оценить сравнительное влияние по
и противников;
• разработайте меры для максимального усиления
яния или эффективности действий помощников;
• разработайте меры по сведению к минимуму
или помех со стороны противников;
• преобразуйте все это в план действий;
*
• разработайте критерии, позволяющие убедитьс
вы добились запланированных перемен.
Итак, для осуществления перемен организа
«разморозить» сложившуюся ситуацию, а затем по
морозить» ее на желаемом уровне. Силы, которые
нынешнюю точку равновесия, следует изменить так,
определяли новую, желаемую точку равновесия. Мод
ханистическая, но помогает понять масштабы
с. 86-87].
«Размораживание» предполагает принятие мер, к
волили бы работникам отказаться от существующе
152
М о д у л ь 4. Реализация стратегических изменений
ф
поративных культурных норм при подготовке к измеИмпульсом для «размораживания» может быть внутлли внешний фактор.
сение к новому уровню уже предполагает необходимые
-. Количество времени, выделяемого на эту фазу, мо-ьироваться. На изменение внутренних систем (таких,
мы качества или новые информационные системы)
меньше времени, изменение корпоративной культуры
в течение нескольких лет.
тывание» («замораживание», «блокирование») необхотого, чтобы зафиксировать изменения и не допустить
организации на старые позиции. Наиболее часто «цевания» требуют именно культурные изменения, а не
ябо другие, и на этой стадии со стороны менеджмента
1
определенная решительность .
енения могут проходить с разной скоростью — одномои поэтапно, постепенно.
-едователи Дж.Б. Куинн и Дж. Войер считают, что выизменений определяют два фактора:
^насколько срочной является необходимость изменений,
кризис, например, обычно диктует срочную необхоизменений, а подготовка к принятию новых юриди, положений, планируемых через пять лет, позволит ввозменения медленнее и, возможно, менее болезненно;
насколько сильна инерция внутри корпоративной куль«Цля «размораживания» инерции одним организациям
"я больше времени, другим — меньше,
"имуществом одномоментных изменений является эфстрого преодоления. Такая модель изменений позволяюации быстро реагировать на изменения и принимать
условия, не оглядываясь назад. Недостатком подобного
является «болевой» фактор. Так, со стороны менеджJBpH одномоментном изменении может потребоваться
йнуждение по отношению к подчиненным, что может
взаимоотношения между ними,
имущество поэтапных изменений — постепенность,
вость. Менеджеры организаций, где инерция велика,
: Lewin К. Feedback problems of social diagnosis and action: Part II-B
' rs in Group Dynamics // Human Relations, 1947. — P. 147—153.
153

77.

М о д у л ь 4. Реализация стратегических и з м е н е н и й
Ф Ч А С Т Ь I. Стратегический менеджмент: бакалавриат
при такой модели могут добиться одобрения измес
до начала или уже в процессе самих изменений, учц
факторы. Весь процесс подразделяется на ряд чет
между которыми может быть фаза «отдыха». Дан*
нецелесообразна в ситуациях быстрого изменения
щей среды'.

Процесс руководства стратегическими измене*
ит из ряда менеджерских подходов и их соответ
ным ситуациям. Авторы учебника по стратегическс
менту Д. Кэмпбел, Дж. Стоунхаус и Б. Хьюстон
исследователи этого вопроса определяют два дс
друг друга подхода: менеджерские приемы и единолиц
зация изменений.
Согласно первому подходу процесс изменений
читаться с предоставления сведений и коммун*
мация об изменениях должна включать объяснение
изменений, определение временных параметров и
менений.
Следующим шагом должно быть движение к
к взаимному участию. Все заинтересованные
быть приглашены к обсуждению и реализации щ
нений.
Если после этих шагов подчиненные все-таки^
принимать участие в изменениях, менеджеры могут
к некоторому принуждению. Принуждение — это ме
ления позиций в процессе изменений с помощью ad
в должностных полномочиях менеджеров высшего
2
довых работников .
Второй подход, т.е. единоличная организация изм
некоторых исследованиях называют «чемпионом мс
нений». Единоличная организация — это процесс,^
начала и до конца проводит один человек (топ-мене
низации или человек, приглашенный в качестве
проведения изменений). В таком подходе есть ряд
еств.
первых, внимание сосредоточивается на конкретном чекоторый олицетворяется с процессом изменений. Жиимвол» изменений может действовать как стимул к их
ению, что даст возможность избежать сложностей,
вторых, во многих случаях организатор изменений являспертом в данной области. Вероятно, он уже встречался
ными изменениями в других организациях и хорошо
с возникающими при этом проблемами и способами их
ьих, назначение какого-либо одного человека руковоизменений иногда означает, что топ-менеджеры в этот
заняты другими проблемами и передают ответствен!'за изменения данному человеку. Таким образом, они по-
Шаг 1: Анализ в н е ш н е й среды
.0
,ЛЧаг2:Анализ в н у т р е н н е й с и т у а ц и и на п р е д п р и я т и и
рШагЗ: Разработка в а р и а н т о в п р о г р а м м и з м е н е н и й
I Шаг 4: О т б о р п р е д п о ч т и т е л ь н о й п р о г р а м м ы и з м е н е н и й
г
Г
Шог5: Реализация н е о б х о д и м о г о н о в о в в е д е н и я
1
г.Шагб:Контроль в н е д р е н и я
изменений
1
См.: Quinn J. В. and Voyer J. Logical incrementalism:
formation In Mintzberg H., Quinn J.B. and Ghoshal S. (eds)/'
Process. Englewood Cliffs: Prentice Hall, 1998.
2
См.: Кэмпбел Д, Стоунхаус Дж., Хьюстон Б. Стратегиче
мент: учебник / Пер. с англ. Н.И. Алмазовой. — М.: ООО.
Проспект», 2003. — С. 169.
154
ф
Г Шаг 7: Анализ достигнутых результатов
• 1-39- П о с л е д о в а т е л ь н о с т ь д е й с т в и й п р и у п р а в л е н и и и з м е н е н и я м и
155

78.

М о д у л ь 4. Реализация стратегических изменений
ф Ч А С Т Ь I. Стратегический менеджмент: бакалавриат
лучают возможность сконцентрироваться на разви
1
стратегии .
Итак, чтобы сделать управление изменениями
эффективным, необходимо придерживаться последу
ти действий, представленной на рис. 1.39, где п о т
анализа достижений (шаг 7) следует вносить коррек
управление процессом стратегических изменений raj
вующем шаге.
В конечном итоге задача управления изменен?
в том, чтобы правильно оценить суть процессов, npoi
во внешней среде организации, отобрать и внедр*
введения, которые позволят свести все многообразие
и внутренних воздействий к единой линии поведе*
2
нить или повысить эффективность деятельности .
12.3. Сопротивления изменениям
в организациях
Стратегические изменения многое обещают од*
организации в плане перспектив карьерного и прс
ного роста и угрожают другим, которые могут опас
тить свое положение в служебной иерархии или вов
ся должности. Поэтому люди реагируют на пе
стратегических изменений по-разному.
Под сопротивлением будем понимать проблемы^
щие при проведении изменений как следствие нег
действий руководителей в отношении членов трудов
тива.
Любое изменение устоявшихся правил создает
ние у всех работников, кого эти изменения каса
основным причинам: неопределенности, ощущению,!
убеждению, что перемены ничего хорошего не при
Кроме того, сопротивление зависит от характера*
перемен, а также от того, как они проводятся. Мои
тивление вспыхивает в тех случаях, когда:
1
См.: Кэмпбел Д, Стоунхаус Дж., Хьюстон Б. Стратег
мент. — С. 170.
2
См.: Алексеев Н. Управление изменениями в условиях но
ки // Консультант директора. 2003. — № 16 (196). — С. 2.
156
ф
вмены радикальны и решительны;
^рем-ены внезапны и неожиданны;
вмены оказывают неблагоприятное воздействие на
в них людей, которые в этом случае считают себя
вшими;
^чему бы то ни было (стратегии, корпоративной миссии,
и т.п.) оказывается мощная поддержка, которая
• ценность перемен;
дичины проведения перемен нечетко сформулированы,
ает беспокойство;
1
едыдущие перемены не принесли нужных результатов ,
йдиалисты систематизировали причины сопротивления,
эщие определить, какие группы людей в первую очеБудут сопротивляться переменам и по каким причинам.
je причины сопротивлений изменениям приведены в
1.22.
Таблица 1.22
Причины сопротивления изменениям
Полученный
результат
Ожидаемая
реакция
•ыический интерес
Ожидание личных по­
терь в результате изме­
нений
«Политическое» пове­
дение
имильное пони ма­
дией стратегии
Низкая степень дове­
рия менеджерам, изла­
гающим план измене­
ний
Слухи
юная оценка поВвкй осуществле«Цйтегии
Неадекватное воспри­
ятие планов, возмож­
ность существования
других источников ин­
формации
Открытое несогласие
«ня терпимость к
Опасение людей, что
они не обладают необ­
ходимыми навыками
или умениями
Поведение, направлен­
ное на поддержание
собственного престижа
JR' Причины
Е&мротнвлевий
I.: Маккей X. Как уцелеть среди акул. — С. 214—215.
157

79.

Ф
М о д у л ь 4. Реализация стратегических и з м е н е н и й
Ч А С Т Ь I. Стратегический м е н е д ж м е н т : бакалавриат
Учет м о т и в о в п о в е д е н и я л и ч н о с т и
в организации
Информативность i
группы
Щ
З н а ч е н и е авторитета
руководителя
Подде
лиде
Факторы
преодоления |—
сопротивления
Предоставление
информации группе
Достижение общего понимания
Авторитет
ее*
12.4- Подходы для преодоления
сопротивления изменениям
Ансофф предлагает четыре подхода к преодолению
пения изменениям.
оинудительное управление переменами — метод введения
i при котором сопротивление преодолевается с по"власти высшего менеджмента. Такой подход должен
зваться в тех случаях, когда руководство испытывает
времени. Чтобы принудительные изменения были бовктивными, необходимо:
всти диагностику поведения сотрудников и рабочих
•чтобы определить потенциальные источники сопротив-
Чувство п р и н а д л е
Рис. 1.40. Факторы преодоления с о п р о т и в л е н и я :
стратегическим и з м е н е н и я м
Менеджер, столкнувшись с сопротивлением, дс
браться во всех деталях этого явления. Пся
каком уровне возникает сопротивление и чем оно
ется, позволяет менеджеру направить усилия в
лении.
Один из путей уменьшения сопротивления ~Ч
подход к изменению, выявление взаимосвязей между|
ми частями системы путем, например, изменения
кого порядка принятия решений или обеспечения,
новесия между социальной и технической частями (
позволит в дальнейшем успешно осуществлять ст
с. 435].
Универсальных способов преодоления сог
существует, однако есть некоторые проверенные
мощью которых сопротивление можно существе*
и даже полностью устранить.
Совокупность факторов рассмотренного метов
ния сопротивления стратегическим изменениям
рис. 1.40, из которого следует, что факторы не ие
ны, поскольку их значимость определяется специ<|
нений, времени и места.
158
ф
едоточить в своих руках достаточные властные полноЦто позволит провести необходимые изменения;
едить за появлением самых незначительных признаков
пения;
те изменения стратегии контролировать ее реализа»ка изменения не приживутся в компании.
эинствам этого метода относится быстрота перемен,
сильное сопротивление.
fАдаптивные изменения — осуществление прерывистого
теского изменения посредством постепенных нововвеастянутых во времени. Однако степень позитивных
ш, которая при этом требуется, будет соответственно
|Сюронниками постепенных преобразований обычно яврменеджеры среднего и нижнего управленческих звень1кты разрешаются нахождением компромисса или
ением сделок. Адаптивные изменения позволяют осу-перемены в условиях, когда власть сторонников преограничена.
аинство адаптивного метода — несущественное сопроs, недостаток — перемены осуществляются медленно.
зисное управление. В случае возникновения кризиса
ское сопротивление сотрудников сменяется поддержрм. Однако в данной ситуации увеличивается вероятнеправильных решений, так как руководство
испытывает нехватку времени. Поэтому первая засшего руководства — предотвращение паники и быст159

80.

ф ЧАСТЬ (.Стратегическийменеджмент:бакалавриат
рые эффективные преобразования. Но как только
выходит из кризиса, руководство сталкивается с бы
рождением сопротивления, которое проявляется ужестадиях «выздоровления».
4. Метод «аккордеона», или управляемого сопро
подход, приемлемый в условиях умеренной срочн"
носящий положительный эффект за определе*
времени, величина которого задается внешними ус
Основные характеристики этого метода:
• он применим в условиях умеренной срочнс
распоряжении компании достаточно времени, чтоб"
гать к принудительному методу, однако для pea
тивного метода его не хватает;
• длительность проведения изменений опреде
щимся временем. Если необходимость преобразо
тает, метод приобретает принудительный характер, #
когда в распоряжении руководства имеется резерв ~
приобретает черты адаптивного. Это свойство «т
и «сокращаться» и дало название методу — ме
деона»;
• метод «аккордеона» основывается на исп
дульного подхода: процесс планирования подразде
дули, в конце каждого из которых определяется
реализации новых проектов;
• данный метод отходит от общепринятой идеи
вательности планирования и реализации проектов.;
эти два процесса идут параллельно;
• сопротивление минимизируется в самом нач
лируется на протяжении всего отрезка времени,
для преобразований.
Основной недостаток данного метода — высо?
нии с любым из экстремальных подходов сло~
того, он требует постоянного внимания со сторо
руководства. Его основное преимущество состоит в
позволяет найти компромисс между уменьшением,
ния и использованием власти, не забывая при этомд
ных ограничениях [4, с. 377—386].
.?
Американские исследователи Дж. Коттер и Л.
разработали свои методы преодоления сопротивле
ниям.
1бО
М о д у л ь 4. Реализация стратегических и з м е н е н и й
ф
Образование и передача информации. Данный метод подоткрытое обсуждение идей и мероприятий, что по"сотрудникам убедиться в необходимости перемен до
а
| а к они будут проведены. Также предполагается исполье различных методов передачи информации: индивидуе беседы, выступления перед группой, меморандумы и
1
Привлечение подчиненных к принятию решений дает вознекоторым сотрудникам, которые могут оказывать
ение, свободно выразить свое отношение к этим новпотенциальным проблемам и переменам.
Облегчение и поддержка являются средствами, с помощью
сотрудники легче вписываются в новую обстановку,
ер, руководитель может оказать эмоциональную подт.е. внимательно выслушивать сотрудников или давать
•гое-то время для отдыха после напряженного периода,
то также, что появится необходимость в дополнительгссиональной подготовке для повышения квалификаСотрудников, чтобы они могли справиться с новыми тре­
щи.
Д Переговоры уместны в том случае, когда ясно, что кто-то
ывает в результате изменения и тем не менее может ока,сильное сопротивление. Менеджер, например, может
жить сотруднику более высокую заработную плату в обна изменение рабочего задания.
'5. Кооптация означает предоставление лицу, которое может
, или оказывает сопротивление переменам, ведущей роли
ш решений о введении новшеств и в их осуществлеЫаневрирование также осуществляется в целях уменьшепротивления переменам и означает выборочное испольинформации или составление четкого графика деятельи мероприятий, чтобы оказать желаемое воздействие на
г
енных.
Принуждение есть угроза лишить работы, продвижения,
^ния профессиональной квалификации, повышения за!>й платы или назначения на новую должность в целях
ения согласия на перемены.
:кий менеджмент
гбг

81.

Ц
М о д у л ь 4. Реализация стратегических и з м е н е н и й
Ч А С Т Ь I. Стратегический м е н е д ж м е н т : бакалавриат
Окончание табл. 1.23
Особые преимущества и недостатки подходов Дж.1
и Л. Шлезингера показывает табл. 1.23.
1
Методы преодоления сопротивления изменениям '
Метод
Вовлечение
работников в
принятие ре­
шений
Облегчение и
поддержка
Переговоры
н*11
Достоинства
При сопротивле­
нии, основанном
на отсутствии
информации или
на неточной ин­
формации и ана­
лизе
Помощь в полу­
чении согласия
на перемены со
стороны людей,
когда их убедят
В ситуациях, где
инициаторы не
обладают всей
необходимой ин­
формацией для
разработки нов­
шеств
Может помочь
людям осознать
необходимость
проведения пере­
мен и их обяза­
тельство помо­
гать этому
11Iм II
Образование
и передача
информации
Сфера
использования
В случаях взаи­
моотношений с
людьми, оказы­
вающими сопро­
тивление только
из-за страха пе­
ред личными
проблемами
Оптимальная
тактика для ре­
шения личных
проблем
Может**
много щ
дорогспй
все ж е Д
В ситуациях, где
кто-то один или
группа явно про­
игрывает при
введении нов­
шеств и где они
имеют большие
возможности
оказывать сопро­
тивление
Иногда является
сравнительно
легким способом
избежать основ­
ного сопротивле­
ния
Может Щ
вать мни
мени, ен
этот raj
вовлечш
шое чиа
ение
гим;
moji
строить 1
добивал»
гласив у!
L-M
1
Построено по: Kotter John P., Schlesinger L.A. and Same V.
Text, Cases and Readings on the Management of Organizational
s
Change. 2nd ed. (Homewood, 111.: Irwin, 1986). P. 359.
"
162
рирова-
•1
Во мной
ях может
слишком
щ
Сфера
использования
Достоинства
Недостатки
Для специфичес­
ких ситуаций, в
которых другая
тактика связана
со слишком
большими расхо­
дами или вообще
неосуществима
Может помочь
найти поддержку
в проведении пе­
ремен
Может создать
проблемы, если
люди распознают
кооптацию
В ситуациях, где
другая тактика
будет неэффек­
тивной или
слишком дорогой
Может быть
сравнительно
быстродействую­
щим и недоро­
гим решением
проблемы сопро­
тивления
Инициаторы мо­
гут лишиться ка­
кой-то доли до­
верия к себе; мо­
жет привести к
появлению дру­
гих проблем
Для ситуаций,
где необходима
быстрота и где
инициаторы пе­
ремен обладают
значительной
властью
Может быстро
преодолеть лю­
бой вид сопро­
тивления
Рискованный ме­
тод; может соз­
дать у людей не­
гативное отно­
шение к инициа­
торам перемен
-Последний метод, впрочем, как и принудительный метод
Ансоффа, нуждается в критической оценке. Мы рекоменне прибегать к ним ни при каких условиях. Практика
пения показывает, что самые гениальные планы измене[ не срабатывают, если игнорируется человеческий фактор,
яое условие успеха предпринимаемых в организации извний — это готовность персонала максимально реалисвой потенциал для достижения поставленных целей,
помощью принудительных методов этого никогда не дося.
Необходимо учитывать различные последствия сопротивлеи заранее находить пути их нейтрализации, чтобы изменебыли эффективными.
1б3

82.

#
Ч А С Т Ь I. Стратегический м е н е д ж м е н т : б а к а л а в р и а т
ТЕМА 1 3
Три уровня управления
стратегическими изменениями
1 3 . 1 . Индивидуальные изменения
Изменения сопровождаются временным спадом
ности, поскольку, обучаясь, работники организации
тают навыки (способность действовать, доведенную д
тизма) не мгновенно, а спустя некоторое время.
>
Существует четыре философских школы в облаете
дуальных изменений (рис. 1.41):
• в бихевиористском подходе речь идет об измене"
дения окружающих через поощрение и наказание,
пользуется анализ поведения и стратегии вознагртакже производится разработка стратегий поощрения;'
• при когнитивном подходе результаты достига
позитивное отношение: применяются техники постам
и обучения, а также обеспечение связи цели с мот
• психодинамический подход ведет к пониманию и
нию к внутреннему миру человека, что особенно
последний переживает чересчур болезненные измене
Бихевиористский
(нужны верные
стратегии
поощрения)
• Поощрение
• Наказание
М о д у л ь 4. Реализация стратегических и з м е н е н и й
йходимо обращаться с людьми как с индивидуальностями
*ать их эмоциональное состояние не хуже своего;
ланистический подход основывается на вере в развитие
г' максимизацию потенциала. Акцент делается на здоро^аазвитии, аутентичных отношениях и здоровой организа~ что подкрепляется верой в людей и в их желание профес­
с и ю расти и развиваться,
""иа индивидуальную особенность вносить изменения и призться к ним большое влияние оказывает тип личноеггория индивидуума или организации, тип и последствия
1
t также воздействуют на реакцию человека. Э.Х. Шайн
два вида тревоги при индивидуальных изменениях:
выживания и тревога обучения. Первая должна быть
не второй. Он утверждал, что менеджерам следует умень-ревогу обучения и не увеличивать тревогу выживания.
13.2. Командные изменения
^Команды необходимы в организациях для решения стратезначимых задач, когда проявление закона синергии
ся решающим фактором.
вствует несколько типов организационных команд со
преимуществами и недостатками (рис. 1.42).
р. Команды могут стать более эффективными при учете пяти
эв, отраженных на рис. 1.43.

, „Изменений
II
Ц
s g
s
5
Когнитивный
( о б е с п е ч и т ь связь
цели с мотивами)
Психодинамический
(понимание
эмоционального
состояния людей)
Гуманистический
(вера в р о с т
и развитие)
• Постановка цен
• Обучение
• Понимание
м и р а человека
• Обращение и вни
к миру человека
'
• Вера в р а з в и т и е
ф
(
Рабочая
Команда
|мГК'
Сетевая
Виртуальная
Рис. 1.42. Типы
Параллельная
J
^
Проектная
Матричная
корпоративных команд
• Вера в р о с т п о т е н с
Рис. 1.41. П о д х о д ы ш к о л к и н д и в и д у а л ь н ы м и з м е н е н и я м
' Э.Х. Организационная культура и лидерство / Пер. с англ.; под.
ВА Спитака. - СПб.: Питер, 2002. - 336 с.
164
165

83.

ф Ч А С Т Ь I. Стратегический менеджмент: бакалавриат
Процесс
М о д у л ь 4 . Реализация стратегических изменений
Задачи, план, ц е л и
г
. ft
Факторы
Майерс-Бриггс)' позволяет определить способность
f к адаптации в условиях изменений,
нове типов М.Р. Белбина можно анализировать при­
я т ь команды для определенной цели и поощрять ее чле'кустранению значительных пробелов.
13-3' Организационные изменения
Межличностные
отношения
Отношен
кома
Рис. 1.43. Факторы роста эффективности
Изменения команды включают проблемы руко
каждой из стадий: зарождение, бурление, выраб '
функционирование. К таким проблемам следует
заны четыре возможные ловушки на пути к и
(рис. 1.44).
Комфорт
Я
юбы исследовать другие подходы к управлению измене' необходимо вначале определить свою точку зрения,
ее с взглядами коллег. Понимание обычно подавляет
!гу.
Современная теория организации рассматривает несколько
чтов метафор, содержание которых приведено в табл. 1.24
•говано на классификации, предложенной профессором
Пригожиным.
Таблица 1.24
Основные модели организации
^Модель
Зависимость
ческая
Препятствия
изменениям
Основное содержание
Особенности
Глубокое разделение труда
в области управления,
связи и функции подроб­
но прописаны
Работает «как часы», но
не учитывает мотивацию
работников
Организация как община
(общность взаимодейству­
ющих людей)
Руководитель как отец;
общий досуг, совместное
решение общих проблем
Соединение технологичес­
ких и социальных аспек­
тов (например, венчур)
Быстрое внедрение ново­
введений с учетом соци­
альных изменений
Организация как целое,
состоящее из огромного
числа подсистем
Не учитывает несистем­
ные факторы — поведение
людей
Организация как орга­
низм, состоящий из серд­
ца, головы, рук, ног и т.д.
Все должно быть уравно­
вешено, как в природе
Сдваивание
С р а ж е н и е / бегство
Рис. 1.44. Л о в у ш к и на пути к и з м е н е н и я м
"отешичес-
Состав команды — важный фактор ее успеха.
1
Р. Белбин — основатель компании Belbin Associates,
зирующейся на оценке и развитии управленческих
также тренингах командообразования, утверждает,
всего функционируют разношерстные команды. Отс}
которых типов сотрудников ведет к возникновению
Характеристика личности каждого члена команды (
1
1
См.: М.Р. Белбин Команды менеджеров. Секреты успеха
неудач / Пер. с англ. — М.: HIPPO, 2003. — 315 с.
166
ческая
'., например, Зайцев Л.Г., Соколова М.И. Организационное поведебник / Л.Г. Зайцев, М.И. Соколова. — М.: Экономисту 2006. —
С. 109-119.
167

84.

Ф Ч А С Т Ь I. Стратегический менеджмент: бакалавриат
М о д у л ь 4. Реализация стратегических и з м е н е н и й
Окончание ,
Модель
Основное содержание
Бюрократичес­
кая
Рационализация поведе­
ния работника и органи­
зации в целом
Гарантии эффект*
обеспечиваются ч[
стандарты деятели
Естественная
Самоорганизация как от­
ветная реакция на воз­
действие внешних и внут­
ренних факторов
Организация как t
фическое социалТЙ
ление, развиваюШ
своим собственна!
нам
;3я
Политическая
Управление путем согла­
сования политик по вер­
тикали и по горизонтали
Переговоры и вьш
согласованных агЛ
Организация
как «дело»
Организация как цепь
взаимодействий
Все процессы авЩ
«делу»
Организация, представленная механистической.
ботает как единый механизм, но подобная модель не,
ет мотивацию людей, работающих в организации,
рассматривается как механизм по исполнению ф>
организация — как инструмент решения задач.
Общинная модель функционирования организация:
стрирует ее как общность людей. Самоуправляемая"
4
построена на принципах взаимных симпатий человека
пы, на групповых интересах, групповых нормах noi
поскольку взаимодействие людей вырабатывает своиJ
ческие связи и определяет стихийную самоорганизаг__.,
добных моделях неформальная структура малодоступна!
лению, которое в большей степени ориентиров]
мотивирование исполнителей.
Социотехническая модель организации основана на*
зависимости внутригрупповых связей от технологии
ства, равно как и на влиянии на производительность
ношений в группе. Эта модель как бы сочетает в себе
и техническую составляющие организации, что позвс
ративно внедрять изменения в организации, посколы<у|
с техническими изменениями предусматриваются и
ся изменения социальные.
' t
168
гистемная модель организации позволяет учесть все факто*которые воздействуют на организацию, однако человек, в
м г е г о несистемного поведения, вносит искажения и помехи
1йястемную работу организации, что приходится учитывать в
с моделях. Эта модель организации ориентирована на
доченность как на типичное состояние системы, позволяЕ ей поднастраиваться по мере выявления рассогласования
гдествления регулирующих воздействий с помощью обратg связи.
t Органическая модель организации позволяет через метафоописывать происходящие процессы (зарождение, рост, стаьное функционирование, болезнь, смерть) и объяснять то
гиное поведение организации во внешней среде. Взаимогаие людей и других элементов организации должно но, уравновешенный естественный характер (например, граформальных и неформальных групп совпадают — так
руются команды, из системы которых состоит вся оргаГ В основе бюрократической модели организации лежит рацио^ поведения человека в коллективе, стандартизация
^деятельности. Власть в организации строится на принципах
йетентности и рационального ее распределения между рат организации.
^•'Естественная модель свидетельствует о том, что организаil объективно функционирует как составная часть всеобщей
оды и самоорганизуется в ней сообразно целям своего разЛ.
Политическая модель организации заключается в выработке
Ьгласовании политик ее деятельности, достигаемых путем
|Грворов. В центре жизнедеятельности организации наховзаимодействия личных и групповых интересов субъектов
ёполагания.
Организация как «дело» имеет свою логику функционирова|^ которая подчинена исключительно «делу» (например, мапартийные организации, религиозные секты и т.п.).
1риведенные модели, с одной стороны, отражают только
ьные стороны организаций вообще, а с другой — могут
аться одновременно в отдельно взятой организации.
всех описанных моделях будут присутствовать нюансы
«зации стратегических изменений, присущие только им,
169

85.

Ф ЧАСТЬ I. Стратегический менеджмент: бакалавриат
М о д у л ь 4. Реализация стратегических изменени й
поэтому при множестве подходов к управлению из
ни один из них не является всеобъемлющим.
Необходимо гибко оперировать несколькими
конкретных ситуациях.
Различным метафорам изменений соответств1
роли лидеров. Питер Сенге поддерживает разно
водство и определяет три основных типа лидеров
ционной системе. Если все три роли присутствуют,
между ними, изменения пройдут естественно (рис.
Лидеры
Типы
Стили
• Администраторы
на м е с т а х
• Исполнительные
директора
• Сетевые
руководители
• Принуждение
• Авторитаризм
• Поощрение
• Демократия
• Задавание тона
• Обучение
Рис. 1.45. Л и д е р ы и з м е н е н и й
Практика свидетельствует о том, что лидеры pj
стиля одинаково добиваются успеха. Это приводит в
тельство желающих найти рациональную оценку то
ботает и что не работает в руководстве. В целом р'
изменениями должен обладать мужеством и само
Ему предстоит выбирать правильное направление в)
51
момент и не выпускать главное из виду.
Но в одиночку лидеру не справиться. Нужна К
продуманными ролями и преданными людьми, в ы с !
ми за решительность действий, а не только за нач*
нений.
J См.: Сенге 77. Пятая дисциплина: искусство и практика
щеися организации. - М.: Олимп-Бизнес, 2003. - 408 с.
ф
ТЕМА 14
Командообразование
в стратегическом управлении
1 4 . 1 . Стратегическое управление
с помощью малых групп
««Стратегическое управление не может быть порождено одJ
реальностью, только на основе анализа невозможно сфорать образ будущего организации. Здесь уместно восполься основными положениями школы дизайна как школы
вгического управления.
: утверждают специалисты, путь к успеху не в том, чтобы
иль» правильную стратегию, а в том, чтобы выработать
егическое мышление работников, принимающих важные
Иными словами, опираясь на логику когнитивной
иогии, важно проникнуть в сознание стратега (здесь сле£>сделать упор на когнитивную школу стратегического упI).
гая задача — поддерживать процесс обучения малых
(т.е. развиваться стратегически через посредство обучеаботников организации), тем более что конкуренция срерганизаций в настоящее время представляет собой конку' управленческих команд организаций-конкурентов.
формируется группа из людей, имеющих сходные ценje ориентации, то тем самым выстраивается п е р в ы й
<К созданию команды единомышленников. Отсутствие об^Денностей — начало развала команды,
оманда может формироваться под определенную задачу,
возникают н о в ы е ц е л и, то надо быть готовым п о м е } людей.
14.2. Системное командообразование
Наиболее простая модель функционирования команды (мок«черного ящика») представляет собой систему, на входе в
мы имеем поток типовых ресурсов (временньгх, фивых, материальных, информационных, людских и энергеских), а на выходе — управленческие решения, направлен-
170
171

86.

Ф
Ч А С Т Ь I. Стратегический м е н е д ж м е н т : бакалавриат
ные на эффективное использование имеющихся
оперативном управлении и на создание нового качес
ходимого для стратегического развития организации.^
При описании модели команды управления,
ния субъектов, входящих в ее состав, необходимо
став функций, выполняемых командой, ее ролевой с<5
В состав управленческой команды обычно входят
верхнего уровня управления и некоторые работники,сящиеся к указанному уровню, но обладающие опрел
качествами, необходимыми для эффективной работьи
(например, психолог или работник любой професс
ющийся авторитетом). Кроме того, в состав упра
команды могут входить собственники организаг
представители), представители местных органов
висимые консультанты, а в отдельных случаях —
потребители продукции организации.
Функциональный состав команды позволяет bi
обычные процедуры системного анализа (формулиров
блем, сбор и анализ необходимой информации, вь
лей, формирование критериев, генерирование альтерц
тимизация, выбор решения, декомпозиция решения ,
мероприятий и ресурсов). Соответствующий указание
состава перечень, определяющий ролевой состав ко»
жет состоять из следующих персоналий: лидер кома
тан, который является владельцем процесса выраб
ний), «коммуникатор» (специалист, осуществляю!
управление процессом деятельности команды), внев
сультант (роль консультанта может выполнять и
отдельным вопросам, и консультант по управлению
выработки решения) и сами участники команды. Ии
в команде условно разделяются между постанов!
блем, аналитиками, генераторами решений и ф*
(специалистами, подводящими итог каждому этапу
Модель структуры управленческой команды дов
ста и напоминает открытую (ее еще называют парла
структуру управления, при которой лидер команды
процесс управления, давая возможность каждому ее
сказать свое суждение по каждой проблеме. В этом
сутствуют иерархические связи между членами кома
питан ее (лидер) — старший среди равных. Если расе*
структуру команды как параметр самоуправляемой с*
172
М о д у л ь 4 . Реализация стратегических и з м е н е н и й
4
очередь следует отметить структуру парных связей меж'"нами команды. Указанная структура должна обеспечи^габильность (устойчивость) горизонтальных связей между
'
управленческой команды, которые образуются в течеГ"гигельного времени формирования социокультуры команщий, легендарных историй, фольклора и т.д.) и требу"постоянно'й поднастройки структуры команды.
14.3. Лидерство в команде
г^Бьгтует мнение, что определение стратегии и путей ее до­
ения выполняет директор, а его заместители и главные
далисты несут ответственность за разработку и осущест«е стратегии и контролируют функциональные стратегии,
ут усилия по ее реализации. Иначе говоря, принятие
вгических решений требует лидерства менеджеров.
песте с тем решения стратегических проблем организаций
временных условиях не могут возникнуть исключительно в
ьтате мыслительной деятельности суперлидеров. Оптипредставляется формирование самоорганизуемых рагрупп или автономных команд лидеров. В данном случае
а, входящие в группу, должны быть способны формировать
йюсить до других новые системы приоритетов, а также стаперед работниками значимые и привлекательные цели.
..Лидер — как слуга: служит людям организации и служит
ней цели — миссии организации. Последнее соображение,
же, укладывается в классическую школу стратегий —
дизайна.
Ю ж н о выделить три направления деятельности лидера:
«цювание общего видения будущего; выявление и анализ
ьных моделей; развитие в людях системного мышления.
Формирование общего видения будущего: соединение внешнего
еннего состояния организации; сочетание негативного и
вного видения будущего; участие работников в формулиобраза будущего. Общее видение формируется под возвием видения отдельных работников. Негативное видение
гет роль прогнозирования неблагоприятных условий
яей среды. Однако формирование видения только под воз*ем внешних факторов (например, под воздействием сил
енции) в конечном счете ослабляет организацию.
173

87.

М о д у л ь 4. Реализация стратегических изменений
ф
Ф Ч А С Т Ь I. Стратегический м е н е д ж м е н т : бакалавриат
Выявление и анализ ментальных моделей. Хорошие
то остаются нереализованными в силу того, что
противоречат укоренившимся стереотипам мышления
тальным моделям.
|
Для выявления ментальных моделей используют: >
• обнаружение скачков абстракции (подмена на5
фактов обобщениями);
• осознание различий между декларируемыми взг.
проявляющимися на практике;
• достижение баланса мнений (совмещение иску
дения с искусством восприятия);
1
• разрушение защитных механизмов (вначале расп
щитный механизм, далее понять, как он действует,
ключить его).
"
Развитие в людях системного мышления. Даже с:
системно нацеленные воздействия могут принести
ные и продолжительные улучшения. Навыки системн
ления заключаются в следующем:
• видение взаимосвязей (целостное видение) про
й
умение видеть взаимосвязи частей системы;
:
• отказ от обвинений (причины неудач следует ис
внешней среде, а в первую очередь в себе самом);
• обозначение сложности динамических процессов С
тике причина и следствие часто разнесены во времени,;
странстве);
• поиск мощного рычага (места приложения ус.
щих наивысший результат);
• отказ от простых решений (не спешить прис
бе с проявлениями проблем, а вначале выявить пр
никновения).
Лидер как человек, имеющий последователей, кс
могают ему реализовать поставленную цель, тонко
ет на отношения между людьми, поэтому люди гото
вольно следовать за ним.
Лидерство — категория ситуационная. Эффе
дерство возможно с использованием различных тип
ства, поэтому целесообразно назначать лидеров для
лидерства, которые соответствуют его потребностям,
ходимо так перестраивать конкретную ситуацию,
соответствовала лидерским потребностям.
V4
Сущность ситуационного подхода свидетельствует о том,
' он применим в стратегическом управлении только на стареализации стратегии или при условии принятия одной из
тисывающих стратегий. Руководитель должен:
иметь знания по управлению организацией (знать эталонстратегии);
> уметь предвидеть вероятные последствия применения ме• уметь адекватно интерпретировать ситуацию (владеть
"Т-анализом);
уметь обеспечивать достижение цели организации самым
активным способом в условиях конкретной ситуации.
14.4. Виды групп, составляющих команды
"ри формировании команды управления перед руководите'' стоит сложная задача по определению ее состава,
известно, что люди с определенными личностными качесттяготеют к определенным занятиям. Рассмотрим типоло'личностей, составляющих основу команды. В этом отноможет помочь типология, разработанная Изабеллой
^рс и Катериной Бриггс на базе положений психоаналити1
Карла Юнга .
основу указанной типологии положены четыре шкалы
очтений, приведенные в табл. 1.25, а их характеристики в
1.26.
Таблица 1.25
Шкалы предпочтений
Полюсы шкалы
Что характеризует
Ключевая деятельность
Как человек пополняет
запас энергии
Пополнение запаса
энергии
На что человек обра­
щает внимание
Сбор информации
[ение — Чувство-
Как человек принима­
ет решения
Принятие решений
е — Воспри-
Как человек ориенти­
рован по отношению к
внешнему миру
Образ жизни
рсия — Инт1 С о р н о с т ь — Интуи-
Подробнее см. http://ru.wikipedia.org/wik.
175

88.

О
ON
S о»
я о
О)
•о
^1

S
2

•о
S
о
2
0
a;
g
E
5 й
а
S
o>
S
ft
о
g
Ж
К
u
2 я
о
• " 2 СИ
1
S н
1
1
2 «
з
Е к
"3
г»
X)
о
a
w pi О
s s g
3
?
s
as
О
>
о
tl
01 о:
о
g w
Й °
м
S
II
* 3
Я "S *S а3 Э5
§ S ifS *
s i !
Bag
Эмоционально
устойчивые
экстраверты
ОУЭ)
Эмоционально
неустойчивые
экстраверты
(ЭНЭ)
Эмоционально
устойчивые
интроверты
ОУИ)
Эмоционально
неустойчивые
интроверты
ОНИ)
•добиваются превосходных
результатов в работе, которая
строится на взаимодействии и
сотрудничестве всего персонала;
обычно требуются там, где лкэдям
приходится работать в высоком
темпе и где необходимо оказывать
давление на других;
• могут преуспеть в работе, которая
строится на хороших деловых
отношениях с узким кругом людей
в течение короткого времени;
• отличаются в работе, которая
требует самоуправленияи
постоянной самоподдержки;
• хорошо себя зарекомендовали как
коммерческие представители и
менеджеры по персоналу
имеют определенное преимущество
в таких профессиях, как менеджеры
по продажам, руководители
производств и редакторы
продуктивны в роли
администраторов, адвокатов,
правительственных деятелей,
чиновников центральных и
местных органов власти, а в
промышленности они незаменимы
в плановых отделах
^1
Рис. 1 . 4 6 . Типология личностей по М а й е р с — Б р и г г с
• доминируют в среде ученых и
исследователей, специалистов,
задействованных в
допгофсмнькпгххраммах

89.

ф Ч А С Т Ь I. Стратегический менеджмент: бакалавриат
лом хорошие, но индивидуально все зависят друг от
всей группы (ЭУЭ);
• динамичны и предприимчивы; хорошо выбира~
ты; склонны к здоровому препирательству; легко
отклоняются от темы. Результаты хорошие в быс
щихся ситуациях, но ненадежные при выполнени
других ситуациях (ЭНЭ);
хорошо планируют работу; сильны в организа
лительны и пренебрегают новыми факторами, воз
при изменении ситуации. Результаты в общем незя
(ЭУИ);
• способны выдвигать хорошие идеи, но слишкс
ны своими мыслями; слабая сплоченность команды/
обычно плохие (ЭНИ)'. В подобных командах всегда.'
ров и мало решений, полученных разными способа
Очевидно, что команда, состоящая из абсолютно;
вых типов личностей, мало чем будет отличаться
потенциалу от потенциала одного человека из ком"
команда — слабый помощник руководителя. Верой
команда формируется для решения конкретной задал
случае доминировать в команде должны те или иные
ности. В идеале состав команды должен меняться в
ти от стадии решения задачи или перехода к реш
задачи.
Задачи, связанные с разработкой стратегии,
сутствия в команде типов личностей со следую
ристиками в зависимости от стадии разработки
начальных стадиях (разработка видения и миссии)
N, на стадии целеполагания — Т, на стадии дет~
нов — S. Для организации процесса в целом, а
отношений в команде нужны типы F.
Графическая модель участия различных типов л
этапах стратегического управления приведена на рис*
При формировании стратегической команды
ее члены были представлены различными типами
имели «правильные суждения», были страстными и
были ориентированы на сотрудничество и были бы
мыслить стратегически.
,
1
178
Белбш М.Р. Команды менеджеров. — С. 41.
М о д у л ь 4. Реализация стратегических и з м е н е н и й
ф
- интуиция, поиск нового;
— п р и н я т и е р е ш е н и я на основе
анализа;
Цели
— о р и е н т а ц и я на к о н к р е т н ы е
действия;
План
— поддержание взаимоотношении
Рис. 1.А7- Модель участия в стратегическом управлении
различных типов личностей
1
считает М. Фридман , к таким качествам игрока страской команды следует отнести:
онцептуальную силу как способность проницательно и
то мыслить об абстрактных вещах;
аистическое видение — способность видеть целую картиограничиваясь рамками отдельных соображений и не
из-за них в заблуждение;
\Мворческий подход как способность выходить за рамки обэго, выступать с радикально новыми идеями, уходить
вующих концепций;
$ способность к самовыражению — умение переводить абсге мысли об организации в четкие слова и образы, до­
ле пониманию других;
finepnuMoe отношение к неопределенности как способность
вно анализировать, даже когда имеющаяся информаЦйтолна или противоречива или когда для принятия конкрешения оказывается сильное давление;
Чувство ответственности за будущее готовность обдумать
посредством которых, жертвуя краткосрочной выго№ожно сохранить ресурсы организации.
Фридман М., Трегоу Б. Искусство и наука стратегии лидерства:
одход к корпоративному управлению / Майк Фридман, Бенджамин
В Пер. с англ. Е. Богдановой. - М.: ФАИР-ПРЕСС, 2004. - 272 с.
179

90.

ф
Ч А С Т Ь I. Стратегический м е н е д ж м е н т : бакалавриат
14.5. Стратегия создания команды
Великие стратеги стали таковыми отчасти благодаря спо­
собности формировать экспертную систему из специалистов
различных областей знаний, формировать то, что принято на­
зывать командой.
Команды российской командной экономики практически
сменились командами бизнесменов.
Как утверждают психологи, не общая цель делает команду
командой, а совместный труд по формулированию и последу­
ющей реализации этой цели.
Общие принципы принятия решения о формировании команды:
• коллективные решения надежнее индивидуальных; в груп­
пах обычно возникает больше решений и лучшего качества, ре­
ализуется синергический эффект системы, состоящей из раз­
личных специалистов;
• групповые решения усиливают атмосферу сотрудничества,
снижают сопротивление несогласных с принятым решением;
• групповые решения отличаются большей продуманностью
возможных последствий принятых решений.
Д о с т о и н с т в а работы в команде заключаются в знании
задачи в целом, в ответственности за конечный результат, в
восприимчивости к новым идеям и в высокой адаптивности.
Н е д о с т а т к и — низкая стабильность, необходимость высо­
кой самодисциплины, ограниченность в численности (5—15 че­
ловек, причем группы из 7—8 человек наиболее конфликтны,
так как обычно распадаются на две враждующие неформальные
группы; при большей же численности людей конфликты сглат
живаются). Кроме того, коллективные решения требуют боль­
ше времени для их принятия и повышают степень конформиз­
ма членов группы.
Важный фактор формирования команды — распределение
ролей среди членов группы, четкое понимание границ власт/
при принятии решений. Существенным моментом являетсА,
также обнародование личных целей участников при крупных,
организационных переменах, поскольку невысказанные лич-'
ные цели редко препятствуют прогрессу на ранних этапах осу­
ществления программы перемен, но это случается позже, ког '
становится очевидным масштаб личного участия. Разобраться
личными целями участников сложно, но обнародование глубок
180
М о д у л ь 4. Реализация стратегических и з м е н е н и й
ф
ко личных проблем может стать мощным инструментом фор­
мирования корпоративной культуры.
Чтобы сделать работу команд успешной, необходимо:
• формировать команду, ориентированную на успех;
• тщательно отбирать членов команды;
• осуществлять обучение, нацеленное на успех;
• инициировать «плавающее» лидерство в команде;
• обеспечивать поощрения за работу в команде.
ТЕМА 15
Командное взаимодействие
в стратегическом управлении
1 5 . 1 . Управленческие команды
в решении стратегических проблем
Формирование и функционирование команд в организации
предполагает не только усиление менеджера, выступающего в
роли лидера, но и внесение изменений в саму систему внутри­
фирменного управления, что сопровождается изменениями
1
корпоративной культуры. В формировании команд следует вы­
делить три явно выраженных этапа усиления сплоченности ра­
ботников, которые представлены на рис. 1.48.
Численность рабочей группы может варьироваться от 3
до 25 человек. Ее члены характеризуются более высокой сте­
пенью взаимозависимости и взаимной ответственности за ре­
зультат совместной деятельности. Например, взаимодействие
членов, скажем, аттестационной комиссии направлено на до­
стижение целей аттестации работников, а после завершения
работы комиссия расформировывается.
Характеристики команды (рис. 1.49) свидетельствуют о том,
что команда как нечто целое имеет свой характер, опреде­
ляемый целью и временем функционирования. Членство в
команде может быть как функциональным, так и взаимодопол­
няющим, определяющим взаимозаменяемость и наиболее
эффективный способ достижения цели команды.
' См.: Яхонтова Е.С. Эффективность управленческого лидерства. — М.:
ТЕИС, 2002. - С. 280.
181

91.

00
*
po
h
01
о
о
S -9о
°ш
^ -о
Q
=1
X
Организационные
преимущества
команды:
• с о в е р ш е н с т в у е т с я о р г а н и з а ц и о н н а я к о м м у н и к а т и в н а я сеть;
• члены к о м а н д ы о с т р е е о щ у щ а ю т ответственность за к о н е ч н ы й результат;
• налаживаются более крепкие связи между внешними и внутренними структурами;
• коллективные принципы принятия р е ш е н и й меняют стили управленческого лидерства;
• устанавливается более справедливая система стимулирования результативной деятельности;
• формируются организационные ценности как фактор поведения членов команды
Характер
Условия
команды:
• членство в команде;
• цель к о м а н д н о й
деятельности;
• продолжительность
функционирования
команды
^ |
Команда
| ^
эффективной
деятельности
включают
требования:
• функциональной идентификации;
• управления взаимной зависимостью;
• управления степенью закрытости команды;
• своевременного выявления противоречий;
•управления в условиях существования различий;
• создания условий для постоянной к о м м у н и к а ц и и членов группы.
Целесообразность
командной
деятельности
возникает
когда:
•задание требует различных умений;
• устанавливается взаимное доверие;
• осознается высокая потребность в к о о р д и н а ц и и и инновации;
• различные компоненты работы взаимосвязаны и взаимозависимы;
• структура и культура о р г а н и з а ц и и не исключают ф у н к ц и о н и р о в а н и е к о м а н д ;
• имеется достаточно в р е м е н и для о р г а н и з а ц и и и с т р у к т у р и р о в а н и я к о м а н д н о й работы;
• члены команды заинтерисованы в установлении нравственных обязательств в о т н о ш е н и и
друг друга
Рис. 1 . 4 9 . Х а р а к т е р и с т и к и к о м а н д ы
00
mm

92.

ф
М о д у л ь 4. Реализация стратегических и з м е н е н и й
Ч А С Т Ь I. Стратегический м е н е д ж м е н т : бакалавриат
Несмотря на то что командная деятельность обеспечивает
создание условий для лидерства, быстрой выработки инноваци­
онных альтернативных решений при высоком качестве работы
и большей удовлетворенности результатами труда, эффектив­
ное управление командой не является панацеей от всех бед.
Командная работа целесообразна в большей степени, когда
требуется системное проявление различных умений работни­
ков, в то время как формальные структуры организации и социокультура ее членов не способны справиться с решением
задач эффективного функционирования организации на протя­
жении длительного времени. Например, разработка и реализа­
ция стратегии развития организации требует системного (а не
функционального) подхода со стороны главных специалистов
организации, а сам процесс формирования стратегии содержит
творческую компоненту, которую трудно обеспечить в рамках
обычных взаимоотношений работников организации.
Таблица 1.27
1
Характеристика трех уровней командообразования
I 184
С — Эффективный
организационный
комплекс
Характе­
ристика
А — Сплоченная ра­
бочая группа
В — Эффективная
рабочая команда
Иденти­
фикация
Вначале определе­
ние индивидуаль­
ной работы,
а затем ее места
в группе
Высокая иденти­
фикация с собст­
венной командой
Осознание причаст­
ности к другим ко­
мандам больше,
чем идентифика­
ция с собственной
командой
Процесс
принятия
решений
Связан с индиви­
дуальным и груп­
повым вкладом
Разделяется между
членами группы
Разделяется между
командами и дру­
гими частями орга­
низации
Коммуни­
кации
Формальные сове­
щания для сооб­
щения о результа­
тах работы группы.
Неформальные,
спонтанные ком­
муникации сведе­
ны к минимуму
Обширная обрат­
ная связь. Частые
спонтанные не­
формальные ком­
муникации
Широкое исполь­
зование внутри- и
межкомандной об­
ратной связи. Ком­
муникации в стиле
«наша организа­
ция»
Распреде­
ление ра­
бочих за­
дач
Индивидуальные
задания с мини­
мальной интегра­
цией рабочих за­
дач
Общая информа­
ционная база, ра­
бочий процесс и
производственные
проблемы для всех
Постоянное отсле­
живание прогресса
других команд и
перестройка рабо­
ты
Групповая
атмосфера
Комфортная груп­
повая атмосфера
Единство, поддерж­
ка, защита команд­
ных целей и задач.
Чувство прина­
длежности к «на­
шей команде»
Главный настрой
направлен на со­
трудничество и
удовлетворение
каждого в органи­
зации; улучшение
и совершенствова­
ние в целом
Уважение
и поддерж­
ка в груп­
пе
В основном ува­
жение и подде­
ржка за индивиду­
альные знания и
навыки
Уважение и вос­
хищение в коман­
де за выполнение
разделяемых целей
Осознание усилий
по построению до­
верия с другими
группами и коман­
дами в организации
Синергия
Результат индиви­
дуальных вкладов
Чувство победы
через достижения
целей «нашей
команды»
Чувство победы
через достижения
цели всей органи­
зации
15.2. Уровни командообразования
Для разрешения многих проблем существует передовой от­
ряд предприятия — управленческая команда, собрание мудрых,
опытных управленцев, представляющих основные функцио­
нальные подразделения. Совместная работа предполагает выяв­
ление наиболее сложных межфункциональных проблем, стоя­
щих перед предприятием. Однако часто такая работа только
создает видимость сплочения и нацеленности на успех, а в кон­
тексте взаимодействия речь идет о борьбе за личную репута­
цию, для поддержания которой работники подавляют все внут­
ренние разногласия.
В реальности командная работа применяется широко там,
где ожидаемый результат требует взаимосвязанных действий,
которые не могут быть выполнены эффективно при индивиду­
альной работе.
Для определения необходимости в командной работе можно
использовать трехуровневую модель командообразования, пред­
ставленную в табл. 1.27. Первый уровень соответствует потреб­
ности в минимуме совместной работы в рабочей группе, второй
основан на потребности во взаимодействии членов группы, а
третий определяется потребностью во взаимодействии несколь­
ких команд.
ф
1
Галкина Т.П. Социология управления: от группы к команде: учеб. по­
собие. — М.: Финансы и статистика, 2001. — С. 163—164.
185

93.

М о д у л ь 4. Реализация стратегических и з м е н е н и й
ф Ч А С Т Ь I. Стратегический м е н е д ж м е н т : бакалавриат
Каждый руководитель стремится к тому, чтобы создать
команду, которая обеспечила бы эффективную работу пред­
приятия. Признаки эффективной организации приведены на
рис. 1.50.
Способность к
нововведениям, развитию
Умение работать как
единое целое
Удовлетворение запросов
потребителей
Способность к
непрерывному обучению
и воспитанию
Эффективность
предприятия
Рациональное
распоряжение
имеющимися ресурсами
Способность
руководителя к
стратегическому
лидерству
Создание условий для
проявления каждым
сотрудником инициативы
Чувствительность к
предупреждающим
сигналам
1
Рис. 1.50. Признаки эффективного предприятия
Работа в команде перспективна в отношении не только раз­
вития потенциалов предприятия в целом, но и каждого сотруд­
ника в отдельности. Однако на волне увлечения управлением
командой иногда объявляют, что многотысячные организации
являются единой слаженной командой. Слово «команда» в дан­
ном случае выступает не более чем метафора. На самом деле
чаще всего речь идет о команде руководителя предприятия.
Нетрудно понять, что эффективное управление предпри­
ятием без надлежащего лидера неосуществимо. Поскольку ли­
дерство первично, оно предшествует менеджменту.
Если же сравнивать сущность менеджмента и лидерства, то,
по меткому замечанию Хьюберта Рамперсада, «Менеджеры за­
нимаются тем, чтобы "делать вещи правильно", в то время как
2
лидеров интересует то, как «делать правильные вещи» . По его
мнению, в командной работе присутствует все, что характерно
для деятельности человека вообще, с поправкой на взаимодей­
ствие в группе, о чем свидетельствует рис. 1.51.
Командный менеджмент основан на процессе делегирова­
ния полномочий.
1
Построено по: Зинкевич-Евстигнеева Т.Д., Фролов Д.Ф., Грабенко Т.М. Те­
ория и практика командообразования. Современная технология создания ко­
манд / Под ред. Т.Д. Зинкевич-Евстигаеевой. — СПб.: Речь, 2004. — С. 121.
2
Рамперсад Х.К. Универсальная система показателей деятельности: Как до­
стигать результатов, сохраняя целостность / X. К. Рамперсад) Пер. с англ. — М.:
Альгшна Бизнес Букс, 2004. — С. 223.
186
ф
Сущность команды состоит в общем для ее членов обяза­
тельстве в части достижения поставленной цели и некоего
предназначения — миссии команды, в которую верят все члены
команды. При этом наличествует командная подотчетность как
проявление определенных обещаний, которые лежат в основе
таких аспектов, как обязательства и доверие. Для команды важ-
1—
Процесс работы
• Работа по определенному методу.
• Процедура проведения собрания.
— • Подведение итогов работы
команды
Основные задачи
• Идентификация проблем и
формулирование командных целей.
• Выдвижение идей и разработка
решений.

• Ф о р м и р о в а н и е команды, ее
развитие и обучение.
• Распределение задач, времени и
ресурсов
Взаимодействие и
межличностные
коммуникации
• Слушание -«задавание вопросов
-«развитие идей других участников
-•конструктивная аргументация
позиций участников-»достижение
понимания точки зрения
собеседника-«обобщение-»
вовлечение остальных членов
команды-«высказывание
оценочного мнения-«комментарии
по работе других участников и
получение от них обратной саязи-»
конструктивные переговоры-»
урегулирование конфликтов
Вспомогательные
задачи
• Контроль над соблюдением
регламента.
• Ведение протокола.
»Наблюдение за работой команды
и анализ ее работы.
• Ведение записей на доске.
• Приготовление кофе, чая и
прохладительных напитков.
• Резервирование комнаты для
собраний и ее оснащение.
• Поиск тихого п о м е щ е н и я с
минимумом посторонних
раздражителей.
• Выработка правил пользования
мобильными телефонами, курения
и перерывов
Рис. 1 . 5 1 . Составляющие командной работы
187

94.

М о д у л ь 4. Реализация стратегических изменений
ф Ч А С Т Ь I. Стратегический менеджмент: бакалавриат
но наличие у ее членов взаимодополняющих навыков, основ­
ные из которых заключаются в реализации экспертных знаний
и опыте, умений в области принятия решений и навыков меж­
личностного общения.
Модель структуры управленческой команды проста и напо­
минает открытую (ее еще называют парламентской) структуру
управления, при которой лидер команды организует процесс уп­
равления, давая возможность каждому члену команды выска­
зать свое суждение по каждой проблеме. В этом случае отсутс­
твуют иерархические связи между членами команды, а капитан
команды (ее лидер) — старший среди равных.
Если рассматривать структуру команды как параметр само­
управляемой системы, то здесь в первую очередь следует отме­
тить структуру парных связей между членами команды. Указан­
ная структура должна обеспечивать стабильность (устойчивость)
горизонтальных связей между членами управленческой коман­
ды, которые образуются в течение длительного времени фор­
мирования социокультуры команды (традиций, привычек, ле­
гендарных историй, фольклора и т.д.) и требуют постоянной
поднастройки структуры команды.
предприятия и индивидуальными целями ее работников, со­
ставляющих команду управления. Кроме того, принятие чле­
ном команды корпоративных целей и корректировка своих
собственных устремлений снижает вероятность конфликта
между целями личными и коллективными в силу большей ос­
ведомленности в причинах принятых командой целевых уста­
новок и в силу возможности аргументированного отстаивания
своей позиции в процессе обсуждения.
Синергический эффект принятия командных решений спо­
собствует генерированию оригинальных целей и идей, но реали­
зовать указанную возможность дано не любой группе, а только
команде. Но, как свидетельствуют результаты многолетних ис­
следований Мередит Р. Белбина, команды, составленные только
из одних интеллектуалов, никогда не становятся победителями
в принятии эффективных решений, успеха же достигают коман­
ды, в которых присутствуют признаки системности, а целевые
установки членов команды не противоречат командным целям.
Будет оправданным использование пяти этапов формирова­
ния команд.
1. Адаптация (поиск оптимального способа решения задач).
2. Группирование (формирование подгрупп по симпатиям и
интересам).
15.3. Этапы формирования команд
3. Кооперация (осознание желания работать над решением
задачи).
Участие потенциальных членов команды в разработке стра­
тегии предприятия, впрочем, как и иная совместная деятель­
ность членов группы, позволяет выстроить индивидуальные
векторы целей в одном направлении (в направлении развития
организации) и обрести большую сплоченность в совместном
поиске решения стратегических проблем. Однако стратегия
предприятия и стратегия развития команды хотя и связаны
между собой и не должны противоречить друг другу, но они
различаются между собой тем, что у них разные задачи, выте­
кающие из соответствующих целей.
Цели командной работы объясняют основу и направленность
ее деятельности и должны быть декомпозированы до уровня за­
дач конкретных и понятных членам команды. При этом члены
команды должны не только одинаково понимать постановку за­
дач, но и понимать изменение этих задач в динамике.
Установление целей команды, таким образом, служит свое­
образным связующим звеном между стратегическими целями
4. Нормирование деятельности (разрабатываются принципы
группового взаимодействия).
5. Функционирование (стадия принятия решений).
Однако наибольшее распространение получило описание
процесса командной работы, основанное на выделении четырех
этапов: формирования,
«бурления», выработки норм и функци­
1
онирования .
В табл. 1.28 представлены основные характеристики этого
процесса на всех четырех этапах.
Приемы построения команд должны учитывать националь­
ные особенности и специфику корпоративной культуры орга­
низации, в которой формируется команда.
Сравнительные исследования национальных культур де­
монстрируют преобладание в них либо индивидуализма, либо
188
ф
1
См., например, Филоновт СР. Лидерство и практические навыки ме­
неджера: 17-модульная программа для менеджеров «Управление развитием
организации». Модуль 9. — М.: ИНФРА-М, 2000. — С. 135.
189

95.

ф Ч А С Т Ь |. Стратегический м е н е д ж м е н т : бакалавриат
М о д у л ь 4. Реализация стратегических и з м е н е н и й
°0
х
A J
«
у к 3 и
° о. 5 «.
43
О
«
s о S
S X
_
X
ч g
Ч в
о О
* S с
е а я
я 5 ж
s г;
s
Uй S «
3 * и
о S 2 и
X g С о
2 S 2 о g
Ч
я со ^ X
Р. О о X
в ^ л , et
о S У о
X »
X Я 2 « S
в Л «о 5 & 3
со S ев 8 Я
О X
С X
S
А!
"
3 3. &
o l e l
Р G
. О о)
о S о
S S K
Ж о в
.
tj«SS
3 х в h
2 Я« Я
я
"5-
Я eшn X I S
s
4
5 s I в
iо sв Iс яI *о
a S о о
3 • ч о.
sI IsS
£ s§ Я S §
й
. | 5 §
I 5s £
•2 йь §а о-
• S
О. О'
о • Sс я
я
н ч g
х
* 5
£5
•о я 3
и х а.
х я
& и
и X
X
О « S f
О
о
-
о. n s *
о 4
qДa (U
и из
0«c(S
ъ§8
О W я
li
§ Я в
4
S o Я
« Ц
Л я s
о
о
Я
•*> «а (
5 «
«
S 5 о-
ЯР
»с 2 Е S
3 о
2
ч ч
X
s 2 S * 2 я
*
t> q
3
о. о
Я
е
и
£ 8 Gй I*G
11
2
f a
вX
групповой ориентации. Кроме того, проявление индивидуализ­
ма существенно меняется в зависимости от того, в какой биз­
нес-культуре развивается команда.
В этом процессе важна роль лидера команды, который дол­
жен преуспеть в решении следующих задач.
1. Установление взаимного доверия между менеджментом и
потенциальными членами команд.
2. Развитие навыков представителей менеджмента и канди­
датов в члены команд в следующих сферах:
• межличностные отношения с равными по статусу, подчи­
ненными, параллельными структурами;
• разрешение межличностных и групповых конфликтов;
• открытая коммуникация с проявлением честности и ува­
жения.
3. Обеспечение поддержки и помощи в развитии взаимопонима­
ния, мотивации к достижению результатов у членов команды.
4. Проведение ревизии и оценки основных навыков представи­
телей менеджмента в следующих сферах: планирование рабо­
ты; установление задач менеджмента; контроль над выполнени­
ем задач; управление временем (личным и коллег); технология
разрешения проблем и вовлечение людей в команды.
5. Соединение идеи командного лидерства и последующих пе­
ремен с реформированием системы стимулирования (начисление
заработной платы, компенсаций и т.д.).
Построение команды, как отмечают многие специалисты, на­
чинается с самоидетификации (ответа на вопрос: кто мы такие?),
формулирования целей совместной деятельности (ответа на воп­
рос: чего мы хотим?) и определения требуемого типа команды и
вариантов распределения ролей (ответа на вопрос: как лучше ор­
ганизоваться для того, чтобы достичь поставленных целей?).
В поиске ответа на первый вопрос следует обсудить с
потенциальными членами команды имеющийся у них опыт
командной работы и создания команд, описать образ идеаль­
ного состояния планируемой команды в терминах ее потен­
циальных членов. Целью такого обсуждения должно стать не
только знакомство членов команды друг с другом, но и поиск
эффективного применения умений каждого в командной работе.
Цели команды могут включать четыре категории-компонен­
ты, определяющие ее эффективность.
• Результативность деятельности команды.
• Удовлетворение потребностей членов команды.
191
190
I
ф

96.

ф
Ч А С Т Ь I. Стратегический м е н е д ж м е н т : бакалавриат
М о д у л ь 4. Реализация стратегических и з м е н е н и й
• Удовлетворение потребностей внешней среды.
• Рациональное использование имеющихся ресурсов и воз­
можностей, предоставляемых внешней средой.
Самоорганизация команды проявляется в распределении ро­
лей (в соответствии с типологией конкретных личностей и це­
лями функционирования команды) и в формировании стандар­
тов взаимодействия и оценки деятельности членов команды.
Контрольные вопросы и задания по модулю 4
Тема
12
1. Что понимается под управлением изменениями?
2. Что такое созидательное разрушение по Й. Шумпетеру?
3. Революционные изменения в организациях происходят непре­
рывно или дискретно?
4. Назовите этапы стратегических изменений.
5. Что следует предпринять, чтобы снизить сопротивление измене­
ниям?
6. От чего зависит процесс перемен в организации?
7. Приведите примеры подсистем, обеспечивающих изменения в
организациях.
8. Какие аспекты следует учитывать при реализации стратегии?
8. Зависит ли успешность реализации стратегических изменений от
модели организации?
9. Каковы особенности внесения изменений в организациях, отно­
сящихся к механической модели?
ю. Какие стили лидерства возможны при реализации изменений?
Тема
14
1. В чем заключается стратегическое управление с помощью малых
групп?
2. В чем проявляется системность командообразования?
3. Какова роль лидера в формировании командного видения?
4. Можно ли сказать, что «лидерство» — категория ситуационная?
5. Назовите шкалы модели Майерс—Бриггс.
6. На каких этапах разработки стратегии необходимо участие инту­
итивно воспринимающих членов команды?
7. Каковы принципы создания команды?
8. Какому типу личности отдать предпочтение при выборе руководи­
теля команды: решающему или воспринимающему?
9. Зачем развивать в членах команды системное мышление?
ю. Можно ли утверждать, что команда единомышленников прини­
мает более сильные решения, чем команда разномыслящих лю­
дей?
9. Что следует использовать при мотивировании персонала в пери­
од внедрения изменений?
ю. Что служит причиной того, что необходимые изменения откла­
дываются?
Тема
13
1. Назовите три уровня изменений в организации.
2. Почему изменения сопровождаются временным спадом эффек­
тивности?
Тема
15
1. Можно ли назвать конкуренцию между организациями конкурен­
цией между командами управления организаций?
2. Опишите функциональный состав команды управления.
3. Определите рациональный состав команды и типологию личнос­
тей.
4. Приведите примеры и структурные схемы типов личностей.
3. На чем основан бихевиористский подход к индивидуальным из­
5. Дайте характеристики четырех шкал предпочтений.
менениям?
4. В чем суть психодинамической школы индивидуальных изменений?
6. Состав команды должен быть постоянным или может меняться в
зависимости от стадии принятия решений?
5. Назовите типы корпоративных команд.
7. Что делает команду таковой: общая цель или совместный труд?
6. Обозначьте факторы роста эффективности командной работы.
8. В чем состоят общие принципы формирования команды?
7. Какие факторы представляют собой ловушки на пути к измене
9. Каковы достоинства работы командой?
ниям?
192
^ to. В чем заключаются недостатки работы командой?
7 Стратегический менеджмент
t
ф

97.

Компетенции бакалавра
в части стратегического
менеджмента
Начальные знания и опыт в области стратегического менеджмента,
приобретенные в процессе освоения курса, должны позволять бака­
лавру принимать стратегически значимые решения в реальной практи­
ке хозяйственной деятельности организаций всех организационноправовых форм.
Понимание процесса стратегического управления с позиций сис­
темного анализа должно проявляться и в постановке проблем, и в со­
четании стратегического управления с оперативным.
Умение видеть за корпоративной стратегией стратегии отдельных
бизнес-единиц и понимать содержание и взаимосвязи функциональ­
ных стратегий должно присутствовать среди качеств бакалавра в облас­
ти стратегического менеджмента. Он должен иметь представление об
основных направлениях интегрирования корпоративной социальной
ответственности в теорию и практику стратегического управления в
стране и за рубежом.
Бакалавр должен уметь разрабатывать стратегию развития органи­
зации, исходя из результатов проведенного им анализа параметров
внутренней среды организации и внешнего окружения, а также анали­
за сложившейся системы стратегического управления в организации.
Бакалавр должен знать основные школы стратегий, знать класси­
фикации эталонных стратегий, а также разбираться в подходах, позво­
ляющих определять линию стратегического поведения организаций.
В процессе обучения бакалавры должны приобрести и закрепить
навыки формулирования видения, миссии и стратегических целей ор­
ганизаций, а также построения стратегических проектов и программ.
Умения бакалавра обеспечивать реализацию выработанных стра­
тегических решений могут проявляться как в самоорганизации, так и в
обеспечении командных изменений. Бакалавр должен знать типоло­
гию личностей и распределение ролей в стратегических управленчес­
ких командах. Опыт командного взаимодействия должен позволять ему
определять направления повышения эффективности командного взаи­
модействия в целях стратегического развития организаций.
Стратегический
менеджмент:
магистратура

98.

Напутствие магистранту
|
Начиная знакомство со стратегическим менеджментом на уровне
магистратуры, следует иметь в виду, что значительная часть образова­
тельного процесса будет представлять собой самостоятельную работу
магистранта с литературными источниками и проведение исследова­
ния, которое завершится написанием магистерской диссертации.
Поэтому к моменту завершения изучения курса магистрант должен
будет знать основные результаты новейших исследований по проб­
лемам стратегического менеджмента, основные понятия, методы и
инструменты количественного и качественного анализа процессов
стратегического управления, а также основные элементы процесса
стратегического управления и альтернативы стратегий развития.
В связи с этим ему предстоит исследовать современные проблемы
стратегического управления и методы проведения исследований в об­
ласти стратегического менеджмента.
В процессе обучения магистранты должны приобрести опыт разработки стратегий развития организаций, опыт перехода от стратегичес­
ких моделей и стратегических матриц к вариантам стратегического
развития реальных организаций. Кроме того, магистранты должны
приобрести опыт разработки решений по корректировке стратегии
развития организаций.
Стратегически значимые решения магистранты должны уметь вы­
делять наряду с тактическими и оперативными. Они должны научиться
проводить анализ стратегических решений как путем построения мат­
рицы решений, так и с помощью анализа показателей развития орга­
низаций. Кроме того, магистранты должны научиться выстраивать аль­
тернативы стратегических решений и делать выбор на множестве
альтернатив.
Выпускники магистратуры должны уметь действовать в условиях,
приближенных к реальным, а для этого должны научиться модифици­
ровать ранее разработанные стратегии и выстраивать их на основе
ключевых компетенций.
Магистранты должны приобрести навыки контроля над ходом реа­
лизации стратегии и использования информации, полученной при об­
работке результатов обратной связи в стратегическом управлении.

99.

Модуль 5. Проблемы стратегического менеджмента
МОДУЛЬ 5
ПРОБЛЕМЫ
СТРАТЕГИЧЕСКОГО
МЕНЕДЖМЕНТА
ТЕМА 16
Конфигуратор школ стратегий
1 6 . 1 . Становление школ
стратегического управления
Наиболее полную классификацию школ стратегий построил
1
Генри Минцберг в книге «Школы стратегий», вышедшей впер­
вые в российском издательстве в 2001 г. [34].
Первые три школы имеют п р е д п и с ы в а ю щ и й характер
(отвечают на вопрос: как должны формироваться стратегии?):
• моделирование на базе осмысления и проработки (школа
дизайна);
• относительно изолированный процесс формального пла­
нирования (школа планирования);
• выбор стратегических рыночных позиций организации —
позиционирования.
Следующие шесть школ уделяют основное внимание специ­
фическим аспектам п р о ц е с с а ф о р м и р о в а н и я стратегии
1
Генри Минцберг — профессор менеджмента Монреальского Универ­
ситета Макгилла в Канаде, где работает с 1968 г., став доктором наук в
Массачусетсом технологическом институте. Он также читает лекции в Ев­
ропейском институте менеджмента в Фонтебло (INSTEAD) во Франции.
198
щ
(главное — в описании реальных процессов разработки страте­
гии):
• проникновение в будущее через озарение менеджера (шко­
ла предпринимательства);
• опираясь на логику когнитивной психологии, проникнуть
в сознание стратега (когнитивная школа);
• стратегия разрабатывается шаг за шагом по мере обучения
организации (школа обучения);
• стратегия — процесс переговоров конфликтующих сторон
вне организации и внутри (школа власти);
• принципы формирования стратегии определяются культу­
рой (школа культуры);
• стратегия формируется под влиянием извне (школа внеш­
ней среды).
При разработке стратегий полезны знания из различных об­
ластей:
• биологии (нарушение равновесия и приспособление ви­
дов);
• истории (стадии эволюции и революции);
• математики (теория хаоса);
• психологии (процесс познания и лидерство в организа­
циях);
• антропологии (разнообразие культур);
• экономики (знания о промышленных организациях, про­
цессах планирования);
• политики (принципы публичной политики);
• военной истории (стратегии в условиях конфликтов).
16.2. Стратегическое управление
как научная дисциплина
Стратегическое управление представляет собой ц и к л и ­
ч е с к и й п р о ц е с с , состоящий из процедур формулирования,
внедрения и контроля.
Стратегические неудачи современных российских организа­
ций во многом обусловлены п о в е р х н о с т н ы м и з н а н и я ­
ми их руководителей в области стратегического менеджмента
и отсутствием опыта проведения стратегических изменений в
организациях.
199

100.

ф
Ч А С Т Ь I I . Стратегический м е н е д ж м е н т : магистратура
Однако, как замечает Г. Минцберг, самые последние сведе­
ния об успешности функционирования организаций в совре­
менных условиях не укладываются в рамки какой-либо одной
школы стратегического управления. Более того, в некоторой
степени отсутствие стратегии может рассматриваться как некое
благо в силу нескольких причин. Во-первых, повышению стра­
тегической гибкости организации способствуют (и без разработ­
ки стратегии) продуманные действия руководителя. Во-вторых,
жесткое следование стратегическому курсу ведет к утрате спо­
собности к инновациям (стратегия «как догма» убивает способ­
ность к обучению и адаптации). В-третьих, отсутствие формаль­
ных элементов стратегии обеспечивает свободу от бюрократии.
Т е о р е т и к о в , занимающихся управлением, в большей
степени интересуют процессы и этапы стратегического разви­
тия организаций, в то время как для п р а к т и к о в важны про­
цедуры стратегических изменений, а также макроподход школы
власти (изучение союзов, коллективной стратегии) и изыска­
ния когнитивной школы. В последние годы возрастает попу­
лярность подходов школы обучения в части так называемых
самообучающихся организаций и ключевых факторов успеха
(стержневых компетенций).
Основные вопросы разработки стратегии заключаются в оп­
ределении содержания стратегии и в степени контроля процес­
са ее создания. Здесь необходимо рассмотреть восемь основных
проблем. Первые три затрагивают проблемы содержания стра­
тегии, остальные связаны с процессом ее формирования.
1. Проблема сложности кроется в ответе на вопрос: насколь­
ко сложной должна быть хорошая стратегия? С одной стороны,
она должна отражать многообразие окружающей нас действи­
тельности, а с другой — как и все идеальное, должна быть
простой. Истина там, где обеспечивается оптимальная степень
обобщения.
2. Проблема интеграции стратегии заключается в том, что
школа позиционирования и планирования в своей основе со­
держит набор слабо связанных между собой компонентов.
Сторонники иных школ считают стратегию единой, полностью
интегрированной перспективой. Интегрирование стратегий
осуществляется либо формально (интегрированные планы),
либо мысленно (воображаемое видение), либо нормативно
(нормы культуры), либо через взаимное приспособление (спло­
ченность коллектива) и т.д.
200
М о д у л ь 5. Проблемы стратегического м е н е д ж м е н т а
3. Проблема стандартизации стратегии затрагивает аспекты
новизны и уникальности стратегии: школы предприниматель­
ства и культуры — стратегии уникальны и выражают специфи­
ческую позицию человека; школа обучения — все стратегии
являются продуктами индивидуальных адаптивных процессов;
школа дизайна — стратегии уникальны, так как создаются в
ходе личностного процесса их разработки и т.д.
По оценкам специалистов, новые стратегии сложнее типо­
вых, более интегрированы и потому менее пластичны. Получе­
ние новых стратегий требует концентрации внимания менедже­
ров на уникальных свойствах организации. Типовые же
стратегии содержательно проще (их легче формулировать, цен­
тром становится содержание) и отличаются большей гибкос­
тью, универсальностью.
4. Проблема контроля процесса создания эффективной стра­
тегии (в отношении степени ее продуманности или формиро­
вания по ходу деятельности организации). Важно представить,
насколько этот процесс предначертан, продуман, интеллектуа­
лен, централизован и поддается контролю. Например, все пред­
писывающие школы и школа предпринимательства продвигают
идею о предначертанное™, продуманности стратегий, в то вре­
мя как школа обучения отдает предпочтение формированию
стратеги «по ходу».
5. Проблема коллективного взаимодействия отражает взаимо­
действие лидера (стратега), коллектива и внешней среды орга­
низации.
По мнению представителей школы дизайна и школы пред­
принимательства, стратегию вырабатывает один человек, а
представители школы обучения, политических сил и культуры
рассматривают создание стратегии как коллективный процесс.
Представители иных школ считают, что стратегию формируют
силы внешнего окружения (школа внешней среды), методика
(школа планирования), анализ (школа позиционирования) или
разум как явление биологическое (школа познания), т.е. важно
определить, является ли формирование стратегии индивидуаль­
ным, техническим, физиологическим или коллективным про­
цессом и процесс ли это вообще.
6. Проблема изменений распадается на три части: источника
изменений, наличия этих изменений в организации и определе­
ния характера изменений (при каких условиях они происхо­
дят).
201

101.

ф
Ч А С Т Ь I I . Стратегический м е н е д ж м е н т : магистратура
Указанные части проблемы обусловлены тем обстоятель­
ством, что организации одновременно должны и развиваться,
и оставаться стабильными. Поэтому важно определить, как ор­
ганизации обеспечивают сочетание порядка и адаптации к из­
менениям внешней среды, эффективности организационной
структуры и внутренних новаций работников. Побудительным
мотивом разработки стратегии (модели изменения организа­
ции) выступает стремление работников обеспечить стабиль­
ность и устойчивость организации, что также является проти­
воречием.
Очевидно, что в силу разнообразия организаций стратеги­
ческие изменения, проводимые в них, всегда разнообразны,
как и условия внедрения таких изменений, что обусловливает
сложности определения содержания самих изменений.
В процессе выработки стратегических решений и проведе­
ния изменений меняется не только форма, но и содержание
организации как самообучаемой системы в процессе: деятель­
ности (как утверждает школа обучения), мышления (школа ди­
зайна), нормирования деятельности (школа планирования),
анализа внешней и внутренней среды (школа позиционирова­
ния) или обсуждения проблем (школа власти). Однако способ­
ность систем к самообучению — свойство специфичное и не
присущее всем организациям одновременно.
7. Проблема выбора заключается не только в наличии выбо­
ра как такового, но и в числе альтернативных вариантов стра­
тегического развития организации. В основе проблемы выбора
лежит человеческий фактор: сила проактивного руководства,
индивидуальной интуиции, коллективного обучения.
8. Проблема мышления обусловлена тем, что, увлекаясь про­
цессом формирования стратегии, организации теряют над ними
контроль (забывая в первую очередь о насущной потребности
в стратегическом мышлении а во вторую —- о конкретных дейс­
твиях, обеспечивающих развитие организаций не столько в
планах, сколько в реальной действительности).
Рассматривая стратегию как систему, необходимо отметить,
что многообразие подходов и школ свидетельствует о периоде
становления стратегического управления как самостоятельной
научной дисциплины и вида деятельности практических работ­
ников. Чтобы двигаться вперед, нужны новые обобщающие ги­
потезы и разработки проблем стратегического управления ор­
ганизациями.
202
М о д у л ь 5. Проблемы стратегического м е н е д ж м е н т а
Структура школ стратегий представляет собой сочетание
трех групп или подсистем: группы стратегий предписывающего
характера, группы исследования процесса формирования стра­
тегий и группы сочетаний указанных подходов.
Каждая из названных подсистем может быть представлена
более детальными подсистемами (например, предписывающие
стратегии включают такие, в основу которых положены либо
принципы планирования, либо принципы нормирования, стан­
дартизации, а планирование, в свою очередь, может быть пред­
ставлено компонентами планирования на основе заранее за­
данного алгоритма либо на основе результатов анализа внешней
и внутренней ситуации для конкретной организации).
Основные особенности школ стратегического управления,
приведенные в Приложении 7, свидетельствуют о том, что
школы возникли в разное время (в интервале, ограниченном
всего 40 годами) и отличаются подходами к определению глав­
ных лиц, принимающих стратегические решения, а также к
определению основного содержания, особенностей и стратеги­
ческого образа самой организации.
16.3. Современная структура
школ стратегического менеджмента
За последние 50 лет в истории развития стратегического
мышления можно выделить шесть явно выраженных этапов
(рис. 2.1), на каждом из которых было разработано значитель­
ное количество моделей стратегического развития организа­
ций.
Так, на этапе 1 разрабатывались модели стратегического
планирования развития организаций и диверсификации ин­
вестиций. На этапе 2 тон задавала Бостонская консультацион­
ная группа с ее предписаниями фокусирования, стремления к
ценовому преимуществу над конкурентами, финансирования
роста, рациональной диверсификации и портфельных инвес­
тиций.
Этап 3 характеризуется появлением моделей для разработки
стратегий бизнес-единиц и отказом от моделей, разработанных
на предыдущем этапе, этап 4 — появлением интеллектуальных
творческих моделей, основанных на проявлении интуиции
стратегов и на креативной работе их правого полушария.
203

102.

Ч А С Т Ь I I . Стратегический м е н е д ж м е н т : магистратура
М о д у л ь 5. Проблемы стратегического м е н е д ж м е н т а
Годы
Настоящее
время
1980
отступление
к
прагматизму
1975
концепция
портфельного
менеджмента
ф
1965
5
X
та
§|
И
1955
Xm
та m
с; та
с а.
Этапы
1
Р и с . г л . Этапы изменения в стратегическом мышлении
Этап 5 взорвал ситуацию появлением большого числа мо­
делей, основанных на принципах конкуренции, а этап 6 сопро­
вождался появлением моделей на базе исключительных компе­
тенций работников организации, их амбиций и убеждений.
Последние обстоятельства обусловили появление моделей, ори­
ентированных на формирование самообучающихся организа­
ций.
К 10 школам, выделенным Генри Минцбергом, Ричард Кох
добавил еще две школы, представленных Гари Хамелом с Коимбатор Кришнарао Прахаладом и исследователями Эшриджского центра стратегического менеджмента (рис. 2.2).
Первые три школы по классификации Г. Минцберга имеют
п р е д п и с ы в а ю щ и й характер и отвечают на вопрос: как
должны формироваться стратегии?
204
Щ

103.

Ф
Ч А С Т Ь 11. Стратегический м е н е д ж м е н т : магистратура
1. Моделирование на базе осмысления и проработки (школа
дизайна). Слабые стороны этого подхода: 1) он предполагает,
что генеральный директор и остальные стратеги могут все по­
нять и оценить; 2) модель оценки очень неточна и субъективна;
3) разделены процесс мышления и реализация; 4) это исклю­
чительно модель «сверху вниз»; 5) отводится очень незначи­
тельная роль экспериментам или они вообще не подразумева­
ются, как и обратная связь с рынком.
2. Относительно изолированный процесс формального пла­
нирования (школа планирования). Этой школе присущи значи­
тельные недостатки: 1) она базируется на старом, механис­
тическом представлении о мире, использовании поточного
производства; 2) в ее рамках предполагается, что события могут
быть прогнозируемы; 3) школа строго отделяет планирование
от оперативного управления; 4) она слишком предписываю­
щая, оставляет мало возможностей для эксперимента и 5) шко­
ла уделяет очень незначительную роль конкурентному преиму­
ществу.
3. Выбор стратегических рыночных позиций организации —
школа позиционирования. Генри Минцбергу позиционная
школа не нравится по нескольким причинам: она требует мно­
жества исторических данных, которые могут быть недоступны
в быстроразвивающихся отраслях; она отделяет процесс мыш­
ления от процесса действий и ограничивает масштаб обучения;
она уделяет слишком большое внимание анализу и расчетам и
отдает приоритет цифрам, а не пониманию рынка («ее идея
заключается не в том, чтобы что-то выведывать и учиться, а в
том, чтобы оставаться на месте и делать расчеты»); она слиш­
ком полна цифр и не приводит к уникальным решениям; она
вытесняет креативность, так как цифры начинают скорее до­
минировать, чем способствовать процессу формулирования
стратегии.
Следующие шесть школ уделяют основное внимание специ­
фическим аспектам п р о ц е с с а ф о р м и р о в а н и я стратегии
(главное — в описании реальных процессов разработки страте­
гии).
4. Проникновение в будущее через озарение менеджера
(предпринимательство). Ее легче понять как школу «мечты»,
или школу «мечтательного лидера». Здесь формулирование
стратегии представляет собой «черный ящик», оно загадочным
206
М о д у л ь 5. Проблемы стратегического м е н е д ж м е н т а
образом происходит в голове предпринимателя или лидера.
Стратегия в соответствии с этим подходом может быть нова­
торской и последовательной, а между размышлениями и дей­
ствиями может отсутствовать разрыв.
5. Опираясь на логику когнитивной психологии, проник­
нуть в сознание стратега (когнитивная школа). Школа исследу­
ет то, как работает мозг и как опыт может играть основную
роль в создании стратегии.
6. Стратегия разрабатывается шаг за шагом по мере обуче­
ния организации (школа обучения). Школа считает разработку
стратегии последовательным процессом, которому мы все вре­
мя учимся. Поэтому стратегия разрабатывается «по ходу дела»
как результат процесса мышления, действий и внешних собы­
тий. Стратегии могут возникать по мере того, как организация
узнает, что дает результаты.
7. Стратегия — процесс переговоров конфликтующих сто­
рон вовне и внутри организации (школа власти). Здесь есть два
аспекта: внутренняя политика, когда юные честолюбивые сто­
ронники радикальных реформ используют политику как способ
для того, чтобы завладеть большей властью для самих себя, и
когда организация использует политическое лоббирование для
достижения своих целей, таких как менее строгий контроль
или субсидирование.
8. Принципы формирования стратегии определяются куль­
турой (школа культуры). Эта школа фокусирует внимание на
развитии внутреннего согласия и культуры, которые могут спо­
собствовать прогрессу. Стратегия работает, если культура явля­
ется функциональной с позиции рынка. Она терпит неудачу,
если культура является или становится несоответствующей сло­
жившейся ситуации в результате того, что рынок изменился, а
компания нет.
9. Стратегия формируется под влиянием извне (школа внеш­
ней среды). Окружающая среда диктует стратегию. Здесь рынок
развивается в ходе естественной селекции — победителей оп­
ределяют рынки, часто наугад, и фирма не может практически
ничего с этим поделать, не может изменить ситуацию ни в
лучшую, ни в худшую сторону. Удача играет ключевую роль в
бизнесе, и сильное прославление стратегии является праздно­
ванием чистой случайности посредством последующей рацио­
нализации.
207

104.

ф Ч А С Т Ь 11. Стратегический менеджмент: магистратура
10. Школа конфигурации как сочетание подходов различ­
ных школ. Дело в том, что успешное функционирование ор­
ганизаций в современных условиях не укладывается в рамки
какой-либо одной школы стратегического управления. Не су­
ществует единственно правильного способа разработки стра­
тегии; каждый из уже перечисленных подходов может быть
подходящим в различных ситуациях. На протяжении своей
деятельности компания может воспользоваться рекомендаци­
ями нескольких школ. Революционное изменение может про­
изойти тогда, когда наблюдается полная трансформация стра­
тегии, структуры и власти, причем эта трансформация
вызвана изменением способа, которым разрабатывается стра­
тегия. Эти 10 школ рассматривают один и тот же процесс,
каждая своим способом.
11. Ресурсное направление, рассматривающее стратегию как
стратегическое намерение, основные деловые способности, а
также как выход за пределы. Если кратко, стратегическое на­
мерение — это честолюбивая среднесрочная цель, часто заклю­
ченная в энергичной стратегии, стратегии-лозунге, например
такой, как «Окружим CATERPILLAR* фирмы Komatsu. Идея
заключается в том, что существуют сильная приверженность к
достижению цели при любых затратах и общее для всей орга­
низации представление относительно того, как начать работу
над задачей. Этому подходу свойственно создание нескольких
сильных и специфических основных деловых способностей,
присущих компании в целом, а также идея «растянутых» целей,
более краткосрочных, но по-прежнему чрезвычайно важных.
12. Школа преимуществ «материнства» (школа корпоратив­
1
ной стратегии) . Преимущество «материнства» является для
корпоративной стратегии тем, чем является конкурентное пре­
имущество для стратегии бизнес-единицы. Оно имеет место в
тех случаях, когда материнскую компанию или центр можно
охарактеризовать как наилучшего возможного владельца бизне­
са, потому что они добавляют бизнесу стоимости больше, чем
это делал бы кто-либо другой, находясь на их месте.
1
Концепция этой школы стратегии сформулирована в Эшриджской
школе бизнеса (Англия). На протяжении последних трех лет программа
МВА «Эшриджа» занимает первое место в списке « Which МВА Economise —
рейтинге самых успешных программ МВА в мире по росту заработной пла­
ты выпускников.
208
М о д у л ь 5. Проблемы стратегического менеджмента
ф
16.4. Ресурсная школа стратегий
Международная практика и статистика свидетельствуют о
том, что «японские промышленные компании не только обла­
дают преимуществом в производительности труда, но и имеют
более низкие накладные расходы в процентном отношении к
общим расходам по сравнению с США или германоязычными
странами. А это уже не производительность труда, а произво­
дительность управления и организационных систем» [47, с. 132].
То же самое можно сказать и в отношении производительнос­
ти исследовательских работ.
Причина такого явления кроется в возможности достигать
больших результатов с меньшими затратами, в стремлении
свести к нулю все непроизводительные затраты и добиться мак­
симальной эффективности. Использование подобных рычагов
сродни отрыву целей от имеющихся ресурсов. В этой ситуации
цель по своей значимости ставится выше имеющихся ресурсов:
именно опережение целью средств ее достижения питает дви­
гатель создания преимуществ и «получение большего из мень­
шего».
Задача подобного рода сложна тем, что необходимо перио­
дически повышать уровень коллективных стремлений или фор­
мировать новые критерии лидерства. Единственное средство
достижения успеха — это повышение целевой «планки».
Исходные идеи школы следующие.
1. Компания не может быть задумана как портфель ресур­
сов.
2. Трудности с ресурсами не обязательно препятствуют до­
стижению глобального лидерства, равно как и обильные ресур­
сы не гарантируют его закрепление.
3. Существует огромная разница между положением фирм
на рынке и их конкурентоспособностью, связанной с имею­
щимся объемом ресурсов.
4. Результаты, достигнутые с помощью рычагов эффектив­
ности, возникают в основном вследствие увеличения числителя
в дроби, составляющей коэффициент производительности (до­
ход и чистая прибыль), а не из-за уменьшения знаменателя
(инвестиции и штаты).
5. Высшее руководство обычно уделяет чрезмерно много
внимания распределению ресурсов, а не использованию ресурс­
ных рычагов.
209

105.

ф
Ч А С Т Ь 11. Стратегический менеджмент: магистратура
М о д у л ь 5. Проблемы стратегического менеджмента
6. Способность использовать ресурсные рычаги — это меха­
низм окончательного отбора, отделяющий победителей от жертв
длительных баталий за отраслевое лидерство. Недостаточно по­
пасть в будущее первым — необходимо попасть туда с меньши­
ми затратами.
Г. Хамел и К. К. Прахалад выделяют пять основных спосо­
бов овладения ресурсными рычагами: «более эффективная кон­
центрация ресурсов на ключевых стратегических целях, более
эффективное накопление ресурсов, дополнение ресурсов одно­
го типа ресурсами других типов для создания ценностей более
высокого порядка, сохранение ресурсов, где это возможно, и
быстрое возмещение ресурсов путем сведения до минимума пе­
риода между затратами и окупаемостью» [47, с. 142].
Совокупность возможных ресурсных рычагов представлена
в табл. 2.1, с помощью которой можно оценивать степень ус­
пешности в реализации стратегии, рассматриваемой организа­
цией как отрыв целей от имеющихся ресурсов и использование
рычагов для его сокращения. В этом смысле подлинной про­
блемой для многих менеджеров является не столько нехватка
ресурсов, сколько избыток приоритетов, не столько сближение
целей и ресурсов, сколько дефицит творческих подходов к ис­
пользованию ресурсных рычагов.
Таблица 2.1
Совокупность ресурсных рычагов
Рычаг
Содержание ресурсного рычага
Определение цели
Акцент на важных видах деятельности
Сосредоточенность
Обозначение точных целей улучшения деятельности
Координация
Выработка согласия относительно стратегических
целей
Кооптация
Определение общей с партнерами цели
Извлечение опыта
Полное использование интеллектуальных способ­
ностей каждого сотрудника
Заимствование
Доступ к ресурсам партнеров
Смешивание
Новое сочетание навыков
210
ф
Окончание табл. 2.1
Рычаг
Содержание ресурсного рычага
Сбалансирован­
ность
Обеспечение важных дополнительных активов
Переработка
Вторичное использование навыков и ресурсов
Ускорение
Сведение времени возмещение затрат к минимуму
Зашита
Защита ресурсов от конкурентов
16.5. Школа «материнства»
Далее дано краткое изложение позиций «материнской» шко­
лы Р. Коха.
Вплоть до 1920-х гг. не существовало реального различия
между корпоративной стратегией и стратегией бизнес-едини­
цы, так как фирмы были скорее однородными, чем многопро­
фильными: подразделений не существовало. С 1920-х гг. выде­
ление подразделений привело к появлению многопрофильной
корпорации (Multi Business Corporation, МВС). Это также по­
влекло за собой создание центра — главного офиса, и позд­
нее — верхних региональных уровней управления. Основное
влияние процесса выделения подразделений пришлось на пе­
риод с 1949 г., когда только 24% американских компаний были
разбиты на подразделения, по 1969 г., к которому уже 80%
компаний состояло из подразделений.
Следовательно, выделение подразделений привело к созда­
нию центра и необходимости наличия корпоративной страте­
гии.
Центр многопрофильных компаний считает легкой задачей
Добавление стоимости всевозможными способами: путем сни­
жения цен поставщиков за счет дополнительного масштаба и
силы, а также лучшей осведомленности; за счет использова­
ния общих систем сбыта и экономии масштаба с другими ин­
фраструктурными подразделениями; путем уменьшения фи­
нансовых затрат; за счет лучшего доступа к покупателям и
иногда путем создания вертикально интегрированных цепо211

106.

ф
Ч А С Т Ь I I . Стратегический м е н е д ж м е н т : магистратура
чек, способности ограничивать возможности и изгонять кон­
курентов с ключевых рынков. Центр может также способство­
вать улучшению процесса принятия решений, привлечению
руководителей более высокого уровня, их лучшему обучению
и развитию, а также разработке проверенных рецептов бизне­
са, которые могут применяться во многих фирмах. Центр так­
же может разработать определенные методы, которые уже
здесь упоминались, такие как определение и усиление основ­
ных деловых способностей и обучение корпорации.
Но существует одна особенность — центр может также
значительно разрушать стоимость, и обычно именно это и
происходит из-за того, что центр принимает худшие решения
по сравнению с теми, которые приняли бы фирмы, находя­
щиеся под его руководством, по одной из следующих причин:
несоответствие между центром и некоторыми его бизнес-еди­
ницами; руководители центра на самом деле хуже осведомле­
ны о производственных компаниях, чем те, кто все свое время
тратит на руководство ими; у центра нет точной картины того,
что происходит в компаниях, или операционные менеджеры
не имеют стимулов либо освобождены от необходимости дейс­
твовать.
Разрушение стоимости может также иметь место, когда
центр поощряет совместную работу родственных бизнес-еди­
ниц, а для этого нет реального коммерческого обоснования.
Работа центра может разрушать стоимость вследствие создания
небольшой стоимости или подрывая целенаправленность отде­
льных действующих под его началом компаний. Центр также
может разрушать стоимость, осуществляя нецелесообразные
диверсификацию и приобретения.
Для того чтобы центр добавлял стоимости больше, чем от­
нимал, у него должны быть идеи относительно создания стои­
мости. Он должен знать, как можно лучше управлять бизнесом:
дешевле, быстрее, тщательнее или с получением лучшего про­
дукта.
Центр должен знать, как он собирается добавлять стои­
мость. Эшриджские исследователи выделяют пять способов:
создание, развитие, рычаг, связь, выход за пределы.
Центр должен сфокусировать свое внимание на централь­
ных бизнес-единицах, тех, в которых работают идеи относи­
тельно создания стоимости.
212
М о д у л ь 5-Проблемы стратегического м е н е д ж м е н т а
#
И наконец, для большинства многопрофильных корпора­
ций, по всей вероятности, было бы уместным проведение рес­
труктуризации или разделения. Им следует продать или отде­
лить бизнесы, которые не относятся к «центральной» области.
Если у них нет корпоративной стратегии, которая бы добавля­
ла больше стоимости, чем разрушала, им следует также упразд­
нить центр и учредить две или несколько новых независимых
отдельных бизнесе-корпорации.
Еще один из возможных вариантов добавления стоимости
центром многопрофильных корпораций своим компаниям,
предложен Эшриджским центром стратегического менеджмен­
та. В данном случае центр знает, например, что рентабельность
продаж определенного типа бизнеса может составить 10—20%,
и может найти бизнес, у которого этот показатель составляет
только 5%. Следовательно, центр может приобрести данный
бизнес и затем организовать там процессы таким образом, что
в результате рентабельность продаж возрастет. В качестве хоро­
ших примеров компаний, придерживающихся стратегии усиле­
ния, часто приводят ABB и Emerson.
Представители Эшриджской школы подчеркивают, что цент­
ру надлежит стараться следовать только одной (или максимум
двум) из пяти общих стратегий — попытки применять элемен­
ты различных стратегий обречены на неудачу. Стратегия выхо­
да за пределы имеет то преимущество, что она конкретна: дейс­
твия центра подвергаются испытанию, и если центр его не
проходит, то корпоративная стратегия или структура может
быть изменена.
Так новая корпорация, возникшая в результате слияния,
может добиться серьезного сокращения издержек [45]. Кроме
того, корпорация-покупатель может для разработки и внедре­
ния новых продуктов использовать научно-исследовательские
центры приобретенной корпорации, а также потенциал ее ра­
ботников. Что же касается эффекта комбинирования взаимодо­
полняющих ресурсов, то он не только обеспечивает доступ к
нужным ресурсам, но и позволяет получать их на более выгод­
ных условиях, что также способствует, наряду со снижением
уровня конкуренции, увеличению размеров рыночной ниши
корпорации.
Финансовые синергии проявляются в эффекте увода от на­
логообложения временно свободных денежных средств, а воз213

107.

0мп
ЛОПолвдтельиый
ании п
М о д у л ь 5. Проблемы стратегического м е н е д ж м е н т а ф
п
Цене
Часто „ t ! ! f
РЬ1ш.
ниже балансов ~ 1
вои
Часто в качестве и»
^обретенным производством, в частности благодаря внедрефи а
жеры называют Д и в е ^ и к Г и ю 7 ™
» *-в Ые м е
менеджеров
за ^ " контроля,
^ ^ ^ н е повышению
р г ^ м а от) ,
новой системы
финансового
ИфИВДо
К Т
степень риска.
' ^ р а я позволяет сни: ^ ^венности
^ « « « нменеджеров
н ы х P ^ за, исполнение
^ S ^ S бюджета,
« w » сокраще.
° °'
необоснованных
синергизма),
Теории агентских издержек и го™,
одГже
неосновного расходов
бизнеса (без структурного
4 е м для
продавца,
ГО ды
- < = ~ « « . / > я кампании покупателю, для котоп
г0
в которой решения о т п а н г ^
РГ М " ™
о н представляет
ббльшую ^ ^ Х г ь с я снижения издер« п потражают
отражают ситуац
ситуац1° f он
Р Т. ,
В
~ г ^ д и р он
и е
решения
принимают
в боль%равленческии
стелени
0
0о трансформациях
^

"
^
ведетТуве^иГни- объема продаж
И
ЭТОМ
степени
не^ собственники, а их агенты
—е менеджеры
значител
Г
/
^Дж
ры
*KOpnoW,
° е 4 к , значительно
реже о н ведет е vi с ^ " ^ ^ ^ " а т н в о й .
аЛЬТе 1
w чДО
TBO? в f °
егИ ческойконкурентами,
ций. При этом менеджеры руководствуются прежде всего сЫлании.
^ 1 1С 2.3нйЧ
а
Элеими личными интересами.
\ СотрУД
^ е М О ййИЧеС
страт ^ п р и в е д е н ы « Р
С
Кривая опыта отражает тот факт, что при удвоении наклаиовится
^ отр"УД
ленного объема выпуска какого-то товара или услуги затра!енты стра
организации на производство единицы продукции в реальна
^
ванный
исчислении, т.е. скорректированные с учетом инфляции, сн1 —
Совместные
Выиг
едС
а
с
-яЛТТОТИ

жаются на 20-30%.
Г Совместны^
п
Интефиров--
^
м
НИОКР
е и и е
аркет/игир
Основная идея укрупнения организаций заключается в с о ! пред °
ничесТв
дании новой стоимости.
\
Г "
СотрУА
°
В большинстве случаев за счет слияния или присоединении^^.
i
Перекрестное лицензирование
компаний появляется возможность повышения эффективност!
к
Аутсорсинг iпроизводства
"
_. —
деятельности поглощающей компании как результат проявле!
ния закона синергии.
1
;. 2.3. Элементы стратегии сотрудничества
Рис.
Существует два типа синергизма: структурный и управленД
ческий. Структурный синергизм означает объединение ресурсов!
двух компаний, позволяющее снизить издержки и увеличить!
Однако существует и опасность в реализации таких альтер­
объем продаж. Управленческий синергизм позволяет добиться! натив, состоящая в том, что, заключая союз, организация тем
улучшения показателей работы благодаря повышению качества самым может создать будущего конкурента. Так, американские
управления без каких-либо структурных изменений.
компании обнаружили, что соглашения по сотрудничеству с
Обычно под синергизмом подразумевают структурный си­
японскими партнерами позволили последним много узнать о
нергизм: объединение служб сбыта двух компаний позволяет
специфике бизнеса, технологиях и потребителях, т.е. получить
снизить издержки; продукция одной компании может реализознания для последующего вытеснения американских партнеров
вываться через сбытовую сеть другой, что ведет к возрастанию
объемов продаж и снижению издержек, приходящихся на еди­
с рынка.
ницу продукции. Структурный синергизм особенно велик, если
Границы между стратегией бизнес-единицы и корпоратив­
две компании производили аналогичную или взаимосвязанную
ной стратегией размыты, а сами стратегии бизнес-единиц и
продукцию, но имели разные системы сбыта и разных клиен­
стратегии корпораций соотносятся между собой как часть и
тов. В таких случаях сокращение издержек достигает 15—25%,
целое. Впрочем, М. Портер в свое время утверждал, что кон­
а объем продаж возрастает на 25—30% [23].
курируют на рынке не корпорации, а бизнес-единицы своей
Управленческий синергизм имеет место в случаях, когда
продукцией и услугами.
компания-покупатель способна более эффективно управлять
]
214
215

108.

ф Ч А С Т Ь I I . Стратегический менеджмент: магистратура
16.6. Стратегия конкурентного
преимущества
Конкурентное преимущество определяется в большей сте­
1
пени издержками и дифференциацией . Такое преимущество
дает его обладателю больше прибыли, чем конкурентам, как за
счет установления более высокой цены, так и вследствие боль­
шего объема продаж по сравнению с конкурентами. А большие
объемы продаж, в свою очередь, ведут к снижению удельных
издержек, что, опять же, создает конкурентное преимущество.
Поэтому снижение такого важного показателя, как доля
рынка, свидетельствует о потере конкурентных преимуществ.
Важнее этого показателя могут быть только факторы, которые
формируют рынок: люди, идеи и капитал. Напрашиваются два
стратегически значимых решения:
1) сконцентрировать как можно больше ключевых активов
(персонал, финансы, материальные активы) в сегментах, где
есть преимущество, изымая их из тех сегментов, где его нет;
2) обеспечить поиск новых способов создания или наращи­
вания конкурентного преимущества в этих сегментах.
В каждом бизнес-сегменте, конечно же, выстроены свои
границы конкурентного преимущества, которые включают:
• лидерство на рынке (сегменте рынка);
• растущую долю рынка;
• потребительский спрос (потребители оценивают вас выше,
чем конкурентов);
• более сильный, чем у конкурентов, бренд;
• качество продукции выше, чем у конкурентов (за одина­
ковую цену);
• уровень обслуживания выше, чем у конкурентов (за оди­
наковую цену);
• любой другой источник, который выделяет данный биз­
нес-сегмент и привлекает клиентов;
• издержки и цены ниже, чем у конкурентов (за одинаковое
качество или обслуживание);
• степень удержания клиентов выше по отношению к кон­
курентам;
1
При дифференциации компания обладает настолько отличающимся от
других продуктом (услугой), что важнейшие фуптты потребителей предпочи­
тают именно этот продукт (услугу).
216
М о д у л ь 5. Проблемы стратегического менеджмента
Ф
• степень удержания клиентов выше по отношению к дру­
гим сегментам;
• возможность сотрудничества с лучшими экспертами на
рынке;
• высокую прибыль по отношению к другим сегментам;
• высокую прибыль по отношению к конкурентам.
Кроме того, при разработке стратегии, основанной на кон­
курентном преимуществе, необходимо следовать четырем ука­
заниям (рис. 2.4).
Вначале важно иметь общее представление о возможных
источниках конкурентного преимущества, чтобы оценить ус­
тойчивость этого преимущества и определить действия по его
закреплению и развитию. Например, следует определить, у кого
из наших основных конкурентов издержки ниже или выше из­
держек нашего бизнеса. В этой части следует высказать следу­
ющие замечания.
Определить источники
к о н к у р е н т н о г о преимущества
Создать к о н к у р е н т н о е
п р е и м у щ е с т в о в к а ж д о м сегменте
Указания, ф о р м и р у ю щ и е
конкурентные преимущества
Повлиять на привлекательность
выбранных сегментов
О ц е н и т ь рыночную
привлекательность сегментов
Р и с . 2.4. Указания по разработке стратегии
• Если есть конкуренты, у которых цены ниже, а доля рын­
ка больше, то можно предположить, что доходность бизнеса та­
ких конкурентов будет выше доходности иного бизнеса в этом
сегменте рынка.
• Если в основе преимущества по издержкам лежит эффект
масштаба (большой объем реализации), то необходимо защи­
щать свою долю рынка так, чтобы избежать потерь имеющегося
преимущества.
• Если в основу преимуществ по издержкам заложены ори­
гинальные мероприятия, отличные от действий основных кон217

109.

ф
Ч А С Т Ь I I . Стратегический менеджмент: магистратура
курентов, то необходимо подготовиться к появлению соперни­
ка, который «раскусит» ваши методы формирования конкурен­
тных преимуществ.
• Вторым направлением действий можно назвать методы
дифференциации на сегментах рынка. К ним относятся следую­
щие.
— экстраординарное («энергичное») обслуживание;
— эмоции, вызванные торговой маркой или модным тече­
нием внутри одной потребительской группы (молодежь, сексу­
альные меньшинства, журналисты);
— лучшие технические данные;
— безопасность и надежность;
— дополнительные продукты;
— возможность получить товар немедленно;
— индивидуализация и персонификация;
— дополнительные услуги;
— удобство;
— непривычная скорость;
— необычные блага;
— новые каналы дистрибуции;
— новое видение самообслуживания;
— интересная упаковка и презентация;
— дружеское отношение;
— приветливый персонал.
И еще одно замечание: эксклюзивные инновационные ре­
шения позволяют получить высокий доход на небольшой капи­
тал, что может превратить любой скучный и старый товарный
рынок в высокоприбыльный сегмент.
Теперь ответим на вопрос: как повлиять на привлекатель­
ность выбранного сегмента рынка? Следует заметить, что на­
ряду с пятью силами конкуренции по М. Портеру нужно
учитывать еще четыре силы, которые помогают оценить при­
влекательность отрасли или ее сегмента.
1. Прибыльность отрасли или ее сегмента, определяемая
прибылью на инвестированный капитал. Здесь прибыльность —
это результат деятельности организации, а не сила.
2. Рост прибыли на инвестированный капитал как ключевой
критерий прибыльности и привлекательности конкурентоспо­
собности сегмента в будущем.
218
М о д у л ь 5. Проблемы стратегического менеджмента
ф
3. Темпы роста рынка.
4. Текущее соотношение сил между совокупным покупатель­
ским спросом и существующей производственной мощностью
отрасли.
Для суммарной оценки каждой отрасли или сегмента Р. Кох
предлагает проводить тестирование по восьми факторам, отра­
женным в табл. 2.3.
Таблица 2.3
Тест для оценки привлекательности отрасли (сегмента)
Минимальный
балл
Максимальный
балл
Прибыль на инвестированный капитал в
данном сегменте
0
40
Рост прибыли на инвестированный капи­
тал
0
10
Барьеры входа для новых конкурентов
0
10
Темп роста на рынке в будущем
0
10
Соотношение между спросом и произ­
водственной мощностью
-20
0
Угроза со стороны заменителей товара,
услуги или технологий
-20
0
Зависимость от поставщиков
0
10
Зависимость от покупателей
0
20
Фактор
И последнее действие — усиление привлекательности от­
расли или ее сегмента. Привлекательность отрасли представля­
ет собой величину переменную во времени, поэтому нужно
использовать любую возможность, чтобы увеличить привлека­
тельность, используя для этого каждый доступный для улучше­
ния фактор привлекательности.
Ряд таких факторов и адекватных им способов воздействия
представлен в табл. 1.5. Содержание этой таблицы свидетельс­
твует о том, что в основе привлекательности отрасли лежит
понимание того, какова расстановка сил конкуренции по
М. Портеру, с акцентом на характеристику и специфику самой
отрасли.
219

110.

ф Ч А С Т Ь I I . Стратегический м е н е д ж м е н т : магистратура
М о д у л ь 5. Проблемы стратегического м е н е д ж м е н т а
Следует заметить, что основу конкурентных преимуществ с
его стремлением минимизировать издержки и обеспечить диф­
ференциацию составляет способность менеджмента органи­
зации формировать управленческую команду, нацеленную на
стратегическое развитие бизнеса.
ТЕМА
17
Конкурентные стратегии организаций
17.1. Типология конкурентов
Конкуренция — это соперничество между товаропроизводите­
лями за более выгодные условия производства и сбыта товаров в
целях получения на этой основе максимально возможной прибы­
ли. Конкуренция — это самый эффективный метод экономичес­
кого контроля, так как стоит обществу минимальных затрат.
Конкурентоспособность организации — это возможность
осуществления эффективной хозяйственной деятельности и ее
практической прибыльной реализации в условиях конкурент­
ного рынка.
Конкурентоспособность как явление представляет собой со­
вокупность качественных и стоимостных характеристик, обес­
печивающих удовлетворение конкретной потребности.
Сочетание различных товаров на рынке и различающихся
направленностью потребителей позволяет говорить о некото­
рых т и п а х к о н к у р е н т о в , основные из которых приведены
в табл. 2.4.
Для проведения анализа конкурентов необходимо опреде­
лить всех реальных и потенциальных конкурентов и рассмот­
реть для каждого из них возможные стратегии, их текущее по­
ложение, их финансовые возможности, их предпринимательскую
философию и культуру, а также цели конкурентов.
Исследование осуществляется в три этапа:
1) выявление действующих и потенциальных конкурентов;
2) анализ показателей, целей и стратегии конкурентов;
3) выявление сильных и слабых сторон конкурентов.
По классификации П. Дойля, группы прямых конкурентов,
использующих стратегию лидерства по издержкам, стремятся
завоевать рынок с помощью низких цен за счет минимизации
всех видов издержек производства и реализации продукции.
Усилия группы дифференцирования направлены на удовлетво­
рение запросов потребителей в наибольшей степени по основ­
ным параметрам продукции.
Как будет показано далее, прямые конкуренты могут обра­
зовывать различные группы (рис. 2.5).
Группа фокусирования концентрирует свои усилия не на
рынке в целом, а на его сегментах, где конкуренты стремятся
завоевать покупателей двух первых групп. Однако косвенные
конкуренты с их товарами-заменителями или сходными услу-
Прямые к о н к у р е н т ы
Потребите­
ли
Г
Различные
Схожие
Прямые конкуренты
(предлагают аналогичные то­
вары и услуги тем же катего­
риям покупателей)
Косвенные конкуренты
(продают различные товары
организациим одной и той
же отрасли)
Различные
Товарные конкуренты
(продают одинаковую про­
дукцию разным типам поку­
пателей)
Неявные конкуренты
(фирмы различного профи­
ля)
Группа
фокусирования
I
Товары
Схожие
220
Группа
дифференцирования
Группа ц е н о в о г о
лидерства
Таблица 2.4
Типы конкурентов
Ц
у
Стремление
минимизировать
издержки
J
I
J I
Стремление в наибольшей
с т е п е н и удовлетворить
запросы п о т р е б и т е л е й в
части эксплуатационных
свойств, д и з а й н а и
д р у г и х особых
свойств
Внимание сосредоточено
на сегменте,
в к о т о р о м реализуется
стратегия
дифференцирования
или лидерства
по издержкам
П р и м е ч а н и е . А, Б, В, Г, Д, Е — конкуренты.
Рис. 2.5. С т р а т е г и ч е с к и е г р у п п ы п р я м ы х к о н к у р е н т о в
221

111.

ф
Ч А С Т Ь I I . Стратегический м е н е д ж м е н т : магистратура
гами часто представляют для организации не меньшую опас­
ность. Кроме того, со временем конкуренты приобретают зна­
ния и опыт, позволяющие им перейти в стратегическую группу,
занимаемую организацией, и стать прямыми конкурентами.
Выявление конкурентов проводится на основе одного из
двух подходов. Первый связан с оценкой потребностей, удовлет­
воряемых на рынке основными конкурирующими фирмами,
второй ориентируется на классификацию конкурентов в соот­
ветствии с типами рыночной стратегии, применяемой ими.
При первом подходе конкурирующие фирмы группируются
в соответствии с типом потребностей, которые удовлетворяет
их продукция. При втором подходе конкуренты классифициру­
ются в соответствии с ключевыми аспектами их ориентации в
производственно-сбытовой деятельности.
17.2. Стратегические направления
конкуренции
Конкурентное преимущество формируется в результате ре­
ализации одной из конкурентных стратегий: лидерства по из­
держкам, стратегии дифференциации, оптимальных издержек и
фокусирования. Есть два пути установления преимущества по
издержкам: 1) делать работу лучше конкурентов; 2) исправлять
структурные и функциональные показатели издержек — цепо­
чек ценностей (ЦЦ). В компактной форме необходимая инфор­
мация представлена в табл. 2.5.
17.3. Характеристика типовых
конкурентных стратегий
Стратегия низких издержек особенно важна в следующих
случаях:
• ценовая конкуренция среди продавцов особенно сильна;
• производимый в отрасли продукт стандартен;
• различия в цене для покупателя существенны;
• большинство покупателей используют продукт одинако­
вым образом;
• затраты покупателей на переключение с одного товара на
другой низкие;
222
М о д у л ь 5. Проблемы стратегического м е н е д ж м е н т а
ф
• существует большое число покупателей, серьезно влияю­
щих на снижение цены.
Риски стратегии достижения низких издержек: технологи­
ческий прорыв конкурентов, возможности появления простых
путей копирования навыков лидера по издержкам, излишнее
сосредоточение на снижении издержек и игнорирование других
направлений, изменение предпочтений покупателя и повыше­
ние требований к качеству товара, уязвимость замыкания в за­
данной технологии.
Стратегии дифференциации становятся привлекательными
по мере роста разнообразия предпочтений покупателей. Ком­
пания должна изучать их запросы и поведение. Конкурентное
преимущество появляется, когда большое число покупателей
будет заинтересовано в предлагаемых атрибутах и характерис­
тиках товара.
Успешная дифференциация разрешает фирме установить
повышенную цену на товар, увеличить объем продаж, завоевать
лояльность покупателей к своей товарной марке.
Разновидности схем дифференциации: отличительные вкусо­
вые качества, специфические свойства, доставка небольших
почтовых отправлений, поставка продукта в течение 24 ч, боль­
ше ценности товара при той же стоимости, престижность и
отличимость, качество исполнения, технологическое лидерство,
полномасштабный сервис, самые высокие имидж и репутация.
Дифференциация привлекательна, так как она:
• создает входные барьеры;
• сглаживает влияние силы покупателей;
• помогает избежать угрозы от товаров-субститутов.
Дифференциация работает лучше на тех рынках, где сущест­
вует много способов изменения товара и покупатель осознает
эти различия как имеющие ценность; потребности покупателя
и способы использования товара различны; небольшое число
конкурентов применяет аналогичный подход к дифференциа­
ции.
Риски стратегии дифференциации: если покупатель видит
мало ценности в уникальности, то стратегия издержек победит,
к тому же конкуренты могут скопировать все новшества.
Стратегия оптимальных издержек ориентирована на предо­
ставление покупателям «больше ценности» за их деньги. Это
предполагает стратегическую ориентацию на низкие издержки,
одновременно предоставляя покупателю несколько большее,
223

112.

Таблица 2.5
Факторы, определяющие лидерство по издержкам
Управление издержками
Структурные составляющие
Экономия или потери на масш­
табах производства могут быть
выявлены или созданы в любом
звене цепочки ценностей.
Эффект кривой обучения и опы­
та (в результате повышения эф­
фективности труда, создания мо­
дификаций продукции, которые
повышают эффективность про­
изводства, переоснащения ма­
шинного парка, получения част­
ной информации от поставщи­
ков, консультантов и бывших
работников конкурирующих
фирм).
Связь с другими видами деятель­
ности в цепочке ценностей. На­
пример, выявлять те моменты,
где и поставщики, и компаниипроизводители имеют высокие
издержки, поскольку отсутствует
координация и совместная опти­
мизация.
Совместное использование воз­
можностей различными произ­
водственными единицами внутри
организации (экономия на мас­
штабах производства, сокраще­
ние времени на создание новой
технологии и т.д.).
Выгоды вертикальной интегра­
ции по сравнению с вынесением
за пределы компании определен­
ных видов деятельности (прида­
ние значительной торговой
силы, сокращение издержек на
стыках ЦЦ).
Зависимость от географического
положения (уровень зарплаты
сотрудников, сумма уплачивае­
мых налогов, стоимость энергии,
затраты на получение и отгрузку
продукции, фрахтование).
Функциональные составляющие
Преимущества и недостатки пер­
вопроходцев (товарный знак и
дополнительные затраты).
Процент загрузки мощностей.
Стратегические выборы и произ­
водственные решения
Влияние менеджмента
на издержки
Совершенствование цепочек
ценностей
Защита лидерства
по издержкам
Увеличение/сокращение
количества предлагаемой
продукции.
Добавление/урезание ус­
луг, предоставляемых по­
купателям.
Большее/меньшее попол­
нение характеристик ка­
чества товара.
Большее/меньшее возна­
граждение служащих по
сравнению с конкурента­
ми в аналогичных отрас­
лях.
Увеличение/сокращение
количества различных ка­
налов распределения для
сбыта продукции фирмы.
Увеличение/уменьшение
уровня НИР относитель­
но конкурентов.
Упрощение разработки
товара, удаление изли­
шеств.
Реинжиниринг основных
производственных про­
цессов.
Использование более ра­
циональной технологии.
Использование продаж
конечному потребителю
и маркетинговых подхо­
дов, которые сокращают
часто неоправданные,
большие издержки и
прибыли оптовых и роз­
ничных торговцев (не­
редко составляют 50%
конечной цены, которую
платит покупатель).
Перенос производствен­
ных мощностей ближе к
потребителю/поставщику.
Лидерство по издержкам
дает лучшие позиции для
наступления, защиты, для
увеличения объема про­
даж или для отвоевания
доли рынка.
Противостоя силе поку­
пателей, компания с низ­
кими издержками часто
сохраняет уровень при­
были.
Такая компания лучше
других защищена от дик­
тата поставщиков, если
основой для ее конкурент­
ного преимущества по
издержкам является более
совершенная внутренняя
организация.
Затраты больших/мень­
ших усилий на повыше­
ние производительности
и эффективности относи­
тельно конкурентов.
Увеличение/сокращение
спецификации на приоб­
ретаемые материалы
Повышение экономичес­
кого уровня вертикаль­
ной интеграции по срав­
нению с конкурентами.
Внедрение в жизнь под­
хода «что-то для каждо­
го» и фокусирование на
ограниченном наборе то­
варов/услуг в целях удов­
летворения специальным,
но важным требованиям
покупателя и устранения
ненужных действий и из­
держек, связанных с
большим количеством
модификаций товара
С позиций потенциаль­
ных участников рынка
лидер по издержкам мо­
жет снизить цену, чтобы
затруднить новичкам за­
воевание клиентуры.
В конкуренции против
товаров-субститутов ли­
дер по издержкам имеет
хорошие позиции, так
как использование низ­
ких цен — надежная за­
щита против компаний,
пытающихся внедрить на
рынок аналогичные това­
ры

113.

Ф
Ч А С Т Ь I I . Стратегический м е н е д ж м е н т : магистратура
чем минимально приемлемое качество, обслуживание, характе­
ристики и привлекательность товара.
Стратегическая цель состоит в том, чтобы стать производи­
телем товара с низкими издержками и отличительными харак­
теристиками от хороших до превосходных, а затем, используя
преимущество по издержкам, снижать цену по сравнению с
аналогичными товарами, производимыми конкурентами.
Стратегия привлекательна в отношении конкурентного ма­
неврирования. Компания с оптимальными издержками может
предлагать товар среднего класса по цене ниже средней или
хорошего качества по средней цене.
Сфокусированные стратегии низких издержек и дифференци­
ации ориентированы на узкий сегмент рынка.
Цель состоит в том, чтобы лучше выполнить работу по об­
служиванию покупателей целевого сегмента.
Сфокусированная стратегия низких издержек связана с ры­
ночным сегментом, на котором требования покупателей к из­
держкам (а следовательно, и к цене), в отличие от остального
рыночного пространства, существенны. Затраты снижаются за
счет использования торговой марки (нет затрат на рекламу,
маркетинг), ориентации на клиентов, которые не исследуют
рынок (не платят за консультации).
Фокусирование дает хорошие результаты, когда компания
находит пути понижения издержек, ограничивая число покупа­
телей, чтобы четко очертить свою нишу.
Фокусирование целесообразно, когда:
• сегмент слишком большой, чтобы быть привлекатель­
ным;
• сегмент имеет хороший потенциал для роста;
• сегмент не является критическим для успеха большинства
конкурентов;
• компания, использующая стратегию фокусирования, име­
ет достаточно навыков и ресурсов для успешной работы на сег­
менте;
• компания может защитить себя от бросающих вызов кон­
курентов благодаря благожелательности клиентов к ее незауряд­
ным способностям в обслуживании покупателей сегмента.
Риски сфокусированной стратегии: есть вероятность того, что
конкуренты найдут возможность приблизиться к действиям ком­
пании на узком целевом сегменте; требования и предпочтения
потребителей целевого сегмента рынка постепенно распростра226
М о д у л ь 5. Проблемы стратегического м е н е д ж м е н т а
ф
няются на весь рынок; сегмент может стать настолько привле­
кательным, что вызовет внимание множества конкурентов.
Стратегические преимущества вертикальной интеграции:
• если вертикальная интеграция не приводит к существен­
ному сокращению издержек или к получению дополнительных
преимуществ, то она не является стратегически оправданной;
• интеграция «назад» приводит к снижению затрат тогда,
когда требуемый объем производства настолько велик, что обес­
печивает такую же экономию на масштабах производства, как и
на поставщиках (и наоборот). Это также снижает зависимость
компании от поставщиков;
• интеграция «вперед»: продавцам все равно, что продавать,
лишь бы прибыль была больше. В результате интеграции созда­
ется сеть связанных обязательствами дилеров, представляющих
продукцию компании конечному пользователю (это может дать
снижение издержек);
• для производителей сырья интеграция в производство мо­
жет способствовать большей дифференциации продукции и по­
мочь избежать ценовой конкуренции с другими производителя­
ми сырья;
• чем ближе находится поставщик к деятельности производи­
теля, тем больше возможностей у фирмы вырваться из данной
конкурентной среды и дифференцировать конечный продукт за
счет дизайна, обслуживания, качества, упаковки и проч.
Стратегические недостатки вертикальной интеграции:
• она увеличивает капиталовложения в отрасль, консерви­
руются технологии;
• она ограничивает фирму в свободе выбора поставщиков;
• она требует балансирования мощностей на каждом этапе в
ЦЦ (когда возможности производства в одном из звеньев превы­
шают потребности другого, излишки должны быть проданы);
• она требует различных навыков, деловых способностей и
умения анализировать ситуацию;
• интеграция с производителями частей рынка может со­
кратить производственную гибкость компании (частая перена­
ладка требует затрат).
Итак, у стратегии интеграции есть как сильные, так и сла­
бые стороны. Выбор зависит от того: 1) способна ли интегра­
ция улучшить стратегически важные участки работы компании
в направлении издержек или увеличения дифференциации;
2) как интеграция влияет на капитальные затраты, на гибкость
227

114.

ф Ч А С Т Ь 11. Стратегический менеджмент: магистратура
М о д у л ь 5. Проблемы стратегического менеджмента
и скорость ответной реакции, на административные расходы;
3) способна ли интеграция создать конкурентное преимущество.
Структурный анализ деятельности конкурентов как часть
общей системы их оценки проводится таким образом, при ко­
тором выясняются формы и методы товарной политики конку­
рентов, динамика изменения цен конкурентов, анализ средств
стимулирования сбыта у конкурентов.
Важнейшим параметром конкурентоспособности является
качество товара как совокупность свойств и характеристик про­
дукта, которое придает ему способность удовлетворять обуслов­
ленные или предполагаемые потребности.
Этот и другие параметры конкурентоспособности позволя­
ют оценить исследуемую организацию по сравнению с конку­
рентами. Пример такого сравнения приведен в табл. 2.6.
Таблица
Характерис­
тика конку­
рентоспособ­
ности
Имидж
Доля рынка
Качество товара
Маркетин­
говые пре­
имущества
Уровень обслуживания
Эффективность контактов с
клиентами
Способы распространения то­
вара
Географические особенности
рынка
Анализ прибыльности бизнеса
Финансо­
вая устой­
чивость
228
Анализ движения денежных
средств
Анализ размеров текущей за­
долженности
орга­
низа­
ции
конкурентов
1
2
Характерис­
тика конку­
рентоспособ­
ности
Оценки параметров
Параметры характеристики конку­
рентоспособности
орга­
низа­
ции
конкурентов
1
2
3
Уровень издержек
Эффектив­
ность рабо­
ты
Данные о производственных
мощностях
Технические навыки персонала
Возможности осуществления
поставок
Потенциал лидеров
Организа­
ционные
возможнос­
ти
Оценки параметров
Параметры характеристики конку­
рентоспособности
Окончание табл. 2.6
2.6
Выявление сильных и слабых сторон организации
по сравнению с конкурентами
ф
Мотивация сотрудников
Умение адаптироваться
Наличие предпринимательских
способностей
3
Структурный анализ деятельности конкурентов следует до­
полнить анализом общей ситуации в отрасли, чему и будет по­
священ следующий параграф.
17.4. Семь факторов, влияющих
на ситуацию в отрасли
1. Каковы основные экономические показатели отрасли?
Отрасли в значительной степени различаются по таким ха­
рактеристикам, как размеры рынка, масштабы конкуренции,
темпы роста рынка, число фирм-покупателей (продавцов) и
их относительные размеры, сложность вхождения в отрасль и
выхода из нее, степень вертикальной интеграции продавцов,
темпы технологических изменений, размер экономии на масш­
табах производства и эффект кривой опыта, степень стандар­
тизации или дифференциации продукции конкурентов, доход­
ность (прибыльность).
229

115.

Щ
Ч А С Т Ь I I . Стратегический м е н е д ж м е н т : магистратура
Факторы, которые необходимо изучить, чтобы определить
основные характеристики отрасли:
• размеры рынка;
• масштабы конкуренции;
• темпы роста рынка и стадия, на которой находится ры­
нок;
• число конкурентов и относительные масштабы их деятель­
ности;
• число покупателей и их финансовые возможности;
• направление интеграции («вперед» или «назад»);
• направления и темпы технологических изменений;
• легкость вхождения в отрасль и выхода из нее;
• являются ли продукты фирм-конкурентов высокодифференцированными или практически одинаковыми;
• есть ли у компании возможность экономить на масштабах
производства, транспортировке, маркетинге или проведении
рекламных мероприятий;
• является ли высокая степень загрузки производственных
мощностей наиболее важным условием для достижения низкого
уровня издержек производства;
• имеет ли кривая «обучение — опыт» в отрасли такой вид,
чтобы средняя цена изделия снижалась по мере того, как куму­
лятивный выпуск растет;
• осуществляются ли в отрасли капиталовложения;
• имеет ли отрасль доходность выше либо ниже среднего
уровня прибыли в целом.
2. Какие конкурентные силы действуют в отрасли и каково
их влияние?
Уровень конкуренции определяется пятью силами: сопер­
ничество между продавцами внутри отрасли, привлекательность
товаров-субститутов, возможность вхождения в отрасль новых
конкурентов, влияние поставщиков и возможность потребите­
лей диктовать свои условия. Задачей анализа конкуренции в
отрасли является оценка каждой силы, определение того, на­
сколько слабо или сильно ее давление, и затем продумывание
конкурентной стратегии, на которую следует ориентироваться
компании с учетом существующих в отрасли «правил» конку­
ренции, которая направлена на то, чтобы: а) изолировать фир­
му, насколько это возможно, от воздействия пяти сил конку­
ренции; б) использовать «правила» конкуренции в отрасли на
благо фирмы; в) завоевать конкурентное преимущество.
230
М о д у л ь 5. Проблемы стратегического м е н е д ж м е н т а
ф
Далее рассмотрена модель пяти сил.
1. Соперничество между продавцами:
— низкие цены;
— улучшенные характеристик товара;
— уровень обслуживания;
— сроки гарантийного периода;
— способы продвижения товара на рынок;
— новые товары (это все ресурсы и сила конкуренции).
Факторы интенсивности конкуренции:
• число фирм;
• рост спроса на продукцию;
• снижение цен, рост объема продаж, сокращение запасов;
• затраты покупателей на перемену фирм;
• удовлетворенность компании своей долей рынка;
• прибыльность отрасли;
• затраты выхода из отрасли;
• скупка слабых компаний сильными игроками из другой
отрасли.
2. Вхождение в отрасль новых конкурентов (барьеры):
• экономия на масштабах производства (большие объемы
сразу произвести сложно, риск, перепроизводство);
• невозможность доступа к ноу-хау и технологиям (специ­
альные знания и опыт);
• эффект кривой обучения (опыт производства);
• приверженность потребителей маркам (скидки, качество,
обслуживание);
• размер капитальных вложений (% по кредитам, завоева­
ние клиента);
• неравенство в издержках (дешевое сырье, ноу-хау, кривая
опыта, география, % кредита);
• доступ к каналам сбыта (опт, розница, реклама, дилеры);
• действия контролирующих органов (лицензирование, за­
щита окружающей среды);
• тарифы и нетарифные ограничения (ограничения прави­
тельства).
3. Влияние товаров-субститутов — конкуренция с фирмами
другой отрасли: доступные цены; качество и характеристики
продукции; сложность переключения для потребителей; слож­
ность переподготовки служащих, техпомощь; расходы времени
на проверку надежности и качества; психологические изде­
231
ржки.

116.

ф
Ч А С Т Ь I I . Стратегический м е н е д ж м е н т : магистратура
4. Конкурентная сила поставщиков:
S значимость для потребителя;
^ стандартность продуктов поставщиков;
s количество;
S острота потребности;
*/ объем партии товара-заменителя;
S тесные связи с поставщиками;
•S доля продукции поставщика в цене производства;
S влияние продукции поставщика на качество;
S стоимость перехода к другому поставщику;
S склонность поставщиков к уступкам;
S возможность вертикальной интеграции.
5. Конкурентная сила покупателей:
• величина покупателей;
• предложение;
• воздействие на цены, качество и уровень обслуживания.
Стратегический смысл пяти сил — структура сил и характер
борьбы.
Структура конкуренции в отрасли непривлекательна, если:
соперничество между продавцами большое, барьеры выхода на
рынок низки, конкуренция со стороны субститутов велика,
продавцы и покупатели могут получать значительную выгоду от
участия в сделках.
Идеальная конкурентная среда: поставщики и покупатели
имеют слабые позиции, нет хороших субститутов, входные ба­
рьеры высокие, конкуренция между продавцами умеренная.
Стратегия должна: 1) изолировать компанию от пяти сил;
2) повлиять на конкуренцию в выгодном для фирмы направле­
нии; 3) обеспечить сильную позицию в конкурентной игре.
3. Что вызывает изменения структуры конкурентных сил в
отрасли и окружающей среде?
Движущими силами являются: изменения в долгосрочных
тенденциях экономического роста отрасли, в составе потреби­
телей, внедрение новых продуктов, выход на рынок или уход с
него крупных фирм, глобализация, изменение структуры затрат
и производительности, переход потребительских предпочтений
к стандартным продуктам от дифференцированных, влияние
изменений в законодательстве и в политике правительства, из­
менение общественных ценностей и образа жизни, уменьшение
неопределенности и степени риска.
232
М о д у л ь 5. Проблемы стратегического м е н е д ж м е н т а
ф
В процессе изменения обычно задействованы три—четыре
главные движущие силы.
Анализ движущих сил требует: а) выявить, какие движущие
силы оказывают наибольшее влияние; б) установить размеры и
последствия влияния; в) приспособить стратегию к действию
движущих сил.
4. Какие компании имеют наиболее сильные (слабые) конку­
рентные позиции?
Рассмотрим разработку карты стратегических групп. Сопер­
ники, принадлежащие к одной и той же либо близко стоящим
стратегическим группам, являются близкими конкурентами.
Алгоритм составления карты структуры групп (рис. 2.6):
• установить полный спектр характеристик (уровень цен/
качества, географический масштаб деятельности, степень вер­
тикальной интеграции, ассортиментный набор продукции, ис­
пользуемые каналы распределения, набор сервисных услуг);
• нанести местоположение фирм на карту;
• объединить фирмы, попавшие примерно в одно про­
странство;
• нанести на карту окружность (диаметр ее пропорционален
доле группы в общем объеме продаж).
Рекомендации:
• переменные полей карт не должны сильно коррелиро­
вать;
• переменные должны показывать большие различия в по­
зициях, занимаемых фирмами в конкурентной борьбе;
• переменные не должны быть ни количественными, ни не­
прерывными величинами;
• использование окружностей разного диаметра позволяет от­
разить относительные размеры каждой стратегической группы;
• несколько карт дают различные представления о конку­
рентных позициях.
Можно нанести стрелки, указывающие движение групп в
другие позиции.
Попытки конкурирующих фирм войти в новую стратегичес­
кую группу почти всегда приводят к возрастанию интенсивнос­
ти конкуренции.
Чем ближе между собой группы на карте, тем сильнее кон­
куренция.
По карте можно определить связаны ли различия в потен­
циальной прибыльности отдельных категорий групп с сильной
или слабой позицией каждой из них.
233

117.

ф
Ч А С Т Ь I I . Стратегический м е н е д ж м е н т : магистратура
М о д у л ь 5. Проблемы стратегического м е н е д ж м е н т а
5. Каков следующий наиболее вероятный стратегический шаг
конкурентов?
Он аналитический и включает в себя определение стратегий
конкурентов, выявление сильных (слабых) соперников, оценку
их конкурентных возможностей, прогноз их последующих ша­
гов. Хорошо поставленная деятельность по сбору информации
о конкуренте позволяет предугадать его действия.
Фирма не может переиграть соперников, если не будет от­
слеживать их действия. Важно определить структуру конкурен­
тов: их положение в отрасли, структуру целей, их основные
подходы к ведению конкурентной борьбы.
Необходим прогноз последующих шагов конкурентов: по­
нимание их стратегических намерений, оценка их положения
на рынке, насколько им необходимо укреплять свое финансо­
вое положение, анализ публичных заявлений, гибкость полити­
ки конкурента, а также понимание образа мышления руководс­
тва, его разведывательной деятельности.
6. Какие факторы являются ключевыми факторами успеха в
конкурентной борьбе?
Ключевые факторы успеха (КФУ) — это те действия по ре­
ализации стратегии, конкурентные возможности, результаты
деятельности, которые каждая фирма должна обеспечить, что­
бы быть конкурентоспособной и достичь финансового успеха.
КФУ — действия и конкурентные возможности, которым надо
уделять особое внимание: загрузка производственных мощнос­
тей, торговая сеть, реклама, уровень производственных затрат,
расположение потребителей. В разных отраслях КФУ различ­
ны, но их редко бывает больше трех-четырех.
7. Является ли отрасль привлекательной и каковы ее перспек­
тивы по обеспечению высокого уровня прибыльности (выше сред­
него уровня в других отраслях)?
Если делается вывод о том, что отрасль привлекательна, на
вооружение берется обычно агрессивная стратегия для созда­
ния прочной конкурентной позиции, расширения продаж и
осуществления инвестиций в развитие производственной базы
и обновление оборудования.
Если отрасль относительно мало привлекательна, то: а) ком­
пании, не относящиеся к данной отрасли и рассматривающие
вопрос о присоединении к ней, могут принять отрицательное
решение и начать поиск других возможностей; б) слабые ком­
пании могут слиться с конкурентами или быть поглощены пос­
ледними; в) сильные компании могут ограничить дальнейшие
234
235

118.

Щ Ч А С Т Ь I I . Стратегический м е н е д ж м е н т : магистратура
инвестиции и ориентироваться на стратегии снижения затрат и
(или) на инновационные стратегии (выпуск новой продукции)
для повышения долгосрочной конкурентоспособности и обес­
печения прибыльности.
о
Контрольные вопросы и задания по модулю 5
Тема 1 6
1. Назовите школы стратегий, имеющие предписывающий характер.
2. Каковы особенности школ стратегий, уделяющих первостепенное
внимание процедурам разработки стратегий?
3. Какая школа стратегий пытается объединить разрозненные эле­
менты различных школ?
МОДУЛЬ 6
МЕТОДЫ ПРОВЕДЕНИЯ
ИССЛЕДОВАНИЙ В ОБЛАСТИ
СТРАТЕГИЧЕСКОГО
МЕНЕДЖМЕНТА
4. Насколько сложной должна быть хорошая стратегия?
5. В чем состоит проблема стандартизации стратегии?
6. В чем заключается проблема контроля создания эффективной
стратегии?
7. Что собой представляет проблема коллективного взаимодействия
в процессе создания стратегии?
8. В чем состоит проблема изменений в стратегическом управлении?
9. Что собой представляет проблема выбора в стратегическом уп­
равлении?
ТЕМА 1 8
Методы организационной диагностики
и структурирования проблем
ю. Назовите ключевое слово для характеристики школы стратегичес­
кого планирования.
1 8 . 1 . Диаграмма «рыбий скелет» как инструмент
идентификации проблем
Тема 1 7
1. Перечислите основные группы стратегических конкурентов.
2. Укажите три типовых конкурентных стратегии.
3. Дайте характеристику стратегии лидерства по издержкам.
4. На чем основана модель цепочки ценностей?
5. Охарактеризуйте стратегии дифференциации.
6. Дайте характеристику стратегии фокусирования.
7. В чем состоят стратегические преимущества вертикальной интег­
рации?
8. Какие основные экономические показатели характеризуют от­
расль?
9. Что является ключевыми факторами успеха в конкурентной борь­
бе?
ю. Назовите факторы, влияющие на общую ситуацию в отрасли.
Уяснив суть проблемы, можно переходить к установлению
непосредственных причин (идентификации) ее возникнове­
ния, т.е. к анализу проблемы. Этот переход осуществляется в
рамках ментальных моделей причинно-следственных связей и
с помощью таких инструментов, как диаграмма «рыбий ске­
лет», пять «почему?», поле корреляции, гистограмма и матрич­
ная структура.
Диаграмма причин и результатов предназначена для иден­
тификации возможных причин проблем, а также для планиро­
вания действий, направленных на их разрешение. Основные
принципы построения такой диаграммы представлены на
рис. 2.7 (в качестве примера рассмотрены причины неудовлет­
воренности клиентов в торговом зале универмага). Централь­
ная стрелка указывает на рассматриваемую проблему (результат
237

119.

М о д у л ь 6. Методы проведения исследований в области стратегического м е н е д ж м е н т а
Щ Ч А С Т Ь I I . Стратегический м е н е д ж м е н т : магистратура
/
проявления причин), а к линии этой стрелки от основных рас­
сматриваемых категорий направлены «ветви» с наименования­
ми причин, связанных с рассматриваемыми категориями и вы­
зывающих проблему.
Есть два способа построения чертежа, внешне похожего на
рыбий скелет. При этом конечный вид схемы получается од­
ним и тем же независимо от выбранного способа.
Первый способ: анализ рассеивания. При этом анализируе­
мая проблема изображена справа (у острия большой стрелки),
а категории возможных причин представляются в виде ветвей,
похожих на кости рыбьего скелета. Для каждой категории ус­
танавливаются все возможные причины.
Второй способ: перечень причин. При этом все возможные
причины выявляются методом «мозгового штурма» и включа­
ются в список в порядке поступления. Затем все эти причины
разбиваются на категории и наносятся на схему.
Анализ рассеивания как способ построения диаграммы при­
чин и результатов осуществляется в пять этапов:
1) формируется группа людей, обладающих требуемыми
знаниями в области, подлежащей изучению;
2) составляется описание самой проблемы, причины воз­
никновения которой предстоит найти;
Размещение
Персонал
Высокая \ т е к у ч е с т ь
кадров
Касса\на проходе
Низкая\ квалификация
18.2. Пять «почему?»
О т с у т с т в и е Х лифта
Неудовлетворенность
клиентов
Ассортиментный/ряд
мал
Немодный / цвет
Мерцающий свет/ламп
Слабый с в е т / в п р и м е р о ч н о й
кабине
Освещение
Рис. 2.7. Д и а г р а м м а « р ы б и й с к е л е т »
238
3) на бумаге обозначается рассматриваемая проблема у ост­
рия большой стрелки. Слева от стрелки необходимо оставить
достаточно места для описания причины. Симметрия схемы
необязательна;
4) производится идентификация категорий возможных при­
чин возникновения рассматриваемой проблемы (обозначения
категорий наносятся в виде ветвей, выходящих из основной
стрелки — люди, машины и оборудование, материалы, методы,
измерение, организационная структура, физическое окружение
и т.д.);
5) для каждой категории методом «мозгового штурма» вы­
являются все возможные причины и обозначаются на соответ­
ствующих «ветвях» диаграммы. Целесообразно использовать крат­
кие описания и обозначения. Главные категории включаются в
процесс по очереди. Но если по ходу дела мысли возникают
относительно других категорий, то их следует фиксировать без­
отлагательно. Причины, относящиеся к нескольким категори­
ям, следует отмечать везде, где это необходимо. Как правило,
возникает потребность заново перечертить схему после того,
как очередная ее версия готова.
Среди выявленных причин необходимо отобрать самые
важные для достижения цели, ориентированной на решение
проблемы. Кроме того, когда оценивают относительную важ­
ность разных подсистем в возникновении проблемной си­
туации, это позволяет уделить внимание именно тем из них,
которые сыграли самую важную роль в том, что проблема наз­
рела.
Метод основан на том, что вопросы помогают всесторонне
изучить проблему и восполняют пробелы в понимании проблем­
ной ситуации. Иногда, правда, ответы вызывают еще больше
вопросов, поэтому с самого начала следует спросить себя: «По­
чему я хочу решить именно эту проблему?» Далее следует выяс­
нить, что представляет собой проблема, которую необходимо
решить? Складывается такой порядок: почему? что? почему? где?
почему? когда? почему? кто? почему? как? почему?
Как следует из самого названия метода, его цель заключа­
ется в отыскании главной причины рассматриваемой пробле239

120.

ф Ч А С Т Ь 11. Стратегический м е н е д ж м е н т : магистратура
мы. Эту процедуру можно сравнить с процедурой очистки лу­
ковицы, где после снятия одного слоя обнаруживается еще
один слой. И так до середины этой луковицы.
Процедура проведения анализа главной причины состоит в
следующем.
1. Определить отправную точку, т.е. проблему или причину
высокого уровня, предназначенную для последующего анализа.
2. Методом мозгового штурма выявить причины, соответ­
ствующие уровню более низкому, чем уровень отправной точки.
3. Для каждой идентифицированной причины поставить
вопрос: Почему именно она служит причиной возникновения
исходной проблемы?
4. После каждого нового ответа на поставленный вопрос
задавать его снова и снова до тех пор, пока никаких других
вопросов не возникает. Как показывает практика, обычно по­
лучается пять «почему?».
К таким «почему?» можно отнести следующие вопросы. Что
собой представляет проблема (почему можно считать ее про­
блемой)? Где она возникла и почему она возникла именно там?
Когда она имела место и почему именно тогда? Кто задейство­
ван в этом и почему задействованы именно эти лица? Когда
проблема возникла и почему она возникла именно так?
Например, дальнозоркость можно отнести к проблеме, по­
тому что она ограничивает возможность автора читать книги.
Она возникла в связи с возрастными изменениями глаз и со­
судов головного мозга. Проблема возникла после 40 лет, когда
по роду своей деятельности я стал больше читать и работать с
компьютером, что увеличило нагрузку на зрительный аппарат,
а в сочетании с зашлакованностью кровеносных сосудов это
привело к частичной утрате зрения.
Иногда ответы на подобные вопросы могут заставить вер­
нуться назад и еще раз сформулировать проблему и цель или
даже указать дополнительные препятствия. И полезно помнить
0 том, что, отвечая на вопросы, можно получить такие ответы,
которые заставят пересмотреть формулировку проблемы и ко­
нечную цель или помогут увидеть дополнительные препят­
ствия.
И еще одно замечание: если переформулировать вопрос
«почему?» на «каким образом?», то рассматриваемый алгоритм
можно использовать для отыскания способов решения проб­
лем.
1 240
М о дул ь 6. Методы проведения исследований в области стратегического м е н е д ж м е н т а
ф
18.3. Поле корреляции
Для установления связи между двумя переменными обычно
строят графики.
Если обе переменные изменяются синхронно, то это может
означать, что между ними есть связи и они влияют одна на
другую. Примером может служить динамика роста доли зара­
ботной платы в структуре себестоимости продукции и динами­
ка производительности труда. Наблюдения показывают, что
при росте первой переменной растет и вторая. Хотя следует
иметь в виду, что даже если и имеется некоторая степень син­
хронности изменения переменных, то это еще не означает без­
условного наличия между этими переменными причинноследственной связи (возможно, есть третья переменная, которая
вызывает такой эффект).
Примеры корреляционных полей приведены на рис. 2.8.
Сильная положительная
корреляция
Отсутствие
корреляции
Сильная отрицательная
корреляция
Рис. 2.8. П р и м е р ы д и а г р а м м д л я р а з л и ч н ы х п о л е й
корреляции
Графики строят следующим образом:
• выбирают для анализа две переменные: одну независи­
мую, другую зависимую;
• для каждого значения независимой переменной измеряют
соответствующее значение зависимой переменной. Эти два
значения образуют пару данных, которые наносят точкой на
график. Обычно следует взять не менее 30 точек. Но для по­
строения осмысленного графика число точек должно быть не
менее 100;
• значение независимой переменной, характеризующей
ожидаемую причину, откладывают по оси х, а значение зависи241

121.

41
Ч А С Т Ь I I . Стратегический м е н е д ж м е н т : магистратура
мой переменной, характеризующей проблему, откладывают по
оси у;
• полученные пары данных наносят точками на график и
анализируют полученный результат. Если корреляция на схеме
не проявляется, то можно попробовать построить график в ло­
гарифмическом масштабе.
18.4. Гистограмма
Гистограмма (столбиковая диаграмма) используется для
графического представления распределения значений или ва­
риаций рассматриваемого показателя. В качестве показателя
могут выступать разнообразные величины: длина, диаметр,
продолжительность, затраты и т.д. Информацию, представляе­
мую гистограммой, также можно дать в табличной форме.
Однако табличное представление затрудняет оценку харак­
теристик собранных данных, в то время как графическое ее
представление обычно сразу позволяет увидеть существенные
связи: гистограмма показывает частоту попадания численного
значения показателя в заданные интервалы.
Использование гистограммы в такой форме фактически
тесно связано со статистическим управлением процессами.
Предметом тщательного изучения служит форма гистограм­
мы, а ее интерпретация позволяет выявить проблемы. Напри­
мер, рост количества принятых работников в сочетании с ростом
количества уволенных работников за последние три—пять лет
свидетельствует о том, что в организации существуют пробле­
мы с мотивацией персонала.
18.5. Анализ решений
Как правило, организационный порядок в российских ор­
ганизациях обеспечен не на должном уровне, поэтому пись­
менных решений руководителя в организации больше, чем того
требуют обстоятельства.
Формируя различные классы и группировки ранее приня­
тых решений, исследователь производит новую информацию,
полезную для клиента. Так, если в структуре решений преоб­
ладают разовые решения, то целесообразно выделить блоки ре242
М о д ул ь 6. Методы проведения исследований в области стратегического м е н е д ж м е н т а
ф
шений, для которых следует разработать внутриорганизационные нормативы (положения, инструкции и т.п.), которые будут
работать в стандартных, рутинных ситуациях развития событий
в организации и обеспечивать в некоторой степени самоуправ­
ление ею.
Управляемость является своего рода ценностью для любой
организации, а критерием управляемости выступает степень
осуществляемости принимаемых в организации решений. Вмес­
те с тем управляемость означает ту степень контроля, который
управляющая подсистема осуществляет по отношению к управ­
ляемой, или ту степень автономии, которую управляемая под­
система сохраняет по отношению к управляющей системе. От­
меченное позволяет говорить о том, что управляемость может
выступать одним из интегральных показателей эффективности
управления организацией.
Из перечня письменных решений интерес представляют
протоколы заседаний Совета директоров и Правления, прика­
зы, распоряжения. Их анализ позволяет получить перечень
проблем, которые организация пыталась решать в последнее
время. Таким образом, в течение короткого времени можно
подготовиться к дальнейшему сбору информации в форме диаг­
ностического интервью.
Перечни вопросов, рассматриваемых в отмеченных доку­
ментах, можно разделить на детерминированные и инициатив­
ные. Так, к первым относятся решения, содержание которых
задано внешними изменениями. Например, в случае пожара в
организации существует регламент, в соответствии с которым
следует бороться с огнем, формировать комиссию по рассмот­
рению указанного случая и наказывать виновных. Сами по себе
детерминированные решения подразделяются на рутинные (на­
пример, прием и увольнение работников) и производные, при­
нимаемые во исполнение действующих в стране нормативов
(законов, постановлений, инструкций).
Инициативные решения зависят от воли руководителя и
подразделяются на ситуативные и реорганизационные. К ситуа­
тивным можно отнести поощрения, наказания, назначения и
т.п., а к реорганизационным — все, что связано с изменениями
организации в целом.
Анализ указанных решений позволяет исследователю сфор­
мировать своеобразное «зеркало», которое отражает деятель­
ность организации, ее истинное лицо.
243

122.

#
Ч А С Т Ь И. Стратегический м е н е д ж м е н т : магистратура
М о д у л ь 6. Методы проведения исследований в области стратегического м е н е д ж м е н т а
Однако нужно отдавать себе отчет в том, что формулировки
большинства проблем, приводимые в обозначенных докумен­
тах, не позволяют увидеть причину и следствие, да и саму суть
проблемы. Отчасти эта проблема решается с помощью диагнос­
тического интервью.
18.6. Диагностическое интервью
Умения в части проведения диагностического интервью
включают больше опыта, чем знаний об этом виде диагностики
организаций.
Различают осваивающее и развивающее диагностическое
интервью. Осваивающее (ознакомительное) интервью заключает­
ся в получении исходной информации об организации (о про­
филе организации, клиентуре, численности работающих, исто­
рии, системе оплаты труда, оборудовании и т.д.).
Развивающее интервью, структурная схема основных эле­
ментов которого приведена на рис. 2.9, предусматривает раз­
витие процесса получения информации от респондента, ори­
ентируясь на его ответы, отталкиваясь от них. При этом
Развивающее
интервью

Введение
• Знакомство
• Вовлеченность
• Доверительность
Цели
организации
• Определение
• Достижение
• Изменение целей
Проблемы
•Личные
• Структурного подразделения
• Организации в целом
Социометрия
• Неформальные лидеры
• Специалисты своего дела
• Центры конфликтов
Позиционный
анализ
• Принадлежность к группе
• Точки зрения
• Причины разногласий
Рис. 2.9. Структурная схема элементов развивающего интервью
244
Щ
необходимо стараться свести к минимуму возможное воздей­
ствие исследователя на ответы респондента. Реально происхо­
дит взаимодействие интервьюера и респондента и их совместное
развитие через получение новой информации друг от друга.
Метод интервью обладает определенными преимуществами:
• позволяет установить личный контакт с людьми высшего
звена управления организацией, что дает возможность форму­
лировать правильные оценки в последующей работе и на этапе
реализации принятых решений.
• развивающее интервью позволяет следить за ходом мыс­
лей, расстановкой приоритетов и эмоциями респондентов, что
обеспечивает возможность получения более достоверной пер­
вичной информации, необходимой для диагностики организа­
ции;
• это интервью дает персоналу клиента возможность по­
чувствовать свою значимость и сопричастность к исследованию,
что важно для этапа реализации решений;
• интервью позволяет видеть поведение людей, оборудова­
ние помещений, соблюдение формальных и неформальных пра­
вил, осуществлять иные наблюдения;
• личный контакт может быть использован для получения
дополнительной информации, находящейся только в кабинете
работников;
• интервью дает возможность задать вопросы, которые воз­
никли в процессе диагностики организации в целом.
Среди недостатков необходимо отметить то, что проведение
диагностического интервью отнимает много времени. Слож­
ность заключается еще в том, что бывает трудно сделать выбор:
с кем встречаться (проводить интервью), а с кем нет. Кроме
того, поскольку ббльшая часть собранной информации неструк­
турирована, это затрудняет последующий анализ содержания
диагностических интервью.
Первые интервью в организации, как правило, занимают
много времени, но по мере укрепления знакомства с организа­
цией каждое последующее интервью становится короче.
Чтобы убедиться в том, что исследователь и респондент
одинаково понимают суть вопросов и ответов на них, необхо­
димо использовать технику нейролингвистического программи­
рования (НЛП) и последовательно задавать вопросы, уточняю­
щие содержание смысловых конструкций проблем.
245

123.

W Ч А С Т Ь I I . Стратегический м е н е д ж м е н т : магистратура
Расписание для интервью предусматривает, как правило, в
день проведение четырех интервью продолжительностью один
час каждое, с интервалами в 1,5 часа (дополнительные полчаса
можно использовать для продления собеседований, компенса­
ции опозданий или ведения конспекта интервью).
Каждый интервьюер использует удобную для него схему
фиксации услышанного и увиденного в процессе интервью, а
схему самого интервью либо «держит в голове», либо имеет
заготовленную таблицу с понятным только ему алгоритмом
расшифровки.
В завершение интервью полезно отложить свой блокнот для
записей, всем свои видом показывая, что оно закончено. В этот
момент опрашиваемый расслабится и в последующем разговоре
даст вам большее количество полезной информации, которую
из-за скованности в течение официальной части интервью он
сообщить не мог.
В результате проведения диагностического интервью у ис­
следователя скапливается большое количество информации,
обработав которую, он может составить исходный перечень
проблем организации.
Но если интервью рассматривать как реальность «глазами
респондента», то тогда наблюдение должно представлять реаль­
ность «глазами исследователя».
18.7. Наблюдения
Что касается наблюдений как третьего направления органи­
зационной диагностики, то они ведутся как во время непо­
средственного присутствия наблюдателя на собраниях, совеща­
ниях, советах, правлениях, планерках, так и в период групповой
работы исследователя (наблюдателя) с командой руководителей
организации.
Приведем пример входа через проходную организации. Ког­
да как исследователи мы подходим к проходной организации и
видим престижные машины на стоянке, то это свидетельствует
о высоких доходах работников (и наоборот, когда налицо убо­
гие транспортные средства у проходной). Если мы беспрепятс­
твенно проходим через проходную, то, наверно, в организации
есть проблемы с трудовой дисциплиной и воровством. Если,
пройдя проходную, мы видим покрывшуюся паутиной Доску
246
М о д у л ь 6. Методы проведения исследований в области стратегического м е н е д ж м е н т а
ф
почета, то, наверно, в организации есть проблемы с мотиваци­
ей персонала.
Наблюдения исследователя в организации клиента можно
представить сочетанием диагностического наблюдения, сторонне­
го наблюдения и диагностики по слабым сигналам (рис. 2.10).
Наблюдения
исследования
1
1
Диагностическое
наблюдение
• Включенное
• Участвующее
• Проблематизирующее
Стороннее
наблюдение
• За с о в е щ а н и я м и
• За к о н к у р е н т а м и
• За п о т р е б и т е л я м и
Диагностика по
слабым сигналам
• От к л и е н т а
• От о р г а н и з а ц и и
• Из в н е ш н е й среды
Рис. 2 . Ю . Структурная схема видов наблюдений
Диагностическое наблюдение исследователя еще называют
активным наблюдением, потому что исследователь сам включа­
ется в процессы жизнедеятельности клиентской организации и
на собственном опыте выясняет причинно-следственные связи
проблем организации. При включенном наблюдении исследо­
ватели принимают на себя к а к у ю - л и б о р о л ь , обусловлен­
ную организационным порядком, например роль координатора
процесса подготовки совещания, посвященного началу работы
на стратегией развития организации.
Участвующее наблюдение основано на том, что наблюда­
тель б е р е т с я з а в ы п о л н е н и е к а к о й - л и б о р а б о т ы
в организации для того, чтобы самому лучше понять специфи­
ку функционирования организации или конкретного участка
работы. Например, исследователь в течение месяца замещает
отсутствующего работника по рекламе в отделе маркетинга,
чтобы, наблюдая за работой в отделе, лучше понять суть проб­
лем, сдерживающих формирование маркетинговой политики
организации.
При проблематизирующем наблюдении исследователь на­
меренно создает трудности для кого-то из работников клиент­
ской организации, чтобы проследить за реакцией. При этом по
возможности следует обеспечить проявление в ней того орга247

124.

ф
ЧАСТЬ I I . Стратегический менеджмент: магистратура
низационного порядка (системы управления персоналом, поли­
тики качества и т.п.), который установлен в организации кли­
ента. Примером может служить распространение информации
о якобы подготовленном проекте федерального закона, содер­
жание которого непосредственно касается деятельности орга­
низации и несет в себе как открывающиеся возможности, так
и угрозы деятельности организации. Наблюдения за реакцией
на такую информацию позволяют лучше понять потенциал ор­
ганизации и ее проблемы.
Сторонние наблюдения за совещаниями направлены на
анализ взаимодействия руководителей и подчиненных в их ре­
альных условиях работы организации, а также на определение
доминирующих стилей управления в организации, выявление
неформальных лидеров и методов принятия решений. Сами на­
блюдатели в совещаниях не участвуют — только отслеживают,
что происходит вокруг.
Кроме того, идет поиск ответа на вопрос: есть ли в органи­
зации развитая управленческая команда единомышленников?
Важно определить степень и характер участия подчиненных в
принятии решений и проследить за содержанием самих реше­
ний — делается там упор только на «текучку» или больше на
перспективу. На подобных совещаниях позиционность и уро­
вень конфликтности в организации определяются также иссле­
дователем.
Наблюдения за конкурентами и потребителями протекают в
процессе путем прямого контакта исследователя с указанными
группами субъектов, если возможность позволяет это сделать
(на выставках, ярмарках, презентациях, а также в период посе­
щения офисов сбыта подразделений конкурентов и наблюде­
ния за поведением покупателей в сфере торговли).
1
Диагностика по слабым сигналам основана на положении,
что руководители организаций, занятые текущими и горящими
делами, не улавливают часть информации, свидетельствующей
о предстоящих возможных неприятностях. Да и сама поступа­
ющая к руководству информация, как правило, не является
полной и точной.
1
Слабые сигналы — это такие признаки событий, явлений, которые не s
воспринимаются действующей системой управления, но оказываются важны- !
ми после их усиления.
i
248
М о д у л ь 6. Методы проведения исследований в области стратегического менеджмента
ф
Наблюдатель частично может восполнить имеющуюся у ру­
ководства неинформированность или псевдоинформирован­
ность собственными диагностическими наблюдениями и выяв­
лением слабых сигналов.
Итогом проведения диагностики организации являются,
как минимум, оцененные параметры ее внутренней среды, к
которым относят сильные и слабые стороны организации, т. е.
в результате организационной диагностики получаем перечень,
состоящий, как правило, из нескольких десятков проблем.
И здесь возникает вопрос: как их оценить и упорядочить? От­
вету на этот вопрос посвящена следующая тема.
ТЕМА 19
Методы поиска стратегических решений
1 9 . 1 . Структура методов
Структура методов получения решений задач представлена
1
на рис. 2.11, из которого следует, что эвристические методы
занимают, наряду с методами анализа и синтеза, важное место
и основаны на «озарении» участников процесса и реализации
закона синергии систем.
Вместе с тем всю совокупность методов исследования мож­
но разделить на две группы: эмпирические методы и мысли­
тельно-логические методы.
Эмпирические методы построены на основе практической
деятельности, осмысление которой дает представление о сути и
особенностях событий и ситуаций. В эмпирических методах су­
ществует две группы — методы наблюдений и методы экспери­
мента. Первая группа характеризует исследования с минималь­
ным вмешательством в исследуемые события и ситуации; вторая
предполагает искусственное создание ситуаций для изучения
особенностей поведения системы. Эти особенности в обычных
условиях могут быть незаметны, но в условиях эксперимен1
Эвристика как упрощенное правило принятия решений в условиях
недостаточности информации. См.: Андреева Г.М. Психология социального
познания: учеб. пособие для студентов высших учебных заведений. — М.:
Аспект Пресс, 2000. — С. 105.
249

125.

ф Ч А С Т Ь I I . Стратегический менеджмент: магистратура
М о д у л ь 6. Методы проведения исследований в области стратегического менеджмента
Методы
Рациональные
Анализ
Синтез
Эвристические
Эффект
озарения
Эффект
синергии
Р и с . 2 . 1 1 . Структура методов получения новых знаний
тальных, а иногда и в экстремальных, они проявляются в пол­
ной мере.
Так, чтобы получить информацию о возможных проблемах
бюджетирования в рамках всей организации, может быть в по­
рядке эксперимента переведен на бюджет только один цех или
отдел.
Методы наблюдений могут быть разделены на два типа.
Прямое наблюдение — это наблюдение в реальном масштабе
времени и на основе непосредственного общения или прямых
коммуникаций; косвенное наблюдение — это наблюдение, осно­
вывающееся на опосредованных связях и коммуникациях и
дифференциации временного режима наблюдений (выбор спе­
циальных отрезков времени).
Прямое наблюдение может быть включенным, участвую­
щим, проблематизирующим или сторонним. Так, при включен­
ном наблюдении наблюдатель принимают на себя какую-либо
роль, обусловленную организационным порядком (например,
роль координатора процесса освоения нового вида изделия) и
фиксирует информацию, необходимую для принятия реше­
ний.
Участвующее наблюдение основано на том, что наблюда­
тель берется за выполнение какой-либо работы в организации
для того, чтобы самому лучше понять специфику решаемой
проблемы, например за выполнение работы специалиста по
рекламе в отделе маркетинга, чтобы лучше понять проблемы
сбыта выпускаемой продукции.
При проблематизирующем наблюдении наблюдатель наме­
ренно создает трудности для кого-то из работников организа250
ф
ции с тем, чтобы проследить за реакцией. Например, сообщает
по телефону от лица мнимых потребителей ложную информа­
цию о выходе из строя купленой новой продукции организа­
ции.
Сторонние наблюдения за совещаниями, за работой проект­
ных групп и отдельных подразделений направлены на анализ
взаимодействия работников в решении проблем.
Наблюдения за конкурентами и потребителями осуществля­
ются путем прямого контакта с указанными группами субъек­
тов, если возможность позволяет это сделать (на выставках,
ярмарках, презентациях, а также в период посещения офисов
сбытовых подразделений конкурентов и наблюдения за поведе­
нием покупателей в сфере торговли).
Косвенное наблюдение в большей степени основано на
диагностике по слабым сигналам и на том положении, что
лица, принимающие решения, занятые текущими и горящими
делами, не улавливают часть информации, свидетельствующей
о предстоящих возможных неприятностях.
Мыслительно-логические методы представляют собой ис­
пользование интеллектуальных операций д е д у к ц и и или
и н д у к ц и и для разрешения исследуемой проблемы, которые
в свое время применял Шерлок Холмс, объясняя доктору Ватсону логику своих умозаключений.
19.2. Экспертные методы
Экспертный метод относится к инструментарию количест­
венной оценки качества альтернатив в условиях слабоформализуемой проблемной ситуации. Например, таким методом руко­
водитель проекта набирает в проектную группу специалистов
из числа работников организации.
1
Сущность метода экспертных оценок заключается в логикоинтуитивном анализе внутренней и внешней среды организа­
ции, разработке альтернатив и количественной оценке их ка­
чества. Обобщенное мнение экспертов служит основанием для
осуществления выбора.
1
Малин А.С., Мухин В.И. Исследование систем управления: учебник для
вузов. - 2-е изд. - М.: ГУ - ВШЭ, 2004. - 400 с.
251

126.

ф
Ч А С Т Ь I I . Стратегический менеджмент: магистратура
В качестве примера можно привести процесс формирова­
ния видения организации при разработке ее стратегии. Видение
как образ идеального состояния организации, достижение ко­
торого возможно только при самых идеальных условиях, пред­
ставляет собой несбыточную мечту, оценить которую можно
только на уровне экспертных оценок.
Комплексное использование интуитивного и логического
мышления, а также формальной обработки количественно вы­
раженных суждений экспертов позволяет получить показатели
качества альтернатив при решении слабоформализуемых задач
выбора. Эксперты при этом выступают в роли «измерительных
приборов», позволяющих определить их относительную по­
грешность (по разбросу суждений) и оценки, интерпретация
которых дает требуемый результат.
Экспертные суждения — это содержательные высказывания
(определяющие состав, структуру, функциональность исследуе­
мой системы, сущностей и их атрибутов), количественная или
качественная оценка какой-либо сущности, т.е. определение
количественных и качественных атрибутов и их значений.
Типовые задачи, решаемые методом экспертного оценива­
ния, следующие:
• определение состава возможных событий в какой-либо
системе в определенном интервале времени;
• определение вероятностей событий и временньгх интерва­
лов в множестве событий;
• структурирование проблемного поля организации и опре­
деление приоритетности решения проблем;
• дифференциация целей управления до задач и определе­
ние приоритетности их решения;
• генерирование альтернатив; фильтрация множества аль­
тернатив и оценка их предпочтительности.
1
Этапы экспертизы . Процесс экспертизы в общем случае
условно может быть разбит на следующие этапы, порядок вы­
полнения и содержание которых могут варьироваться в зависи­
мости от реальных условий и ограничений:
1) определение задач экспертизы;
2) формирование аналитической группы;
3) отбор экспертов и формирование экспертной группы;
4) организация и проведение опроса;
1
252
См.: Малин А.С., Мухин В.И. Исследование систем управления.
М о д у л ь 6. Методы проведения исследований в области стратегического менеджмента
ф
5) анализ и обработка экспертной информации;
6) интерпретация полученных результатов и представление
их в форме, пригодной для осуществления выбора Л ПР.
Определение компетентности эксперта методом самооцен­
ки. Компетентность экспертов оценивается коэффициентом
компетентности (например, коэффициентом компетентности
1
по простой и полной методике ГКНТ ). Коэффициент компе­
тентности к вычисляется на основе суждений эксперта о степе­
ни своей информированности по решаемой проблеме, с указа­
нием источников аргументации своих суждений:
к
=
~2^u
~ка),
где к и — коэффициент информированности по проблеме, формулиру­
емый на основе самооценки эксперта по 10-балльной шкале
с последующим умножением полученной оценки на 0,1;
к а — коэффициент аргументации, получаемый суммированием бал­
лов.
Методы сбора экспертной информации. Информация, выска­
занная непосредственно экспертом, называется первичной, эк­
спертной, и может быть получена различными методами. На­
пример, анкетирование считается наиболее эффективным и
самым распространенным видом опроса и заключается в запол­
2
нении экспертами опросных листов-анкет .
«Анкета — это определенным образом организованный на­
бор вопросов, ответы на которые позволяют получить инфор­
мацию об объекте экспертизы, необходимую для проведения
3
управленческого анализа» . Анкетирование представляет со­
бой наиболее жесткий метод сбора экспертной информации,
поскольку он максимально стандартизирован — аналитик за­
ранее составляет вопросник или анкету в нужном числе эк­
земпляров и использует для опроса нескольких работников
4
организации .
1
Методика программного прогнозирования развития науки и техники.
Утверждена постановлением ГКНТ СМ СССР от 26 ноября 1971 г. № 462.
2
Литвак Б.Г. Экспертные технологии в управлении: учеб. пособие. —
2-е изд., испр. и доп. — М.: Дело, 2004. — С. 86.
3
Там же. С. 87.
4
Татьяна Гаврилова. Активные индивидуальные методы извлечения
знаний и данных, http://www.kmtec.ra/publications/library/authors/active_
metod_izvl_knowlg data.shtml
253

127.

ф
Ч А С Т Ь I I . Стратегический менеджмент: магистратура
19.3. Методы обработки экспертной информации
1
Экспертное ранжирование . Рангом называется степень отли­
чия по какому-либо признаку, а ранжированием — процесс оп­
ределения рангов, относительных количественных оценок сте­
пеней отличий по качественным признакам.
Например, студенты отличаются друг от друга и от «эталонаотличника» по признаку знаний материала дисциплин и опыта
применения этих знаний в решении задач, а сам процесс ран­
жирования называется экзаменом. Качественными признаками
в данном случае выступают ответы по вопросам билета, глубина
и широта ответов, приводимые примеры из практики.
Ранжирование применяется в случаях, когда невозможна
или нецелесообразна непосредственная оценка. При этом «ран­
жирование объектов содержит лишь информацию о том, какой
из объектов более предпочтителен, и не содержит информации
о том, насколько или во сколько раз один объект предпочти­
тельнее другого. Объект, расположенный в ранжировании экс­
перта, скажем, на третьем месте, может превосходить объект,
расположенный на четвертом месте, в 1,01 раза, а может пре­
2
восходить и в 101 раз» .
3
Метод простой ранжировки состоят в том, что эксперты
располагают объекты ранжирования (например, критерии) в
порядке убывания их значимости (например, для альтернатив
это убывание предпочтительности). Ранги обозначаются циф­
рами от 1 до п, где п — число рангов. Сумма рангов Sn при
этом будет равна сумме чисел натурального ряда:
= п{п + \)
2
'
М о дул ь 6. Методы проведения исследований в области стратегического менеджмента
она наиболее предпочтительна из всех шести (наименее пред­
почтительна альтернатива А5, так как RA5 = 6).
При ранжировании п объектов т экспертами ранжирование
производят следующим образом.
1. Каждый эксперт выносит суждения о рангах объектов.
2. Для каждого объекта подсчитывают сумму рангов, полу­
ченных от всех экспертов, т.е.
т
1
где RAm — суждение т - г о эксперта о ранге я-го объекта,
S n — результирующий ранг и-го объекта.
3. Определяют ранги объектов (от 1 до п), начиная от на­
именьшего до наибольшего результирующего рангов.
Метод непосредственной оценки заключается в отнесении
объекта оценки к определенному значению по оценочной шка­
ле (в присвоении объекту оценки балла в определенном интер­
вале), например от 0 до 10, в соответствии с предпочтением по
какому-либо признаку или их группе (альтернативы, напри­
мер, — по предпочтению, критерии — по значимости, факторы
внешней среды — по оказываемому влиянию, проблемы — по
приоритетности решения).
Метод парных сравнений. Этот метод заключается в опреде­
лении предпочтений элементов, расположенных в левом стол­
бце, над элементами, расположенными в верхней строке. При
этом составляется матрица, по строкам и столбцам которой
располагают сравниваемые объекты так, как это представлено
в табл. 2.7. В ячейке Ап записана единица, означая, что элемент
А{ получает ббльшую оценку, чем элемент А2, соответственно,
в ячейке
записан 0; затем, суммируя значения по строкам,
получают ранги объектов.
Таблица 2.7
Матрица парных сравнений для четырех объектов
Например, при п = 6 последовательность рангов альтерна­
тив Ап может выглядеть следующим образом: 2, 4, 1, 3, 6, 5,
означая, что ранг альтернативы Аг равен единице (RA} = 1) и
1
См.: Малин А.С., Мухин В.И. Исследование систем управления. —
С. 345-348.
2
См.: Литвак Б.Г. Экспертные технологии в управлении. — С. 73.
3
См.: Ременников В.В. Разработка управленческого решения. — М.:
Юнити-ДАНА, 2000. - С. 196.
254
ф
4
4
4
Л
Ранг

1 Ц2)
0
1
2
0 И21)

0
1
1
1
1

1
3
0
0
0
-
0
255

128.

Ш Ч А С Т Ь П. Стратегический менеджмент: магистратура
ТЕМА 2 0
Методы активизации
творческого мышления
М о д у л ь 6. Методы проведения исследований в области стратегического менеджмента
:
гол. Креативность стратегического мышления
Креативность обычно связывают с такими категориями, как i
способность к творческой деятельности, умение нестандартно J
подходить к решению сложных проблем. Иногда креативность S
связывают со способностью человека создавать условия для
проявления закона синергии в процессе решения задач.
Например, истинные предприниматели умеют так соеди­
нить основные факторы производства (в классическом пони­
мании это — труд, земля, капитал), что производительность
труда повышается, неустановленное оборудование начинает ра­
ботать в три смены и организация, убыточная при прежнем '
руководителе, становится прибыльной.
Выделяют пять слагаемых креативности: обработка инфор- j
мации, созревание идей, озарение, объединение идей в систем­
ное решение и сопровождение решения комментариями. Таким
образом, креативность — это мыслительный процесс, помога- '
ющий человеку генерировать идеи.
Существуют различные уровни реальной действительности,
которые по-своему влияют на креативность:
• «процессы в окружающей среде, которые влияют на то,
"где" и "когда" может проявиться креативность;
• "что" в креативности проявляет себя в окружении через
поведенческие процессы;
• поведенческие проявления и реакции основаны на том, \
"как" человек думает — на его "внутренних картах", стратегиях :
и психических особенностях;
• креативное мышление подвержено влиянию и воздейст­
вию процессов, связанных с убеждениями и ценностями, кото­
рые определяют для начала, "почему" человек проявляет себя
креативно;
• самореферентные процессы, связанные с восприятием
того, "кем" является человек в соотношении с его собственной
256
щ
идентификацией и ролью, определяют то, какие типы убежде­
1
ний и ценностей будут отобраны и воплощены» .
Первопричиной и основой творческого мышления является
2
работа нашего мозга , уникальность которого заключается в
том, что он развивается только в процессе своей работы.
Специалисты в области человеческого интеллекта считают,
что для обеспечения творческого процесса необходимо с о ч е ­
т а н и е конвергентного (логического, последовательного, ли­
нейного) и дивергентного (целостного, интуитивного, реля­
тивного) мышления (рис. 2.12). Результат такого сочетания
характеристик мышления проявляется в беглости и гибкости
ума, а также в оригинальности, сочетающейся с точностью
суждений.
Точность ума проявляется как способность придавать завер­
шенный вид продуктам мышления. Под беглостью ума здесь
понимается способность генерировать максимально большое
число идей, а гибкость ума представляется как способность к
порождению широкого многообразия таких идей. Нестандарт­
ные решения в таких случаях, как правило, оригинальны.
Примером может служить решение Д. Хоуп о создании
компании Lunar Embassy по продаже земельных участков на
Луне, а также на Марсе, Венере, Сатурне, Плутоне по 30 долл.
3
за 1 акр (минимальный размер продаваемой поверхности).
В цену входит не только поверхность, но и все минералы и
4
полезные ископаемые .
1
Панфилова А.П. Мозговые штурмы в коллективном принятии реше­
ний: учеб. пособие. — СПб.: ИВЭСЭП, «Знание», 2005. — С. 215.
2
Физиологи считают, что большинство людей используют не более 1%
потенциала мозга, который определяется числом возможных взаимосвя­
зей между 10—15 млрд нервных клеток. Мозг весит около 2% веса тела,
но забирает 25% калорий, которые мы потребляем. Он забирает до 50%
поступающего в организм человека кислорода. — См.: Беляцкий Н.П. Ин­
теллектуальная техника менеджмента: учеб. пособие. — Минск.: Новое зна­
ние, 2001. - С. 249.
3
Акр — единица площади в английской системе мер, один акр равен
0,4047 га (40,47 соток).
4
Больше миллиона человек уже стали счастливыми лунными поме­
щиками (на Луне продано более 300 млн акров). Подробнее см. Альпеншталь А. Деньги из воздуха. Вы зарабатываете столько, насколько глобально
вы мыслите. — М.: НТ Пресс, 2006. — С. 101.
9 Стратегический менеджмент
257

129.

М о дул ь 6. Методы проведения исследований в области стратегического менеджмента
ф Ч А С Т Ь 11. Стратегический менеджмент: магистратура
этих двух подсистем с образной и эмоциональной составляю­
щей вербальной деятельности человека позволило создать не­
что новое — радиотелефон.
Творческое мышление
I
Конвергентное
мышление
• Логическое
• Последовательное
•Линейное
Дивергентное
мышление
+ ••• Целостное
Интуитивное
Релятивное
Особенности
творчества
• Оригинальность
• Гибкость
• Беглость
• Точность
Рис. 2.12. Компоненты творческого мышления
Другой подход рассматривает креативность как проявление
с о ч е т а н и я деятельности левого и правого полушарий мозга
человека. Левое полушарие представляет собой основную базу
данных, в которой в большей степени хранится информация об
опыте человека и происходят процессы, внешне проявляю­
щиеся как дедуктивные характеристики мышления. Правое по­
лушарие, отвечающее за эмоциональную, образную и опера­
тивную деятельность человеческого мозга, характеризует его
деятельность с позиций индуктивных процессов мышления.
Сочетание характеристик представлено в табл. 2.8, из кото­
рой следует, что дедуктивное мышление нацелено на реализа­
цию наиболее вероятного направления решения проблемы, в то
время как индуктивное мышление стремится решить проблему
нелогичными методами, ориентируясь на фантастические воз­
можности. Так, то, что казалось фантастикой в начале XX в.
(например, полет человека на аппарате тяжелее воздуха), во
второй его половине стало не только реальностью, но и обы­
денным делом благодаря активности человеческого мозга.
Но индуктивное мышление не тождественно креативному,
поскольку в нем, как отмечают специалисты, не заключена
сущность последнего. Оно лишь использует приемы и техники,
с помощью которых можно создать новую идею, а креатив­
ность генерирует и реализует идеи, опирающиеся на такое
свойство систем, как э м е р д ж е н т н о с т ь . Последнее стано­
вится возможным при сочетании дедуктивного и индуктивного
способов мышления.
Например, в 40-е гг. XX в. у человечества уже был опыт
приема и передачи информации с помощью радиоволн и с по­
мощью проводной связи (телефон). Но в 60-е гг. сочетание
258
ф
В принятии решений важны не только творческие парамет­
ры мышления, но и характеристики аналитического, критичес­
кого толка.
Если ключевой признак творческого мышления — это спо­
собность человека создавать новые сочетания идей, направлен­
ных на решение актуальных проблем, то в основе критическо­
го мышления лежит рациональное, рефлексивное мышление,
которое направлено на осознание того, какие действия следует
предпринять для такого решения проблем, которое не б у д е т
сопровождаться осложнениями и возникнове­
нием новых проблем.
Таблица 2.8
Сочетание особенностей мышления двух полушарий
Характеристики мышления
дедуктивного
индуктивного
Анализ
Все допустимо и разрешено
Критика
Все возможно
Практические аспекты дела
Суть дела — в контексте
Функциональность: будет ли это
работать?
Комбинация новых элементов
«Минусы» рискованных действий
«Плюсы» рискованных действий
Детали
Изучение картин, звуков и движе­
ний
Логическое
Эмоциональное и интуитивное
Вспомни, что «сработало» в про­
шлом?
В будущем возможно любое разви­
тие событий
Общими мыслительными процессами для всех видов твор­
чества являются комбинирование и аналогизирование наряду с
такими приемами, как выявление новых связей и перенос
9*
259

130.

Ф Ч А С Т Ь 11. Стратегический менеджмент: магистратура
функции одного объекта на другой. Психологами установлено,
1
что раскрепощенное воображение управляет порождением бес­
численных более или менее случайных ассоциаций и возник­
новением эвристик.
Как отмечает Г.М. Андреева (д-р экон. наук, профессор ка­
федры социальной психологии МГУ, в многочисленных экспе­
2
риментах установлены наиболее типичные условия примене­
ния эвристик:
• дефицит времени для обдумывания ситуации;
• перегруженность информацией, затрудняющая возмож­
ность ее обработки;
• сравнительно невысокая значимость воспринимаемого
объекта, делающая достаточно безразличным точное знание о
нем;
• элементарная недостаточность информации для осмыс­
ленного вывода;
• непроизвольность быстрого решения.
М о дул ь 6. Методы проведения исследований в области стратегического менеджмента
01
S
X
£ Q_ О.
i s *
X
1
Воображение рассматривается как бессознательная способность ком­
бинировать факты новыми способами, а интуиция представляет собой спо­
собность переносить нужные воображаемые образы в сознание.
2
См.: Андреева Г.М. Психология социального познания. — С. 107.
3
См.: Беляцкий Н.П. Интеллектуальная техника менеджмента: учеб. по­
собие. — Минск.: Новое знание, 2001. — С. 253.
!
2бо
о>
s
с
о
1
? x
О
a.
9-
01 oi
3
i
3
ai Ж
с а. s
о vo а
с о
s да
з- о
X
о
а.
*%
ге г;
а. о
s q.
с
С
л
о
01 о
X ге
I
Ъ
2 re
л >• m
с:
га
с
и
S
8%
а X
£ I
I -г
га >ч
u m
m о.
s
л ге * р
Й
re ^> £ Л ге а с
re­
st
3
a
It
га
5
X
01
с;
re oi
ш а
х
U
oi re
ю
I
о ь
О 0> CLVO
2 0 . 2 . Методы индивидуальной активизации
творческого мышления
Например, метод бисоциации сводит воедино две прежде
не связанные плоскости мышления, благодаря чему появляет­
ся креативный результат. Конфигуратор принципа бисоциа­
ции представлен на рис. 2.14, из которого следует, что пробле­
ме, расположенной в первой плоскости мышления, находится
аналогия, расположенная во второй плоскости мышления, для
которой известно решение-аналог. Последний, отображаясь в
первой плоскости, и дает искомое решение проблемы. Четыре
стадии, отраженные на рисунке, содержат следующие шаги.
а. а ^ jr = _
vo S ге л £ s
О а re
О
да с о * га *
га 9-
ли
о
а
с
о
со
£3
К числу основных факторов, влияющих на творчество,
3
обычно относят следующие компоненты : эмоциональность,
визуализацию, аналогии, метафоры, юмор.
Схематично методы активизации мышления представлены
на рис. 2.13.
о> _
га 01
та
г- _г- 37 ^ л
*: 4 c re
я
со
01
01 о
2
S
01 SX
2 s
n о i s
S в
m X
i i
9
о <u
u о
M
3
P 5 oi
ш .0
>ч X
OI 0)
CIS
с
га
m
О
01
и
_
t г »
s i !
X
_ х
а
о
с
KJ
X К т
3
.9- »
Р _ о
5 C5
с
D L»
ге
а
и в с с ;
s
О *
& S~
X _
f
-
й
с
i
S o vo
а- ш ш
3
а
л с:
о о о
re g
и с
м
oi
3
I « S
Q О- *
х
^
± 2
Н йз
и.
L5Q (ЧСП
2б1

131.

Ф ЧАСТЬ 11. Стратегический менеджмент: магистратура
М о д у л ь 6. Методы проведения исследований в области стратегического менеджмента
ф
ренести в рассматриваемую область (плоскость). Становиться
экспертом в «чужой области» не обязательно, важно суметь пе­
ренести решение из этой области в проблемную область.
Например, у репейника большое число маленьких крючоч­
ков, которые цепляются за одежду человека, а у пера птицы —
большое количество крючочков, которые входят в зацепление
между собой.
Перенос решения-аналога должен быть таким, чтобы адапта­
ция решения к новым условиям обеспечила решение проб­
лемы.
Так, например, надоедливый репейник подсказал модель
для застежки-липучки; структура птичьего пера позволила
изобрести застежку-молнию (точно так же, как структура по­
верхности кожи пингвинов позволила оптимизировать движе­
ние подводных лодок).
20.3. Методы креативного
взаимодействия
С определения проблемы начинается работа: спросите себя, о
чем здесь, по сути, идет речь. Попробуйте обдумать проблему
со всех сторон. Во многих случаях полезно составить список
тех требований, которым должно соответствовать решение. На­
пример, само по себе застегивание и расстегивание (завязыва­
ние и развязывание) создает проблему не только тогда, когда
мы торопимся.
Обнаружение второй «плоскости мышления» — творческая
работа: нужно найти «вход» в эту плоскость. Следует подумать
о том, на что похоже то, что необходимо достичь.
В какой области работает то, что не работает в рассматри­
ваемой области? Например, это похоже на смыкание и размы­
кание, на приставание и отставание. В природе это наблюдает­
ся у репейника (приставание и отставание) и в перьях птиц
(смыкание и размыкание компонентов пера).
Распознавание аналогий заключается во внимательном поис­
ке общих принципов и закономерностей, которые можно пе262
В числе групповых методов, используемых в процессе раз­
работки стратегий, используются такие, которые позволяют ре­
ализовать эффект усиления членов команды разработчиков за
счет их активного взаимодействия. К таким методам следует
1
отнести следующие .
1. Метод мозгового штурма.
2. Метод Дельфи.
3. Методы, использующие карточки.
4. Метод «синектики».
5. Метод коллективных ассоциаций.
6. Метод фокальных объектов.
7. Метод гирлянд ассоциаций.
8. Метод морфологического анализа.
9. Метод сценариев.
10. Метод Гордона.
11. Метод целевых обсуждений.
12. Интегральный метод «Метра».
1
Подробно о содержании методов см.: Лапыгин Ю.Н. Системное реше­
ние проблем. — 336 с.
263

132.

Ф
М о д у л ь 6. Методы проведения исследований в области стратегического менеджмента
ЧАСТЬ II. Стратегический менеджмент: магистратура
13. Метод «дерева целей».
14. Метод номинальных групп.
Например, методы, использующие карточки, включают в
себя метод анкетирования Кроуфорда, «метод 635», техники рас­
членения и построения диаграммы родового сродства (рис. 2.15),
каждый из которых позволяет активизировать поиск стратеги­
чески значимых решений.
Метод
анкетирования
Кроуфорда:
• с использованием карточек;
• с использованием стендов
«Метод
635»:
• Шесть участников.
• По т р и варианта р е ш е н и й .
• За п я т ь м и н у т
Карточки
Диаграмма
родового
сходства:
• Постановка задачи.
• П е р е г р у п п и р о в к а карт.
• Построение диаграммы.
• Улучшение диаграммы.
• Приоритеты действий
Техника
расчления:
• Части целого.
• П р и з н а к и частей.
• Значение каждого признака.
• Ранжирование признаков
Рис. 2.15. Сочетание методов, основанных на использовании карточек
Метод анкетирования Кроуфорда. Его можно реализовать
двумя путями:
• с использованием карточек. В этом случае идеи записыва­
ют на маленьких карточках, которые могут циркулировать (хотя
метод не предусматривает этого) среди участников, чтобы мож­
но было добавить сопутствующие идеи или расширить ранее
высказанную идею, включая новые элементы;
• с использованием стендов. В этом случае идеи записывают
на досках или стендах. Участники ходят вдоль этих стендов, как
в галерее, и добавляют сопутствующие идеи или развивают ука­
занные ранее идеи, включая новые элементы.
Процедура заключается в следующем.
1. Так же, как и в классическом методе «мозгового штурма»,
начинают с четкого определения предмета штурма. Его назва­
ние записывают на доске или на каждой отдельной карточке
каждого участника, если используется метод с карточками.
264
ф
2. Участники записывают свои идеи либо на карточках,
либо на досках. Нужно стараться дать точную формулировку
идеи, иначе придется снова обращаться к автору за дополни­
тельными разъяснениями.
3. Участникам разрешается делать добавления к идеям дру­
гих авторов. В этом случае дополнительный эффект получается
от слияния различных идей и от развития ранее высказанной
идеи.
4. В заключение высказанные идеи подвергаются устному
обсуждению в группе. Все идеи желательно рассортировать на
классы.
Никакая из форм открытой оценки предложений не допус­
тима. Это повышает требования к точности формулировки вы­
сказываемых идей. Итоговый документ, в котором выполнено
предварительное суммирование всех идей, уже может открыто
обсуждаться группой. При достижении согласия выработанные
идеи используются в дальнейшей работе.
«Метод 635»
Каждому участнику (в идеальном случае их шестеро) вруча­
ется карточка (лист бумаги) с записанным на ней вопросом.
В течение последующих пяти минут участник набрасывает три
варианта решения проблемы, затем протягивает свою карточку
соседу слева, а от соседа справа в свою очередь получает его
карточку с тремя другими предложениями каждого из участни­
ков. В идеале он ими вдохновляется и в последующие пять минут
добавляет к ним три новые идеи, затем передает карточку дальше
налево. Сеанс заканчивается, когда каждый из участников сделал
записи на каждом листе, — примерно через полчаса. За это вре­
мя должно появиться 6 x 3 x 6 = 108 решений проблемы. Оцен­
ка проводится так же, как и при «мозговом штурме».
В рамках «метода 635» участники работают в условиях ощу­
тимого давления, как еще говорят: в условиях «креативного
стресса». Поэтому каждый участник вынужден сконцентриро­
ваться, он не может спрятаться внутри группы или ввязаться в
пустую болтовню, как это иногда бывает в групповой работе.
Например, магистранты дневной формы обучения («вчераш­
ние» бакалавры) согласно учебному плану в первый год обучения
должны пройти педагогическую практику, и возникает проблема
боязни аудитории. Решения магистрантами такой проблемы соб­
раны «методом 635» и приведены в приложении 8.
265

133.

ф
Ч А С Т Ь I I . Стратегический м е н е д ж м е н т : магистратура
Техника расчленения
Этот метод включает четыре последовательных шага. Су­
щество его заключается в одновременном обозрении всего мно­
жества элементов, подлежащих преобразованию, т.е. в активи­
зации не только аналитических возможностей левого полушария
головного мозга человека, но и синтетических — правого.
Вначале все составные части конструкции (предмета, услу­
ги, товара и т.д.), подлежащей совершенствованию, записыва­
ют на отдельные карточки.
Затем на каждой карточке последовательно перечисляют
максимальный набор характерных признаков соответствующей
части.
После этого необходимо оценить значение и роль каждого
признака для функций данной части (должны ли они оставать­
ся неизменными в отношении реализации своих функций). Не­
обходимо подчеркнуть разными цветами те признаки, которые
совсем нельзя менять, те, которые можно менять в заданных
пределах, и те, которые можно менять в любых пределах.
В заключение все карточки выкладывают на стол одновре­
менно и анализируют как общее поле приложения усилий.
Диаграмма сродства[Ъ, с. 130—132]
Метод «диаграмма сродства» (или «диаграмма родового
сходства») был разработан в 60-х гг. XX в. в Японии профессо­
ром антропологии Кавакито Джиро и в его честь часто называ­
ется методом Кей Джей. Метод служит для прояснения слож­
ных ситуаций.
В методе диаграмм сродства можно выделить шесть само­
стоятельных фаз.
1. Участники собираются в комнате с большой доской. На­
звание предмета обсуждения пишется большими буквами в
верхней части доски, предпочтительно без использования спе­
циальных терминов и подчеркивается. Тема обсуждения долж­
на быть написана в форме вопросительного предложения. Вы­
бор темы может быть предметом небольшого мозгового штурма
под управлением руководителя группы.
2. Цель второй фазы — собрать информацию в форме «за­
мечаний» о проблеме, включающую опыт всех участников
групповой работы.
Выдвигаемые идеи или решения определяются методом
мозгового штурма и открыто обсуждаются в течение несколь266
М о д у л ь 6. Методы проведения исследований в области стратегического м е н е д ж м е н т а
ф
ких минут. Руководитель группы раздает примерно 20 клейких
карточек, на которых каждый из участников записывает свои
замечания. Каждое замечание должно быть выражено в форме
короткого законченного предложения.
Руководитель группы должен обеспечить единое понимание
участниками смысла замечаний, содержащихся в каждой кар­
точке. С этой целью он по очереди приклеивает карточки на
доску и зачитывает их содержание, предлагая авторам замеча­
ний прокомментировать их и ответить на вопросы группы. При
необходимости содержание карточки корректируется или пере­
писывается вновь.
Затем карточки приклеиваются к доске в произвольном по­
рядке.
3. Не говоря ни слова, без какой-либо дискуссии, участни­
ки должны передвигать карточки по доске так, чтобы получи­
лись группы со взаимосвязанными замечаниями и решениями.
Эта перегруппировка делается не на основе логики, а используя
интуицию и чувствительность каждого из участников, его впе­
чатления от того, что «две или три карточки могут что-то со­
общить друг другу», что оправдывает название метода.
Обычная ситуация сводится к многократному передвижению
карточек вперед и назад, пока они не займут нужные места.
В зависимости от числа вьщвинутых идей вся процедура
может занять час или более. Альтернатива заключается в том,
что, с одной стороны, время можно ограничить, с другой — это
время можно установить достаточно продолжительным (целый
рабочий день, несколько дней, неделя). В течение всего этого
времени участники подходят к доске и передвигают карточки в
соответствии с их внутренними предпочтениями.
4. По окончании процедуры группировки карточек участни­
ки эксперимента обсуждают окончательную форму результата.
С учетом полученных объяснений, почему те или иные карточ­
ки оказались на конкретных местах, возможны еще дополни­
тельные перемещения карточек.
Каждая группа из двух или трех карточек получает «наз­
вание», которое будет написано красным маркером на новой
карточке. Общее число полученных групп не должно превы­
шать 5—10. Большие группы можно поделить на подгруппы
более низких уровней.
Построение в дальнейшем продолжается с использованием
карточек с «названиями», следуя в точности правилам, установ267

134.

Ф
Ч А С Т Ь I I . Стратегический м е н е д ж м е н т : магистратура
ленным для группирования разрозненных карточек. Эти новые
(второго уровня) группы будут состоять из карточек с названи­
ями и относящихся к ним карточек с «замечаниями».
В группе могут быть максимально три карточки с названи­
ями. Перегруппировка облегчается, если первичные карточки
наклеены под соответствующими «названиями».
Затем члены группы дают название каждой группе карточек
2-го уровня, которые пишут голубым фломастером (маркером)
на новых карточках.
Построение продолжается до тех пор, пока число групп ста­
нет не больше пяти. В случае необходимости возможно созда­
ние 3-го уровня с использованием зеленых карточек.
5. Теперь можно вычертить искомую диаграмму сродства.
Для этого выделенные группы вместе с названиями заключают
в прямоугольники, которые соединяют стрелками для указания
связей между группами.
Индивидуальные карточки и карточки-заголовки 1-го уров­
ня приклеивают там, где они были помещены (не следует при­
клеивать к доске карточки-названия 2-го и 3-го уровней и кар­
точки со знаками отношений). Участники группы делают это
сообща.
Обводящая линия для группы 1-го уровня рисуется теперь
черным фломастером, аналогичные линии 2-го уровня — зеле­
ным, а 3-го уровня — черным.
Заголовки 2-го уровня пишут голубым прямо на картоне
над соответствующими кругами. Заголовки 3-го уровня пишут
зеленый. Стрелки рисуют на картоне красным.
6. Заключительный этап — оценка полученной диаграммы
сродства с учетом ее дальнейшего использования. Здесь важно
определить приоритеты для дальнейших действий, направлен­
ных на решение проблемы. Эти приоритеты определяют голо­
сованием, в котором каждый участник голосует за три группы
в порядке важности, используя три клеящиеся цветные точки
(красная — 3 очка, голубая — 2 очка, зеленая — 1 очко). Каж­
дый участник имеет 6 очков. Голосование проходит по группам
1-го, а не по группам 2-го и 3-го уровней.
В группах (прямоугольниках) содержатся различные предла­
гаемые решения рассматриваемой проблемы. Эти решения мо­
гут оказывать взаимное влияние. Следовательно, предлагаемые
решения проблемы должны рассматриваться во взаимосвязи
при разработке итоговых решений.
268
М о дул ь 6. Методы проведения исследований в области стратегического м е н е д ж м е н т а
ф
20.ц. Метод сценариев в построении стратегии
Сценариями называют гипотетические альтернативные опи­
сания того, что может произойти в будущем. Сценарии не
просто плод фантазии, а логически обоснованные модели бу­
дущего, своеобразный рассказ о том, «что случится, если...».
Обычно разрабатывают несколько сценариев: оптимисти­
ческий, пессимистический и промежуточный. Перед разработ­
кой сценария составляют перечни факторов, влияющих на ход
событий, и перечни наличных ресурсов.
Поиск нестандартных решений вновь возникшей проблемы
ведут методами генерирования альтернатив. Сравнительная
предпочтительность различных альтернатив оценивается мето­
дом определения рейтингов или методами формирования оце­
ночных систем, в состав которых входят критерии оценки,
шкалы измерения критериев, правила выбора наиболее пред­
почтительной альтернативы. Этот метод применяется в том
случае, когда цель не ясна, а есть только исходное состояние
системы.
События нижнего уровня декомпозиции ранжируют по
предпочтительности и по вероятности наступления. Наиболее
предпочтительный вариант и есть цель системы.
20.5. Методы групповой работы
в решении стратегических проблем
Существуют универсальные и специальные методы (под
конкретную задачу). К универсальным методам относятся ме­
тоды групповой работы.
Активизация коллективного мышления. Главное в активиза­
ции коллективного мышления — это способность исследовате­
ля удержать внимание членов группы на обсуждаемом объекте.
Процедурно это может выглядеть в форме вопроса, уточняю­
щего понимание обсуждаемых проблем (как персонально поня­
ли вопрос; попросить повторить постановку задачи и т.д.).
Активизируют творческое мышление всевозможные интер­
претации рассказанных историй. Иногда участникам назначают
в группе роли: генератора идей, координатора, критика, интер­
претатора, финалиста, чтобы упорядочить процесс поиска ре­
шения. Но практика показывает, что это «работает» плохо (ви269

135.

ф
Ч А С Т Ь I I . Стратегический м е н е д ж м е н т : магистратура
димо, в силу сложности точного распределения ролей и малого
времени совместной работы в группе).
Безусловно, следует использовать природные свойства чле­
нов группы (критиков, генераторов идей и т.д.), но лучше это
проявляется без принуждения.
Необходимо дать группе возможность проявить весь свой
потенциал и только затем помочь ей выработать правила груп­
повой работы и вести дальше.
Очень хорошо активизирует работу визуализация процесса:
схемы, рисунки, графики.
В своей работе группа зачастую подходит к критической
черте, за которой начинает нарастать усталость, возникает
стремление идти по простому пути и мыслить стереотипами;
полученное решение кажется трудновыполнимым. Здесь важно
почувствовать ситуацию и найти прием, активизирующий про­
цесс.
Если все же работа заходит в тупик, необходимо после
20 минут индивидуальной работы устроить конференцию идей
каждого участника. Если время поджимает, то можно объявить
активную паузу для индивидуальных размышлений в течение
минуты.
Таким образом, активизация мышления в группе проявля­
ется во взаимной интерпретации, схематическом изображении
обсуждаемых проблем, в синектике, групповой рефлексии и
временном разделении группы.
Работа по содержанию групповых действий, во-первых, за­
ключается в том, что исследователь как консультант всегда
привносит в группу новые научные знания. Это происходит как
в результате реализации самой методики групповой работы, так
и в процессе проведения небольших информационных сообще­
ний.
Во-вторых, задача консультанта — вносить новую информа­
цию в виде анализа того фактического материала, который по­
лучен им от организации-заказчика групповой работы.
В-третьих, консультант во время групповой работы дает
комментарии по конкретному поводу. Проводя аналогии между
опытом других организаций и существом обсуждаемых про­
блем, консультант обогащает работу по содержанию.
Наконец, консультант предлагает собственные идеи по ре­
шению рассматриваемых проблем.
270
М о д у л ь 6. Методы проведения исследований в области стратегического м е н е д ж м е н т а
ф
Таблица 2.9
Параметры интерактивных игр
Имитационные игры
Организациоинодеятельностные игры
Деловые игры
Имитационной моде­
лью игры называется
модель, исследование
которой осуществляет­
ся с помощью экспе­
римента на модели,
воспроизводящего про­
цесс функционирова­
ния системы во вре­
мени
Игра базируется на ос­
нове предъявляемой
игрокам исходной ин­
формации о состоянии
реальной социальноэкономической систе­
мы, и к участию в
ней, как правило, при­
влекаются реальные
участники моделируе­
мого управленческого
или социально-эконо­
мического конфликта
Под деловой игрой по­
нимается модель взаи­
модействия людей в
процессе достижения
целей экономического,
политического или
престижного харак­
тера.
Деловая игра — это
модель процесса при­
нятия управленческого
решения
Обучают принятию уп­
равленческих решений
как на индивидуаль­
ном, так и на группо­
вом уровне
Позволяет решить раз­
нообразные проблемы:
от вывода предприятия
из тупика до разработ­
ки концепций и стра­
тегий развития
Позволяет в рамках
учебного процесса
сместить акцент
«с системы знаний»
на «систему умений»
Участники осущест­
вляют разнообразное
взаимодействие, что
создает предпосылки
для освоения эффек­
тивного коммуника­
тивного опыта
Продолжительны по
времени: от 1 дня до 1
месяца. Участники
игры за это время ста­
новятся сплоченной
командой
Является инструментом
научения. Участник
игры анализирует, ста­
вит и решает задачи ре­
ально. Происходит ос­
воение новой информа­
ции и развитие умений
Моделируют разнооб­
разную среду, в кото­
рой может оказаться
человек, что не только
расширяет кругозор
участников, но и поз­
воляет приобрести
опыт адаптации к но­
вой среде
Ведение игры, анали­
тика, группообразование, рефлексия по
итогам игры предо­
ставляют играющим
возможность знако­
миться с разными ин­
дивидуальными стиля­
ми работы и формами
Разработано достаточ­
но много игр, которые
легко адаптировать под
конкретную задачу
клиента
Имитационные игры
можно использовать не
только самостоятельно
в рамках изучаемой
проблемы, но и как
вкрапления в другую
технологию
делового взаимодейс­
твия, расширяющими
коммуникативную
компетентность и поз­
воляющими за время
участия в игре овла­
деть конструктивным
общением
Участники используют
сенсорные каналы,
чему способствует «уп­
равляемое эмоцио­
нальное напряжение»,
интенсифицирующее
процесс обучения и
вызывающее включен­
ную активность
271

136.

Ф
Ч А С Т Ь 11. Стратегический м е н е д ж м е н т : магистратура
М о дул ь 6. Методы проведения исследований в области стратегического м е н е д ж м е н т а ф
Для улучшения рассмотренных факторов групповой работы
необходимо после непродолжительного вступления организо­
вать деловую игру, раскрывающую основные особенности ра­
боты в группе. Очень важно провести разбор результатов игры
таким образом, чтобы рефлексия участников позволила им вы­
работать для себя определенные правила. Указанные правила
целесообразно обсудить и принять, как минимум, на период
проведения групповой работы.
Интерактивные игры. Игра — это механизм аккумуляции и
передачи коллективного опыта, причем главным в этом меха­
низме выступает сам процесс деятельности ее участников. По­
этому важным является не только распределение ролей и оп­
ределение правил игровых действий, но и моделирование
игрового процесса и сопутствующего ему эмоционального на­
пряжения.
Классификация интерактивных игр приведена в табл. 2.9.
Ведущим компонентом игры служит роль и ее принятие
играющим. Игровые действия могут задаваться сценарием, мо­
дератором игры, нормативными документами или формируются
самими игроками. Моделирование, которое по определенным
правилам систематизирует всю конструкцию игры, обеспечива­
ет замену реальных ситуаций искусственно сконструированны­
ми поведенческими образцами.
1
Интерактивные игры основаны на активном, эмоциональ­
но окрашенном общении участников друг с другом и с иссле­
дователем.
К интерактивным играм относят прежде всего имитацион­
ные, организационно-деятельностные и деловые игры.
Контрольные вопросы и задания по модулю 6
Тема
18
1. Как строится диаграмма «рыбий скелет»?
2. По какому принципу выстраиваются причинно-следственные свя­
зи в методе 5 «почему»?
3. Что собой представляет поле корреляции?
V
1
J
Интерактивный — активный вовне; интерактивность возникает в про­
цессе вербального и невербального общения людей.
272
4. Что дает для исследования построение гистограммы?
5. Какие документы подлежат анализу в процессе работы над стра­
тегией?
6. Чем отличается ознакомительное интервью от проблемного?
7. В чем специфика развивающего интервью?
8. Назовите основные виды наблюдений.
д. Каким может быть диагностическое наблюдение?
ю. В чем специфика наблюдений за слабыми сигналами?
Тема
19
1. Что собой представляют эмпирические методы исследования?
2. Чем отличается метод индукции от метода дедукции?
3. В чем состоит сущность метода экспертных оценок?
4. Какие задачи можно решать с помощью метода экспертных суж­
дений?
5. Перечислите этапы экспертизы.
6. В чем заключается метод анкетирования?
7. Как производится экспертное ранжирование?
8. На чем основан метод парных сравнений?
д. Какие известны два класса рациональных методов?
ю. Какова специфика эвристических методов?
Тема
го
1. Назовите методы активизации мышления.
2. Чем отличается конвергентное мышление от дивергентного?
3- Дайте характеристику дедуктивным методам.
4. Что собой представляет метод бисоциации?
5. Какие бывают виды метафор?
6. Как реализуется метод, основанный на использовании карточек?
7. Назовите методы коллективного творческого мышления.
8 . Опишите процедуру «метода 6 3 5 » .
д. На чем основан метод построения сценария?
ю. Назовите основные виды интерактивных игр.

137.

М о д у л ь 7. Схемы р а з р а б о т к и стратегии
ф
Потребность
МОДУЛЬ 7
СХЕМЫ РАЗРАБОТКИ
СТРАТЕГИИ
1-й листок
не более 7 формулировок проблем
2-й листок
гипотезы по решению проблем
4-йлисток
Важные данные:
информация,
которую легко найти
3-й листок
перечень недостающей информации
ТЕМА 2 1
Формирование команды разработчиков
Общие методы разработки стратегий
Каждый член команды
2 i . i . Быстрая разработка
Учесть совокупность всех факторов, влияющих на разработ­
ку стратегии, практически невозможно. В ситуации, когда нуж­
но быстро разработать стратегию, которая исходит в первую
очередь из практики бизнеса, на помощь приходят рекоменда­
ции Р. Коха [45, с. 37] по применению метода последователь­
ного приближения к разработке стратегии.
Суть метода заключается в последовательном выполнении
процедур, предписанных схемой, изображенной на рис. 2.16.
Вначале необходимо ощущение потребности в стратегии пе­
ревести в перечень вопросов, на которые хотелось бы ответить
в первую очередь. Формулировки этих вопросов полезно выпи­
сать на листке бумаге в форме проблем, требующих первооче­
редного решения. Таких проблем не следует писать много: от
четырех до шести (максимум семи).
На другом листке бумаги нужно изложить приходящие в
голову гипотезы относительно важнейших вопросов. Гипотеза
для каждого вопроса должна представлять собой предположе­
ние относительно того, каким бы могло быть лучшее решение.
На данном этапе не имеет значения точность решения; самое
важное — представить контуры возможного решения, чтобы в
274
Сбор и анализ
релевантной информации
|
Поиск консенсуса по 1,2,3,4 листкам
1
Какая информация нужна?
Кто обеспечит получение?
Когда провести еще поиск?
^^^"сфатегия^^^
Рис. 2.16. С х е м а б ы с т р о й
разработки стратегии
дальнейшем выработать новую гипотезу исходя из новой ин­
формации или догадки.
На третьем листке бумаги необходимо составить перечень
той информации, которая в идеале могла бы быть получена и
с помощью которой можно было бы выработать лучшее реше­
ние проблемы (вопроса). Этот перечень целесообразно разде­
лить на два уровня: «наиболее важные данные» и «данные, ко­
торые легче всего найти».
Полученные два списка (два столбца) следует выписать на
отдельном листке и выделить из них ту часть информации,
которую предполагается собрать: другими словами, необходимо
275

138.

ф
Ч А С Т Ь I I . Стратегический м е н е д ж м е н т : магистратура
создать некоторую комбинацию наиболее важной и наиболее
доступной информации. Кроме того, полезно выделить ту ин­
формацию, которую нужно собрать на первом этапе.
Далее необходимо сформировать команду разработчиков
стратегии. Желательно, чтобы в состав команды вошли те ме­
неджеры, которые будут принимать непосредственное участие
в ее реализации. В дальнейшем каждый член команды должен
проделать описанные процедуры по формулированию проблем
и поиску релевантной информации.
Затем организуется групповая работа команды (желательно
под руководством консультантов по управлению и организаци­
онному развитию), во время которой сравниваются индивиду­
альные записи и осуществляется поиск согласованных решений
(консенсуса) в отношении четырех упоминавшихся листов.
Если удается сразу достичь консенсуса, то наступает про­
цесс формулирования стратегии и определения ее содержания,
как совокупности решений наиболее значимых проблем разви­
тия бизнеса. Если требуется дополнительная информация, то
необходимо решить, каким образом должны быть получены
данные, кто должен заняться их получением и когда снова сле­
дует собраться для того, чтобы обсудить результаты. Цикл по­
вторяется до тех пор, пока не сблизятся позиции членов коман­
ды разработчиков.
М о д у л ь 7. Схемы разработки
стратегии
аналитика в большей степени нужна на этапе детализации
стратегии. С его точки зрения требования к разработке страте­
гии должны выглядеть так [27, с. 44].
• Надо децентрализовать «стратегию» и передать ее менед­
жерам в каждой бизнес-единице.
• Эксперты-стратеги и стратегические консультанты долж­
ны помогать и содействовать руководителю на месте, а не иг­
рать роль первой скрипки.
• Стратегия должна разрабатываться в случае необходимос­
ти: когда становится ясно, что текущая стратегия нежизнеспо­
собна, ее недостаточно для удовлетворения амбиций или она не
будет актуальна в будущем.
• Лучше разрабатывать стратегию быстро, комбинируя твор­
ческую мысль и интуицию вместе с количественными данными
и результатами их анализа. Учет и анализ лучше использовать
для усовершенствования, а не для формирования стратегии.
• Чтобы стратегию можно было реализовать, она должна
быть понятной, а для этого — просто и легко формулироваться.
Все, что можно записать, должно способствовать реализации
стратегии или измерению результатов ее внедрения, а не быть
самой стратегией.
21.3. Взаимосвязь факторов разработки стратегии
21.2. Динамика методов разработки стратегий
Все подходы к разработке стратегии организации сводятся к
тому, что стратегия представляет собой сочетание теоретическо­
го анализа и интуиции разработчиков, коими в первую очередь
должны являться те субъекты, которые будут детализировать и
реализовывать стратегию. Важным является и то, что стратегия
никогда не может быть продумана и просчитана до конца, а ее
корректировка по мере изменения внешних и внутренних усло­
вий — процедура необходимая. Из этого следует, что у н и в е р ­
с а л ь н о г о , п р и г о д н о г о н а в с е с л у ч а и ж и з н и ме­
тода р а з р а б о т к и стратегии не существует.
Ричард Кох, рассматривая требования, которые следовало
бы предъявлять к разработке стратегии, исходит из своего по­
сыла, что стратегия должна разрабатываться быстро, без ос­
новательных расчетов и без бумажной аналитики. Сама же
276
ф
Четыре блока факторов, изображенных на рис. 2.17, с одной
стороны, достаточно независимы между собой и позволяют
разработать стратегию на основе только одного из блоков, а с
другой стороны, связаны между собой и взаимно дополняются,
описывая характеристики стратегии организации под разными
ракурсами.
Последовательное движение от простого метода разработки
к более сложному отражено на рисунке стрелками, соединяю­
щими рассматриваемые блоки факторов: от разработки на ос­
нове эталонных вариантов стратегий к разработке стратегии на
основе философии бизнеса.
Всякий раз, разрабатывая что-либо новое, мы стремимся
понять: а как эту задачу или подобную ей решали прежде. Опыт
предшественников, зафиксированный в литературе, позволяет
примерять к рассматриваемым организациям образцовые вари­
анты стратегий, которые еще называют эталонными, или гене277

139.

ф
М о д у л ь 7. Схемы разработки стратегии
Ч А С Т Ь I I . Стратегический м е н е д ж м е н т : магистратура
Философия
бизнеса:
• видение;
• миссия;
• цели
Результаты
SWOT-анализа
СТРАТЕГИЯ
Эталонные
стратегии
Результаты
анализа
действующей
стратегии
Рис. 2.17. О б щ а я с х е м а р а з р а б о т к и с т р а т е г и и
рическими [34]. Чаще всего с такой «примерки» и начинается
разработка стратегии бизнеса, как вновь организуемого, так и
находящегося на этапе становления.
Перед тем как приступить к определению стратегии для со­
стоявшегося бизнеса, важно понять и определить вербальное опи­
сание того движения к намеченным целям, которое имеет место
в текущем состоянии организации. Необходимо попытаться вы­
делить факторы, характеризующие деятельность организации для
того, чтобы затем выдвинуть гипотезу о возможном содержании
действующей стратегии. При этом необходимо провести анализ
как внутренних, так и внешних для организации параметров.
Стратегия не может быть оторванной от конкретной орга­
низации и ее реального состояния. Поэтому необходима значи­
тельная аналитическая работа по выявлению сильных и слабых
сторон организации, возможностей и угроз, которые открывает
для нее внешняя среда, по исследованию проблемного поля и
анализу действующей в организации стратегии.
278
ф
Процедура разработки стратегии, основанной на определе­
нии видения, миссии и цели, заключается в определении самих
указанных характеристик организации в будущем; на умозри­
тельном переносе разработчика в то состояние организации,
которое соответствует этим характеристикам; на проецирова­
нии указанного состояния на реальную среду, чтобы опреде­
лить действия, ведущие к идеальному результату.
Вначале необходимо « у в и д е т ь » свою организацию в буду­
щем, причем образ организации, с одной стороны, создается
идеальный, но, с другой стороны, он должен соответствовать
именно той организации, для которой разрабатывается страте­
гия, поскольку не из любого исходного состояния организации
можно достичь желаемого лучшего будущего. Этот образ необ­
ходимо н а п о л н и т ь с о д е р ж а н и е м того, что организация
желает предложить обществу и самой себе — своим работни­
кам, т.е. содержанием той миссии, которую организация хотела
бы выполнять в будущем.
Определение конкретного результата, который может про­
явиться, «прорасти» из образа будущего и из миссии, обеспе­
чивает ф о р м у л и р о в а н и е ц е л е й организации, для дости­
жения которых разрабатывается стратегия.
С этой целью создается своего рода модель, реализация ко­
торой должна обеспечить успех организации.
ТЕМА 2 2
Стратегические модели
2 2 . 1 . Общие замечания
Помимо эталонных стратегий, специалистами в области
стратегического менеджмента разработано значительное число
формальных моделей и матриц. Эти модели позволяют оцени­
вать результаты стратегического управления и являются своего
рода инструментами стратегического анализа. Пик популярнос­
ти таких моделей пришелся на середину 70-х гг. XX в., затем
они утратили свою популярность, уступив место творческому
анализу.
Слабость формальных моделей состоит в том, что они не
учитывают специфических особенностей организаций, для ко279

140.

Ч А С Т Ь I I . Стратегический м е н е д ж м е н т : магистратура
М о д у л ь 7. Схемы разработки стратегии
Диверсифицированный
рост
Концентрированный
рост
• Усиление позиции на рынке
• Развитие рынка
• Развитие продукта
> Центрированный
• Горизонтальный
• Конгломеративный
Стратегия развития
Интегрированный
рост
• Обратная вертикальной
интеграции
• Вперед идущей
вертикальной интеграции
Отрицательный
рост
• Сбор у р о ж а я
• С о к р а щ е н и е расходов
• Ликвидация
Р и с . 2.18. Модель структуры стратегий развития
торых разрабатывается стратегия. Однако модели сохранили
свою ценность для понимания отдельных аспектов стратегичес­
кого управления организацией. Примером могут служить типо­
вые стратегии развития (рис. 2.18).
22.2. Модель «пяти компонентов» П. Сенге
Модель «пяти компонентов» обучающейся организации,!
1
построенная в рамках концепции Питера Сенге, представлена !
на рис. 2.19.
В основе свободы для коллективных притязаний в таких \
организациях лежит понимание того, как учиться всем вместе '
осознанию реальной действительности, формированию и реа­
лизации тех целей, которых они хотят достичь. Сенге выделил, j
пять составляющих, формирующих обучающуюся организацию: j
мастерство самосовершенствования, интеллектуальные модели,!
общее видение, групповое обучение и системное мышление.
Мастерство самосовершенствования заключается в ответе-1
твенности перед самим собой за персональный рост и обу­
чение, в отношении к собственной жизни как к творческому |
труду.
280
Рис. 2.19. Пять составляющих, формирующих
самообучение организации
Интеллектуальные же модели представляют собой индиви­
дуальные модели реальной действительности, определяющие
решения и способы действия работников организации. Поэто­
му формирование и реализация стратегии определяются теми
интеллектуальными моделями, которые доминируют среди лиц,
принимающих решения.
На основе таких интеллектуальных моделей формируется
общее видение в организации. Однако оно не является прос­
тым сочетанием интеллектуальных моделей, а представляет
собой отражение того, чего еще никогда не было (мечту), ос­
нованную на интеллектуальных моделях работников и их мас­
терстве самосовершенствования.
Такой подход создает творческое напряжение, побуждаю­
щее работников организации стремиться к достижению высо­
ких целей, и порождает эмоциональную и интеллектуальную
энергию, необходимую для реализации мечты.
Групповое видение формируется как проявление закона си­
нергии в процессе взаимодействия и группового обучения, что
281
ф

141.

ф
М о д у л ь 7. Схемы разработки стратегии
Ч А С Т Ь I I . Стратегический м е н е д ж м е н т : магистратура
ускоряет персональный рост и создает ощущение причастности
к чему-то значимому. В этом процессе происходит командообразование, вырабатывая у членов команды способность прини­
мать на себя ответственность за реализацию принятых реше­
ний.
22.3. «Дерево решений»
Модель «дерева решений» как элемент системного мышле­
ния отражает возможные будущие события и последствия ре­
шений в логической последовательности (рис. 2.20).
Графическая интерпретация такой модели представляет со­
бой граф, в корне которого находится исходное состояние ор­
ганизации, в узлах расположены варианты действий, а дуги
демонстрируют связи между такими действиями. Размещая на
дугах цифровые значения вероятности выбора тех или иных
решений, получаем представление о выборе взвешенного реше­
ния в ситуации неопределенности.
И с х о д н о е состояние
Н е строить
новый завод
Построить
новый заво,
Конкурент
не строит
Конкурент
строит
Подъем
Объем п р о д а ж
Рентабельность
5
продаж
Прибыль
5
Основные фонды 85
Рентабельность
6
основных фондов
Вероятность
^0,15
140
10
110
5
300
25
50
0
100
4
100
5
120
б
15
85
18
6
85
8
45
85
48
0
45
0
4
45
8
5
45
10
8
45
15
0,15
0,35
0,35 К 0 , 2 5
0,25
0,25
0,25
О ж и д а е м о е значение показателя
Рис.
282
2.20.
«Дерево
О ж и д а е м о е значение показателя
решений»
ф
Приведенная графическая модель позволяет определить до­
ход при всех восьми вариантах развития событий. Так, при
принятии решения об осуществлении инвестиций ожидается
получение более высокой прибыли на капитал (22%), чем при
принятии решения об отказе от инвестиций (8%). Такое поло­
жение можно объяснить тем, что если производитель первым
осуществит инвестиции в свой бизнес, то вероятнее всего кон­
курент откажется от капиталовложений.
К иным иерархическим моделям следует отнести модель
«7S».
22.4. Модель «7S» Мак-Кинси
Модель Мак-Кинси представляет собой способ осмысления
проблем, связанных с развитием или перестройкой организа­
ции. Ее название происходит от семи факторов (семи слов,
начинающихся в английском языке на букву S), которые, по
мнению экспертов Мак-Кинси, являются важными для разви­
тия организации: стратегии (strategy), навыки (skill), общепри­
знанные ценности (shared values), структуры (structure), систе­
мы (system), кадры (staff) и стиль (style).
Когда семь S хорошо взаимно соответствуют и усиливают
друг друга, организация уверенно движется вперед. Если семь
S взаимно противоречивы, то организации не хватает систем­
ности и целеустремленности. Следует, однако, отметить, что
организация с хорошо согласованными семью факторами труд­
нее поддается стратегическим изменениям.
Обычно когда компания собирается изменить свою органи­
зацию, семь составляющих изменяются именно в приведенной
последовательности, а их взаимосвязь показана на рис. 2.21.
На первом этапе определяют стратегию, которая разъясня­
ет, на чем компания должна концентрировать свои усилия и
знания и какие согласованные действия нужно произвести,
чтобы добиться существенных конкурентных преимуществ.
На втором этапе рассматривают сильные стороны организа­
ции, а также те навыки, которые следует развить или приоб­
рести, чтобы стратегия воплотилась в жизнь, чтобы они обес­
печили успех, а это накладывает на организацию столь жесткие
требования, что она оказывается в состоянии заниматься раз­
витием не более трех навыков. Эти навыки формируют новый
облик компании и определяют изменения в других факторах.
283

142.

М о д у л ь 7. Схемы разработки стратегии
ф ЧАСТЬ 11. Стратегический менеджмент: магистратура
ф
Издержки, руб.
100
10
100
'ООО
1 0 0 0 0 Объем производства, шт.
Рис. 2.22. Зависимость « и з д е р ж к и — м а с ш т а б производства»
Рис. 2.21. Семь основных факторов, влияющих на развитие о р г а н и з а ц и и ,
и их взаимосвязь
На третьем этапе следует выяснить, что требуется изменить
в оставшихся пяти факторах, чтобы все перемены дали поло­
жительный результат. При этом в модели Мак-Кинси исполь­
зуют:
структуры — взаимосвязи, складывающиеся между различ­
ными областями бизнеса, отделами и подразделениями компа­
нии;
системы — заведенный порядок, процессы, выполнение
различных видов работ;
кадры — люди с определенными способностями и квалифи­
кацией;
стиль — личная сигнальная система руководителей и испол­
нителей при осуществлении действий;
общепризнанные ценности — главные обстоятельства, ко­
торые, по общему признанию, имеют решающее значение для
успеха организации, в том числе увеличения масштабов произ­
водства.
22.5. Эффект масштаба и кривая опыта
Нередко увеличение масштаба производства приводит к сни­
жению издержек на единицу выпускаемой продукции. Эффект
масштаба служит одной из причин, в силу которой у конкурен­
тов с более высокой долей рынка формируются более низкие
издержки по сравнению с мелкими участниками рынка.
284
1
Кривая опыта свидетельствует, что при удвоении совокуп­
ного объема выпуска продукции затраты организации на про­
изводство единицы этой продукции, откорректированные с
учетом инфляции, снижаются на 20—30%. Время, в течение
которого происходит такое удвоение, зависит от роста самого
рынка и роста организации. Примером может служить сниже­
ние тарифов на услуги средств мобильной связи, которое про­
исходит в условиях быстрого роста самого рынка таких услуг в
современной России.
Если в системе декартовых координат обе оси (издержек и
объема производства продукции) имеют логарифмическую шка­
лу, то зависимость будет выражаться прямой линией (рис. 2.22).
Графическая модель позволяет определять численные зна­
чения целей по снижению издержек в случае формирования
стратегии роста организации. В любом случае стратегически
важно использовать возможности, предоставляемые ростом
производства для снижения издержек. Иначе конкуренты могут
опередить и подтолкнуть организацию в «мертвую петлю».
22.6. «Мертвая петля» и «спираль удачи»
Такая петля представляет собой проявление усиливающей
обратной связи, ухудшающей состояние организации вследствие
неадекватной реакции на инициативы конкурентов (рис. 2.23)
[27, с. 253].
1
Известна с 1926 г. под названием «кривая обучения».
285

143.

ф
Ч А С Т Ь I I . Стратегический м е н е д ж м е н т : магистратура
М о д у л ь 7. Схемы разработки стратегии
Необходимо избегать попадания в «мертвую петлю», а ока­
завшись в ней, следует искать стратегически важное решение
по удержанию в фокусе внимания радикально сокращаемые
виды деятельности и формирование новых правил внутренней
жизнедеятельности организации. Как отмечают специалисты,
действующему руководству практически никогда не удается вы­
рваться из «мертвой петли», особенно если она затрагивает на­
иболее важное направление деятельности фирмы. В таком слу­
чае помогут внешний управляющий, внешние консультанты
или командная работа, направленная на поиск решения наибо­
лее значимых проблем.
Предложение
высококачественной
продукции
Привлечение и
удержание лучших
специалистов
отрасли
Инвестиции в
НИОКР и
совершенствование
управления
К о н к у р е н т осуществляет
нововведения и предоставляет
б о л е е привлекательный товар
п о более н и з к о й ц е н е
Высокая о п л а т а
труда
К о н к у р е н т увеличивает
свою долю рынка за
счет о р г а н и з а ц и и ,
п о п а в ш е й в петлю
Конкурент также
с н и ж а е т цены, но все
е щ е остается
прибыльным
О р г а н и з а ц и я , попавшая в
петлю, с н и ж а е т цены в
целях у д е р ж а н и я
рыночной позиции
I
Прибыли к о м п а н и и , п о п а в ш е й
в петлю, недостаточны для
о с у щ е с т в л е н и я новых
инвестиций
Работники
организации
деморализованы
Предлагается худшая,
чем у конкурента,
продукция
Рис. 2.23. Пример «мертвой петли» организации
286
Высокая
способность
удерживать
покупателей
Высокая
относительная
доля рынка
Высокие
прибыли
Низкие
относительные
издержки
Рис. 2.24. Схема «спирали удачи»
Иногда удается выстроить процесс неуклонного укрепления
рыночных позиций компаний. Тогда организация выходит из
«мертвой петли» и раскручивает «спираль удачи», схема кото­
рой приведена на рис. 2.24 [27, с. 289].
22.7. Модель совершенной компании
по Питерсу и Уотерману
Поиск причины успеха десятков самых выдающихся компа­
ний привел Тома Питерса и Роберта Уотермана к построению
модели совершенной компании, основанной на восьми базовых
принципах, отраженных на рис. 2.25. И несмотря на то, что
принципы эти были составлены более 20 лет тому назад, они
справедливы и по сей день.
Ориентация на действие проявляется в том, что совершен­
ные компании обязательно действуют, а затем фиксируют до­
стигнутое и проверяют его еще раз на опыте.
287
ф

144.

М о д у л ь 7. Схемы разработки стратегии
ф Ч А С Т Ь I I . Стратегический м е н е д ж м е н т : магистратура
О р и е н т а ц и я на
действия
......
._
Простая форма,
немногочисленный
штат
Тесное взаимодействие
с потребителем
Базовые
V
—-\
принципы
Последовательность
и твердость
Л
J
О р и е н т а ц и я на
о б щ и е ценности
Производительность,
о п и р а ю щ а я с я на
людей
Рис. 2.25. Принципы управленческого успеха
Тесное взаимодействие с потребителем обеспечивает совер­
шенным компаниям лучшее понимание мотивов своих клиен­
тов в выборе товаров на рынке.
Автономия и предприимчивость заключаются в умении со­
вершенных компаний быть большими и одновременно дей­
ствовать, как маленькие, на основе внутреннего предпринима­
тельства и большей свободы подразделений.
Производительность, опирающаяся на людей, содержит в
своей основе понимание того, что уважительное отношение к
персоналу повышает его мотивацию и, как следствие, произво­
дительность труда.
Ориентация на общие ценности позволяет руководителям
организации осуществлять стратегическое управление развити­
ем и организации, и ее работников.
Последовательность и твердость проявляются в том, что со­
вершенные компании занимаются бизнесом, который знают в
совершенстве.
Простая форма и немногочисленный штат совершенных
компаний позволяют им в условиях нарастания хаоса обеспе­
чивать управляемость и эффективность.
В совершенных компаниях сочетание свободы с жесткостью
основано на одновременном использовании принципов цент­
рализации и децентрализации, жесткого централизованного
управления с максимальной автономией личности и малых
групп.
288
22.8. Стратегия эпохи
перемен
Автономия
и предприимчивость
1
/
ф
По оценкам американских консультантов широкомасштаб­
ные перемены в настоящее время затрагивают все сферы чело­
веческой деятельности и создают почву для стратегии быстрых
изменений в условиях хаоса. В этом отношении ими выбрано
сочетание методик, позволяющих определять стратегические
решения в существующем хаосе:
• постоянно пополнять информационную базу данных о
сфере бизнеса, чтобы в нужный момент быть готовым к приня­
тию стратегически верного решения;
• ориентироваться на результат, а не на процесс достижения
этого результата;
• планировать свою деятельность многовариантно, разраба­
тывая сценарии для наиболее вероятных вариантов развития со­
бытий;
• относиться к каждому потребителю так, будто это индиви­
дуальный рынок;
• создавать инновации, приносящие доход, и стремиться к
владению в первую очередь нематериальными активами и толь­
ко во вторую очередь прочей собственностью;
• не выбирать решения из разряда повторяющихся, а искать
иррациональные, креативные, интуитивные решения;
• акцентировать на разнообразие и диверсификацию выпус­
каемой продукции, что делает доступным множественные пер­
спективы;
• разрешать работникам принимать решения самостоятель­
но, контролируя риски, а не поведение работников;
• добиваться перемен посредством создания специфической
социокультуры, ориентированной на разумное нарушение пра­
вил и рамок, ограничивающих поведение работников в ситуа­
ции стремительных перемен внешней и внутренней среды орга­
низации.
1
См.: У. Уокер, Д. Тейлор, Г. Мит. С периодичностью в пятьсот лет.
В кн.: Д.Миддлтона. Библиотека избранных трудов о стратегии бизнеса.
Пятьдесят наиболее влиятельных идей всех времен / Пер. с англ. — М
Олимп-Бизнес, 2006. — С. 207—210.
10 Стратегический менеджмент
289

145.

ф
Ч А С Т Ь I I . Стратегический м е н е д ж м е н т : магистратура
22.9. Стратегия, ориентированная
на лояльность
По мнению профессионалов от консалтинга, организации,
игнорирующие вопросы лояльности не только со стороны по­
требителей, работников или инвесторов, но всех категорий об­
щества, контактирующих с организацией, ожидает мрачное бу­
дущее: медленный рост, низкие доходы и никаких надежд на
улучшение в перспективе.
Стратегически важные шаги, которые могут сделать органи­
зации, ориентированные на решение проблем лояльности,
представлены в виде графической модели на рис. 2.26.
П р е д л о ж е н и е высокой
ценности
Завоевание
лояльности
инвестора
У м е н и е найти нужных
потребителей
Завоевание лояльности
потребителя
Умение найти
нужных работников
(
Элементы
Л
V
стратегии
J
Д о с т и ж е н и е преимущества
Умение найти нужных
в затратах через повышение
инвесторов
производительности
Завоевание лояльности
работников
Р и с . 2.26. Шаги навстречу стратегии лояльности
Предложение высокой ценности основано на понимании
того обстоятельства, что лояльность потребителей достигается
предоставлением действительно большей ценности, чем та, ко­
торую предлагают конкуренты.
Умение найти нужных потребителей зависит от притяга­
тельности предложения и возникновения хорошего мнения и
только затем от сиюминутного впечатления, произведенного
умением торговать.
Завоевание лояльности потребителя направлено на то, чтобы
обращаться с потребителями как с активами, которые необходи­
мо, как минимум, сохранить, а еще лучше — преумножить.
Важно умение найти нужных работников не только требуе­
мой квалификации, но и разделяющих те социокультурные цен­
ности, которые составляют психологическое ядро организации.
290
ре
об
дл
ре
ни
ва
де
ма
ни
ср
ко
де
ди
че
за
ус
че
бу
пя
ст
во
ен
ци
эт
ре
гл
то
сп

146.

Щ
Ч А С Т Ь 11. Стратегический м е н е д ж м е н т : магистратура
Организация оказывается на перепутье: одна дорога ведет к
возрождению исходной формулы успеха и «возврату к осно­
вам», а вторая дорога ориентирует на качественно новый взгляд,
командную работу и новые идеи.
Но нельзя управлять будущим, глядя на него из прошлого.
Здесь необходимо искусство «управления настоящим из буду­
щего», которое, подобно вакууму, «всасывает» организацию.
2 2 . l i . Ключевые компетенции
Можно поставить под сомнение традиционный стратегичес­
кий подход и стараться меньше заниматься стратегией и плани­
рованием и больше думать о стратегичности, как пишут об этом
Г. Хамел и К. Прахалад [15, с. 84]. Стратегичность же проявляет­
ся в стратегических намерениях, стратегической архитектуре, от­
раслевом предвидении и в ключевых компетенциях (рис. 2.27).
•ж
Стратегические намерения
Стратегическая архитектура
Стратегичность
Ключевые компетенции
Отраслевое видение
Рис. 2.27. Компоненты стратегичности организации
•JUL
Под компетенцией здесь понимается набор взаимосвязан­
ных навыков и технологий, а не отдельно взятые их элементы.
Эта система имеет две плоскости проявления: внешнюю (вос­
принимаемая ценность для потребителя, дифференциация кон­
курентов как уникальность и кругозор для выхода на новые
рынки) и внутреннюю (технологии организации, процесс уп­
равления внутри организации и коллективное обучение), что
отражено на рис. 2.28.
Ценность для потребителя отражается в наибольшем вкладе
в воспринимаемую потребителем ценность продукции. Напри­
мер, репутация компании Honda как производителя лучших
двигателей в мире выделяет ее на фоне конкурентов.
292
Д
низа
ками
К
ности
для в
Ч
выде
куме
Колл
уровн
А сп
форм
орган
П
атюр
удобс
К
ми ф

147.

М о д у л ь 7. Схемы разработки стратегии
ф Ч А С Т Ь I I . Стратегический м е н е д ж м е н т : магистратура
вратить интеллектуальное лидерство в лидерство на рынке. По­
этому приобретение компетенций, обеспечивающих переход к
завтрашним возможностям, а также поиск нового применения
нынешних ключевых компетенций становится стратегически
значимой задачей.
22.12. Пять конкурентных сил по М. Портеру
Согласно модели Портера доходность производства опреде­
ляется пятью основными конкурентными силами, отраженны­
ми на рис. 2.29.
1. Конкуренция внутри отрасли, определяемая следующими
факторами:
• динамика роста спроса и фиксированные издержки в от­
расли;
• издержки переключения;
• отраслевая цикличность и т.д.
Вероятность
появления
новых
конкурентов
Прямые
конкуренты в
отрасли
Организация
Рыночная сила
поставщиков
(совершенная
конкуренция и
монополия)
Товарызаменители
(товарные
конкуренты)
Рис. 2.29. Пять сил конкуренции
294
Рыночная сила
покупателей
(совершенная
конкуренция и
монопсония)
щ
2. Входные барьеры в отраслевой рынок, выделенные Порте­
ром:
• экономия, обусловленная ростом масштабов производ­
ства;
• доступ к ноу-хау и преданность покупателей бренду;
• капитальные затраты на вхождение в рынок и издержки
переключения и т.д.
3. Рыночная власть покупателей, определяемая такими фак­
торами, как:
• количество покупателей и самих покупок;
• издержки переключения и значимость товара для покупа­
теля;
• наличие у покупателя информации о конкурентных пред­
ложениях и т.д.
4. Рыночная власть поставщиков заключается в следующих
обстоятельствах:
• мало альтернативных источников снабжения;
• каждый отдельный покупатель не является важным кли­
ентом для поставщика;
• существует реальный риск того, что поставщик будет ин­
тегрировать вперед, т.д.
5. Угроза замещения высока в таких ситуациях:
• существует ряд одинаково прибыльных способов удовлет­
ворить одни и те же потребности покупателей;
• издержки переключения при перемещении к взаимозаме­
няемому продукту незначительны для покупателя;
• покупатель демонстрирует высокую чувствительность к
цене, а цена альтернативного продукта низка и т.д.
22.13. Цепочка создания стоимости
Суть модели в том, что каждая стадия создания стоимости
технологически связана с последующим этапом трансформации
1
ресурсов в конечный продукт и ориентирована на запросы
потребителей. Каждое звено этой цепочки должно стремиться
1
Совокупность координированных действий организации начинается с ус­
тановления контактов с поставщиками и приобретения у них товаров и услуг,
продолжается последовательными стадиями производства, продажами, марке­
тингом и заканчивается доставкой товаров клиентам.
295

148.

М о д у л ь 7. Схемы разработки стратегии
ф Ч А С Т Ь I I . Стратегический м е н е д ж м е н т : магистратура
обеспечивать конкурентные преимущества в результате дости­
жения меньших издержек, повышения качества или улучшения
потребительских характеристик конечного продукта. Тем са­
мым потребитель оценивает продукт как обладающий большей
стоимостью.
Переход к процессной модели происходит, когда каждый
класс продукции рассматривается на основе своей уникальной
цепочки создания стоимости.
Цепочки позволяют достичь одной из трех главных целей:
вертикальные цепочки создают реальную стоимость внутри то­
варного сектора; горизонтальные цепочки обеспечивают коор­
динирование между вертикальными цепочками; интегрирован­
ная цепочка позволяет осуществлять координацию через сектор
отрасли.
На рис. 2.30 представлены различные типы цепочек созда­
ния стоимости и взаимосвязей между ними. Сочетание цепочек
Сфера д е я т е л ь н о с т и
Интегрированные
Горизонтальные
Вертикальные
Секторы (товарные и отраслевые)
Взаимодействия
Пересекающиеся
ф
образует сеть процессов. Сеть разделяет каждую отдельную
цепочку по трем «измерениям»: по ее типу (вертикальная, го­
ризонтальная или интегрированная), взаимосвязям (пересе­
кающаяся или спаренная) и динамике (параллельная, последо­
вательная или повторяющаяся).
Сеть процессов является фундаментом построения модели
стратегического перепроектирования, так как отражает рабо­
чую сущность отрасли и помогает выявить критические цепоч­
ки создания стоимости.
22.14. Реинжиниринг бизнес-процессов
Переосмысление бизнес-процессов и их перестройка необ­
ходимы в целях снижения издержек, улучшения качества про­
дукции и сервиса, повышения оперативности работы.
В результате реинжиниринга создаются новые методы рабо­
ты организации, начиная с самых ее основ. Вместо разделения
труда первостепенное внимание уделяется процессам, которые
рассматриваются как совокупность действий, приводящих к ка­
кому-либо результату, имеющему ценность для покупателя. Это
означает, что сущность реинжиниринга заключается в отказе от
традиционного принципа разделения задач и концентрации
внимания на выполнении общего процесса, в результате кото­
рого покупатели получают ценность.
Таким образом, реинжиниринг бизнес-процессов служит
началом и катализатором для более длительных изменений в
культуре и стандартах поведения организации, формируя ее
стратегичность.
Спаренные
22.15. Сбалансированная система показателей
Секторы
Динамика
а
ш
3*
О
Параллельные
Последовательные
Повторяющиеся
О-
с:
Время
Рис. 2.30. Типы цепочек и взаимодействий между ними
296
Сбалансированная система показателей (ССП) представля­
ет собой своеобразную концепцию управления и является
инструментом реализации стратегии. ССП позволяет связать
оперативное и стратегическое управление, поскольку перево­
дит стратегию в систему целей и задач в рамках четырех ос­
новных проекций (стратегических карт): финансов, клиентов,
внутренних бизнес-процессов, обучения и саморазвития орга­
низации.
297

149.

9 Ч А С Т Ь 11. Стратегический м е н е д ж м е н т : магистратура
Показатели системы позволяют измерить результаты де­
ятельности сотрудников и подразделений по отношению к це­
лям организации. Некоторые типичные критерии, применимые
в каждой из четырех категорий, приведены на рис. 2.31.
В целом ССП дает ответы на такие вопросы:
• какой компания представляется акционерам, потенциаль­
ным инвесторам (карта «финансов»: четыре-пять показателей);
• какой компания представляется покупателям (карта «кли­
ентов»: четыре-пять показателей);
• какие бизнес-процессы компания должна улучшить, от ка­
ких должна отказаться, на каких сосредоточить внимание (карта
«внутренних бизнес-процессов»: восемь—десять показателей);
• может ли организация продолжать свое развитие, повы­
шать эффективность, увеличивать свою стоимость (карта «обу­
чения и роста»: четыре-пять показателей)?
Внутренние
бизнес-процессы:
• скорость инноваций
• послепродажное обслуживание
• эффективность о п е р а ц и о н н о г о п р о ц е с с а
• о ц е н к а качества, о б ъ е м а выпуска
• затраты м а т е р и а л о в и в р е м е н н о й ц и к л
Н В
Клиенты:
'•УКф* ......
*
Финансы:
• доля рынка
• сохранение
к л и е н т с к о й базы
• расширение
к л и е н т с к о й базы
• удовлетворение
потребностей клиента
• прибыль к л и е н т а
к
S
I
а.
• рентабельность
капитала
• доход с продаж
• д о х о д на о д н о г о
работника
• денежный поток
Обучение и рост:
,1
• удовлетворенность работника
• с о х р а н е н и е к а д р о в о й базы
• эффективность р а б о т н и к а
• возможности информационной
системы
Р и с . 2.31. Четыре стратегические карты и показатели

150.

ф Ч А С Т Ь 11. Стратегический м е н е д ж м е н т : магистратура
ТЕМА 2 3
Стратегические матрицы
Матрица Бостонской консультационной группы и матрица
Ансоффа рассмотрены в предьщущих разделах (модуль 3 в
теме 6), но наряду с этими матрицами наработано обширное
семейство стратегических матриц, основанных на сочетании
строк и столбцов, содержащих факторы, влияющие на страте­
гическое развитие организаций.
Интеграция
л
н
р
б
н
о
н
ч
Цены
у
ч
н
Концепция
ч
Предпродажная
подготовка
Финансы
т
к
г
п
Внешняя
политика
Торговля
Послепродажный
сервис
Р и с . 2.32. Многоугольник сравнительных характеристик
конкурентоспособности фирм
23.1. Относительная доля рынка
Она представляет собой отношение доли организации на
рынке к доле на том же рынке самого крупного конкурента.
Например, если самый крупный конкурент организации А
в производстве пиротехники имеет в пять раз меньшую долю
рынка, то относительная доля рынка (ОДР) организации А рав­
на 5 (пишется 5х, или 5,0х, или просто 5), а ОДР конкурента
соответственно будет равна 0,2х.
300

151.

ф
Ч А С Т Ь I I . Стратегический м е н е д ж м е н т : магистратура
23.2. Матрица
«возможность/уязвимость»
Нормативная полоса, заключенная между двумя кривыми
линиями, характеризующими прибыльность среднего бизнессегмента отрасли, в соответствии с нормальным ожиданием в
части относительной доли рынка сегмента дает представление
о возможностях и угрозах организации, расположенной на поле
матрицы, представленной на рис. 2.34.
Ключевой элемент матрицы «возможность/уязвимость» на­
зывается нормативной полосой (см. рис. 2.34). Она представля­
ет собой полосу, заключенную между двумя кривыми линиями,
характеризующими прибыльность среднего бизнес-сегмента от­
расли, в соответствии с нормальным ожиданием в части отно­
сительной доли рынка сегмента. Нормативная полоса дает
представление о возможностях и угрозах организации в зависи­
мости от того, каково место организации на поле матрицы: над
нормативной полосой, под нормативной полосой или в зоне
самой нормативной полосы.
Нормативная полоса представляет собой зону, в которой
находятся около 80% наблюдаемых организаций. Непопадание
бизнеса в данную область нетипично (только 20% не попадут
внутрь полосы). Нормативная полоса строится по фактическим
данным о позиции бизнес-сегмента и о его прибыльности и
М о д у л ь У. Схемы р а з р а б о т к и стратегии
часто окрашивается в желтый цвет (поэтому она еще известна
под названием «бананограмма»).
Из матрицы следует, что позиции бизнеса, который обладает
высокой относительной долей рынка (ОДР), очень ценны, по­
этому менеджеры должны стремиться к тому, чтобы участвовать
в подобном бизнесе, и не должны рассчитывать, что получат
более высокую норму прибыли, до тех пор, пока большая часть
выпускаемой продукции не займет лидирующих позиций на
рынке или позиций сильного последователя, относительная доля
рынка которого составит, по крайней мере, 70% доли лидера.
Другой вывод заключается в следующем: независимо от
стартовой рыночной позиции организации целесообразно по­
стоянно стремиться к увеличению доли рынка в бизнес-сегмен­
те. Имеет смысл «поработать» над бизнесом с относительной
долей рынка 0,2х и добиться того, чтобы его позиция стала
0,5х; улучшить позиции некоторого бизнеса с 0,5х до 1,0х, с
2,Ох до 3,0х и т.д.
С помощью матрицы можно приблизительно рассчитать, ка­
кую рентабельность можно ожидать для конкретной позиции, и
таким образом определить выгоду от изменения конкретной по­
зиции и сравнить ее с ожидаемыми краткосрочными издержка­
ми на осуществление перехода. И стало быть, определить: стоит
ли пытаться увеличить ОДР конкретного продукта и в каком
сегменте доход на вложенный рубль будет максимальным.
Но! Стратегически интересна позиция не тех организаций,
которые занимают одну из 80% позиций, лежащих в зоне нор­
мативной полосы, а бизнесы, лежащие за ее пределами, напри­
мер А и Б, поскольку бизнес Б имеет возможность увеличить
прибыльность при имеющемся высокой ОДР, а бизнес А может
нарастить ОДР при имеющейся у него прибыльности. Однако
уязвимость бизнеса А заключается в том, что при снижении
цены лидером рынка объем прибыли организации уменьшится
примерно до уровня безубыточности (см. матрицу на рис. 2.34).
23.3. Матрица «рост/рост»
Относительная доля рынка, ед.
Рис.
302
2.34.
Матрица
«возможность/уязвимость»
Матрица «рост/рост», в наглядной форме сравнивающая рост
производства определенного товара организации или в опреде­
ленном бизнес-сегменте с ростом рынка в целом, позволяет уви­
деть, как изменялась доля рынка у того или иного участника.
303

152.

ф
Ч А С Т Ь 11. Стратегический менеджмент: магистратура
М о д у л ь 7. Схемы разработки стратегии
Сохранение
доли рынка
0%
Рост
организации
50%
Рис. 2.35. Матрица «рост/рост»
На рис. 2.35 в качестве примера рассмотрены три конкури­
рующих организации за определенный период времени (обыч­
но берется временной интервал от 3 до 10 лет).
Как видно из этого рисунка, организация под номером 1
растет медленнее, чем рынок в целом (следовательно, она те­
ряет часть доли рынка). Вторая по величине организация растет
с той же скоростью, что и рынок в целом, а организация под
номером 3, обладающая наименьшей долей рынка, растет быс­
трее, чем ее конкуренты. Следует заметить, что в матрице «рост/
рост» организации всегда расположены на одной высоте, соот­
ветствующей одинаковому для всех росту рынка в целом.
23.4. Матрица
«Дженерал Электрик»/«Мак-Кинси»
Модель «Дженерал Электрик»/«Мак-Кинси» — матрица
формата 3 x 3 , которая используется для отображения и срав­
нительного анализа стратегических позиций различных бизнесов (видов деятельности) организации. В отличие от матрицы
2 x 2 Бостонской консультативной группы, эта модель учиты­
вает дополнительные показатели привлекательности рынка и
конкурентоспособности компании.
304
ф
Вертикальная ось матрицы представляет собой интеграль­
ное многофакторное измерение привлекательности рынка по
данному бизнесу. Здесь оцениваются те параметры конкретно­
го бизнеса, которые организации практически неподконтроль­
ны, т.е. фактически это значимые факторы внешней среды.
Горизонтальная ось — это интегральная многофакторная оцен­
ка конкурентной позиции бизнеса. Здесь измеряются зависи­
мые от организации факторы ее внутренней среды.
На начальном этапе применения модели «Дженерал
Электрик»/«Мак-Кинси» для интегральной оценки координат
каждого бизнеса использовалось до 40 параметров. Со време­
нем их число сократилось до уровня 15—20. В табл. 2.11 при­
веден вариант из 16 параметров, по которым оцениваются кон­
кретные координаты отдельных бизнесов по каждой из осей
матрицы.
Матрица «Дженерал Электрик»/«Мак-Кинси» разделена на
девять ячеек, каждая из которых занимает определенные биз­
нес-позиции с характерными для нее стратегическими решени­
ями (рис. 2.36).
Таблица 2.11
Параметры координат отдельных бизнесов модели
«Дженерал Электрик»/«Мак- Кинси»
Оценка конкурентной позиции
(ось А)
Опенка привлекательности рынка
(ось
У)
1. Относительная доля рынка
1. Размер рынка и темпы роста
2. Разброс по прибыли относитель­
но основных конкурентов
2. Особенности конкуренции
3. Способность конкурировать по
ценам и качеству
3. Прибыльность рынка (ретроспек­
тива и перспектива)
4. Технологические преимущества
4. Требования к технологиям и ин­
вестициям
5. Маркетинговые преимущества
5. Барьеры входа и выхода
6. Уровень менеджмента
6. Сезонность
7. Знание потребителя и рынка
7. Цикличность
8. Гибкость
8. Воздействие внешней среды,
в том числе политических, социаль­
ных, правовых и других факторов
305

153.

% Ч А С Т Ь I I . Стратегический м е н е д ж м е н т : магистратура
М о д у л ь 7. Схемы разработки стратегии
Анализируемые виды деятельности могут отображаться на
сетке матрицы в виде кругов, координаты центров которых за­
даются соответствующими показателями данного бизнеса по
осям X, У. Размер каждого круга пропорционален объему про­
даж на данном рынке, а доля конкретного бизнеса изобража­
ется как конкретный сегмент соответствующего круга.
1. Специализация
на избранных
направлениях:
•избирательное
расширение
производства;
• поиск путей
преодоления
слабостей;
•ликвидация в
случае отсутствия
стабильного
спроса
4. Органическое
расширение или
постепенное
удаление:
а
2. Позиция
растущего
лидера:
•максимальные
инвестиции в
развитие
приоритетных
видов деятельности;
• концентрация
усилий на
поддержание
эффективности
5. Промежуточная
позиция,
ориентированная
на осторожное
развитие:
6. Специализация
на избранных
направлениях:
•поиск
возможностей
расширения с
низкой степенью
риска;
•сокращение
инвестиций и
рационализация
операций в случае
отсутствия
возможностей
• интенсивные
инвестиции в
• защита
наиболее
существующей
привлекательные
программы;
виды деятельности;
• концентрация
•увеличение
инвестиций на
доходности за счет
направлениях с
повышения
высокой доходностью
производительности
и относительно
низкой степенью
риска
7. Ликвидация:
•сокращение
постоянных
издержек и отказ
от инвестиций;
•подготовка и
выбор момента для
продажи бизнеса
по максимальной
цене
8. Укрепление
позиции,
ориентированное
на доходы:
• защита позиций в
наиболее доходных
видах деятельности;
• совершенствование
производства;
• сокращение
инвестиций
9. Позиция
«производителя
прибыли»:
• концентрация
краткосрочных
инвестиций;
• поддержка
эффективности
производства
Средняя
Сильная
Конкурентная позиция бизнеса
Рис. 2.36. М а т р и ц а «Дженерал Электрик»
(привлекательность рынка — конкурентные позиции — стратегии)
306
Главным конечным результатом применения модели «Дже­
нерал Электрик»/«Мак-Кинси» является стратегическое пози­
ционирование конкретных видов деятельности, входящих в
бизнес-портфель, а также их ранжирование по критерию буду­
щей прибыли в заданной стратегической перспективе.
23.5. Матрица
создания/приобретения/объединения
3. Защищенная
позиция лидера:
• избирательные
инвестиции по
критерию
эффективности;
•укрепление
уязвимых мест
ф
Матрица создания/приобретения/объединения помогает ру­
ководству организации определить наилучший способ осущест­
вления отдельных видов деятельности.
На горизонтальной оси оцениваются размеры относитель­
ных способностей организации, которые необходимы для кон­
кретного вида деятельности, на вертикальной — стратегическая
важность для организации отдельного вида деятельности в час­
ти ее конкурентного успеха (рис. 2.37).
а.
Инвестирование
Создание
Высокая
Союз
Средняя
Союз
Союз
Создание
Низкая
Приобретение
Приобретение
Приобретение
Низкая
Средняя
Высокая
и создание
Способность в сравнении с самой лучшей
способностью в отрасли
Рис. 2.37. М а т р и ц а создания/приобретения/объединения
Нехватка ресурсов представляет собой сдерживающий фак­
тор развития всех организаций, вследствие чего направлять ре­
сурсы на стратегически незначительные виды деятельности не­
рационально.
Поэтому, если деятельность не имеет для организации стра­
тегического значения, ее следует передать тем участникам рын­
ка, которые это делают более эффективно.
Но если деятельность организации попадает в область стра­
тегически важных целей и организация осуществляет эту де307

154.

Щ
Ч А С Т Ь 11. Стратегический м е н е д ж м е н т : магистратура
М о д у л ь 7. Схемы р а з р а б о т к и
стратеги
ятельность достаточно хорошо, этот вид деятельности следует
выполнять внутри организации.
Если в стратегическом отношении деятельность очень важ­
на, но организация выполняет ее всего лишь удовлетворитель­
но, следует инвестировать капитал в повышение качества рабо­
ты, касающейся этой деятельности.
А если качество работы организации в стратегически важ­
ном виде деятельности, в лучшем случае, посредственное, мо­
жет потребоваться союз, чтобы дать организации возможность
получить необходимые навыки, которые улучшат качество ее
работы.
Практическая ценность матрицы зависит от того, насколько
точно удается измерить стратегическую важность и эффектив­
ность выполнения. Эффективность легче измерить, в то время
как определить стратегическую важность труднее.
Что касается вопроса стратегической важности, ключом для
оценки может стать то, насколько важна эта деятельность для
получения конкурентного преимущества.
ТЕМА 24
Методы корректировки стратегии
24.1. Анализ внешней среды при корректировке
стратегии
Шаттт
ттшш
I
ШФШКШтт
Рассмотрим, каким образом можно учесть изменения внеш­
ней среды при корректировке стратегии.
Для начала определим структуру окружения организации,
поделив ее на ближнее и дальнее окружение (рис. 2.38). Ближ­
нее окружение специфично для каждой организации, посколь­
ку включает поставщиков, потребителей и конкурентов. Даль­
нее окружение может быть представлено шестью сегментами:
• социальный сегмент включает демографию, стили жизни и
социальные ценности;
• экономическая среда — это обобщенный набор экономи­
ческих условий и проявление экономической активности биз­
неса, которая отражается в уровнях и типах промышленного
выпуска, потребления, дохода и сбережений, инвестиций и про­
изводительности;
308
Рис. 2 . 3 8 . В н е ш н я я с р е д а и инструменты выявления и з м е н е н и и
• политический сегмент включает избирательные проце
а также административные, регулирующие и правовые инсти
ты, принимающие и реализующие законы, нормативные акт
правила в обществе;
• технологический сегмент относится к уровню и направ
ности технологического прогресса или совершенствования;
• экологический сегмент охватывает физические и естест
ные ресурсы, находящиеся в пределах региона: землю, м
воздух, воду, флору и фауну;
• институциональный сегмент связан как с физической
и с интеллектуальной инфраструктурой, а также с институт
входящими в них. Физическая инфраструктура включает тра
портные элементы (автомобильные дороги, железнодорож
пути и водные системы) и коммуникации (почта, телефо
другие системы связи). Интеллектуальная инфраструктура о
тывает научные учреждения, университеты и другие орган
ции этого рода.
Ключевые компоненты перечисленных сегментов макро
ружения сведены в табл. 2.12.
3

155.

ф
М о д у л ь 7. Схемы разработки стратегии
Ч А С Т Ь I I . Стратегический м е н е д ж м е н т : магистратура
1
Таблица
2.12
Продолжение табл. 2.12
Ключевые элементы сегментов макросреды
Элемент
Содержание элемента макросреды
Элемент
Неформальная
система
Включает в себя избирательный процесс; институты
власти: исполнительную, законодательную и правовую
ветви; агентства, занимающиеся регулированием ры­
ночных отношений со стороны государства
Стили жизни
Состав семьи. Композиция, тип, динамика изменений
и размер семьи.
Работа. Работают люди или нет, на каких типах ра­
бот, где работают, ожидания в отношении работы,
насколько долго они работают.
Образование. Тип и уровень образования.
Потребление. Какие люди покупают и потребляют
(или не покупают и не потребляют) ту или иную про­
дукцию.
Отдых. Как люди проводят свое свободное или нера­
бочее время
Общественные
ценности
Политические ценности. Как граждане голосуют; как
они относятся к основным политическим и социаль­
ным проблемам: поддержка военных действий, аборты
или сохранение окружающей среды и т.п.
Социальные ценности. Они отражаются в отношениях
к работе, отдыху, участию в деятельности отдельных
организаций, в готовности принять мнения и поведе­
ние представителей других групп, в готовности терпи­
мо относиться к каким-то социальным привычкам
(например, к курению).
Технологические ценности. Отражаются в готовности
принять новые технологии, сделать выбор между из­
держками на технологии и предоставляемыми ими
выгодами.
Экономические ценности. Отражаются в стремлении
добиться экономического роста и в компромиссах
между экономическим прогрессом и социальными из­
держками на него
Относится к структурам, не входящим в состав власт­
ных органов, проявляющих политическую активность.
Сюда включаются группы местных сообществ и ме­
дийные средства
2. Экономика
Структурные пе­
ремены
Изменения цик­
лического харак­
тера
Сюда входят изменения как в секторах экономики,
так и за их пределами, например затухание активнос­
ти в одних отраслях и ее нарастание в других, и из­
менения зависимостей между основными экономичес­
кими переменными: относительные уровни импорта и
экспорта в процентных долях от валового националь­
ного продукта.
Сюда входят подъемы и спады общего уровня эконо­
мической активности, например изменения ВНП,
процентных ставок, инфляции, потребительских цен,
числа строящихся домов и промышленных инвести­
ций
3. Социум
Демографические
характеристики
1
ЗЮ
Размер популяции. Число людей, проживающих в кон­
кретной географической зоне.
Возрастная структура. Число людей, входящих в раз­
ные возрастные группы, например от 0 до 10 лет или
от 11 до 20 лет.
Географическое распределение. Темп роста численности
населения в пределах отдельных географических реги­
онов и их изменение.
Этнический набор. Состав этнических групп, их раз­
мер и темпы роста числа людей, входящих в эти
группы.
Составлено по: [28, С. 299—301].
Содержание элемента макросреды
Уровни дохода. Величина дохода и темпы его роста в
разных географических группах или группах, различа­
ющихся по стилю жизни, а также в типах семей, в
возрастных группах или среди людей, проживающих в
разных географических регионах
1. Политика
Формальная сис­
тема
ф
4. Технология
Исследования
Фундаментальные или базовые исследования, в ходе
которых отыскиваются принципы и зависимости, ле­
жащие в основе знаний; часто этот процесс называют
изобретательством
Разработки
Преобразование знаний в некоторую прототипную
форму, что также называют инновациями
311

156.

ф
Ч А С Т Ь I I . Стратегический м е н е д ж м е н т : магистратура
М о д у л ь 7. Схемы разработки стратегии
Окончание табл. 2.12
Элемент
Операции
Содержание элемента макросреды
Изложение знаний для их использования в форме,
которой могут воспользоваться другие люди; это
иногда называют распространением, или диффузией
5. Экология
Физическая об­
ласть
Земля, воздух, вода и море
Естественная об­
ласть
Флора и фауна.
В процессе сканирования организация должна найти ответы
на вопросы, представленные в табл. 2.13.
Таблица
Транспортная: автомобильные дороги, железнодорож­
ные и водные пути.
Коммуникации
Почта, телефон и другие системы
Рассмотренные сегменты взаимосвязаны, что проявляется в
ходе сканирования, мониторинга, прогнозирования и оценива­
ния изменений на уровне дальнего окружения организации
(рис. 2.39).
Оценивание текущих и будущих изменений внешней среды
рассматривается с позиции стратегий и их последствий для ор­
ганизации. Сканирование внешней среды выполняют для выяв­
ления имеющихся и возникающих изменений. Мониторинг от­
дельных трендов окружающей среды и образцов изменения
проводят в целях определения характера их эволюции. Проек­
тирование содержит определение будущего направления изме­
нений во внешней среде.
Чтобы выявить индикаторы (сигналы) текущих и потенци­
альных изменений (проблем) в шести рассматриваемых сферах
и получить информацию о будущих конфликтах или возмож­
ностях, организации должны сканировать эти сферы. В итоге
появляется возможность заблаговременного рассмотрения аль­
тернативных вариантов действий по адаптации к возможным
переменам.
Индикаторы, полученные на этапе сканирования, затем ис­
пользуют в мониторинге и прогнозировании, что обеспечивает
возможность проследить эволюцию перемен и изучать их по­
следствия.
312
2.13
1
Задачи, решаемые в ходе сканирования и мониторинга
Содержание вопросов
Проблемная область
1. Какие сегменты
макросреды особо
значимы?
Какие сегменты наиболее важны?
Какие области внутри каждого сегмента наибо­
лее важны?
2. Каковы текущие и
возникающие тренды?
Что представляет собой каждый тренд?
3. Каковы текущие и
появляющиеся образцы?
Каковы конкретные образцы?
6. Институты
Физическая инф­
раструктура
ф
Каковы возникающие тренды?
Что тренды вносят в каждый образец?
Какие образцы скорее всего появятся в бли­
жайшем будущем?
4. Каковы индикаторы
указанных трендов и
образцов?
Какой индикатор относится к конкретному
тренду?
5. Какова эволюция
указанных трендов и
образцов в историчес­
ком плане?
Как часто каждый индикатор изменяется со
временем?
6. Какова степень изме­
нения рассмотренных
образцов?
Являются ли изменения рассмотренных образ­
цов небольшими или крупными?
Свидетельствует ли о каком-то конкретном
тренде больше одного индикатора?
Каков временной период изменений?
Насколько отличаются ожидаемые изменения
от текущего состояния или прошлых результа­
тов?
Мониторинг включает в себя отслеживание конкретного из­
менения дальней внешней среды во времени в части наблюде­
ния как за эволюцией трендов, так и за последовательностью
событий и динамикой различных видов деятельности субъектов
бизнеса. Задача мониторинга состоит в том, чтобы получить
достаточно данных, позволяющих выявить появление типовых
1
Построено по: [28, С. 305].
313

157.

ф
Ч А С Т Ь 11. Стратегический м е н е д ж м е н т : магистратура
видов поведения (образцов), которые как правило, состоят из
нескольких новых трендов. Например, новый стиль жизни мо­
жет включать изменения в развлечениях, образовании, потреб­
лении, привычках, связанных с работой и предпочтениями мест
проживания.
Как отмечают специалисты в этой области, в ходе монито­
ринга аналитики должны уточняют отношение организации,
формируемое на основе интуитивных суждений, по поводу сла­
бых сигналов, наблюдаемых во время сканирования. Такие
суждения необходимо отслеживать для того, чтобы получать
подтверждение или опровержение в отношении слабых сигна­
1
лов .
На этом этапе поиск информации становится более сфоку­
сированным, а тренды аккумулируются в виде образцов, и су­
щество перемен можно понять глубже и всестороннее.
Проектирование. Цель проектирования проявляется в разра­
ботке планируемых параметров масштаба, направления, скоро­
2
сти и интенсивности изменений , происходящих во внешней
среде. Чтобы принять верное стратегическое решение, органи­
зация должна развивать у себя способность креативного про­
гнозирования перемен во внешней среде, отталкиваясь от кар­
тины происходящего в ней. В отношении прогнозирования
можно выделить несколько типичных примеров явлений фо­
кусного характера, представленных в табл. 2.14.
Выделяют два вида проектирования.
1. Проектирование на базе простых показателей проектиро­
вания, в основе которых лежат очевидные тренды (отражающие
данные за какой-либо период времени) и, как можно ожидать,
1
М.:
Составлено по: Курс МВА по стратегическому менеджменту.
Альгшна Паблишер, 2003. — С. 306.
2
Масштаб показывает сущность явлений, учитываемых в ходе проек­
тирования: является ли такое явление узко определенным трендом, таким
как эволюция конкретных характеристик функционирования отдельной
технологии, или широким образцом, таким как появление крупной техно­
логии ключевого характера.
Направление отражает вектор конкретного тренда или образца. Напри­
мер, процентные ставки могут повышаться или понижаться; привержен­
цами определенного стиля жизни может быть больше или меньше людей.
Скорость описывает, насколько быстро либо медленно изменяется
тренд или образец, который надо спрогнозировать.
Степень проявления (интенсивность) описывает силу факторов, вызы­
вающих появление тренда или создание образца.
314
в целом
мер, чи
спрогно
• Каки
или тре
• Каки
властны
отноше
• Каки
повлияю
• Поте
вующие
консюм
• Каки
• Возра
• Каки
в течени
• Как д
группе)
• Каки
которым
от 40 до
• Как и
• Как и
• Как и
• Каки
ное врем
• Как и
• Возмо
• Будет
снизить
• Будут
сокраще
прекрат
1
Сос

158.

ф
М о д у л ь 7. Схемы разработки стратегии ф
Ч А С Т Ь I I . Стратегический менеджмент: магистратура
Окончание табл. 2.14
4. Технология
• Когда и как возможны ближайшие прорывы в основных исследованиях, в
результате которых появятся новые коммерческие продукты?
• Какие связи и между какими технологиями произойдут до наступления
конкретного технологического события или прорыва (например, создания
телевидения с высокой четкостью изображения)?
• Какими могут быть некоторые новые приложения имеющихся в настоя­
щее время технологий?
5. Экология
• В каких странах загрязнение окружающей среды продолжит усиливаться?
• Какие события, возможно, приведут к «экологической катастрофе»; как и
почему эти события могут произойти?
6. Институты
• Какие узкие места могут быть у различных элементов (автомобильная до­
рога, железная дорога, море) общей транспортной системы?
• Какие изменения могут произойти в телефонной отрасли в течение следу­
ющих пяти лет?
• Какие могли бы появится новые роли для университетов в течение следу­
ющего десятилетия?
2. Проектирование на базе разработки альтернативных вари­
антов развития будущего. В их основе нестандартная интерпре­
тация текущих трендов или новые представления в отношении
О б р а т н а я связь
Мониторинг
Оценивание
Сканирование
Стратегические
изменения
организации
Проектирование
Рис. 2 . 3 9 . Цикл процедур анализа изменений внешней среды
3

событий, которые могут иметь место или могут быть вызваны
как самой организацией, так и другими участниками рынка.
Оценивание заключается в определении того, как и почему
имеющиеся и ожидаемые изменения внешней среды влияют
на стратегическое управление организацией. В ходе оценива­
ния осуществляется переход от понимания внешней среды по
результатам сканирования, мониторинга и прогнозирования,
к уточнению того, что это понимание значит для организа­
ции.
Рассмотренные процедуры анализа дальнего окружения
осуществляются параллельно-последовательно, а связи между
ними обеспечивают передачу информации, необходимой для
разработки и модификации стратегии (см. рис. 2.39).
После оценивания изменений внешней среды наступает
время вносить коррективы в действующую стратегию, выраба­
тывать новые варианты стратегий или их модификации. Но с
началом реализации принятых стратегических решений можно
опять обратиться к сканированию для отслеживания тех пере­
мен, которые произошли во внешней среде.
24.2. Использование сценариев
в разработке стратегии
Чтобы оценить выборы стратегических вариантов развития,
организации готовят сценарии, позволяющие имитировать по­
ведения бизнеса в условиях различных вариантов развития бу­
дущего. Сюда следует отнести тренды, образцы, события, ос­
новные допущения и динамику, обеспечивающую переход от
текущего состояния внешней среды к будущему. При этом ре­
шают следующие задачи:
• установление связей между разными аспектами макро­
среды;
• тестирование имеющихся альтернативных стратегий на
работоспособность при различных условиях;
• оценивания рисков и последствий изменений макро­
среды;
• моделирование процессов во внешней среде.
Существует несколько приемов разработки сценариев, в ос­
нове которых лежат шаги, отраженные на рис. 2.40.
317

159.

ф
Ч А С Т Ь I I . Стратегический м е н е д ж м е н т : магистратура
М о д у л ь 7. Схемы разработки стратегии
ф
24.3. Матрицы влияния на ситуацию
Описание исходного состояния макросооружения
и организации
1. Установление
контекста,
в котором
принимается
стратегическое
решение
Поскольку в качестве контекста анализа стратегических решений,
которые должна сделать организация, служат сценарии,
необходимо убедиться, как такие решения будут реализовываться
в разных возможных условиях.
Идентификация источника изменения в рамках каждого сегмента
макросреды, способного повлиять на будущее конкретного бизнеса.
Получение ответа на вопрос: какие изменения происходят или могут
произойти в каждом сегменте макросреды, где организация
соперничает или хочет соперничать?
2. Выявление
отдельных сил,
действующих
в
макросреде
3.
Идентификация
ключевых сил
макросреды
и
их анализ
4.
Формулирование
вопросов
фундаментального
характера
(типа «что, если»)
Выявить значимые образцы, определить, какие из них могут оказать
самое сильное влияние на организацию. Рассмотреть вопросы:
в какой степени отдельные силы усиливают друг друга, мешают друг
другу или действуют друг от друга независимо? В каком виде
проявляются каждое усиление, противодействие или независимость?
Например: что, если социальные, политические и экологические
силы объединятся и в результате этого замедлится готовность
общества принять биоинженерные продукты? Размышление над
подобными вопросами приводит к выбору конкретных сценариев,
заслуживающих углубленной разработки.
Сюжет, описывающий: каким образом будет разворачиваться
5. Создание сюжета
сценарий; как мы могли бы перейти из сегодняшнего мира к миру,
сценария и задание
предусматриваемому в каждом сценарии.
его логики
б.
Определение
конечных
состояний
7. Оценка
последствий
для
стратегических
решений
Результатом каждого сценария становится описание
соответствующего состояния мира в конце анализируемого
периода — конечное состояние.
Выявить потенциальные возможности, которые могут служить в
качестве фокуса новых стратегических альтернатив; идентифици­
ровать угрозы имеющимся или планируемым стратегиям; испытать
стратегии в рамках всего набора сценариев; создать общий язык
управленческой команды.
Сценарий стратегического развития организаций
Рис. 2.40. Процедуры разработки сценария
318
Рассматриваемые изменения внешней среды могут соз­
давать как возможности, так и противоречивые ситуации.
Чтобы найти решение, устраняющее возникшие противоре­
чия, целесообразно воспользоваться вопросами, приведенны­
ми в табл. 2.15.
Для удобства рассмотрения указанных ситуаций целесооб­
разно парное сравнение вести, разместив ситуации в симмет­
ричной матрице, в строках и столбцах которой размещены
рассматриваемые события, проранжированные по степени их
важности для стратегического развития организации и по веро­
ятности их наступления (табл. 2.16).
Для каждого из трех периодов планирования — кратко-,
средне- и долгосрочного — можно подготовить отдельную мат­
рицу.
Таблица
2.15
Оценка результатов анализа внешней среды
1. Каким образом каждое изменение (или ситуация) влияет на отрасль,
в которой действует организация?
Общие ожидания, доминирующие в отрасли.
Появление новых продуктов.
Продажи существующих продуктов.
Выход на рынок новых конкурентов и уход с рынка действующих.
Появление новых поставщиков.
Появление на рынке продуктов-субститутов и закрепление ими своих по­
зиций.
2. Каким образом каждое из изменений (или ситуаций) влияет
на окружающую среду, проявляющуюся на уровне задачи?
Спрос со стороны существующих потребителей.
Изменения в стратегиях действующих конкурентов.
Изменения в стратегиях поставщиков.
3. Какими могут быть последствия от каждого изменения (или ситуации)
для текущих стратегий организации?
Изменения в выпускаемой продукции.
Изменения в текущих целевых сегментах рынка.
Изменения в том, как компания ведет конкуренцию.
Изменения в текущих целях компании.
319

160.

ф ЧАСТЬ 11. Стратегический менеджмент: магистратура
Окончание табл. 2.15
Каким образом каждое изменение влияет на выбор будущей
стратегии организации и ее реализацию?
Потенциальные новые продукты.
Потенциальные новые потребители.
Потенциальные новые способы ведения конкурентной борьбы.
Изменения в критериях выбора стратегии.
Необходимость в новой организационной структуре.
Необходимость в новых операционных процессах.
>5О
X
ш
JE

О.
ОI
&
О
>
2 Ф
i s
8
аs
£
IV
Таблица 2.16
а
а
о
Матрица взаимного влияния
Вероятность событий и
время их наступления
."/fear
Событие
1
Событие
2
Событие
3
Событие
4
Событие 1
Событие 2
Событие 3
Событие 4
4
4
К достоинствам матричного изображения можно отнести
наглядность в представлении сочетания противоречий в виде
отдельных пар событий. Сочетание самых значимых и самых
вероятных событий, происходящих во внешней среде, позволя­
ет приступить к разработке наиболее значимых действий орга­
низации в ответ на изменения внешней среды.
Матрица влияния облегчает обсуждение и формирование
стратегического плана бизнеса.
. ' A
24.4. Связь анализа макросреды
д
тов с
раци
циал
как
р
пере
межд
орга
в
оцен
как
емле
заци
Н
изме
ренц
С
бизн
О
след
Штат
11 Стр

161.

ф Ч А С Т Ь 11. Стратегический м е н е д ж м е н т : магистратура
i
i
I и
5 X
X
01
зО
Определение вида
бизнеса
• Потребители
• Запросы потребителей
• Технологии удовлетворения
запросов потребителей
Допущения
• Оценка изменений внешней
среды
• Оценка чувствительности
стратегии к изменениям
• Оценка важности изменений
Общая стратегическая
направленность
• Корпоративное видение
• Корпоративная миссия
• Стратегические цели
организации
Рис. 2.42. Связь результатов анализа внешней среды и стратегии
риваемый вид бизнеса? Какие потребительские запросы он
удовлетворяет? Какие технологии используются для удовлетво­
рения этих потребительских запросов?
Поскольку любая стратегия бизнес-единицы связана с на­
мерением завоевать будущий рынок, в ее основе всегда лежат
допущения как в отношении существующей внешней среды,
так и в отношении ее будущего состояния.
И И
Всегда, когда речь заходит о стратегии бизнес-единиц, не­
обходимо помнить, что такая стратегия не должна идти вразрез
с корпоративной стратегией и реагировать на ее корректировку,
выполняемую время от времени в процессе ее реализации: не­
обходимо укладываться в рамки корпоративной философии
развития бизнеса.
Анализ макроокружения организации предоставляет важ­
ные исходные составляющие для ответов на несколько вопро­
сов, связанных с ее глобальной стратегией. В первую очередь
это относится к выбору рынков, на которые целесообразно вы­
ходить, к способу этого выхода, и к месту проведения опера­
ций.
Таким образом, понимая суть происходящих перемен во
внешней среде, организация с большей вероятностью может
заниматься эффективной адаптацией ранее выработанной стра­
тегии, ее модификацией.
322
Контрольные вопр
Тема
21
1. Что лежит в основе
2. Какими должны быт
ке стратегии?
3. В какой последоват
ботке стратегии?
4. Что делать, если в
разногласия между
5. Существуют ли унив
6. Как от эталонных стр
тегии?
7. Чем помогает знан
SWOT-анализа?
8. Как использовать р
содержания стратег
9. В чем заключается
са»?
ю. Справедливо ли утв
целей?
Тема 2 2
1. О чем свидетельству
изводства»?
2. Назовите 5 компон
3. Как связаны между
4. Опишите движение
5. Назовите компонен
6. Какова структура ф
7. Опишите структуру м
8. Какие стратегическ
Каплана?
9. Назовите элементы
ю. В чем состоят базо

162.

Ф Ч А С Т Ь 11. Стратегический м е н е д ж м е н т : магистратура
Тема
гз
1. Как иначе называется нормативная полоса в модели «возмож­
ность—уязвимость»?
2. О чем свидетельствуют позиции в матрице «рост—рост»?
3. Какова зависимость рентабельности организации от относитель­
ной доли рынка?
4. Как строится матрица «Дженерал Электрик»/«Мак-Кинси»?
5. Как определить стратегическую линию поведения по матрице
БКГ?
6. Как обозначается относительная доля рынка?
МОДУЛЬ 8
ПРИНЯТИЕ
СТРАТЕГИЧЕСКИХ
УПРАВЛЕНЧЕСКИХ РЕШЕНИЙ
7. Как определить положение организации на матрице «Дженерал
Электрик»/«Мак-Кинси»?
8. Какова размерность
Кинси»?
матрицы
«Дженерал
Электрик»/«Мак-
9. В чем заключается уязвимость позиции организации, находящей­
ся за пределами нормативной полосы?
ю. Если организация растет медленнее, чем растет рынок, то чем
это ей грозит?
Тема 2 4
1. Назовите шесть сегментов дальнего окружения организации.
2. Перечислите инструменты выявления изменения внешней среды.
3. Приведите примеры перемен в экономике, которые следует учи­
тывать в модификации стратегии.
4. Каково содержание элементов сегмента «социум»?
5. Что представляет собой процедура оценивания в процессе ана­
лиза внешней среды?
6. Зачем необходимо сканирование внешней среды?
7. В чем суть мониторинга трендов характеристик внешней среды?
8. Можно ли утверждать, что проектирование подготавливает стра­
тегические изменения?
9. Как используются сценарии в стратегическом управлении?
ю. Каковы процедуры разработки сценария?
ТЕМА 2 5
Стратегические управленческие решения
25.1. Специфика стратегических управленческих
решений в сравнении с оперативными
Стратегические управленческие решения (СУР) принима­
ются в случае разрешения стратегических проблем, признаком
которых является отклонение контрольных параметров систе­
мы от запланированных вследствие изменений внешней среды.
Такие проблемы не снимаются оперативными и тактическими
решениями и требуют диагностики организации, анализа фак­
торов внутренней и внешней среды и разработку стратегии.
Степень ответственности по перечисленным уровням, как и
последствия решений (влияние на конечный результат) обрат­
но пропорциональны уровню их принятия. Чем выше уровень
принятия управленческого решения (УР), тем меньше их при­
нимают, но при этом больше и масштаб изменений, и время,
затрачиваемое на его разработку, а также ответственность ру­
ководителя.
Сравнение стратегических и оперативных УР как процесса
по восьми параметрам представлено в табл. 2.17. Разработка
СУР чаще всего происходит в новой уникальной проблемной
ситуации, не допускающей строгой формализации, поэтому
если для решения оперативных проблем могут приниматься ал325

163.

ф
М о д у л ь 8. Принятие стратегических управленческих р е ш е
Ч А С Т Ь I I . Стратегический м е н е д ж м е н т : магистратура
горитмические и шаблонные решения, то для решения страте­
гических проблем чаще необходимы оригинальные решения.
Кроме того, такие задачи либо не структурированы (содержат
лишь качественное описание элементов проблемы, а количест­
венные зависимости между альтернативами, факторами среды
и последствиями решений не определены), либо незначительно
структурированы (содержат как количественные, так и преоб­
ладающие качественные зависимости между элементами про­
блемной ситуации).
Типичная неструктурированная задача — разработка страте­
гии. Как оценивать возможный эффект от той или иной модели
поведения? Допустим, определены проблемы, цели, критерии,
список альтернатив. Как их оценивать? Кто может предсказать,
какова будет эффективность конкретной стратегии? С той или
иной достоверностью, опять-таки с точностью, определяемой
разбросом суждений, это могут сделать только эксперты.
Таблица 2.17
Сравнение процессов разработки стратегического
и оперативного управленческих решений
•Hi
Процесс разработки
стратегического УР
Информа­
ция на входе
Проблемная ситуация,
эталонные альтернативы
решения
Проблемная ситуация, состоя­
ние среды и организации, эта­
лонные стратегии
Информа­
ция на вы­
ходе
Решение как модель ак­
туальных изменений
Решение как модель достиже­
ния долгосрочных целей (стра­
тегия)
Функция
системы
Анализ проблемной ситу­
ации и синтез модели ак­
туальных изменений
Анализ внешней среды и син­
тез модели достижения целей
Субъектный
состав
Все субъекты организа­
ции
Высшее и среднее звенья ме­
неджмента
Объектный
состав
Детерминанты оператив­
ного управления: видение,
миссия, стратегические
цели и подцели органи­
зации.
Внутренняя среда: пробле­
мы, ресурсы организации
и ограничения
Детерминанты стратегического
управления: внешняя среда,
цели субъектов целеполагания
3
'•••ш-шшИИШш
Процесс разработки
оперативного УР
Параметр
26
Окончание табл
Параметр
Процесс разработки
оперативного УР
Процесс разработки
стратегического УР
Анализ проблемной ситуа
определение стратегически
проблем, видения, миссии
лей => анализ внешней и
ренней среды => генериро
ние альтернатив => выбор
стратегии => разработка д
лизированной модели изм
ний и системы контрольн
показателей эффективнос
внесение изменений в си
(реализация решения)
Структура
системы
(последова­
тельность
этапов)
Анализ проблемной ситу­
ации => определение ог­
раничений и решающего
правила выбора => гене­
рирование альтернатив =>
выбор модели изменений
внесение изменений в
систему (реализация ре­
шения)
Общий инс­
трументарий
для двух
систем
Анализ (например, анализ проблемного поля), синтез
пример, модели структуры проблемного поля), дедукц
(например, вынесение прогноза, основанного на закон
мерностях развития систем) и индукция (выявление и
мулировка закономерностей развития организаций, в
же целях перенесения опыта в узком смысле и в широ
ком — в целях формирования знаний организации); м
ды моделирования.
Методы активизации творческого мышления.
Экспертные методы генерации и оценки альтернатив
Специаль­
ный инстру­
ментарий
• Методы формализации.
• Методы генерации аль­
тернатив:
J эвристические;
s анализ опыта организа­
ций;
•s формализация знаний
экспертов и построение
баз экспертных знаний.
• Методы оптимизации
решений:
v исследование операций;
J аналитический;
статистический;
<s матричный
• Методы диагностики и
самодиагностики организ
• Методы консультирова
организаций и работы с
консультантами по управл
организационным развити
• Методы целеполагания
• Методы тестирования,
тренинга и проведения
имитационных игр.
• Методы командообразо
• Специальные методы а
(внешней и внутренней с
проблем; целей субъектов
взаимосвязей в подсистем
организации).
• Специальные методы с
(состояния системы, ее
подсистем и надсистемы;
проблемного поля; страте
кой системы целей; детал
рованной модели актуаль
изменений; системы конт
ных показателей)

164.

Ф Ч А С Т Ь 11. Стратегический менеджмент: магистратура
Стратегические решения могут быть как интуитивными
(принимаются ЛПР на основе ощущения того, что они пра­
вильные, вследствие работы подсознательного процесса оценки
альтернатив по доминирующим критериям, которые соответ­
ствуют личным предпочтениям), так и логическими (решения,
принимаемые на основе знаний, опыта и логических суждений,
здравого смысла). Идеальные в отношении эффективности уп­
равления решения могут быть рациональными.
Например, Антонио Менегетти (основоположник науки
«Онтопсихология») считает, что никакие научные методы не
могут помочь предпринимателю принять правильное решение,
что предприниматель сам, основываясь на контексте проблем­
ной ситуации должен «увидеть решение» как результат непо­
средственного усмотрения. Разумеется, сущность человека как
личности должна при этом обладать определенными характе­
ристиками: креативность, наблюдательность, глубинное пони­
мание законов бытия и ассоциации собственного успеха — как
самоактуализацию, через обеспечение благ сообществу. «Эф­
фективная интуиция — это способность видеть изнутри, выяв­
ляющая связующие нити
1 между всеми факторами, ведущими к
достижению результата» . Но для того чтобы «видеть» в смыс­
ле чувствовать, а чувствовать в смысле понимать сущность ка­
кого-либо явления, процесса, события, объекта и т.п. так ре­
ально, как это есть на самом деле, т.е. настолько объективно,
чтобы в сознании могла актуализироваться модель требуемых
изменений, требуется колоссальный опыт жизнедеятельности.
Рассмотрим процесс разработки стратегического управлен­
ческого решения на примере стратегического регионального
планирования.
Далее описаны этапы разработки стратегического плана
развития региона, логически и процедурно взаимосвязанные с
этапами разработки УР.
ж
М о д у л ь 8. Принятие стратегических управленческих решений
Таблица 2.18
Взаимосвязь этапов разработки управленческого решения
и стратегического плана развития
Этап
разработки УР
Этап разработки
стратегии
Результат этапа/форма
представления
1. Актуализация
проблемы
1. Актуализация потреб­
ности в разработке стра­
тегии
Решение высшего ме­
неджмента о разработке
стратегического плана
развития
2. Сбор информа­
ции и построение
модели проблем­
ной ситуации
2.1. Определение и дета­
лизация целей организа­
ции и системы показате­
лей развития
Философия развития (ви­
дение, миссия, цели).
Детализированная модель
системы целей и система
показателей развития
2.2. Определение текуще­
го состояния организа­
ции
Сильные стороны (стерж­
невые компетенции) и сла­
1
бые стороны (проблемы)
2.3. Определение состоя­
ния внешней среды орга­
низации
Возможности, угрозы,
тенденции развития
внешней среды
2.4. Определение критери­
ев оценки и ограничений
Система критериев и ог­
раничений
3.1. Формирование кол­
лекции эталонных аль­
тернатив
Множество эталонных
стратегий и альтернатив
решения первоочередных
оперативных проблем
3.2. Разработка ориги­
нальных альтернатив
Множество оригинальных
стратегий и альтернатив
решения первоочередных
оперативных проблем
4. Выбор стратегии раз­
вития и первоочередных
мероприятий по реше­
нию главных оператив­
ных проблем
Концепция стратегии
развития (в том числе
философию развития)
как сочетание видения,
миссии и целей) и пере­
чень первоочередных ме­
роприятий по решению
главных оперативных
проблем
3. Этап формиро­
вания множества
моделей измене­
ний
4. Фильтрация и
выбор
25.2. Этапы разработки стратегических
управленческих решений
Этапы разработки УР в региональном стратегическом уп­
равлении непосредственно связаны с этапами разработки стра­
тегии (табл. 2.18).
1
Менегетти А Онтопсихология, политика, экономика / Пер. с итал. —
У.В. Ковалева, Славянская ассоциация Онтопсихологии. — СПб.: 1999. —
С. 11.
328
IHIl

ф
1
Деление параметров организации на сильные и слабые стороны, а ус­
ловий внешней среды — на возможности и угрозы условно, и такое деление
может создавать определенные барьеры при разработке альтернатив.
329

165.

М о д у л ь 8. Принятие стратегических управленческих р е ш е н и й
Ф Ч А С Т Ь 11. Стратегический менеджмент: магистратура
Окончание табл. 2.18
Этап
разработки УР
Этап разработки
стратегии
Результат этапа/форма
представления
5. Корректировка
модели измене­
ний и разработка
системы показа­
телей
5.1. Формирование стра­
тегического плана разви­
тия (в том числе коррек­
тировка политик, про­
грамм, проектов и ме­
роприятий по их
реализации, а также фи­
лософии развития)
5.2. Корректировка и де­
тализация системы пока­
зателей развития
Стратегический план раз­
вития, включающий:
• концепцию стратеги­
ческого развития;
• первоочередные
мероприятия;
• политики программы и
проекты, детализирован­
ные до мероприятий по
их реализации;
• систему показателей
развития (стратегические
карты)
Зададимся вопросом: можно ли победить обстоятельство
ограниченности ресурсов в относительно замкнутой системе
посредством сотрудничества, т.е. направляя ресурсы на орга­
низацию развития, основанного на взаимодействии с конку­
рентами?
1
Согласно второму закону термодинамики энтропия в абсо­
лютно замкнутой системе может только возрастать, в то же время
отрицательная энтропия в открытой системе возможна только за
счет передачи положительной энтропии во внешнюю среду.
Другими словами, организованность (как свойство системы
содержать в себе некий порядок или, иначе, быть данной сис­
темой) может обеспечиваться только энергией и веществом из­
вне системы.
Только при соблюдении указанного условия развитие может
происходить бесконечно долго, вплоть до тех пор, пока не бу­
дет систематизирована масса Вселенной, такая, что в оставшей­
ся массе Вселенной энтропия не будет критической, способной
разрушить оставшуюся вне системы часть вселенной.
1
Второй закон термодинамики — один из основных ее законов, утверж­
дающий неизбежность возрастания энтропии в изолированных (замкну­
тых) системах. Согласно этому закону любая замкнутая система стремится
к термодинамическому равновесию, т.е. в ней происходит перераспределе­
ние тепла от более нагретых тел к менее нагретым, обратный же процесс
невозможен (http://www.humanities.edu.ru/db/msg/45234).
330
ф
Таким образом, ответ на поставленный здесь вопрос звучит
так: до тех пор, пока солнечной энергии будет достаточно для
того, чтобы образовывать в системе «Земля» отрицательную эн­
тропию, система может развиваться до некоторого критичес­
кого предела, используя все формы разумного эффективного
взаимодействия между элементами, а это означает, что обстоя­
тельство ограниченности ресурсов вполне преодолимо и, более
того, сотрудничество между конкурентами может привести к
образованию уникальных сочетаний свойств ранее конкуриро­
вавших организаций и к направлению высвободившихся ресур­
сов, ранее направляемых на конкурентную борьбу, в конструк­
тивное русло преодоления их ограниченности.
25.3. Конфигуратор стратегий
Для построения конфигуратора стратегий необходимо опре­
делить сущность категории «стратегия» как множества атрибу­
тов, однозначно ее характеризующих. Для этого вначале опре­
делим множество сущностей «стратегии».
Стратегия как явление зародилась еще во времена доледни­
кового периода, в то время, когда различные племена выраба­
тывали ловкие приемы охоты, позволявшие им охотиться более
эффективно, с меньшими затратами сил и с большими шанса­
ми на успех.
Таким образом, стратегия как явление представляет собой
историю интеллектуально управляемого способа поведения
системы, позволяющего достигнуть цели с определенными за­
тратами ресурсов.
С этой позиции можно утверждать, что своим стратегиям
следуют все формы живых существ, обладающих интеллектом,
или, иначе, способностью противопоставления и выбора.
Необходимо также отметить, что в данную сущность впи­
сывается и реализуемая в конкретной системе стратегия в тот
момент, когда она уже становится прошлым.
Стратегия как процесс представляет собой интеллектуально
управляемое поведение системы в настоящий момент, обеспе­
чивающее ей достижение целей. В этом аспекте сущность ка­
тегории «стратегия» определяется параметрами (но не является
их эквивалентом) основных функций менеджмента: планирова331

166.

М о д у л ь 8. Принятие стратегических управленческих решений
ф Ч А С Т Ь I I . Стратегический менеджмент: магистратура
ние, организация, мотивация, контроль, и представляет собой
точку на векторе, иллюстрирующем движение системы к цели,
т.е. нельзя сказать, что стратегический план на завтра, на год,
равно как и уже свершившиеся в организации перемены, — это
«живые» процессы. Эти процессы представляют собой исто­
рию, т.е. сущность стратегии как явления. Будущие процессы
(запланированные), могут и не свершиться вовсе, т.е. это мо­
дель поведения, следование которой, по всей видимости, поз­
волит достичь цели.
Стратегия как модель достижения целей представляет собой
абстракцию, систему моделей будущих процессов, связанных
между собой различными отношениями, и в первую очередь
отношением подчиненности целям системы. Качество такой
модели зависит от того, в какой степени будет учтен обобщен­
ный опыт стратегического поведения систем при ее разработке,
а качество реализации — от адекватности модели навыкам уп­
равляющих и соответствующим ресурсам (или обратно, от со­
ответствия навыков управляющих и ресурсов разработанным
моделям).
Разработка стратегии как модели достижения целей осно­
вывается на исследовании стратегии как явления. Основопо­
лагающим и необходимым свойством такой модели следует
считать ее переносимость на реальные условия проблемной
ситуации.
В табл. 2.19 приведены атрибуты, характеризующие сущ­
ность категории «стратегия».
Таблица
2.19
Детализация сущности «стратегия»
до атрибутов по трем аспектам
1. Стратегия
как явление
2. Стратегия
как процесс
3. Стратегия как модель
достижения целей
1.1. Ключевые компе­
тенции реализованных
стратегий (На чем
было основано дости­
жение преимущества?)
2.1. Планируемость из­
менений (Могут ли
быть изменения в сис­
теме запланированны­
ми или их появле­
ние — стечение уни­
кальных обстоятельств,
воссоздать которые не­
возможно искусствен­
но?)
3.1. Требуемая степень
определенности про­
блемной ситуации
(стратегия может быть
реализована в любом
случае и это позволит
достичь поставленных
целей или потребуется
детальное выявление
параметров проблем­
ной ситуации?)
332
ф
Окончание табл. 2.19
1. Стратегия
как явление
2. Стратегия
как процесс
3. Стратегия как модель
достижения целей
1.2. Абсолютный эф­
фект (результат/зат­
раты)
2.2. Организуемость
изменений и виды их
реализации (Могут ли
изменения быть внесе­
ны в систему? Какими
методами?)
3.2. Себестоимость
(Какова стоимость раз­
работки модели требу­
емых изменений?)
1.3. Масштаб привне­
сенных в систему из­
менений (В какой сте­
пени пришлось изме­
нить систему, чтобы
стратегия начала «ра­
ботать»?)
2.3. Мотивационные
механизмы (Какие ме­
тоды мотивации могут
быть применены для
ускорения процессов
изменения в системе?)
3.3. Универсальность
(Можно ли использо­
вать разработанную
модель применительно
к другим системам или
она основана на уни­
кальных особенностях
конкретной системы?)
1.4. Управляемость
стратегии (Можно ли
было, изменяя коли­
чественные параметры
ключевых факторов
успеха, управлять по­
ведением системы?)
2.4. Контролируемость
(Можно ли контроли­
ровать системные про­
цессы? По каким па­
раметрам? Можно ли
управлять изменения­
ми в системе и на ка­
кие параметры при
этом необходимо воз­
действовать?)
3.4. Временной аспект
(Каков период реали­
зации изменений и их
характер, например,
цикличный или еди­
ничный?)
Для анализа множества возможных стратегий и их типиза­
ции еще по одному признаку построим шкалу стратегий по
эффективности взаимодействия со средой в целях развития
системы.
Для этого необходимо ввести следующие понятия (рис. 2.43):
1
идеальная стратегия — модель поведения, обеспечивающая
развитие как системы, так и ее окружения и не входящая в
противоречия с ним;
рациональная стратегия — модель поведения, обеспечиваю­
щая развитие системы, как условие ее существования или
смерть системы, если это обеспечивает поступательное разви­
тие окружения;
1
Согласно второму закону термодинамики одновременное развитие
окружения и системы невозможно, поэтому идеальная стратегия является
синтетической категорией (аналогично абсолютно черному телу).
333

167.

М о д у л ь 8. Принятие стратегических управленческих р е ш е н и
Ф Ч А С Т Ь I I . Стратегический м е н е д ж м е н т : магистратура
Предельная эффективность
(граница рациональности)
Область иррациональных
стратегий
Максимальная
эффективность
Область рациональных
стратегий
Рис. 2.43. Шкала эффективности стратегий
иррациональная стратегия — модель поведения системы не
обеспечивающая ее развитие и развитие окружения (так, на­
пример, стратегия свертывания системы является рациональ­
ной, если ведет к тому, что система, перестав существовать,
передает оставшуюся отрицательную энтропию окружению, ко­
торое при этом будет развиваться более рационально, чем если
бы развивалась система);
граница рациональности — точка на шкале рациональности
стратегии, обозначающая рациональную стратегию, каждая точ­
ка вправо от которой обозначает иррациональную стратегию.
Таким образом, получена шкала эффективности стратегий с
двумя пределами эффективности:
1) граница рациональности, при стремлении к которой стра­
тегия вначале приближается к стабильному функционированию,
а затем переходит в область иррациональных стратегий;
2) предел максимальной эффективности, соответствующий
идеальной стратегии.
25.4. Управленческие решения
в стратегическом менеджменте
US
Стратегическое управленческое решение — это детализиро­
ванная модель актуальных изменений, представляющая собой
систему УР, связанных иерархически структурой управления
системой и функционально целями ее развития.
Проект может быть рассмотрен как система будущих меро­
приятий, направленная на достижение цели, т.е. это стратеги­
ческое управленческое решение. В связи с указанным необхо­
димо сформулировать следующие три важных тезиса.
334
1. Стратегическая ориентация (ориентация на перспекти
предполагает целевое взаимодействие со средой, что являе
не столько отдельным качеством, сколько необходимым ус
вием успешности проекта.
2. Помимо указанного, необходимо ввести в контекст нек
опыт стратегического поведения, эталонные (по Портеру, ге
рические) стратегии.
3. Принятие решения предполагает выбор, а значит, сис
му критериев оценки.
Три последних тезиса приводят к пониманию состава п
блемной ситуации — в процессе разработки СУР участв
следующие компоненты, подвергаемые анализу:
• философия развития (видение, миссия и цели);
• компоненты внутренней и внешней среды (резуль
SWOT-анализа);
• опыт стратегического управления, сформулированны
виде эталонных (генерических) стратегий;
• критерии оценки (показатели эффективности альте
тив).
Перечисленные категории могут быть получены с испо
зованием методов стратегического анализа [30], а сама стр
гия (в значении системы мероприятий) — в результате мор
логического анализа всех указанных элементов проблем
1
ситуации . Матрица морфологического анализа при этом б
выглядеть так, как это показано на рис. 2.44 (см. также опи
ние элементов анализа в табл. 2.20).
Элементы морфологического анализа расположены по п
вой строке и первому столбцу матрицы симметрично, что п
воляет анализировать сочетания элементов анализа попарн
Сущность метода морфологического анализа заключает
расчленении проблемной ситуации на элементы, их парном
поставлении и анализе сочетаний элементов, направленном
выявление синергии, основанных на уникальных отношен
между элементами анализа.
Например, сопоставление факторов внешней среды и в
ренней среды приводит нас к образованию матрицы реше
нацеленных на взаимодействие системы с внешней средой
1
См.: Лапыгин Д.Ю. Матрица планирования стратегического разв
социально-экономических систем // Консультант директора. № 20
2005. - С. 2 - 8 .
3

168.

1.Элементы
философии
развития
В I M J Ц
1.Сегмент
разработки,
философии
~ -e-
развитая
Си
Си
Сл
Вз
4. Элементы
стратегических
карт
3. Эталонные страте­
гии
2. Результаты SWOT-анализа
Уг
Ф
5. Сегмент разработки альтернатив стратегичес­
ких решений направленных на достижение ви­
дения, реализацию миссии, достижение целей,
с использованием сильных сторон системы и
возможностей внешней среды, направленных
на избавление от слабых сторон и предотвра­
щение угроз внешней среды
Ж
И
Ц1/П1 | Ц2/П2 ЦЗ/ПЗ
Ц4/П4
б. Анализ примени­
мости эталонных
стратегий для дости­
жения видения и це­
лей, а также реализа­
ции миссии
8. Проверка на соответствие разрабо­
танной детализированной системы це­
лей элементам философии
7. Оценка целесооб­
разности выбора той
или иной эталонной
стратегии, основан­
ной на анализе внут­
ренней и внешней
среды
9. Альтернативы тактических решений,
направленных на реализацию стратегии
(политик, программ, проектов), основан­
ные на использовании факторов внут­
ренней и внешней среды
Агиеримм.«ы (Юрии*-;.
ми» Проблем
,Ь«е> средой
Сл
(N
ЯШ
Вз
литийисиофммв
Уг
i. Анализ :омепнии
|0. Альтернативы использования эталон­
ных стратегий для реализации тактик
стратегий
Ц1/П1
V
у h-
су
I- га
•между *
Ц2/П2
1
"
ЦЗ/ПЗ
Ц4/П4
Рис. 2 . 4 4 . Матрица планирования стратегического развития социально-экономических систем
Обозначение
Описание
Сильные стороны
Видение системы
Слабые стороны
2
Миссия системы
О
я
Региональные цели
Q
Возможности
Угрозы
се
О
Цель/Показатель
или группа показателей
2
(BSC)
юзначение
Ш/П1
Цель/Показатель
е
Стратегия фокусирс
ния
Ц2/П2
То же
Стратегия диффере!щиации
ЦЗ/ПЗ
То же
Стратегия лидерства
по издержкам
Ц4/П4
S
О
ш
в
1
I
ft
'"

169.

ф
М о д у л ь 8. Принятие стратегических управленческих решений
ЧАСТЬ II. Стратегический менеджмент: магистратура
25.5. Определение элементов
философии развития
Если представить систему стратегических целей в виде
структурированной цепочки, то на высшем уровне иерархии
будет располагаться видение, а на самом низшем — система
показателей, описывающая видение в количественных катего­
риях (рис. 2.45 и 2.46).
В процессе реализации проектов формируются социальноэкономические системы, в которых могут быть выделены во­
семь аспектов их развития:
1) кадровый;
2) финансовый;
3) технологический;
4) инновационный;
5) организационный;
6) маркетинговый;
7) аспект качества;
8) информационный.
При этом разные проекты (в зависимости от целей их соз­
дания) могут быть в разной степени сбалансированы по разви­
тию указанных аспектов. Так, например, в социальных проек­
тах в меньшей степени выражен маркетинговый аспект, однако
он обязательно должен присутствовать, поскольку необходи­
мость создания и реализации социальной функции обусловлена
потребностью в ней.
Кадровый аспект — это характеристика личного состава
участников проекта, уровня их квалификации.
Финансовый аспект — это оценка финансовых ресурсов, не­
обходимых для реализации проекта, эффекта, который будет
получен в результате его реализации; распределение и перерас­
пределение финансов, их использование.
Технологический аспект — параметры процессов и обеспечи­
вающей их материальной базы, связанных с преобразованием
веществ, энергии, информации в процессах реализации проек­
та и функционировании системы, обработки и переработки ма­
териалов, сборки готовых изделий. При этом технология пони­
мается в широком смысле (например, технология оказания
услуги или реализации социальной функции).
Инновационный аспект — содержание новаций в области
техники, технологии, организации труда и управления, осно338
Субъективные
представления
состоянии,
предназначение
Видение и миссия
об
объективном
проекта
Объективное
состояние
на
некоторый
момент
будущего,
отражающее
субъективное
представление
Цели
Система
показателей,
объективное состояние
будущего
Система показателей
описывающая
на некоторый
момент
Рис. 2.45. Связи между видением, миссией,
целями проекта и системой показателей
Элементы философии р а з в и т и я
Видение
Миссия
Цели
Т.Вяйми* — это образ
4. Соответствует ли
разработанная миссия
Видению? Не
противоречит ли
Видение Миссии?
6. Соответствуют ли
запланированные
состояния
аспектов системы
образу идеального
состояния?
идеального
с о е д и н и л системы,
мечггэ]сМъекти вное
предстпоение
идеала, воплощенное
в системе
1+2. Какие функции
(соответствующие
Видению) для себя и
для среды будет
выполнять
система!
1*3. Какие
ключевые
аспекты
системы
необходимо
развивать,
каково
должно быть их
состояние,
чтобы
соответствовать
Видению?
Примечание,
i.

это
ной
и и
направления^мэитм
а к т
НЗ. Что должно
быть сделано, чтобы
выполнялась
Миссия
системы,
состояния
каких
аспектов
системы
необходимо
изменить?
6. Соответствуют ли
выполнение Миссии
системой достижению
ее целей? Обеспечит
ли достижение целей
выполнение Миссии?
Ш
шш
направление определения элементов философии
и их проверки на взаимное соответствие;
курсивом выделены функции перехода от элемента к элементу;
особым шрифтом выделены отношения соответствия между
элементами.
Рис. 2.46. Определения элементов философии реализации проекта
и проверки их взаимного соответствия
339
ф

170.

ф Ч А С Т Ь I I . Стратегический м е н е д ж м е н т : магистратура
ванных на использовании достижений науки и передового
опыта, уровень новаций, их периодичность и т.п.
Маркетинговый аспект — описание широкого спектра де­
ятельности в области исследования рынка, динамики его раз­
вития, прогнозирования развития, планирования развития
рынка, осуществляемого в целях, с одной стороны, разработки
проекта, выпуска товаров, оказания услуги, реализации функ­
ции наилучшим образом и с другой — получения прибыли и
увеличении доли рынка.
Организационный аспект (в смысле свойства системы сохра­
нять некоторый порядок, целостность структуры и выполнять
требуемые функции) как координация действий при реализа­
ции проекта и функционировании отдельных элементов, на­
правленная на обеспечение требуемой функциональности под­
систем проектируемой системы в целом.
Аспект качества охватывает все уже перечисленные аспек­
ты, определяя их параметры качества, уровня выпускаемой
продукции или оказываемой услуги (в широком смысле выпол­
няемой функции), уровень применяемых технологий и их со­
ответствие определенным стандартам.
Информационный аспект также охватывает все сферы реа­
лизации проекта и функционирования проектируемой систе­
мы, обеспечивая ее требуемыми информационными компо­
нентами.
Все перечисленные аспекты взаимосвязаны и определяют в
какой-то мере взаимное развитие, т.е. нельзя, например, выде­
лить аспект качества как доминирующий, поскольку он связан
с финансами организации и аспектом маркетинга. Более того,
каждый из перечисленных аспектов должен развиваться в рам­
ках определенных правил, задаваемых соответствующими по­
литиками: политикой качества, финансовой политикой, кадро­
вой политикой и т.д., которые являются неотъемлемой частью
стратегии и определяют систему правил принятия решений в
отношении каждого из перечисленных аспектов.
Таким образом, формируя видение, необходимо руковод­
ствоваться субъективными представлениями о состоянии всех
перечисленных аспектов. Иными словами, необходимо сфор­
мировать образы каждого из аспектов, общее представление
которых даст общее видение проекта.
340
М о д у л ь 8. Принятие стратегических управленческих р е ш е н и й
ф
ТЕМА 2 6
Анализ стратегических решений
26.1. Анализ сегмента
SWOT-матрицы решений
Сегмент SWOT (табл. 2.21) представляет собой расширение
1
матрицы SWOT [8, с. 64] и матрицы решений .
Главная диагональ сегмента SWOT (выделенные сегменты
матрицы, см. табл. 2.21) представляет собой анализ синергии.
сочетаний однородных элементов. Так, например, использова­
ние двух сильных сторон может быть более эффективно при
решении проблем организации.
1. Анализ синергии сочетаний сильных сторон предполагает
ответы на такие вопросы: какие сильные стороны усиливают
другие сильные стороны, какие их сочетания могут быть ис­
пользованы для достижения целей системы?
Например, наличие сильного лидера и специалистов в ка­
кой-либо области позволяет рассматривать это сочетание как
возможность создания проектной группы или постояннодействующей команды.
2. Анализ синергии сочетаний слабых сторон необходим для
выявления взаимосвязей между слабыми сторонами организа­
ции, способных образовывать отрицательные синергии. В пер­
вую очередь такой анализ необходим для того, чтобы понять,
образования каких связей необходимо избегать.
3. Использование возможностей внешней среды в опреде­
ленных сочетаниях может дать больший эффект, нежели их
использование в отдельности.
4. Анализ синергии сочетаний угроз имеет те же задачи, что
и анализ синергии сочетаний слабых сторон, но с ориентацией
на факторы внешней среды. Например, если два конкурента
объединят свои усилия в борьбе с рассматриваемой организа­
цией, то это будет представлять собой большую угрозу, чем в
том случае, если они будут бороться каждый отдельно.
1
См.: Лапыгин Ю.Н. Основы управленческого консультирования.
Академический проект, 2006. — С. 85.
М.:
341

171.

ф Ч А С Т Ь 11. Стратегический менеджмент: магистратура
М о д у л ь 8. Принятие стратегических управленческих р е ш е н и й
Сегменты матрицы (см. табл. 2.21) с 5 по 10 представляют
собой анализ сочетаний разнородных элементов SWOT-матрицы,
направленный на разработку альтернатив разрешения обострен­
ных противоречий системы и на избежание угроз среды с ис­
пользованием сильных сторон системы и возможностей среды.
Особый интерес в отношении диагностики системы пред­
ставляет собой сегмент 5 матрицы (детализация указанного сег­
мента представлена в табл. 2.22), позволяющий определить,
возможно ли разрешение существующих проблем только с ис­
пользованием факторов внутренней среды?
Таблица 2.21
Таблица 2.22
Матрица анализа сильных и слабых сторон
Матрица ресурсы-проблемы
Результаты SWOT-анализа
Сильные
стороны
Силь­
ные
ШШШШш
ШЕДШИМгмИ^^т
Результаты SWOT-анализа
***
Сла­
бые
Воз­
мож­
ности
Угро­
зы
Слабые
стороны
5. Как орга­
низация мо­
жет изба­
виться от
своих слабых
сторон с ис­
пользованием
сильных?
ф
Возможности
Угрозы
6. Как мож­
но задейство­
вать сильные
стороны ор­
ганизация,
чтобы ис­
пользовать
возможности
среды?
7. Как мож­
но задейст­
вовать силь­
ные стороны
организация,
чтобы ней­
трализовать,
свести к ми­
нимуму уг­
розы среды?
8. Как мож­
но использо­
вать возмож­
ности среды
для решения
проблем ор­
ганизации?
9. Как ис­
пользовать
обостривши­
еся в органи­
зации проти­
воречия для
нейтрализа­
ции угроз?
10. Каким
образом
можно
(опосредо­
ванно) воз­
действовать
на среду так,
чтобы «зам­
кнуть» воз­
можности
среды на ее
угрозы?
Ресурсы в порядке
уменьшения их
стратегической
значимости
Проблемы в порядке убывания их значимости
Проблема /
Проблема 2
...Проблема N
Ресурс 1
В какой степени
Ресурс / приго­
ден для решения
Проблемы 1,
в каком объеме
он будет израс­
ходован?
То же (Ресурс 1,
Проблема 2)
То же (Ресурс
Проблема 3)
Ресурс 2
То же (Ресурс 2,
Проблема I)
То же (Ресурс 2,
Проблема 2)
То же (Ресурс 2,
Проблема 3)
То же (ресурс N,
проблема I)
То же (Ресурс N,
Проблема 2)
То же (Ресурс N,
Проблема N)
Ресурс N
Следует сделать ряд замечаний, касающихся матрицы ре­
сурсы-проблемы.
Разработка и реализация стратегического плана развития
системы не снимает автоматически существующих на данный
момент оперативных проблем. Она лишь гарантирует ее разви­
тие; это означает, что с большей вероятностью существующие
на данный момент проблемы в некоторый момент будущего не
будут представлять сложности в решении.
Системе придется «вести войну на два фронта»: одновре­
менно развиваться стратегически и решать оперативные про­
блемы.
Предложенная матрица позволяет выделить приоритеты ре­
шения проблем, соизмеряя их с требуемыми ресурсами в их
количественном и качественном выражении. При этом под ре­
сурсами (Ресурс 1 — Ресурс N) понимаются не только матери­
альные, людские и иные виды ресурсов организации, но и
стержневые компетенции, т.е. сильные стороны системы.
343

172.

ф
М о д у л ь 8. Принятие стратегических управленческих р е ш е н и й
Ч А С Т Ь I I . Стратегический м е н е д ж м е н т : магистратура
26.2. Матрица анализа
сочетаний синергии
я
х
1
Подобно тому, как подвергают анализу сочетания элемен­
тов SWOT-матрицы, таким же образом могут быть подвергнуты
анализу уже сочетания синергии, что позволит использовать
уникальные синергические отношения между однородными
сущностями еще более эффективно. Матрица анализа сочета­
ний синергии с образованием синергии второго уровня пред­
ставлена в табл. 2.23.
Рассмотрим такой сегмент анализа как сочетание эталон­
ных стратегий. Эталон есть некое мерило, образец для сравне­
ния. Говоря об эталонных стратегиях, следует понимать, что
имеется в виду в данном случае под эталоном, т.е. говорить,
что (по некоторым признакам соответствия проблемных ситу­
аций) какая-либо ранее успешно реализованная стратегия вряд
ли может быть реализована успешно в аналогичных условиях.
Однако некоторое обобщение опыта в части типологии моде­
лей поведения, например по признаку множества стержневых
компетенций, на которой базируется каждая реализованная
стратегия, вполне возможно.
Если рассматривать стратегию как модель достижения
цели, то необходимо учитывать, что ускорение развития чело­
вечества приходится на тот период, когда люди научились ис­
пользовать огонь (несколько миллионов лет назад). Уже тогда
существовали некоторые эталонные модели поведения, кото­
рые «наследовались» от поколения к поколению и представ­
ляли собой передаваемое знание. Даже при том, что масштаб
деятельности человека в те времена был мал относительно те­
перешнего, главные признаки стратегии все же присутство­
вали:
• целенаправленность деятельности;
• ориентация деятельности на победу над конкурентами.
Другими словами, цели состоят в том, чтобы не только до­
стичь требуемых результатов, но и сделать это лучше конкурен­
тов.
Когда мы говорим «эталон», то сразу возникает вопрос о
принадлежности этого эталона к группе схожих, что порожда­
ется потребностью в систематизации эталонов по какому-либо
признаку в целях осуществления в дальнейшем целенаправлен344
Я
л 5
3 с
ч £.
1Яя&=
f о «S 5 ° о
' Р 8 §"S 1
о
со
О
(Я s
я3
_
3
В
О J>
H Я сч,
«
т
S
I
9
Sg
£ *
Я р Я 4>
Я S?
чо о
II
=
в £S.
о
м 5

О
О
* Р =
о
2
ее в
О
х
9
*-5Я
1
S * S с.
1 г g i§ I"
2
ч я
<"> я
X я
Йя
0
Ч
я
ч
в
я о я
ЮПИ
Я ев а л ч
4 ч я
ООО
О Я
И
fr­5
ee U
у
S
s
5
*g §
О. о о.
о

XXX
я о я
о О. о
я
•Ij"
••в
< о й
ишаэниэ вгшгенв ruexwCeaj
345
ф

173.

М о д у л ь 8. Принятие стратегических управленческих решений
Ф Ч А С Т Ь I I . Стратегический менеджмент: магистратура
ного выбора нужного эталона из их множества. Так мы пере­
ходим к проблеме типологизации стратегий. Типология строит­
ся по признаку или группе признаков, т.е. множества стратегий,
отнесенные к разным типам по какому-либо признаку, не пе­
ресекаются, в то время как множества стратегий, отнесенные к
разным типам по разным признакам, могут пересекаться в не­
которой части.
Стоит отметить, что с позиции осуществления выбора нас
интересуют именно пересечения множеств типовых стратегий.
Типизация любой стратегии (отнесение ее к какому-либо
типу) может быть осуществлена по любому из перечисленных
в табл. 2.23 признаков.
Чаще всего можно встретиться с типологией по признаку 1
(см. табл. 2.23). Это означает, что целесообразней для дальней­
шего использования определить, на каких уникальных свойс­
твах системы, ее окружения или свойствах сочетаний указан­
ных свойств было основано ее развитие.
Выявление типовых стержневых компетенций успешных в
прошлом стратегий позволяет использовать опыт их реализа­
ции применительно к новой проблемной ситуации.
Разработка новой стратегии системы или корректировка су­
ществующей стратегии необходима в случае критического от­
клонения параметров системы от заданных вследствие обостре­
ния противоречий во взаимодействии системы с внешней
средой. Изложенное позволяет утверждать, что в такой ситуа­
ции требуются изменения, т.е. необходимо что-то изменить
так, чтобы деструктивный характер обостренных противоречий
изменился на конструктивный.
26.3. Анализ показателей стратегического
развития системы
Система показателей развития — это комплексная количест­
венная модель, характеризующая состояние системы и позво­
ляющая судить об относительном уровне ее развития. Поэтому
такая модель должна быть построена на основе общих показа­
телей, используемых для характеристики развития аналогичных
систем. Такая система показателей должна представлять собой
346
ф
1
конфигуратор состояния системы по выделенным аспектам
видения, что позволит судить о степени достижения стратеги­
ческих целей и, соответственно, целевой эффективности.
Наличие связей между показателями развития системы и
возможность определения стратегической значимости каждого
показателя свидетельствует о сбалансированности такой систе­
мы, а это, в свою очередь, позволяет говорить о применимости
2
концепции стратегических карт в процессе моделирования
системы показателей стратегического развития.
В соответствии с уже приведенным в п. 25.5 перечнем ас­
пектов развития системы могут быть разработаны восемь стра­
тегических карт:
1) кадры;
2) финансы;
3) технологии;
4) инновации;
5) организация;
6) маркетинг;
7) качество;
8) информация.
Исключительно важно, чтобы при разработке показателей и
их детализации до требуемого уровня учитывались показатели
не только функционирования системы, но и ее взаимодействия
с внешней средой. При этом каждый объект среды вообще и
надсистемы в частности необходимо рассматривать именно с
позиции указанных восьми аспектов.
Не менее важно определить корреляционные зависимости
между показателями, что позволит малыми приращениями до­
стигать большего эффекта. Так, например, может существовать
корреляция между уровнем удовлетворенности выполняемой
работой и производительностью труда, количеством и стоимос­
тью инноваций и финансовыми результатами. Анализ подоб­
ных связей необходим для того, чтобы понять, работает ли
стратегия и насколько эффективно, а также выявить точки
1
См.: Перегудов Ф.И., Тарасенко Ф.П. Введение в системный анализ.
О стратегических картах и сбалансированной системе показателей см.:
[21]; Оценка эффективности деятельности компании. Практическое руко­
водство по использованию сбалансированной системы показателей: Пер. с
англ. - М.: Изд. дом "Вильяме", 2003. - 304 с.
2
347

174.

М о д у л ь 8. Принятие стратегических управленческих р е ш е н и й
Щ Ч А С Т Ь I I . Стратегический м е н е д ж м е н т : магистратура
приложения усилий, направленных на большее развитие мень­
шими приращениями во вложениях.
Разработанная система показателей может служить «мери­
лом» при определении эффективности альтернатив и приня­
тии решений о составе стратегии как системы политик, про­
грамм, проектов и мероприятий, т.е. использоваться как
система критериев оценки альтернатив различного уровня ие­
рархии.
ТЕМА 2 7
*
в
яг
S
s
ь э е* s
Яю
"8 Р Qя> О
к со
I
О.
и,
м
а ё
о
8.1
Я
й 3я
о я
ю "
сп Я
S со
L з- С я СО
й я
СО Рн
£5
я о
х
S
g o
f- К и н s
н я
а н о, g и
я
" ° Й и
о. В
&
в
§
Ч
о.
и 3
я
я
Я и
^
Я
и
я"
в
Ьч
g § ~
3 € я
3 g s
w
5
О
п в 2
! * л
i §8
tea я
|
U „ л Я >•? f t ||
О *
г> о> ~ о
я ч1з
g а £ g ё ё.ая
3 §11 52
Я О О. „
Я о н л g » S
с
а
Я а я 11 3о. аи н- о
я
р « g s
Р О. Я о
о
,
я
3
• - н • Б S
Я я
Р Й
s
Я СД
ЁЗ
3 я
ю
н
2 Яs
к
Я л л X
s o S g f- s
3 & 2 S
чь
д С Е " п и и ^
Я ня*^*•а.5j>т
О. ч
3о о
8§§
н
2
8 Я *>
I
с
Я.
Я „ и £с
со Я
;/ О S о •о В
н ч
3 ц
я я
| £ 1
со
S
«
27.1. Разработка альтернатив
стратегического решения
348
я
и
& |
о о
о я
СО К
Альтернативы стратегических
решений
Как уже отмечено ранее, анализ сочетаний факторов внеш­
ней и внутренней среды в большей степени ориентирован на
разработку альтернатив ведомого развития системы, когда в
матрице решений разрабатывается некий функционал, направ­
ленный на организацию «нового» взаимодействия со средой,
т.е. вначале, анализируя внешнюю и внутреннюю среду, их рас­
сматривают вне существующих связей и затем формируют ме­
роприятия, направленные на создание новых (целевых) связей,
которые будут определять функциональность системы, наце­
ленную на выполнение ею своей миссии.
Однако такой подход если и учитывает тенденции разви­
тия окружения, все же не лишен существенного недостатка:
он не предполагает «полет мысли» и креативное изменение,
направленное как на изменение самой системы, так и на из­
менение ее окружения (формирование рынка нового товара
или услуги, совершенствование механизма общественного ус­
тройства и т.п.). Ситуация может быть исправлена введением
в контекст анализа элементов философии развития, что обес­
печит процесс требуемой направленностью. При этом матрица
может приобретать размерность трехмерную и более, когда
философия становится дополнительным измерением, а число
остальных измерений определяется числом остальных элемен-
2 §
§ г
if
_
ива
Я
1
о н
о
в
еЭЗЯ i s
Я Й Я
§1а
&S § Я ^ 5
S
I § Я° Э S
л
в
ч
t о. я
J
§ g 1 1 1
Я Ч о Ч 5
tl> я
X
н н
* 5 Ж
О о> ж о s
с ч
о.
о w *
н S «
Б ч ч
KKLHacBd ивфоэошяф нхнэнэ1т£
349

175.

u
о
о
а
Е
03
S
А
2 o
Й
2
0
S
Ы

С
3
о
•о
о
со
м

W
к
о
s 2
Я «
си

to сч
о гз
0 к

3
ы
ш
ш
»
о
-в-
X
S
о-
о
*
q
о
Ш
S
X
ю о
со
1 IS
(О>о
ОО 03
>
(-1
О
2 *
8
S
о
Си
S
о
•а
о о
К и
о a
н
сь
«
S
о
»
о
о
н
ев
q
•о
ГС
S
В
и
£
ее s
е-
о
с
3
о
я
и
о
S
о
Я
Го
О
со
Таблица 2.25
Реализация философии с использованием эталонных (генерических) стратегий
Эталонные стратегии
Лидерства
по издержкам
Фокусирования
Дифференциации
Видение (субъ­
ективные пред­
ставления об
успехе)
Можно ли воплотить «Виде­
ние» в реальность, сосредото­
чив усилия на выполнении
наиболее привлекательной
для системы функции или не­
которого их множества? Ка­
кие это функции?
Может ли система выпол­
нять обширный ряд функций
и тем самым воплотить Ви­
дение в реальность? Какие
именно функции будут вы­
полняться? Каков их диапа­
зон?
Можно ли, оптимизировав
выполнение функций системы
и тем самым снизив издержки
функционирования, воплотить
Видение в реальность? В чем
будет заключаться стгимизация? Что еще не
«изировано и представ
*i ре­
сурс развита?'
Миссия (амби­
циозное заяв­
ление о наме­
рениях)
Будет ли выполняться миссия
системы, если сосредоточить
усилия на выполнении неко­
торого ограниченного мно­
жества функций (одной фун­
Можно ли реализовать мис­
сию системы, выполняя ряд
функций в широком диапа­
зоне?
Позволит
функци'
ВЫП07
о
q

176.

о

I s
sX =3
-"u
Q о
ms
S{
* Ф
£
I
3z
0[
о

-
о
Таблица
2.26
Оценка целесообразности выбора эталонных стратегий и применимости факторов среды для их реализации
Результаты SWOT-аяализа
Эталонные стратегии
Фокусирования
Дифференциации
Лидерства по издержкам
Сильные
стороны
Какие сильные стороны орга­
низации могут быть использо­
ваны для реализации стратегии
фокусирования и каким обра­
зом? Какие мероприятия необ­
ходимо организовать для этого?
Может ли система выполнять
обширный ряд функций (вы­
пускать широкий ассортимент
продукции, оказывать множес­
тво услуг) и каким образом?
Какие сильные стороны могут
быть для этого использованы?
Если организация планирует
лидировать по издержкам, то
какие сильные стороны могут
для этого использоваться?
Слабые
стороны
От каких слабых сторон необ­
ходимо избавиться и как, что­
бы реализация стратегии фоку­
сирования оказалась возмож­
ной?
Какие проблемы могут поме­
шать организации дифферен­
цировать выпускаемый продукт
или оказываемую услугу? Что
необходимо делать для умень­
шения их влияния?
Могут ли возникнуть осложне­
ния при реализации стратегии
лидерства по издержкам и по­
чему? Что необходимо пред­
принять для снижения влияния
проблем?
Возмож­
ности
Можно ли использовать выяв­
ленные возможности внешней
среды для того, чтобы реализо­
вать стратегию фокусирования?
Позволяет ли среда следовать
выбранной стратегии?
Какие возможности среды мо­
гут быть использованы для реа­
лизации стратегии дифферен­
цирования и каким образом?
Какие возможности среды
можно использовать для опти­
мизации процессов переработ­
ки ресурсов? Как это может
быть реализовано?
Угрозы
Существуют ли угрозы следова­
ния стратегии фокусирования?
Как их избежать?
Какие угрозы среды могут по­
мешать реализации намеченной
стратегии, как этого избежать?
Какие угрозы среды могут по­
мешать реализации стратегии
лидерства по издержкам? Ка­
кие тенденции говорят о неце­
лесообразности выбора данной
стратегии?

177.

Ф
М о д у л ь 8. Принятие стратегических управ
Ч А С Т Ь I I . С т р а т е г и ч е с к и й м е н е д ж м е н т : магистратура
• определить зависимости между элементами стратегичес­
ких карт, что позволит использовать показатели карт в качестве
критериев эффективности альтернатив;
• сама априорная ориентированность всех разрабатываемых
альтернатив на проблемы организации, ее внешнюю среду и
философию позволяет говорить о системности данного под­
хода.
5. Что представляет собой матрица анализа сочета
6. Что следует отнести к синергии второго уровня?
7. В каких случаях необходима корректировка ран
тегических решений?
8. Что понимают под термином «конфигуратор» в т
д. Какие стратегические карты могут быть разрабо
принятия управленческих решений?
ю. Какая система может быть мерилом эффективн
Контрольные вопросы по модулю 8
Тема
Тема
1. Что следует отнести к альтернативам стратегиче
25
1. В чем заключена специфика стратегических управленческих ре­
шений?
2. Почему можно отнести разработку стратегии к неструктуриро­
ванным задачам?
3. Чем отличается процесс разработки стратегических и операци­
онных решений?
4. Назовите этапы разработки стратегических управленческих ре­
шений.
5. Что собой представляет стратегия как модель достижения целей?
6. Чем идеальная стратегия отличается от рациональной?
7. Что можно отнести к иррациональным стратегиям?
3. Что дает сочетание видения с результатами SW
4. Какие характеристики обеспечивает сочетание
тами SWOT-анализа?
5. Что дает пересечение результатов SWOT-анализа
ми целями?
6. Какое сочетание дает пересечение элементов
тия с эталонными стратегиями?
7. Что позволяет определить проекция выделенн
стратегий на факторы среды?
8. Что обеспечивает сочетание эталонных страт
SWOT-анализа?
9. Чем определяются альтернативы тактических р
9. Что представляет собой матрица морфологического анализа эле­
ментов проблемной ситуации?
ю. Могут ли морфологические матрицы помочь
мендации по использованию факторов сред
философии развития?
Тема
26
1. Что находится на главной диагонали сегментов SWOT?
2. Что представляет собой пересечение сильных и слабых сторон?
3. Что создает пересечение возможностей между собой?
4. Что позволяет получить построение матрицы ресурсы-проб­
лемы?
J
354
2. Что может привнести в матрицу решений, постр
татам SWOT-анализа, элемент креативности?
8. Что представляют собой стратегические управленческие реше­
ния?
10. Постройте матрицу элементов философии развития организа­
ции.
-.'.„•>\у-;
27

178.

М о д у л ь 9. М о д и ф и к а ц и я и р а з р а б о т к а стратегии на основе ключевых к о м п е т е н ц и й
МОДУЛЬ 9
МОДИФИКАЦИЯ
И РАЗРАБОТКА СТРАТЕГИИ
НА ОСНОВЕ КЛЮЧЕВЫХ
КОМПЕТЕНЦИЙ
ТЕМА 2 8
Решения о модификации
действующей стратегии
Решение о модификации действующей стратегии возникает
в результате переосмысления взаимодействия организации с
внешней средой. В такой трактовке в памяти всплывает кон­
цепция реинжиниринга бизнес-процессов (РБП), в рамках ко­
торой переосмысливается то, чем занимается организация, и
предлагается перестройка всех происходящих в ней процессов,
начиная с основных принципов, в целях существенного сниже­
ния издержек, улучшения качества продукции и сервиса, повы­
шения оперативности работы.
Однако в большей степени РБП предполагает концентра­
цию внимания только на выполнении общего процесса, в ре­
зультате которого покупатели получают ценность. И несмотря
на то, что РБП предполагает постановку важных для бизнеса
вопросов (Почему мы занимаемся именно этим? Как это спо­
собствует удовлетворению потребностей покупателей? Если
предпринять нечто или что-то изменить, может ли отпасть не­
обходимость в выполнении какой-то задачи или процесса? Как
356
ф
можно избежать специализации, чтобы один служащий делал
работу, которая сейчас выполняется несколькими сотрудника­
ми?), его направленность определяет перемены во внутренней
среде организации, позволяющие повысить операционную эф­
фективность. Изменение же действующей стратегии организа­
ции в первую очередь ориентировано на использование вновь
открывшихся возможностей.
28.1. Внутренний потенциал стратегичности
Одну организацию от другой отличает, как минимум, по­
тенциал, которым они обладают. Потенциал исходит из про­
шлого и накапливается. В этом плане прошлое бизнеса опре­
деляет его настоящее, поскольку в ходе своего развития
организация приобретает определенный «характер», который
Филипп Селзник[15] 50 лет тому назад назвал «отличительной
компетенцией». Причем эта субстанция не изнашивается в
процессе ее употребления, а только возрастает и крепнет. Ис­
тория и дух организации определяют ее способности решать
проблемы развития.
Отличительная компетенция — это потенциал, которым
располагает одна компания и не располагает никакая другая.
Этот потенциал либо уникален, либо более объемен, чем у кон­
курентов. Он включают исторические примеры, массу накоп­
ленных организацией знаний и опыта, набор умений и техно­
логий, внутренние взаимоотношения, общее настроение, способ
работы и многие другие компоненты. Традиционно к корпора­
тивным ресурсам относят не только историю, отношения и
корпоративную культуру, но и структуру отчетности, формаль­
ные системы управленческого контроля и принципы возна­
граждения работников.
Наряду с отмеченными компонентами, конечно же, потен­
циал составляют располагаемые финансовые и материальные
ресурсы, которые включают производственное оборудование,
здания, транспортные средства и т.д. Трудовые ресурсы вклю­
чают все аккумулированные навыки и умения, знания и опыт,
творческие и предпринимательские способности работников
организации, а также принятие рискованных решений.
357

179.

#
М о д у л ь 9. М о д и ф и к а ц и я и р а з р а б о т к а стратегии на основе ключевых к о м п е т е н ц и й
Ч А С Т Ь I I . Стратегический м е н е д ж м е н т : магистратура
Здесь целесообразно выделить четыре аспекта поиска ресур­
сов и компетенций бизнеса, которые графически представлены
на рис. 2.46.
Ценная значимость
Уникальность
АСПЕКТЫ
Организация
Имитации
Рис. 2 . 4 6 . Аспекты ресурсов и компетенций бизнеса
Аспект ценностной значимости проявляется в ответах на
следующие вопросы. Обеспечивает ли компетенция дополни­
тельную потребительскую ценность продукта? Чем именно?
Чем она отличается от способа создания потребительской цен­
ности, который используют конкуренты?
Суть аспекта уникальности состоит в том, что ресурсы и
компетенции имеют конкурентоспособную значимость только
тогда, когда они есть у организации и их нет у конкурентов.
Следующий аспект — возможности имитации компетенций
бизнеса. В силу того, что компетенция представляет собой ус­
тойчивое конкурентное преимущество, эту ее необходимо за­
щитить от возможности быть скопированной. Чаще всего такой
защитой становятся финансовые барьеры и патенты на ключе­
вые технические решения. И в этом случае организация довле­
ет над рынком благодаря лучшей подготовке своих специалис­
тов. Когда речь идет об уникальной корпоративной культуре
организации, то ее, как правило, повторить конкурентам не
удается в силу ее многофакторности и потребности в большом
временнбм ресурсе.
Что же касается последнего аспекта — организации — то,
как отмечают специалисты, чтобы полностью реализовать свой
потенциал, бизнес должен максимально мобилизоваться для
использования ключевых ресурсов и способностей.
Выявление ключевой компетенции — необходимое условие
эффективности разрабатываемой стратегии.
358
Ц
28.2. Выявление ключевых компетенций
Ключевые компетенции проще развивать и использовать,
чем создавать вновь. Более того, ключевую компетенцию не­
льзя создать из ничего. Ричард Кох предлагает сделать семь
шагов в поисках плацдарма для создания ключевых компетен­
ций [27, с. 72-73].
1. Составьте как можно более длинный список возможных
ключевых компетенций. Примите в расчет все способности, ре­
сурсы, материальные активы, коллективные знания, настрое­
ния, исследования, деловые связи, отношения и историческое
наследие компании.
2. Вычеркните все, что не может стать долгосрочным и ус­
тойчивым источником конкурентного преимущества.
3. Задайтесь вопросом: насколько ценна компетенция, есть
ли этому свидетельства? Должна быть такая группа клиентов,
для которых она представляет ценностную значимость и кото­
рые заплатят хорошие деньги за то, что она добавляет к конеч­
ному продукту. Если компетенция очевидно бесполезная, за­
черкните ее.
4. Спросите себя: насколько эта компетенция уникальна?
Если она не уникальна, то ей не место в этом списке.
5. Даже если компетенция ценная и уникальная, легко ли
ее скопировать? Если да, она не останется уникальной долго.
Если ее невозможно или трудно скопировать, не вычеркивайте
ее из списка.
6. Может ли компания максимально использовать конку­
рентные возможности этой компетенции? Если да — прекрас­
но! А если нет, не исключайте ее из списка, который и так
уже, наверное, заметно поредел. Просто начните развивать эту
компетенцию и с ее учетом реорганизовывать саму компа­
нию.
7. По оставшимся в списке пунктам проведите как можно
более широкое обсуждение для поиска ответа на вопрос: какая
из ключевых компетенций станет основой формирования буду­
щей конкурентоспособности вашей компании?
Схематически эти шаги представлены на рис. 2.47, из кото­
рого следует, что за последовательным сокращением списка
компетенций организации и определением базы или основы
ключевых компетенций (шаг 8) — основы конкурентоспо359

180.

ф
Ч А С Т Ь I I . Стратегический м е н е д ж м е н т : магистратура
М о д у л ь 9. М о д и ф и к а ц и я и разработка стратегии на основе ключевых компетенций
10
Стратегия
Стратегические
намерения
Основа
конкуренто­
способности
Рис. 2.47. Десять стратегических шагов
собности следует — определение стратегических намерений ор­
ганизации (шаг 9) и последний (10) шаг — построение стра­
тегии.
Формулировку ключевой компетенции следует перевести с
технического языка на эмоциональный, более понятный работ­
никам организации, как минимум, для того, чтобы они могли
давать ответы на следующие вопросы.
1. Можно ли сформулировать направление и цели своей
деятельности (миссия, видение, стратегию, стратегический за­
мысел) одним предложением? Как звучит ваш стратегический
девиз?
2. Ваш стратегический девиз был сформулирован исходя из
ценной, уникальной, устойчивой и реальной ключевой компе­
тенции?
3. Дает ли стратегический девиз ясное представление о цели
и смысле существования вашей компании?
4. Прошел ли ваш стратегический девиз тест на конкурент­
ное преимущество?
5. Существует ли четкий набор ценностей и стандартов по­
ведения, которые подкрепляют ваш стратегический девиз?
Стратегический девиз как таковой должен не только отли­
чаться от стратегий конкурентов и формулировать ценностное
предложение (но не для бизнеса, его сотрудников и учредите360
ф
лей, а для всего окружающего мира), но и основываться на
ключевых компетенциях компании и подчинять себе орга­
низационную структуру компании. Примеры стратегических
девизов, собранных Р. Кохом [27, с. 73—74], приведены в
табл. 2.27.
Стратегические девизы подкрепляют приверженность ра­
ботников организации достижению поставленных целей.
Приверженность должна относиться к полю деятельности,
а не к формуле бизнеса и отвечать следующим требованиям.
1. Решительное намерение любой ценой стать лидером в
избранном поле деятельности.
2. Точное определение избранного поля деятельности: тех­
нологии, товара, клиента, географического положения и т.д.
3. Решительное намерение стать самой организацией в из­
бранном поле деятельности.
4. Глубокое понимание потребностей и настроения клиен­
тов в избранном поле деятельности; приверженность к посто­
янным инновационным решениям и улучшению качества про­
дукции и обслуживания.
5. Приверженность формуле успеха бизнеса, которая объяс­
няет поведение организации в этом поле и причины, по кото­
рым эта организация опередит конкурентов.
6. Желание и воля изменить формулу успеха в случае воз­
никновения серьезной угрозы со стороны конкурентов в дан­
ном поле.
Примеры ключевых компетенций, на которых построены
стратегии успешных фирм, приведены в табл. 2.28.
28.3. Ключевые компетенции
и конкурентные стратегии
Главной проблемой конкуренции за будущее, как утвержда­
ют Г. Хамел и К. Прахалад, «является опережающее создание
компетенций, обеспечивающих переход к завтрашним возмож­
ностям, а также поиск нового применения нынешних ключе­
вых компетенций» [47, с. 173].
361

181.

ф Ч А С Т Ь I I . Стратегический менеджмент: магистратура
М о д у л ь 9. Модификация и разработка стратегии на основе клю
Таблица
2.27
Око
Стратегические девизы
Компания
•в ,
I
Стратегический лоз
Mark & Spencer
Высокие стандарты одежды для
Mercedes
Лучший дизайн автомобиля
Microsoft
Программное обеспечение для о
человека
NEC (с 1960-х гг.)
Совмещение компьютерных и те
онных технологий
Pizza Pizza
Две пиццы по цене одной
SAS (Scandinavian Air)
Завоевание доверия клиентов пр
Sony
Оригинальная миниатюрная нова
продукция
ЗМ
Изобретения, созданные для вас
Apple
Средство для развития интеллекта и для развлече­
ния
BMW
Автомобиль для вождения на предельных скоро­
стях
Body Shop
Франшиза на натуральные косметические средства
Boston Consulting
Group
Революционные идеи для бизнеса
British Airways
Всемирно признанная авиакомпания
Dell Computers
Никаких посредников (прямой маркетинг)
Disney
Семейные развлечения, впечатления
Southwest Airlines
Комфортные дешевые транзитны
Domino's Pizza
Доставка на дом в течение получаса
Starbucks
Культ кофе
Dupont (с 1900-х гг.)
Новые товары массового потребления (например,
нейлон)
Toyota
Стремление стать первым в мире
телем
Egon Zehnder
Эпичный и профессиональный хедхантинг
Virgin
Никаких устоев, бизнес — это у
Federal Express
(FedEx)
Гарантированная доставка в течение суток
Volvo
Безопасные и надежные автомоб
Waterstones Booksellers
Ford (1909)
Доступность автомобиля
Великолепные магазины, широки
ный рабочий день
GM (с 1920-х гг.)
Автомобили для всех слоев населения
Hewlett Packard (HP)
Работа в команде, обмен технологиями для созда­
ния совершенного продукта
Honda
Самый лучший в мире мотор
IKEA
Стильная и недорогая мебель для молодых семей
Johnson & Johnson
Сервис для медработников, высокая мораль
L.L. Bean
Дружеское отношение к клиентам
McDonald's
Из любви к гамбургерам (быстро!)
S
3
З К 9
Компания
Стратегический лозунг
62
Примеры ключевых компетенций
Компания
Область ключевой
компетенции
Сфера примен
Canon
Оптика и шли­
фовка линз
Изготовление фор
томеханическим сп
параты, копировал
Casio
Полупроводники
и цифровая ин­
дикация
Калькуляторы, тел
музыкальные инст

182.

М о д у л ь 9. М о д и ф и к а ц и я и разработка стратегии на основе ключевых компетенций
ф Ч А С Т Ь I I . Стратегический менеджмент: магистратура
Окончание табл. 2.28
Компания
Citizen
Honda
Sharp
ЗМ
Область ключевой
компетенции
ЖК-дисплеи
Многоступенча­
тые блоки ци­
линдров с авто­
матическими
клапанами
Оптическая
электроника
Химия полиме­
ров
Сфера применения продукта
Дисководы для гибких дисков, дис­
плеи ноутбуков, телевизоров, видо­
искатели видеокамер
Мотоциклы, автомобили, газоноко­
силки, оборудование для выработки
электроэнергии
Калькуляторы, ЖК-дисплеи, ком­
пакт-диски, электролюминесцент­
ные экраны для ПК, светочувстви­
тельная пленка, системы хранения
оптических дисков
Покрытия: компакт-диски, гибкие
диски, видеоленты. Клеящие мате­
риалы: клейкая бумага и закладкистикеры, скотч, электроизолента,
наждачная бумага
Hewlett Packard
(HP)
Диагностика из­
мерительной
техники
Широкий ассортимент — от осцил­
лографов до кардиологического
оборудования
Northern Telecom
Switches
Цифровые ком­
мутаторы
АТС, гибридные аналого-цифровые
коммутаторы, оборудование для
офиса
Самые ценные компетенции — это те, которые обеспечива­
ют переход к широкому разнообразию рынков для будущих
продуктов. В идеале необходимо иметь систему компетенций,
образующих платформу, на которой может создаваться целый
веер уникальных товаров и услуг. Поэтому предметом анализа
для разработки конкурентной стратегии, как правило, стано­
вится конкретный продукт или услуга.
Ключевые компетенции не фигурируют в балансовом отче­
те, но, несомненно, являются источником конкурентного пре­
имущества, поскольку они уникальны и влияют на потреби­
тельские свойства и цену продукции.
Ключевая компетенция определяется своим названием: это
способности и навыки, совокупность которых составляет спе364
1. Разработка и
приобретение
новых технологий
• П р и е м «звезд» на работу
• Приобретение эксклюзивных
лицензий
• Использование преимуществ
альянсов
2. Конкуренция за
синтез ключевых
компетенций
• Множественное применение
ключевых компетенций
• Синтез знаний и опыта
• Синтез самих ключевых
компетенций
3. Борьба за
максимизацию доли
ключевого продукта
• Ключевая платформа
• Продажа ключевых продуктов
всем (даже конкурентам)
• Расширение каналов сбыта
4. Конкуренция за
долю годовой
продукции
• фокусирование рынка
• Торговля деталями и
комплектующими
• Доля товарного знака на рынке
товаров и услуг
Рис. 2 . 4 8 . Уровни ключевых компетенций
цифический опыт организации и формирует соответствующие
умения. Чтобы обладать качествами к л ю ч е в о й компетенции,
умения должны быть уникальными.
Именно поэтому организации внешне конкурируют на рын­
ке товаров и услуг, а на самом деле идет жесткая конкуренция
за освоение новых компетенций, которые проявляются в синер­
гии новых навыков и новых аспектах способностей работников
организаций.
Борьба за обладание компетенциями проходит в основном
на четырех уровнях, отраженных на рис. 2.48.
Главная задача уровня 1 — приобрести или разработать на­
выки или технологии, составляющие конкретную ключевую
компетенцию.
На уровне 2 ресурсные рычаги возникают в процессе мно­
жественного применения имеющихся и вновь приобретенных
навыков.
Уровень 3 конкуренции касается ключевых платформ, ко­
торые чаще всего составляют промежуточное звено между клю­
чевой компетенцией и конечным продуктом.
На уровне 4 речь идет о конкуренции за долю на рынке.

183.

ф
Ч А С Т Ь I I . Стратегический м е н е д ж м е н т : магистратура
28.4. Модификация и корректировка
Для того чтобы понять в первом приближении, есть у орга­
низации стратегия или ее нет, специалисты в области страте­
гического управления рекомендуют ответить на следующие
вопросы.
• Что из того, что организация делает, отличает ее от конку­
рентов?
• Какие инвестиции организация осуществляет, чтобы под­
черкнуть эти отличия?
• Что ценного и эксклюзивного организация может предло­
жить покупателю?
• Каковы основные источники конкурентного преимущест­
ва организации?
• Кто самые выгодные клиенты? Каков удельный вес поте­
рянных покупателей? Как организация планирует уменьшить
отток клиентов?
• Кто самый серьезный конкурент организации и какие у
него планы? Сколько стоят аналогичная продукция и услуги
конкурента?
• Располагаете ли вы объективными сведениями о том, что
думают клиенты о вашей самой прибыльной продукции (услу­
гах) и в то же время что они думают об аналогичной продукции
(услугах) вашего конкурента?
• Какие 20% продукции организации приносят ей 80% при­
были?
• Можете ли вы назвать двух-трех новых или потенциаль­
ных конкурентов, которые лет через пять, вероятно, отхватят
кусок вашего «денежного пирога»?
По ответам на поставленные вопросы можно судить еще и
о том, что следует делать: разрабатывать новую стратегию или
модифицировать существующую.
Чаще всего стратегия рождается или модифицируется на
базе способности обозревать всю картину и одновременно за­
мечать ее мельчайшие детали. Они вырастают из умения дей­
ствовать избирательно и в то же время комплексно; из способ­
ности думать о будущем, не обделяя при этом вниманием
настоящее; из стремления сбалансировать то, что хочется со­
общить миру, с тем, что мир говорит нам. Подобная дихото­
мия стратегических характеристик организации отражена на
рис. 2.49.
366
М о д у л ь 9. М о д и ф и к а ц и я и разработка стратегии на основе ключевых компетенций
обозревать всю картину
избирательно
Способности
Умения действовать
замечать детали
комплексно
Факторы,
определяющие
стратегию
будущее
то, что хочется сказать миру
Ориентации на
Стремление сбалансировать
настоящее
то, что м и р говорит нам
Рис. 2 . 4 9 . Дихотомия стратегических
характеристик организации
Чтобы определить самых выгодных клиентов и самую вы­
годную продукцию (услуги), необходимо найти область, соот­
ветствующую принципу Парето, который в данном случае мо­
жет формулироваться так: 20% клиентов (продукции) приносят
80% прибыли.
На первом шаге для решения указанной задачи необходимо
всю деятельность организации поделить на части, которые со­
ответствуют конкурентным сегментам, таким образом, чтобы
отдельно рассмотреть каждую область, в которой есть или от­
личающийся конкурент или отличающаяся конкурентная пози­
ция (степень конкурентного преимущества).
Затем в каждом необходимо проанализировать прибыль­
ность после вычета всех затрат (включая накладные рас­
ходы).
Заключительный шаг состоит в определении стратегически
значимого сегмента товарного рынка или стратегического по­
требителя и стратегического конкурента, что позволяет постро­
ить конкурентоспособную стратегию или модифицировать су­
ществующую.
Приведем пример, предложенный Р. Кохом [27, с. 126]
(табл. 2.29 и 2.30).
367

184.

М о д у л ь 9. М о д и ф и к а ц и я и разработка стратегии на основе ключевых компетенций
ф Ч А С Т Ь I I . Стратегический менеджмент: магистратура
Таблица 2.29
Окончание табл. 2.30
Сегментация прибыли от продаж
Номер
сегмента
Объем
продаж
Валовая
маржа
Затраты и
издержки
Прибыль
Коэффициент
рентабельности
продаж, %
4
30
5
6
1
3
5
10
5
4
1
10
6
60
10
10
0
0
7
5
2
3
1
20
8
15
2
7
5
33
Итого
255
71
56
15
6
Сегмент
Описание сегмента
1
Программное обеспечение для архитектурно-строительного
проектирования (США)
2
Программное обеспечение для архитектурно-строительного
проектирования (другие страны)
3
Программное обеспечение для автоматизации кадрового
учета (США)
4
Программное обеспечение для автоматизации кадрового
учета (другие страны)
5
Программное обеспечение для ведения бухгалтерского уче­
та (США)
6
Программное обеспечение для ведения бухгалтерского уче­
та (другие страны)
7
Программное обеспечение для домашних компьютеров
(США)
8
Программное обеспечение для домашних компьютеров
(другие страны)
На первом шаге сводим полученные сведения о сегмента­
ции прибыли от продаж в табл. 2.29, на втором шаге результа­
ты анализа рентабельности продаж сводим в табл. 2.30, из ко­
торой следует, что доход на территории США намного выше,
чем в остальных странах.
Сегмент программного обеспечения для архитектурно-стро­
ительного проектирования наиболее рентабелен. В этом сег­
менте компания лидирует. Наименее рентабелен сегмент обще­
го программного обеспечения для домашних компьютеров.
В этом сегменте у компании крошечная доля на рынке.
В качестве стратегического решения на третьем шаге при­
нимается решение о сокращении вдвое рыночных сегментов
для рассматриваемого бизнеса (табл. 2.31), что позволяет вчет­
веро повысить рентабельность продаж, вдвое увеличить при­
быль, несмотря на то, что оборот снизился на 30%.
Таблица 2.31
Стратегически значимые сегменты
Объем продаж,
млн долл.
Прибыль
млн долл.
Коэффициент рентабельности
продаж, %
1
60
20
33
2
100
20
20
3
10
2
20
5
10
1
10
Итого
180
34
24
Таблица 2.30
Сегмент
Результаты анализа рентабельности, млн долл.
Сегмент
Объем
продаж
Валовая
маржа
Затраты и
издержки
Прибыль
Коэффициент
рентабельности
продаж, %
1
30
15
5
10
33
2
100
30
20
10
10
3
5
2
1
1
20
368
13 Стратегический менеджмент

185.

ф
Ч А С Т Ь I I . Стратегический м е н е д ж м е н т : магистратура
Успешная стратегия, как отмечают специалисты, всегда
ясна и проста, а всякий дополнительный элемент сложности
резко уменьшает шансы организации на успех. Косвенно такое
положение подтверждается тем, что простую стратегию клиен­
ту проще идентифицировать с организацией, что повышает
приверженность клиентов. Ясная и простая стратегия ведет к
росту объема реализации продукции, что, в свою очередь, ав­
томатически приводит к снижению издержек, а снижение из­
держек позволяет снижать цену и еще больше наращивать объ­
ем реализации.
Стратегия, ориентированная на рост доходов бизнеса, долж­
на опираться на потенциал роста, определяемый внутренней
эффективностью организации и умением адаптироваться к из­
менениям внешней среды, а также умением создавать новые
виды бизнеса.
Ведомость, учитывающая умения организации в части соз­
1
дания ценностей (учетная ведомость ), включает управление
разрывом: в показателях деятельности, в адаптивности и воз­
можностях (рис. 2.50).
Учетная ведомость, таким образом, позволяет давать оценку
действующей стратегии и намечать направления ее модифика­
ции.
Так, управление разрывом в показателях деятельности от­
ражает, насколько успешно организации повысили показатели
своей деятельности по качеству, издержкам, продолжитель­
ности цикла, производительности и рентабельности. Оценка
умения управлять разрывом в адаптивности позволяет оце­
нить, насколько хорошо организациям удается прогнозировать
изменения в отрасли, своевременно начинать соответствую­
щие трансформации и управлять ими. Управление разрывом в
возможностях характеризует то, насколько хорошо организа­
ции умеют создавать новые виды бизнеса, действовать «попионерски» на новых рынках, распознавать стратегическую
направленность и сообщать о ней тем, кто должен об этом
знать.
Практика свидетельствует о том, что в настоящее время не­
достаточно опережения конкурентов «по показателям», фикси­
рующим достижения организации. Необходимо понимание
1
Прахалад К., Фаэй Л., Рэнделл Р. Создание ключевых к о м п е т е н ­
ц и й и их использование. — В [28, С. 357—378].
370
М о д у л ь 9. М о д и ф и к а ц и я и разработка стратегии на основе ключевых к о м п е т е н ц и й
ф
Разрыв
в
показателях
деятельности
• Реструктуризация
• Качество
• Издержки
• Время цикла
• Логистика
• Число сотрудников
• Рентабельность
• Административные системы
Разрыв
в
возможностях
• Получение новой энергетики
> Рост
• Разработка новых видов
бизнеса
• Разработка нового рынка
• Стратегическая направленность
• Ресурсный рычаг
Разрыв
в
адаптивности
• И з м е н е н и е формы
• Выбор состава портфелей
• Комбинация продукции
• Каналы
• Новая модель бизнеса
• Соотношение цен и
показателей
функционирования
Рис. 2.50. Схема учетной ведомости
того, как имеющийся потенциал может помочь организации
реализовать открывающиеся возможности, предоставляемые
внешней средой. Такое понимание часто находит свое отраже­
ние в изменении модели ведения бизнеса и формирование мо­
дификаций действующей стратегии.
Таким образом, в основе корректировки стратегии зачастую
лежат разрывы в показателях деятельности, адаптивности и ис­
пользовании возможностей, что отражает намерения организа­
ции использовать новые возможности бизнеса, лежащие за
пределами их нынешних портфелей выпускаемой продукции.
371

186.

ф
Ч А С Т Ь 11. Стратегический м е н е д ж м е н т : магистратура
Однако следует заметить, что внимание менеджеров в боль­
шей степени приковано к разрыву в показателях деятельности,
иногда — к разрыву в адаптивности и очень редко — к разры­
ву в возможностях. Стратегически важно сочетать обеспечение
операционной эффективности (что отражают обычные показа­
тели) со стратегической направленностью, в основе которой
лежит стремление устранить разрыв в умении использовать от­
крывающиеся возможности ведения бизнеса и обеспечивать
конкурентные преимущества организации.
Конкуренция в области стратегического управления, как
1
правило, лежит в трех плоскостях (на трех уровнях ): выпуска­
емая продукция, ключевые продукты и ключевые компетенции
(рис. 2.51). Во-первых, идет соперничество за рынки готовой
продукции и услуг, т.е. конкуренция в координатах цены и
показателей функционирования, представленная на современ­
ном рынке «сражениями» за рыночную долю. Во-вторых, идет
и менее открытое «сражение» за доминирование в ключевых
продуктах. Существуют своего рода строительные блоки, нали­
чие которых позволяет быть лидером в разработке продукции с
новыми функциональными характеристиками. В-третьих, идет
конкуренция за компетенции, отражающие способность орга­
низации создавать новые виды бизнеса или новое конкурент­
ное пространство.
Ключевые компетенции всегда состоят из комбинации раз­
ных технологий, коллективного обучения и способности обес­
печивать эффективную циркуляцию информации.
Среди технологий рассматриваются в большей степени те
технологии, которые не знакомы традиционным видам бизнеса
организации. Набор таких технологий необходимо соединить с
технологиями, традиционными для рассматриваемой организа­
ции. Например, в традиционные технологии обучения вводятся
компьютерные технологии, обеспечивая дистанционное обра­
зование.
Обучение в рамках управленческих команд облегчает про­
цесс адаптации новых технологий и новых возможностей, а
также позволяет выработать общую корпоративную культуру на
всех уровнях управления организацией.
Передача знаний и циркуляция информации в организации
обусловлены потребностью использовать ключевые компетен1
372
Там же. С. 3 5 9 .
М о д у л ь д. М о д и ф и к а ц и я и разработка стратегии на основе ключевых к о м п е т е н ц и й
ф
Рис. 2.51. Три плоскости конкуренци
ции и распространять их на все возможности, открывающиеся
перед бизнесом.
Обобщенная база компетенций, существующих в организа­
ции, представляет собой сочетание знаний и опыта работников
организации как в части управления людьми, так и в части
управления капиталом. Комбинация обозначенных групп зна­
ний и опыта представляет собой обобщенную базу компетенций
организации. Например, знание специфики взаимодействия с
главным потребителем не менее важно, чем патентоспособные
решения, официально зарегистрированные в патентном ве­
домстве.
Процедура выявления ключевых компетенций организации
может содержать попытку найти ответ на три группы важных
1
вопросов .
1. Является ли компетенция и с т о ч н и к о м сильной диф­
ференциации? Позволяет ли компетенция г е н е р и р о в а т ь
достаточную ценность и выгоды для потребителей? Ключевые
1
Там же. С. 367.
373

187.

Ф Ч А С Т Ь I I . Стратегический м е н е д ж м е н т : магистратура
компетенции д е м о н с т р и р у ю т себя потребителям в форме
продукции организации и ее атрибутов.
2. Ограничивается ли компетенция о д н и м видом бизнеса?
Охватывает ли она н е с к о л ь к о видов бизнеса, как имеющих­
ся, так и новых? Ключевая компетенция должна обеспечивать
д о с т у п к р а з н о о б р а з н ы м рынкам продукции.
3. Насколько конкурентам т р у д н о д у б л и р о в а т ь клю­
чевую компетенцию? Насколько другим структурам т р у д н о
п о н я т ь , как организация делает то, что она делает?
Иногда концепцию ключевых компетенций воспринимают
как синоним взаимосвязанных ключевых технологий, в то вре­
мя как ключевые компетенции представляют собой творческое
объединение множества технологий вокруг знания потребнос­
тей и запросов потребителя, а также маркетинговую интуицию
и умения, позволяющие управлять ими таким образом, чтобы
добиваться синергии. При этом любая компетенция должна
«пропитать» всю организацию, стать часть корпоративной куль­
туры.
В общем виде ключевые компетенции представляют собой
произведение системы технологий, специфики процесса управ­
ления (управленческой культуры) и коллективного обучения:
Компетенция = Технология х Процесс управления х
х Коллективное обучение.
28.5. Стратегические ключевые компетенции
Любую организацию можно рассматривать не только как
портфель продуктов или услуг, но и как портфель компетен­
ций, определяющих ее место в конкурентной борьбе.
Организация, которая не придает значения ключевым ком­
петенциям, подвергает себя многим опасностям, отраженным
на рис. 2.52.
Во-первых, риск заключается в том, что возможности роста
организации будут необоснованно занижены. Недооценка воз­
можностей, возникающих в разрывах между сложившимися
рынками и зарождающимися новыми нишами, объясняется
стремлением организаций привязать каждый свой стратегичес­
кий центр к существующему конкурентному пространству.
374
Г
М о д у л ь 9. М о д и ф и к а ц и я и разработка стратегии на основе ключевых к о м п е т е н ц и й
Недооценка
возможностей
открывающихся
рыночных ниш
Равнодушие к бизнесу,
не п р и н о с я щ е м у в
данный момент
х о р о ш и х результатов
Механизмы отбора
талантов для реализации
новых в о з м о ж н о с т е й
Факторы
опасности утраты
ключевых к о м п е т е н ц и й
Н е п о н и м а н и е основы ключевых
компетенций в отрасли
ф
Раздробленность
компетенций по
подразделениям
Зависимость от
внешних поставщиков
компетенций
Сосредоточенность только на
конечных продуктах в ущерб
промежуточным технологиям
Р и с . 2.52. Факторы опасности утраты ключевых компетенций
Во-вторых, попытка нанять (привлечь) специалистов, обла­
дающих необходимыми умениями, может не состояться, если в
организации отсутствуют четкие механизмы отбора лучших та­
лантов для реализации самых перспективных новых возмож­
ностей (в том числе и из числа работников других подразделе­
ний самой организации).
В-третьих, по мере дробления организации компетенции
могут стать раздробленными и ослабленными.
В-четвертых, отсутствие перспективной ключевой компе­
тенции может сделать организацию нечувствительной к усили­
вающейся зависимости от внешних поставщиков таких ключе­
вых продуктов. Аутсорсинг, обеспечивающий определенный
выигрыш по качеству и себестоимости выпускаемой продук­
ции, здесь может сыграть злую шутку, лишив организацию
конкурентных преимуществ в перспективе.
В-пятых, организация, внимание которой сосредоточено
только на конечных продуктах, зачастую не способна делать
адекватные вложения в новые ключевые компетенции, которые
могут привести к росту в будущем.
В-шестых, организация, которой не удастся вникнуть в су­
щество необходимых для соперничества в своей отрасли харак­
теристик, может быть застигнута врасплох новыми участника­
ми, опирающимися на компетенции, разработанные на рынках
других конечных продуктов.
375

188.

ф Ч А С Т Ь 11. Стратегический менеджмент: магистратура
М о д у л ь 9. Модификация и разработка стратегии на основе ключевых компетенций
И последний фактор риска утраты компетенций — равно­
душие к созданию ключевых компетенций, в результате кото­
рого невольно организации уступают ценные навыки, отказы­
ваясь от бизнеса, не приносящего в данный момент хороших
результатов.
Преодоление рассмотренных рисков достигается сплочен­
ной работой команды менеджеров организации в процессе ре­
шения основных задач управления ключевыми компетенциями
организации: выявление уже существующих ключевых компе­
тенций, создание программы приобретения недостающих клю­
чевых компетенций, создание недостающих ключевых компе­
тенций силами самой организации, развертывание ключевых
компетенций, защита и сохранение лидерства в ключевых ком­
петенциях (рис. 2.53).
1. При определении своих собственных ключевых компе­
тенций необходимо составить опись и выбрать из нее то, что
действительно может составлять основу ключевой компетенции
организации. Такое определение позволяет разработать пони­
мание умений, которые в настоящее время формируют успех
организации, и избежать близорукости в подходе к обслужива­
емому рынку, а также указать путь к новому бизнесу, усилить
чувство реальности борьбы за компетенции и создать основу
для активного управления самыми ценными ресурсами органи­
зации.
2. Программа приобретения ключевых компетенций опре­
деляется стратегической архитектурой организации. Полезно
составить матрицу компетенций в сегменте рынка выпускаемой
продукции. Различия между существующими и новыми компе­
тенциями и между существующими и новыми рынок-образую­
щими продуктами представлены на рис. 2.54 [47, с. 199].
Определение
существующих
компетенций
Создание
программы
приобретения
Создание самих
компетенций
Задачи управления
Защита и сохранение
лидерства в
компетенциях
Развертывание
компетенций
Рис. 2.53. Пять задач управления ключевыми компетенциями
376
Новая
Ключевая
компетенция
Существующая
Лидировать через 10 лет
Мегавозможности
Какие новые ключевые
компетенции необходимо
создать для защиты,
сохранения и расширения
преимуществ на нынешних
рынках?
Какие новые ключевые
компетенции требуется
создать для участия в
перспективных рынках?
Заполнение пробелов
«Белые пространства»
Как улучшить имеющуюся
позицию на нынешних
рынках с помощью
оптимального применения
рычагов к теперешним
ключевым компетенциям?
Какие новые продукты или
услуги можно создать при
творческом развертывании
или новом сочетании
нынешних ключевых
компетенций?
Существующий
ф
Новый
Рынок
Рис. 2.54. М а т р и ц а компетенций
Заполнение пробелов. Этот сектор рисунка представляет со­
бой существующий портфель компетенций и товаров или услуг
организации. Определив, какие компетенции поддерживают
конкретные рынки конечного продукта, организация может
обозначить возможности усиления своей позиции на рынке
данного продукта, привлекая компетенции, которыми может
обладать организация.
Лидировать через 10 лет. Этот сектор предлагает поиск от­
вета на другой важный вопрос: какие новые ключевые компе­
тенции нужно создавать сегодня, чтобы остаться на первом
месте у клиентов через 10 лет?
Важно понять, какие новые компетенции необходимы для
поддержки и расширения доминирующего положения органи­
зации на существующих рынках.
Этот сектор предполагает поиск решения проблемы уста­
ревших компетенций: замену их новыми.
Поиск новых компетенций должен включать выявление но­
вых возможностей, которые могут вытеснить базу традицион­
ных умений.
377

189.

ф
Ч А С Т Ь I I . Стратегический м е н е д ж м е н т : магистратура
Сектор «Белые пространства» включают возможности, от­
сутствующие на рынках продукции существующих стратегичес­
ких центров организации, или возможности распространения
существующих ключевых компетенций на рынках новых про­
дуктов.
При этом выявление перспектив «белых пространств» ор­
ганизация должна начинать с определения ключевой ком­
петенции, а не с перспективы рынка продукта, а уже затем
можно рассмотреть потенциальные результаты применения
потребительской ценности, которую даст конкретная компе­
тенция.
Сектор Мегавозможности не соответствуют положению ор­
ганизации на нынешнем рынке или фонду ее нынешних ком­
петенций. Но тем не менее организация может осуществлять
поиск этих возможностей, если они представляются особо важ­
ными или привлекательными.
Стратегия в данном случае могла бы заключаться в ряде
небольших целевых приобретений или партнерств, с помощью
которых организация получила бы доступ к необходимым ком­
петенциям, освоила их и начала изучать возможность их при­
менения. Но к возможностям, предоставляемым этим секто­
ром, следует относиться с большой осторожностью, поскольку
у организации мало или совсем нет умений в принятии реше­
ний в этой сфере.
3. Создание новых ключевых компетенций как процесс рас­
тяжимо во времени, поэтому успех приносит последователь­
ность усилий, ориентированных на стратегическую перспек­
тиву.
Последовательность усилий, в свою очередь, зависит от
сплоченности и стабильности состава управленческой команды
организации. Частая смена руководителей проектов и ведущих
подразделений разрушает процесс создания новых ключевых
компетенций.
Развертывание ключевых компетенций представляет собой
процесс внутреннего распределения компетенций и закрепле­
ния соответствующих умений у работников организации в це­
лом (в том числе и обмен компетенциями между работниками
организации).
Такое развертывание компетенций повышает интеллекту­
альный капитал организации, что подтверждается соотношени378
М о д у л ь 9. М о д и ф и к а ц и я и разработка стратегии на основе ключевых к о м п е т е н ц и й
ф
ем рыночной и балансовой стоимости активов организаций,
которое в середине 90-х гг. XX в. составляло 2 : 1, 4 : 1 и даже
1
10 : I . В этом смысле рациональное использование интеллек­
туального капитала становится более важным (и в то же время
более сложным из-за многофакторности процесса), чем распре­
деление и использование капитала денежного.
В организации должны быть механизмы, позволяющие тем
работникам, которые могут и хотят внести личный вклад в
один из приоритетных проектов, реализовать потенциал своих
компетенций. Руководители проектов должны иметь возмож­
ность, в свою очередь, отбирать работников в проектную ко­
манду, обосновывая выгоду такого решения для организации в
целом.
Такая мобильность компетенций, а также частые встречи
сотрудников, представляющих конкретную компетенцию, со­
действуют обмену идеями, знаниями и опытом. Семинары и
конференции также имеют большое значение, сплачивая лю­
дей. Приобретаемый в результате такого взаимообогащения
опыт ускоряет создание компетенций.
5. Защита и сохранение ключевых компетенций обуслов­
лена конкурентной борьбой и стремлением управленческой
команды организации обеспечить стратегическое развитие.
Стратегически важно понять, что ключевые компетенции
существуют не сами для себя, а для развития организации. По­
этому важно не стремиться «вбить» во что бы то ни стало клю­
чевые компетенции в организацию с помощью структурных
перемен, а обеспечить «мягкое внедрение» перспективы орга­
низации на основе компетенций в голову каждого сотрудника.
Факторы «мягкого внедрения» ключевых компетенций пред­
ставлены на рис. 2.55. Для «мягкого перехода» необходимо со­
средоточить внимание на следующих стратегически значимых
действиях организации:
• развернуть процесс определения ключевых компетенций;
• привлечь стратегические центры к процессу разработки
стратегической архитектуры и к постановке целей приобрете­
ния компетенций;
• выделить приоритетные направления роста корпорации и
развития нового бизнеса;
1
Там же. С. 204.
379

190.

М о д у л ь 9. М о д и ф и к а ц и я и разработка стратегии на основе ключевых компетенций
ф Ч А С Т Ь I I . Стратегический м е н е д ж м е н т : магистратура
Развернуть п р о ц е с с
определения
компетенций
Создавать
группы людей,
с ч и т а ю щ и х себя
носителями
О т с л е ж и в а т ь статус
существующих и
возникающих
Привлечь
стратегические
центры
f
Факт о р ы
Выделить
приоритетные
н а п р а в л е н и я роста
N.
iвнедрения ключевых 1
\^
компет е н ц и й
У
Установить
эталонные
показатели
Создать
действенный
механизм
распределения
ресырсов
Подобрать
управляющих
Р и с . 2.55. Факторы «мягкого внедрения» ключевых компетенций
• подобрать управляющих ключевыми компетенциями и
четко определить их функции;
• создать действенный механизм распределения ресурсов
ключевых компетенций;
• установить эталонные показатели для сравнения с компе­
тенциями соперников;
• регулярно отслеживать статус существующих и возникаю­
щих ключевых компетенций;
• создавать группы людей, считающих себя носителями
ключевых компетенций всей организации.
Обеспечение отмеченных условий позволяет рационально
обеспечить разработку и модификацию стратегий бизнеса.
ТЕМА 2 9
Формирование стратегических
альтернатив
29.1. Типология стратегических альтернатив
В общем виде альтернативы представляют собой средства,
при помощи которых можно достичь поставленной цели. В за­
висимости от параметров внешней среды и состояния самой
организации модель достижения стратегических целей может
быть представлена различными альтернативами (рис. 2.56).
380
Щ
Альтернативы
Исходное
состояние
организации
Р и с . 2.56. Графическая модель сочетания альтернатив
Примеры подобных стратегических альтернатив:
• обеспечить заданную рыночную долю выпускаемой про­
дукции на имеющихся рынках;
• освоить новую товарную серию;
• добавить новые элементы ценностей выпускаемым товар­
ным сериям;
• прекратить выпуск одной или нескольких товарных се­
рий;
• вытеснить смежную товарную серию конкурента;
• вытеснить выпускаемую на рынок товарную серию недав­
но образованного бизнеса;
• освоить новые географические рынки;
• перейти на новые каналы распределения для уже сущест­
вующих рынков.
В свою очередь, содержание каждой из приведенных аль­
тернатив состоит из альтернативных подсистем. Так, напри­
мер, для обеспечения рыночной доли на имеющемся рынке
можно предложить альтернативные действия со стороны орга­
низации.
«1. Повысить функциональность (показателей работы) то­
варной серии.
2. Добавить новые характеристики, повышающие привле­
кательность продукции для некоторых потребителей.
3. Добиться выделения большего пространства на полках
каждого магазина розничной торговли для своей продукции.
4. Расширить число розничных торговцев.
5. Изменить структуру мотивации для дистрибьюторов,
чтобы побудить их запрашивать продукцию в варианте "тол­
кай".
6. Добавить несколько новых дистрибьюторов.
381

191.

Ф Ч А С Т Ь I I . Стратегический м е н е д ж м е н т : магистратура
/
7. разработать новые рекламные темы для улучшения имид­
жа и самой компании, и ее продукции;
8. предоставлять услуги, позволяющие одновременно вли­
ять на многих потребителей;
9. реструктуризировать работу продавцов за счет перерас­
пределения торговых территорий и незначительного изменения
системы вознаграждения» [28, с. 389].
Альтернативы могут отличаться своей инновационностью.
Большинство из перечисленных альтернативных действий по­
падают в категорию альтернатив постепенного совершенство­
вания.
Альтернативы постепенного совершенствования представля­
ют собой продолжение текущих стратегий организаций или их
незначительную корректировку.
Альтернативы обновления берут в качестве исходной точки
текущую стратегию, но в них присутствуют намерения сущест­
венно изменить направленность деятельности организации, на­
пример освоение новых товарных линий, смещение акцентов в
дифференциации, стремление осуществить поглощение или со­
здать союз для разработки новой продукции или выхода на
новые потребительские сегменты.
Инновационные альтернативы всегда ведут к радикальным
изменениям в стратегии, поскольку строятся на новых подхо­
дах к обеспечению победы на рынке и часто сопровождаются
предложениями новых продуктов и креативных решений, в том
числе и ухода от прежних подходов к ведению бизнеса и мыш­
лению.
Типология альтернатив, ориентированных на изменение
действующей стратегии, представлена на рис. 2.57, из которого
следует, что решение стратегических проблем и рост доходов
организации могут быть достигнуты на основе различных аль­
тернатив.
Каждую из альтернатив следует рассматривать как одну из
возможных моделей развития организации. Чтобы осуществить
выбор из их числа, необходимо наполнить содержанием каж­
дую из альтернатив. Например, для того, чтобы определить со­
держание альтернатив выхода на географические рынки, необ­
ходимо выполнить следующие процедуры:
• определить рынки, на которые можно выйти;
• оценить глубину и широту потребительской базы на каж­
дом рынке;
382
М о д у л ь 9. М о д и ф и к а ц и я и р а з р а б о т к а стратегии на основе ключевых компетенций
ф
Инновационные
альтернативы
Обновление
Постепенное
Рис. 2.57. Типология альтернатив
• просчитать покупательскую емкость каждого потребитель­
ского сегмента;
• идентифицировать виды продукции, которые целесооб­
разно предложить на каждом рынке;
• разработать варианты каналов распределения и рекламных
программ, а также программы стимулирования продаж;
• определить варианты привлечения собственных сотрудни­
ков, занятых в продажах;
• оценить потоки поступлений и издержек, связанных с
программами расходов;
• установить последовательность выхода на рынки.
Необходимость постоянного генерирования альтернатив
объясняется как потребностью в новых способах увеличения
доходов в рамках существующей стратегии, так и потребностью
решения возникающих стратегически значимых проблем.
Обычно функциональные задачи ставятся перед главными
специалистами организации, которые формируют многочислен­
ные альтернативы, отсеивают из списка явно непригодные и не
реализуемые варианты. В итоге на суд выносится небольшой на­
бор вариантов, описываемых в терминах действий, последствий
и необходимых ресурсов. Наряду с этим процессом происходит
и параллельное генерирование альтернатив в ходе принятия те­
кущих решений. Такое предложение альтернатив происходит бо­
лее спонтанно; альтернативы создаются достаточно быстро, но
383

192.

ф
Ч А С Т Ь I I . Стратегический м е н е д ж м е н т : магистратура
при этом обычно не выясняется, насколько они «хороши» иди
«плохи» и не делается попыток вовлечь в этот процесс ни функ­
циональных специалистов организации, ни внешних консуль­
тантов и экспертов, чтобы они высказали свое мнение по пово­
ду вариантов, заслуживающих большего внимания.
Практикой выработаны рекомендации, которые следует
учитывать при формировании альтернатив.
• «Разнообразие альтернатив. Очень важно наличие широ­
кого диапазона альтернатив, поскольку достоинства или недо­
статки одной альтернативы или набора взаимосвязанных аль­
тернатив часто становятся очевидны только при их сопоставле­
нии с другими вариантами.
• Различия между альтернативами сопоставляются относи­
тельно текущей ситуации. Помимо прочего, выявление таких
различий побуждает лиц, принимающих решения, повторно
оценить качество текущей стратегии.
• Издержки и трудности реализации. Если альтернативы для
реализации слишком легки, то вероятность, что будут выявлены
более или менее значимые инновационные альтернативы и аль­
тернативы обновления, мала.
• В какой степени альтернативы позволяют решать текущие
цели? Более совершенные альтернативы заставляют менеджеров
критически отнестись к текущим ожиданиям, стремлениям и
целям. Как следствие этого, возможно, такому же критическому
подходу подвергнутся и прежние допущения и убеждения» [28,
с. 396 ].
Набор хороших альтернатив отражает разные точки зрения
и разные допущения.
К типичным ошибкам генерирования альтернатив следует
отнести следующие недочеты в работе:
• занижается планка инновационности;
• разработчики альтернатив быстро останавливаются на ка­
ком-либо конкретном варианте, не рассмотрев все возможные
предложения;
• процесс генерирования сводится к планированию триви­
альных действий;
• разработка альтернатив поручается одной группе, что ог­
раничивает, сужает пространство поиска.
384
М о д у л ь 9. М о д и ф и к а ц и я и разработка стратегии на основе ключевых к о м п е т е н ц и й
ф
29.2. Альтернативы текущей
стратегии
Для большинства существующих бизнесов отправной точ­
кой в генерировании альтернатив становится текущая (дейст­
вующая) стратегия. На рис. 2.58 показаны возможности для
расширения текущей стратегии бизнеса по составляющим мас­
1
штабов и облика . Приведенные альтернативы ставят целью
увеличение рыночной доли бизнеса как в сегменте конечных
потребителей, так и в каналах распределения посредством рас­
ширения текущих товарных серий, проникновения на сущест­
вующие или новые потребительские сегменты рынка.
Генерирование альтернатив облегчается, когда их разработ­
чики задают себе вопросы наподобие тех, что приведены на
рис. 2.58.
Расширение масштаба и изменение облика увеличивает до­
ход организации. Ту же задачу решает снижение издержек, аль­
тернативы которых формируются в процессе ответов на следу­
ющие вопросы.
• Может ли организация может снизить производственные
или операционные издержки? Можно ли увеличить загрузку
мощностей? Можно ли уменьшить величину отходов или вооб­
ще не иметь их?
• Насколько можно сократить затраты на сырье и другие
исходные ресурсы или контролировать их?
• Какими могут быть самые дешевые источники ресурсов, в
том числе и товары-заменители?
• Насколько целесообразно применение аутсорсинга в биз­
несе?
• Что необходимо изменить к лучшему в политике заку­
пок?
• Какие альтернативы можно предложить в области распре­
деления?
• Возможна ли экономия на масштабах деятельности?
• Как использовать связи с поставщиками и посредниками
Построено по:
[28, с. 399-401].
для снижения
издержек?
385

193.

Альтернативы совершенствования и обновления
х
Типовые вопросы
• Каковы запросы и желания нынешних потребителей?
В какой мере эти запросы и желания стабильны?
• Какими эти запросы и желания могут быть через дватри года или через пять лет?
• Каковы запросы и желания потребителей конкурентов?
Как эти запросы и желания меняются?
• Насколько они отличаются от запросов и желаний
нынешних потребителей?
• Каковы запросы и желания потребителей возможных
конкурентов? Насколько они отличаются от запросов
и желаний сегодняшних потребителей?
• Насколько легко потребителей можно отнести к четко
идентифицируемым сегментам, в основе которых лежат
типы покупательского поведения, объемы покупок,
демографические параметры или другие критерии?
• Каковы некоторые из основных трендов, наблюдаемых
в покупательском поведении потребителей?
• Какие возможные варианты действий можно предложить
на основе указанных запросов и желаний?
Каким образом компания может дифференцировать
себя (с учетом ответов, даже если они не очень полны
или нечетко выражены, на предыдущие вопросы) в
отношении ширины товарной серии; характеристик
продукции; функциональности; обслуживания; наличия
продукции; имиджа и репутации; продаж и отношений;
цены?
>
1
Изменение масштаба
Изменение облика
• Добавить новые товарные серии
• Расширить разнообразие моделей,
стилей и типов каждого вида
продукции по каждой товарной
серии компании
• Выйти на большее число
потребителей на существующих
рынках
• Получить большую долю покупок
от уже имеющихся потребителей по
прежним категориям продукции
Отыскать потребителей уже
существующих продуктов на новых
географических рынках
Проникнуть в новые каналы
распределения с уже
существующими видами продукции
• Повысить функциональность
продукции
• Добавить новые услуги, базируясь
на ключевом продукте
• Улучшить отношения со всеми
потребительскими группами
• Улучшить имидж и репутацию
компании и ее продукции
• Улучшить соотношение и ценности
с точки зрения потребителей
S
q

Р и с . 2.58. Альтернативы на основе текущей стратегии
о
3
о
-I
ш
3
В
s
л>
-I
м
( б NO
со
"О —,
5 £
1 ?
5 "
ш
5
Ф

194.

Ф
Ч А С Т Ь I I . Стратегический м е н е д ж м е н т : магистратура
2. «Диалектическое изучение» — использование групп для
представления наиболее различающихся точек зрения на рас­
сматриваемый вопрос. Отдельные участники сводятся в группы
так, чтобы неоднородности групп были выражены наиболее
явно (например, группа маркетологов, группа молодых менед­
жеров и т.д.). Группы разрабатывают альтернативы, а затем их
обсуждают. Важный аспект такого процесса — идентификация
базовых допущений.
Генерирование сценариев представляет собой процесс, поз­
воляющий предвидеть будущее и получить детальные альтерна­
тивные картины перемен. Менеджеры оценивают, каким может
быть будущее и почему может произойти такой вариант разви­
тия событий. Как правило, сразу создается три альтернативных
картины будущего: оптимистическая, пессимистическая и про­
межуточная. Сценарии позволяют бизнесу развиваться, оттал­
киваясь от будущего, и создают атмосферу творчества.
Моделирование основано на использовании математичес­
ких (компьютерных) моделей, позволяющих тестировать мно­
жество вариантов при разных значениях исходных перемен­
ных.
Мозговой штурм, с одной стороны, обеспечивает раскрепо­
щение участников процесса генерирования альтернатив, а с
другой — позволяет в течение короткого времени наработать
большое число креативных альтернатив.
Сложные адаптивные системы и теория хаоса объясняют
появление неожиданных событий и поведение внешней среды,
которая в значительной степени определяет стратегическое раз­
витие организации. А признание тезиса о том, что каждая ор­
ганизация есть комплексная адаптивная система, которая долж­
на жить «близко к краю хаоса», побуждает менеджеров не
только соглашаться с неизбежностью изменений, но и усердно
работать над самыми разными гранями внутренней культуры,
умело разрешать конфликты, связанные с возникающими си­
туациями, недостатком единства и отсутствием консенсуса. Ге­
нерирование, выбор и реализация альтернатив разрушают су­
ществующий организационный порядок. В этом смысле успех
бизнеса зависит от того, насколько удается дестабилизировать
положение, существующее в организации, и обеспечить вслед
за этим порядок, ориентированный на реализацию альтерна­
тивы.
388
М о д у л ь 9. М о д и ф и к а ц и я и разработка стратегии на основе ключевых к о м п е т е н ц и й
ф
Системы поддержки групповой работы по формированию
альтернатив включают и базы данных, которыми могут вос­
пользоваться разработчики; и организацию работы проектных
групп и команд; и системы стимулирования всех желающих
принять участие в разработке альтернатив.
Процесс стратегического планирования фокусирует генери­
рование альтернатив на содержательной стороне «альтернатив­
ных бизнес-моделей», раскрывающих нюансы стратегических
альтернатив.
В процессе генерирования альтернатив роль топ-менеджеров
самая главная, но они часто готовы переложить весь процесс
разработки альтернатив на подчиненных, что создает проблемы
в процессе как выбора альтернатив, так и их последующей ре­
ализации. Иногда у первых лиц не хватает не только времени
на участие в этом процессе, но и необходимой квалификации.
От топ-менеджеров зависит и обеспечение необходимыми ре­
сурсами самого процесса генерирования альтернатив, и фор­
мирование альтернативных (и даже внештатных) команд по
разработке альтернатив, и своевременная поддержка и иденти­
фикация стратегических альтернатив развития бизнеса.
Обратная связь
в системе принятия решений
ТЕМА 3 0 .
Зол. Обратная связь и система показателей
Известно, что мы все учимся на ошибках с помощью тех­
ники обратной связи. Мы постоянно получаем обратную связь
независимо от того, думаем мы о ней или нет. Без обратной
связи мы бы никогда не узнали, как в жизни приспособиться
так, чтобы достичь желаемых целей.
Когда мы молчим, то даем людям неверную обратную связь,
потому что люди не видят негативных последствий своих по­
ступков; они продолжают верить в то, что поступают так, как
надо, и не сомневаются в правильности своих убеждений.
Обратной связью называют любые сигналы реакции на то,
что мы делаем. Например, когда руководитель проверяет рабо­
ту исполнителя, то последний получает не просто формальную
обратную связь. Это могут быть незначительные сигналы, и мы
389

195.

ф
Ч А С Т Ь I I . Стратегический м е н е д ж м е н т : магистратура
М о д у л ь 9. М о д и ф и к а ц и я и разработка стратегии на основе ключевых компетенций
необязательно сознательно обращаем на них внимание. Эти
сигналы выбирает наше подсознание и приспосабливает к на­
шему мышлению, поведению и поступкам, обеспечивая их эф­
фективность.
Система оценки эффективности включает критерии, кото­
рые позволяют оценить эффективность действий, выполняемых
в рамках намеченного плана, — сравнить фактические резуль­
таты с запланированной целью. К таким критериям следует
отнести опережающие, текущие и запаздывающие критерии,
суть которых заключается в следующем.
Опережающие критерии позволяют оценить, соответствует
ли заданным требованиям будущего периода демонстрируемый
в настоящий момент результат реализации решения.
Текущие критерии относятся к категории реального времени
и оценивают параметры текущего результата. Они включают
итоговые показатели — фактические расходы, степень удовлет­
воренности работников и клиентов или скорость принятия те­
кущих решений.
Запаздывающие критерии оценивают влияние реализации
решения на показатели деятельности организации. В их число
входят, например, относительная эффективность, рентабель­
ность капитала, доля на рынке и биржевая стоимость акций.
Но эффективно управлять можно только тем, что организа­
ция способна измерить. До тех пор пока какой-то момент де­
ятельности не измеряется, на него не обращают внимания, и
его невозможно адекватно контролировать. Измерить означает
определить количественно. Соответственно процесс оценки за­
ключается в последовательности, представленной на рис. 2.60.
Коррекция должна проводиться как в отношении отклоне­
ний в фактической реализации решения от плана, так и в
отношении адекватности плана изменений новым условиям ре­
ализации решения. Цикл корректирующих воздействий повто­
ряется. Его можно понимать как непрерывную адаптацию и
улучшение соответствующих адаптационных способностей. От­
метим, что при управлении реализацией решений особенно
Определение
показателей
Изменение

Анализ
Коррекция
Рис. 2.6о. Последовательность процедур управления
390
ф
жестко следует контролировать своевременность изменений и
затраты, с ними связанные, для чего следует использовать пла­
ны-графики реализации решений.
Специальным инструментом, способным измерить степень
успешности достижения поставленной цели, можно считать
сбалансированную систему показателей. Сущность системы за­
ключается в раскрытии четырех ключевых аспектов:
• финансовая деятельность;
• отношения с потребителями;
• организация бизнес-процессов;
• обучение и развитие.
Для финансового аспекта характерны рост выручки, управ­
ление затратами, использование активов и др.
Потребительский аспект характеризуют такие группы пока­
зателей, как доля рынка, прибыльность потребителей, удовлет­
ворение потребителей, способность заинтересовать потребите­
лей, характеристика товаров и/или услуг, имидж организации
и др.
Общими показателями оценки эффективности бизнес-про­
цессов являются выгоды доминирующей позиции организации
на рынке.
К показателям, характеризующим аспект обучения и роста,
относятся организационное окружение, показатели коммуника­
ции и информации, мотивации и проч.
С помощью определения четырех основных аспектов де­
ятельности организация получает возможность контролировать
влияние текущих операций на ее перспективы.
Определенную сложность представляет задача выявления
причинно-следственных связей и согласования показателей
выбранных аспектов деятельности между собой. Показатели,
отобранные для оценки положения в различных аспектах де­
ятельности, должны не только отражать прогресс организации
в конкретной области, но и обеспечивать реализацию принятых
решений.
Приведенные далее показатели заимствованы из опыта де­
ятельности многих компаний, а также из опубликованных на­
учных работ, посвященных стратегическим картам.
Финансовый аспект является одной из ключевых составля­
ющих сбалансированных карт, так как с их помощью менед­
жеры определяют наиболее эффективные направления дея­
тельности и перераспределяют внутренние ресурсы в цельях
391

196.

ф Ч А С Т Ь 11. Стратегический м е н е д ж м е н т : магистратура
М о д у л ь 9. М о д и ф и к а ц и я и разработка стратегии на основе ключевых компетенций
увеличения финансовых результатов и повышения ценности
бизнеса.
Выделяют три основных направления, отражающих финан­
совый аспект:
• рост выручки;
• управление затратами;
• использование активов.
Потребители. Аспект отношения с потребителями включает
восприятие организации потребителями с позиций качествен­
ного сервиса, положительной репутации организации в целом
и ее отдельных продуктов. Примерные показатели, характери­
зующие потребительский аспект для каждого сегмента бизнеса,
обобщены в табл. 2.32.
Внутренние бизнес-процессы. После выявления ключевых
бизнес-процессов разрабатываются показатели их эффектив­
ности. Наиболее общими показателями оценки эффективности
бизнес-процессов являются:
• оборачиваемость материальных запасов;
• рост производительности труда;
• средняя трудоемкость изделия;
• современность технологического процесса;
• средняя трудоемкость отдельных технологических опера­
ций;
• число качественно выполненных заказов;
• уровень НИОКР и инноваций;
• средний срок разработки новых видов продукции;
• удельный вес административных расходов в общем объеме
выручки;
• среднее время принятия решения;
• затраты на исправление ошибочных управленческих ре­
шений в общей сумме административных затрат и т.п.
Аспект обучения и развития. Здесь необходимо отражать по­
казатели, с помощью которых менеджеры планируют увели­
чивать создаваемую для потребителей ценность за счет со­
вершенствования организационной структуры компании, ее
продуктов или услуг, а также бизнес-процессов. К ним можно
отнести:
• распространение среди сотрудников наиболее ценного
опыта работы;
• инвестиции в подготовку персонала;
• инвестиции в исследования и разработки;
• количество рационализаторских предложений на одного
работника;
• собственность на ноу-хау;
• уровень оплаты труда;
• признания и поощрения;
• социальные гарантии;
• индекс удовлетворенности работников и др.
392
Таблица 3.32
Показатели, характеризующие потребительский аспект
Группа показателей
Перечень примерных показателей
Доля рынка
Доля рынка, которую обслуживает предприятие;
доля товаров и услуг предприятия на данном
рынке;
1
доля специализированного сектора
Прибыльность потре­
бителей
Общая прибыль в данном сегменте;
общая прибыль в расчете на одного потребителя;
суммарные затраты в расчете на одного потреби­
теля;
прибыль на вложенные активы
Удовлетворение потре­
бителей
Количество претензий;
количество благодарных отзывов
Способность удержи­
вать потребителей
Создание собственного круга клиентов;
контакты с постоянными покупателями;
увеличение количества заказов;
количество отмененных заказов;
предоставление гарантий
Способность заинтере­
совать потребителей
Количество новых потребителей и объем приоб­
ретаемых ими товаров и услуг;
средние затраты на привлечение потребителей;
приемы стимулирования клиента к совершению
сделки
Характеристика това­
ров и/или услуг
Уникальные свойства товаров и/или услуг;
функциональность; качество;
цена (маржинальная прибыль);
своевременность поставок
Имидж предприятия
Стили продажи;
личные качества менеджера по продажам;
эффективное реагирование на критику клиента
1
Специализированный сектор необходимо рассматривать более при­
стально, так как в нем может наблюдаться диктат со стороны потребителя.
393

197.

ф
Ч А С Т Ь 11. Стратегический м е н е д ж м е н т : магистратура
В состав показателей эффективности решений также могут
быть включены:
— своевременность представления проекта решения;
— степень научной обоснованности решений;
— многовариантность расчетов;
— применение технических средств;
— ориентация на использование прогрессивного опыта;
— расходы, связанные с разработкой проектов решений;
— численность занятых в разработке решений;
— стоимость и сроки реализации проекта;
— число соисполнителей на этапе разработки решений;
— использование консультантов в разработке вариантов ре­
шений;
— степень риска в реализации решений и др.
30.2. Контроль как фактор оценки
реализации решения
Любые начатые действия необходимо контролировать. При
отклонении от плана может потребоваться незамедлительное
принятие корректирующих решений.
Контроль — это одна из основных функций управления, пред­
ставляющая собой процесс обеспечения реализации принятых ре­
шений. При помощи контроля определяют правильность приня­
тых решений и устанавливают потребность в их корректировке.
Процесс контроля, с одной стороны, это процесс отслежива­
ния хода выполнения принятых управленческих решений и
оценки достигнутых результатов в ходе их выполнения. С другой
стороны — это процесс установления стандартов, измерения
фактически достигнутых результатов и их отклонения от уста­
новленных стандартов. Именно результаты контроля являются
основанием для того, чтобы корректировать ранее принятые ре­
шения, если отклонения в ходе их реализации значительны.
Основная причина необходимости контроля — это неопре­
деленность, являющаяся неотъемлемым элементом будущего и
присущая любому решению, выполнение которого предполага­
ется в будущем.
Отсутствие надежной системы контроля и, как следствие,
эффективной обратной связи может привести к кризисной си­
туации. Если принятое решение оказалось недостаточно эф­
фективным или ошибочным, то именно хорошо отлаженная
394
М о д у л ь 9. М о д и ф и к а ц и я и разработка стратегии на основе ключевых компетенций
ф
система контроля может позволить своевременно это устано­
вить и внести коррективы в действия организации. Хорошо
отлаженная система контроля своевременно выявляет вновь
возникшие проблемы.
В организации может вестись непрерывный контроль над
реализацией принятых решений, но чаще всего в контроле вы­
деляют его входные, текущие и заключительные компоненты.
Мониторинг хода выполнения плана помогает определить,
соответствуют ли получаемые результаты требованиям плана, и
если нет, то почему. После этого может быть принято решение
о том, что необходимо сделать, чтобы действия пошли по пла­
ну. Анализ всех достигнутых результатов после выполнения
значительной части плана покажет, насколько близка конечная
цель. Большие расхождения свидетельствуют о том, что план не
соответствует цели и должен быть пересмотрен.
Нормы функционирования устанавливают в ходе составле­
ния плана. На этапе организации контроля выделяют точки
наблюдения — индикаторы отклонения поведения объекта
контроля от нормы функционирования.
Принятие корректирующих мер может потребовать исполь­
зования соответствующих контрмер, заложенных в плане, или
незапланированных действий для решения непредвиденных
проблем. Например, если при выполнении одного задания
было потеряно время, то может потребоваться делать другие
задания быстрее, чем планировалось, чтобы уложиться в срок.
Мелкие проблемы, вероятность повторного возникновения ко­
торых очень мала, как правило, не требуют никаких действий.
Крупные ошибки в плане могут привести к необходимости
прекратить его выполнение, если невозможно принять соот­
ветствующие корректирующие меры.
Эти три процесса необходимо поддерживать вплоть до за­
вершения выполнения плана.
После того как решение реализовано, важно измерить и
проанализировать его успешность. Анализ покажет, насколько
эффективным является решение и насколько полезным оно бу­
дет для преодоления похожих проблем в будущем. Процесс
анализа состоит из трех этапов.
1. Измерение успеха. В самом начале процесса решения про­
блемы выявлена цель, которую желательно достичь, и она оп­
ределена в измеримых величинах. Теперь нужно сравнить
полученные величины с планируемыми. Иногда бывает необ­
ходимо регулярно измерять результаты в течение определенно395

198.

i§| Ч А С Т Ь I I . Стратегический м е н е д ж м е н т : магистратура
М о д у л ь 9. М о д и ф и к а ц и я и разработка стратегии на основе ключевых компетенций
го периода времени, чтобы увидеть, сохраняются ли перво­
начальные результаты. Например, когда новизна системы
исчезает, нужно знать, продолжают ли люди использовать ее
эффективно. Изменения в эффективности решения также мо­
гут произойти при изменении цели, так как на быстро разви­
вающемся рынке продукт недолго остается «новым».
2. Анализ расхождений. Если результат «недотягивает» до
прогноза или превосходит его, вам нужно знать причину. Мож­
но принять дальнейшие меры для преодоления недостатков в
результатах. Если результаты превзошли ожидания и понятна
причина этого, то можно использовать эти знания для дальней­
шего улучшения результатов. Определение причины расхожде­
ний может также дать представление о сильных и слабых сто­
ронах в решении проблем.
3. Принятие дальнейших мер. Такие меры обычно требуются
по ряду причин. Первоначальные результаты могут оказаться
неадекватными: или их нельзя поддерживать без вмешатель­
ства, или планка цели была смещена и результаты не соответ­
ствуют новым целям. Чтобы решить, какие дальнейшие дей­
ствия потребуется, нужно определить новые цели и все связанные
с ними препятствия: так появится новая проблема, которую
предстоит решить, и процесс можно будет начать сначала.
Обратная связь позволяет понять, устранено ли препятствие,
мешающее достижению целей системы, — решена ли проблема.
Принцип обратной связи Н. Винер называл душой кибер­
нетики (науки об управлении) и понимал под обратной связью
канал для передачи информации от управляемого объекта (с
его выходов) к управляющему. В этом смысле принцип обратной
связи есть принцип коррекции входных воздействий в процессе
управления, сам канал образует замкнутый контур под назва­
нием контур обратной связи, изображенный на рисунке пунк­
тирной линией.
Но системное мышление не линейно, оно не идет по прямой,
оно имеет дело с циклами, петлями, контурами. Это происходит,
когда система возвращает информацию о результатах этапа на
свой вход для того, чтобы оказать влияние на следующий шаг.
Обычно выделяют два основных типа обратной связи: поло­
жительную и отрицательную, хотя корректнее говорить об уси­
ливающей и уравновешивающей обратной связи.
Усиливающая обратная связь возникает, когда изменение
выхода системы, возвращаясь на ее вход, усиливает первона­
чальные изменения в том же направлении. В результате систе­
ма удаляется от первоначального состояния со всевозрастаю-
30.3. Контур обратной связи
Функционирование системы как единого целого обеспечива­
ется с в я з я м и между элементами. Связь в данном случае рас­
сматривается как акт переноса материальных, энергетических
или информационных компонентов из одного объекта в другой.
Связи делятся на внутренние, когда такой перенос компо­
нентов происходит между элементами системы, и внешние, ког­
да выход одной системы становится входом в другую. Такую
связь принято называть прямой связью. Прямая связь обеспе­
чивает передачу воздействия, информации с выхода одного
элемента на вход другого, а обратная связь — с выхода неко­
торого элемента на вход того же элемента. Обратная связь яв­
ляется основой саморегуляции, развития систем, приспособле­
ния их к изменяющимся условиям существования.
В случае решения проблемы речь может идти о связи меж­
ду этапом реализации решения и началом процесса принятия
решения — этапом формулирования проблемы (рис. 2.61).
396
Определение проблемы
(постановка задачи)
I
Выявление целей
Формулирование критериев
Генерирование альтернативных
вариантов р е ш е н и я
— t —
Выбор р е ш е н и я
Реализация р е ш е н и я
Р и с . 2.61. Обратная связь в решении проблем
397
fjl

199.

ф
Ч А С Т Ь I I . Стратегический м е н е д ж м е н т : магистратура
М о д у л ь 9. М о д и ф и к а ц и я и р а з р а б о т к а стратегии на основе ключевых компетенций
щей скоростью. Такой тип обратной связи может приводить к
экспоненциальному росту.
В расматриваемом случае речь идет о тактических решени­
ях, направленных на корректировку реализуемых стратегичес­
ких решений.
Уравновешивающая обратная связь проявляется, когда изме­
нение состояния системы служит сигналом для противодействия
первоначальному изменению, чтобы восстановить утраченное
равновесие. Она служит уменьшению действия, которое ее акти­
вирует. Уравновешивающая обратная связь поддерживает ста­
бильность системы и сопротивляется попыткам ее изменить.
Следует помнить о том, что у всех систем есть цель (как не
существующее, но желаемое состояние системы). И пока сохра­
няется различие между действительным и желаемым состояни­
ями системы, уравновешивающая обратная связь будет сдвигать
систему в направлении желаемого состояния. Она смещает сис­
тему к ее цели.
Применительно к решению проблем подобный контур об­
ратной связи характерен для решения оперативных задач, на­
правленных на преодоление текущих проблем.
Наряду с двумя обозначенными контурами обратной связи
представляет интерес упреждающая обратная связь. Она прояв­
ляется в том случае, когда предвидение (или прогноз будущего)
влияет на настоящее таким образом, что оборачивается само­
сбывающимся пророчеством в достижении амбициозных целей.
В таком случае речь идет о стратегических решениях про­
блем, инструментом реализации которых выступает сбаланси­
рованная система показателей.
6
7. На чем основано построение схемы учетной ведомости при соз­
дании ценностей?
8. Сочетание каких элементов содержит компетенция как научная
категория?
9. В чем состоят факторы утраты ключевых компетенций?
ю. Назовите пять задач управления ключевыми компетенциями.
Тема
Тема
Контрольные вопросы по модулю 9
Тема
28
1. Назовите аспекты ресурсов и компетенций бизнеса.
2. Прокомментируйте шаги создания стратегии на базе ключевых
компетенций.
3. Приведите примеры стратегических девизов компаний.
4. Как сочетаются области ключевых компетенций и сферы приме­
нения продуктов фирмы Casio?
5. Выделите уровни ключевых компетенций.
6. В чем заключается дихотомия
398
29
1. Чем вызвана типология стратегических альтернатив?
2. От чего зависят стратегические альтернативы?
3. Приведите примеры стратегических альтернатив.
4. Что можно предложить в качестве альтернатив для обеспечения
определения доли на рынке?
5. Что представляют собой альтернативы совершенствования?
6. Чем отличаются инновационные альтернативы?
7. Какие процедуры необходимо выполнить для выхода на геогра­
фические рынки?
8. Дайте общие рекомендации по формированию альтернатив.
9. Какими путями можно выработать альтернативы снижения из­
держек?
ю. Назовите процессы, поддерживающие выработку альтернатив­
ной стратегии.
v
30
1. Что называют обратной связью с позиций теории систем?
2. Какова роль обратной связи в принятии решений?
3. Что включает в себя система оценки эффективности реализации
стратегии?
4. Какие критерии оценки эффективности следует отнести к запаз­
дывающим?
5. Что включает в себя процесс оценки и корректировки решений?
6. Перечислите виды контроля.
7. Назовите группу показателей потребительского рынка.
8. Что может быть включено в состав показателей эффективности
решений?
9. Перечислите три основных этапа оценки успешности реализации
решений.
1 0 . Что представляет собой контур обратной связи?
ф

200.

Подводя итоги изучения курса
Подводя итоги
изучения курса
Полученные умения действовать, принимая стратегические реше­
ния, магистранты должны затем продемонстрировать в выпускной ра­
боте — магистерской диссертации.
1
Диссертации пишутся с давних пор для получения ученых степеней
и содержат научные положения, доказывающие что-либо.
Еще в 1 8 0 3 г. императорским указом в России введены три ученые
степени: кандидат, магистр и доктор наук. Для получения каждой из
этих ученых степеней устанавливались устные и письменные экзамены,
после чего на заседании факультета публично защищалась диссерта­
ция, с обязательным выступлением вначале одного, а год спустя — уже
трех официальных оппонентов.
По научному уровню степени располагаются следующим образом:
магистр — кандидат — доктор наук.
Цель диссертации — выявление новых фактов и закономерностей
или же уточнение известных ранее, но плохо изученных. Систематиза­
ция новых фактов позволяет получить новую информацию. На основа­
нии этого формулируются выводы и разрабатываются рекомендации.
Соискатель степени выстраивает по своему усмотрению получен­
ные им научные факты и доказывает научную и практическую значи­
мость выдвинутых им научных положений, приводит аргументы в их
пользу, анализируя различные подходы и точки зрения, противореча­
щие выдвинутым им положениям.
В диссертации аспиранта и докторанта содержится научный резуль­
тат, т.е. неизвестное ранее знание, а в магистерской работе — решение,
полученное на основе или в рамках установленных ранее знаний или
закономерностей. В этом их принципиальное отличие.
При написании диссертации важно не сместить акцент в сторону
монографического содержания, поскольку диссертация представляет
собой описание научных результатов, полученных лично автором, а
жанр монографии предполагает описание не всегда новых (известных)
1
Диссертация (от лат. dissertatio) означает рассуждение, исследова­
ние, научное сочинение.
400
ф
результатов по исследуемому вопросу как автором монографии, так и
другими исследователями.
Особой разновидностью диссертаций является магистерская дис­
1
сертация . Здесь следует отметить, что степень магистра не ученая, а
академическая, она предшествует степени кандидата наук и характери­
зует квалификацию соискателя, его умение как начинающего научного
работника. В отличие от кандидатской и докторской диссертаций, здесь
не требуется обязательных публикаций в научных изданиях, не требу­
ется автореферат и не назначаются официальные оппоненты. При за­
щите представляется только диссертационная работа, отзыв научного
руководителя и внешняя рецензия.
Магистерская диссертация представляет собой выпускную квали­
фикационную работу научного содержания, выполняемую магистран­
том самостоятельно под руководством научного руководителя на за­
вершающей стадии обучения в рамках образовательной программы
подготовки.
Магистерская диссертация относится к разряду учебно-исследова­
тельских работ, ее научный уровень должен отвечать соответствующей
программе обучения.
Магистерская диссертация должна отличаться от дипломной рабо­
ты специалиста своей научной направленностью.
Формула магистерской диссертации — квалификационная работа
начинающего научного работника или преподавателя.
1
Общие требования к ней определены еще в «Положении о магис­
терской подготовке (магистратуре) в системе многоуровневого высшего
образования Российской Федерации», утвержденном постановлением Гос­
комвуза России от 10.08.1993 г. № 42.
14 Стратегический менеджмент

201.

Рекомендуемая литература
Рекомендуемая
литература
1. Аакер Д.А. Бизнес-стратегия: от измерения рыночной среды до
выработки беспроигрышных решений. — М.: Эксмо, 2007. — 464 с.
2. Аакер Д.А. Стратегическое рыночное управление. — СПб.: Пи­
тер, 2002. — 544 с.
3. Андерсен Б. Бизнес-процессы. Инструменты совершенствова­
ния. — М.: Стандарты и качество, 2005. — 272 с.
-V
4. Ансофф И. Новая корпоративная стратегия. — СПб: Питер,
1999. - 416 с.
5. Ансофф И. Стратегическое управление: Сокр. пер. с англ. / Науч.
ред. и авт. предисл. Л.И. Евенко. — М: Экономика, 1989.
6. Боумен К. Основы стратегического менеджмента / Пер. с англ.
под ред. Л.Г. Зайцева, И.М. Соколовой. — М.: Банки и биржи; ЮНИТИ, 1997. - 177 с.
*,;
j
7. Виссема X. Стратегический менеджмент и предпринимательство:
I
возможности для будущего процветания / Пер. с англ. — М.: Фин-
I
пресс, 2000. - 272 с.
8. Виханский О. С. Стратегическое управление: учебник. — 2-е изд.,
перераб. и доп. — М.: Гардарика, 1998. — 296 с.
9. Гапоненко А.Л. Стратегия социально-экономического развития:
страна, регион, город: учеб. пособие. — М.: РАГС, 2001. — 224 с.
10. Гаррет Б., Дюссож П. Стратегические альянсы: Пер. с англ. —
М.: ИНФРА-М. 2002. - 332 с.
11. Гертман М. Стратегический менеджмент / Пер. с фр. под ред.
Д.О. Ямпольской. — СПб.: Изд. дом «Нева», 2003. — 96 с.
12. Грэттон Линда. Живая стратегия: как поместить людей в центр
решения корпоративных задач / Пер. с англ. — Днепропетровск: Ба­
ланс-Клуб, 2003. - 280 с.
13. Дженстер П., Хасси Д. Анализ сильных и слабых сторон ком­
пании: определение стратегических возможностей: Пер. с англ. — М.:
Вильяме, 2003. — 368 с.
14. Джини Д. Д. Монстр перемен. Причины успеха и провала ор­
ганизационных преобразований. — М.: Альпина Паблишер, 2003. —
15. Джон Мидлтон. Библиотека избранных трудов о стратегии биз­
неса. Пятьдесят наиболее влиятельных идей всех времен / Пер. с
англ. — М.: ЗАО «Олимп-Бизнес», 2006. — 272 с.
16. Диксон П. Бизнес-тренды: Стратегическое моделирование бу­
дущего. — М.: Эксмо, 2005. — 480 с.
17. Дойль П. Менеджмент: стратегия и тактика / Пер. с англ. под
ред. Ю.Н. Каптуревского. — СПб.: Питер, 1999. — 560 с.
18. Ефремов B.C. Стратегия бизнеса. Концепции и методы плани­
рования. — М.: Финпресс, 1998. — 192 с.
19. Зуб А.Т., Локтионов М.В. Системный стратегический менедж­
мент: методология и практика. — М.: Генезис, 2001. — 752 с.
20. Каплан Р. С, Нортон Д.П. Организация, ориентированная на
стратегию. Как в новой бизнес-среде преуспевают организации, при­
меняющие сбалансированную систему показателей / Пер. с англ. —
М.: ЗАО «Олимп-бизнес», 2004. — 416 с.
21. Каплан Р.С., Нортон Д. П. Сбалансированная система показате­
лей. От стратегии к действию. — 2-е изд., испр. и доп. / Пер. с англ. —
М.: ЗАО «Олимп-Бизнес», 2003. 320 с.
22. Кемпбэл Э., Саммерс Даче К. Стратегический синергизм,
2-е изд. — СПб.: Питер, 2004. - 416 с.
23. Кныш М.И., Пучков В.В., Тютиков Ю.П. Стратегическое управ­
ление корпорациями. — СПб.: КультИнформПресс, 2002. — 240 с.
24. Ковени М. Стратегический разрыв: Технология воплощения
корпоративной стратегии в жизнь Пер. с англ. / Макл Новени, Денис
Гэнстер, Брайан Хартлен, Дейв Кинг. — М.: Альпина Бизнес Букс,
2004. - 232 с.
25. Коленсо М. Стратегия кайзен для успешных организационных
перемен: Пер. с англ. — М.: Инфра-М, 2002. — 175 с.
26. Котлер Ф., Армстронг Г., Сондерс Д., Вонг В. Основы маркетин­
га: Пер. с англ. — 2-е европ. изд. — М.; СПб.; К.; Изд. дом «Вильяме»,
2001. - 944 с.
27. Кох Р. Стратегия / Р. Кох; пер. с англ. — М.: Эксмо, 2007. —
224 с.
28. Курс МВА по стратегическому менеджменту. — М.: Альпина
Паблишер, 2003. — 596 с.
29. Лапыгин Ю.Н. Методы стратегического менеджмента. — М.:
МЭСИ, 2006. - 142 с.
30. Лапыгин Ю.Н. Стратегический менеджмент. — М.: Инфра-М,
2006. - 245 с.
31. Лапыгин Ю.Н, Лапыгин Д.Ю., Лачишна Т.А. Стратегическое
развитие организации. — М.: КНОРУС, 2005. — 288 с.
32. Мащенко В.Е. Системное корпоративное управление. — М.:
Сирин, 2003. - 251 с.
33. Межсекторное стратегическое партнерство / Под ред. Ю.Н.
Лапыгина. — Владимир: ВГПУ, ВлГУ, 2005. — 202 с.
320 с.
402
ф
14'
403

202.

ф
Рекомендуемая
литература
34. Минцберг Г., Альстрэнд Б., Лэмпел Дж. Школы стратегий / Пер.
с англ. под ред. Ю.Н. Каптуревского. — СПб.: Питер, 2000. — 336 с.
35. Минцберг Г., Кушн Дж. Б., Гошал С. Стратегический процесс /
Пер. с англ. под ред. Ю.Н. Каптуревского. — СПб.: Питер, 2001. —
688 с.
36. О'Кифф Дж. Бизнес-прорыв. Восемь стратегий достижения
выдающихся практических результатов / Пер. с англ. — М.: Эксмо,
2005. - 256 с.
37. Ольве Н.-Г., Рой Ж., Ветер М. Оценка эффективности деятель­
ности компании. Практическое руководство по использованию сба­
лансированной системы показателей: Пер. с англ. — М.: Вильяме.
2003. - 304 с.
38. Омае К. Мышление стратега: Искусство бизнеса по-японски /
Кеничи Омае; Пер. с англ. — М.: Альпина Бизнес Букс, 2007. —
215 с.
39. Панов А.И., Коробейников И.О. Стратегический менеджмент:
учеб. пособие для вузов. — 2-е изд., перераб. и доп. — М.: ЮНИТИДАНА, 2004. - 285 с.
40. Портер М., Э. Конкуренция: учеб. пособие / Пер. с англ. — М.:
Вильяме, 2001. - 495 с.
41. Семь нот менеджмента. Настольная книга руководителя. — М.:
Изд-во Эксмо, 2005. — 832 с.
42. Стратегический менеджмент: Учебник / Пер. с англ. Н.И. Алмазовой. — М.: ООО «Издательство Проспект», 2003. — 336 с.
43. Стратегическое сотрудничество: Креативный бизнес-курс /
Стивен Кардел. — Пер. с англ. Т. Ткаченко. — М.: ФАИР-ПРЕСС,
2005. - 256 с.
44. Стратегия развития муниципалитета. — М.: ЮРКНИГА,
2003. - 256 с.
45. Стратегия. Как создавать и использовать эффективную страте­
гию. 2-е изд./ Р. Кох. — СПб.: Питер, 2003. — 320 с.
46. Томпсон А.А., Стрикленд А.Дж. Стратегический менеджмент.
Концепции и ситуации для анализа. — М.: Вильяме, 2007. — 928 с.
47. Хамел Г., Прахалад К. К. Конкурируя за будущее. Создание
рынков завтрашнего дня / Пер. с англ. — М.: ЗАО «Олимп-Бизнес»,
2002. - 288 с.
48. ХоринА.Н. Стратегический анализ: учеб. пособие / А.Н. Хорин,
В.Э. Керимов. — М.: Эксмо, 2006. — 288 с.
Приложен и

203.

Приложение i
Матрица решений, основанных на результатах SWOT-анализа
Возможности
1. Близость Москвы увеличи­
вает возможность привлече­
ния инвестиций
2. Равномерное распределение
поселков и городов по терри­
тории области позволяет
обеспечить сбалансированное
пространственное развитие
области
3. Прорывные решения в тех­
нологиях (например, биотех­
нологии в пос. Юрьевец и
пос. Вольгинский) создают
возможность развития
1. Развитая транс­
портная инфра­
структура
1.1. Привлечь инвестиции
Москвы для создания сети
логистических терминалов
1.2. За счет обустройства ка­
пиллярной транспортной ин­
фраструктуры развивать тер­
риторию области
1.3. Программа переоснаще­
ния транспортной инфра­
структуры на основе совре­
менных технологий
2. Большие запасы
питьевой воды
2.1. Привлечь инвестиции
Москвы для создания класте­
ра «Питьевая вода»
2.2. Включить в кластер «Пи­
тьевая вода» малые населен­
ные пункты области
2.3. В кластере «Питьевая
вода» использовать современ­
ные технологии по упаковке,
очистке и активации воды
3. Сельское хозяй­
ство и перерабаты­
вающие предпри­
ятия устойчиво ра­
ботают
3.1. Привлечь инвестиции
Москвы для формирования
сельскохозяйственных класте­
ров и переработки их продук­
ции
3.2. Включить малые населен­
ные пункты в сельскохозяй­
ственные и перерабатываю­
щие кластеры
3. Включить ВНИИВВиМ,
ВНИИЗЖ, НИСХИ в сель­
скохозяйственный кластер и
ориентировать их лаборато­
рии на совместную деятель­
ность
Сильные стороны

204.

Продолжение приложения 1
Угрозы
1. Слабая связь науки — об­
разования — бизнеса создает
угрозу отставания от конку­
рентов
2. Слабые саморегулируемые
организации не обеспечивают
формирование системы само­
управления профессиональ­
ных сообществ
3. Предпринимательские рис­
ки высоки, что сдерживает
развитие малого бизнеса
1. Дефицит квали­
фицированных ра­
бочих кадров сдер­
живает развитие
1.1. Создать образовательный
кластер, ориентированный
в том числе на подготовку
рабочих кадров высокой ква­
лификации
1.2. Создать лигу лучших по
профессии рабочих области,
знания и опыт которых сде­
лать доступными для профес­
сиональных сообществ
1.3. В структуре технопарка
предусмотреть сектор венчур­
ного бизнеса, укомплектован­
ного квалифицированными
рабочими
2. Низкий уровень
конкурентоспособ­
ности продукции
предприятий сокра­
щает ВРП
2.1. В рамках образовательно­
го кластера создать техно­
парк, обеспечивающий под­
держку венчурного бизнеса, и
решить различные проблемы
предприятий области
2.2. Создать отраслевые и
многоотраслевые кластеры,
обеспечивающие самооргани­
зацию отраслей в области
2.3. Научно-образовательному
кластеру обеспечить диагнос­
тику предприятий области и
формирование проектных
команд по разработке новой
продукции, доводке техноло­
гии и внедрении на предпри­
ятиях
3. Низкая произво­
дительность труда
не позволяет кон­
курировать на рын­
ке товаров и услуг
3.1. В рамках технопарка соз­
дать программу повышения
производительности труда на
предприятиях региона
3.2. В научно-образователь­
ном кластере создать базу
данных технических, органи­
зационных и социальных ре­
шений, направленных на по­
вышение производительности
труда
3.3. Предоставлять предпри­
нимателям в рамках техно­
парка услуги по старту бизне­
са как в части обучения, так
и в части юридического, тех­
нологического и иного сопро­
вождения
Слабые стороны
Окончание приложения 1
Угрозы
Сильные стороны
1. Слабая связь науки — об­
разования — бизнеса создает
угрозу отставания от конку­
рентов
2. Слабые саморегулируемые
организации не обеспечивают
формирование системы само­
управления профессиональ­
ных сообществ
3. Предпринимательские рис­
ки высоки, что сдерживает
развитие малого бизнеса
1. Развитая транс­
портная инфра­
структура
1.1. Образовательному класте­
ру области создать профиль­
ные кафедры при ведущих
предприятиях городов
1.2. Поддержать инициативу
по созданию сети саморегу­
лируемых организаций облас­
ти по профессиональному
признаку и объединению их в
союз СРО
1.3. Стимулировать создание
предприятий малого бизнеса,
включенных в транспортную
инфраструктуру
2. Большие запасы
питьевой воды
2.1. Подключить образова­
тельный кластер области к
созданию кластера «Питьевая
вода»
2.2. Поддержать инициативу
жителей области по созданию
саморегулируемой организа­
ции «Живая вода»
2.3. Инициировать население
на создание ИП, ООО и
ОАО и формирование класте­
ра «Питьевая вода»
3. Сельское хозяй­
ство и перерабаты­
вающие предпри­
ятия устойчиво ра­
ботают
3.1. Включить в кластер
ИПК и колледж по подготов­
ке кадров для сельского хо­
зяйства и переработки про­
дукции
3.2. Создать союзы фермер­
ских хозяйств, коллективных
хозяйств, ассоциацию пред­
приятий перерабатывающей
промышленности для самоуп­
равления в отрасли
3.3. Создать государственночастный фонд поддержки
предпринимательства в сель­
ском хозяйстве
^

205.

Приложениеi
Приложение 2
ОПРОСНИК
(Типовые
вопросы)
Отрасль
1. Каковы размеры рынка отрасли?
2. Каковы темпы роста рынка и стадия, на которой он находится?
3. Позволяют ли размеры организации оказывать влияние на рынок
отрасли?
4. Имеется ли потенциал роста отрасли?
5. Насколько стабилен спрос в отрасли?
6. Насколько велика конкуренция в отрасли?
7. Каковы чисто отраслевые проблемы на рынке?
8. Велики ли неопределенность и степень риска в отрасли?
9. В целом наблюдается рост или снижение прибыли в отрасли?
10. Внедряются ли новые продукты в отрасли?
11. Намечается ли переход от дифференцированных к стандартным
продуктам?
12. Как влияет изменение законодательства на отрасль?
13. Каковы число покупателей и их финансовые возможности?
14. Наблюдается ли в отрасли интеграция «вперед идущая интегра­
ция» «назад идущая интеграция»?
15. Каковы направления и темпы технологических изменений?
16. Являются ли продукты конкурентов высокодифференцированными или практически одинаковыми?
17. Имеют ли организации возможность осуществлять экономию на
масштабах производства, транспортировке, маркетинге или про­
ведении рекламы?
18. Осуществляются ли в отрасли необходимые капитальные вложе­
ния?
19. Имеет ли отрасль доходность выше или ниже среднего уровня
прибыли в целом?
20. Какова напряженность конкурентной борьбы в отрасли?
21. Каковы факторы, делающие отрасль привлекательной (непривле­
кательной)?
Ключевые факторы успеха
1. Какова степень обладания организации существующими техноло­
гиями?
2. Имеется ли у организации уникальная собственная технология?

щ
3. Есть ли у организации патенты на ее имя в части технических
решений, связанных с деятельностью организации?
4. Имеется ли у организации возможность разработки новых това­
ров?
5. Имеется ли у организации возможность инноваций в производ­
ственном процессе?
6. Есть ли у организации лучшие возможности производства?
7. Имеется ли у организации опыт разработки новых товаров?
8. Низка ли себестоимость выпускаемой организацией продукции?
9. Насколько высоко качество продукции?
10. Какова степень использования производственных мощностей?
11. Имеется ли у организации доступ к квалифицированной рабочей
силе?
12. Насколько высока производительность труда?
13. Имеется ли у организации возможность изготавливать большую
номенклатуру продукции?
14. Насколько велико разнообразие видов выпускаемой продукции?
15. Имеется ли у организации возможность выполнять заказы потре­
бителей?
16. Насколько широка сеть оптовых дистрибьюторов и дилеров?
17. Как широко представлена продукция организации в точках роз­
ничной торговли?
18. Есть ли у организации свои точки розничной торговли?
19. Насколько велики расходы организации, связанные с реализаци­
ей продукции?
20. Как быстро доставляется продукция заказчику (потребителю)?
21. Высока ли квалификация сотрудников, занимающихся реализа­
цией?
22. Насколько велико число ошибок при отправке и возвратов про­
дукции?
23. Насколько высоко искусство продаж организации?
24. Привлекательна ли упаковка реализуемой продукции?
25. Привлекателен ли дизайн самой продукции?
26. Получает ли покупатель продукции организации гарантии ее ка­
чества?
27. Имеет ли организация специалистов с большим опытом работы?
28. Насколько проверены кадры организации временем?
29. Нужен ли работникам организации особый талант и в чем он
заключается?
30. Имеются ли у организации ноу-хау в области контроля качества?
31. Насколько высока степень овладения работниками технологий
производства продукции организации?
32. Способна ли служба маркетинга создавать эффективную рекламу
продукции организации?
33. Как велико умение работников организации осваивать новые
виды продукции?
411

206.

ф
Приложение 2
ПРИЛОЖЕНИЯ
34. Достаточно ли компетенции у работников организации в це­
лом?
35. Насколько высок уровень обеспеченности информационными
системами?
36. Способна ли организация быстро реагировать на изменяющуюся
внешнюю ситуацию?
37. Насколько велики квалификация и опыт в менеджменте?
38. Высока ли репутация организации у потребителей продукции?
39. Может ли организация стать лидером по издержкам в своем сек­
торе рынка?
40. Насколько выгодно расположена организация территориально?
ф
22. Способна ли организация противостоять угрозе поглощения?
23. Приемлема ли сегодняшняя стратегия организации для данной
отрасли, если учесть влияние движущих сил?
24. Насколько действующая стратегия организации соответствует
ключевым факторам успеха отрасли в будущем?
25. Хорошую ли защиту против пяти конкурентных сил предлагает
существующая стратегия (особенно против тех, влияние которых
может усилиться)?
26. В каких ситуациях сегодняшняя стратегия не может соответству­
ющим образом защитить организацию от внешних угроз и внут­
ренних слабостей?
27. Каковы сильные и слабые стороны сегодняшней стратегии?
Характеристика действующей стратегии
1.
2.
3.
4.
5.
6.
7.
8.
9.
10.
11.
12.
13.
14.
15.
16.
17.
18.
19.
20.
21.
412
Какова доля организации на рынке?
Каков процент загрузки мощностей организации?
Какова динамика размера прибыли?
Растут ли продажи продукции организации быстрее, чем рынок
в целом?
Какова динамика кредитов организации?
Как можно охарактеризовать имидж организации в глазах потре­
бителей?
Является ли организация лидером в технологии (инновациях, ка­
честве)?
Каковы последние стратегические действия организации?
Каковы размеры и различия географических рынков продук­
ции?
В чем проявляется деловая активность организации?
Насколько позитивно реагирует организация на запросы обще­
ства и приоритеты?
Вступает ли организация в конфликт с регулирующими нормами?
Как организация поддерживает баланс между интересами работ­
ников (собственников) и общества в целом?
К чему стремится руководство организации?
Какова бизнес-философия организации?
Как относится к риску руководство организации?
Каковы этические воззрения менеджеров организации?
Перечислите традиции, легенды и мифы организации?
Каковы отношения между работниками организации?
Готова ли организация извлечь выгоду из благоприятной ситуа­
ции?
Насколько сильно положение организации в наиболее перспек­
тивных областях?
Конкурентная позиция
1. Насколько вертикально интегрирована организация: влияние на
поставщиков сырья и материалов, а также на дилеров продукции
организации?
2. Насколько широк ассортимент выпускаемой продукции?
3. Какие каналы распределения использует организация?
4. Каков набор сервисных услуг?
5. Как географически распределена деятельность организации?
6. Как соотносятся уровень цен и качество продукции по сравне­
нию с конкурентами?
7. Как можно оценить прочность конкурентной позиции организа­
ции?
8. Каковы перспективы изменения конкурентной позиции органи­
зации?
9. Какое место занимает организация среди конкурентов?
10. Есть ли у организации конкурентные преимущества и в чем они
выражаются?
11. Способна ли организация защищать свою конкурентную пози­
цию от товаров-заменителей, конкурентов существующих (и по­
являющихся вновь), напора потребителей и поставщиков?
12. Понятны ли организации действия конкурентов?
13. Насколько гибки действия конкурентов, их положение на рынке?
14. Насколько конкурентам необходимо закреплять свое финансовое
положение?
15. Ведет ли организация разведывательную деятельность, наблюде­
ние за конкурентами?
16. Растет или сокращается число потребителей на рынке?
17. Насколько дифференцированы товары на рынке?
18. Как изменились в последнее время затраты и производительность?
413

207.

#
Приложение г
ПРИЛОЖЕНИЯ
19. Может ли наступление одного или нескольких конкурентов по­
вредить организации (где и как)?
20. Имеет ли организация конкурентное преимущество или она
должна работать, чтобы преодолеть конкурентные недостатки?
21. Необходимы ли дополнительные действия, чтобы снизить издерж­
ки, извлечь выгоду из существующих возможностей, усилить кон­
курентное положение организации?
22. Есть ли ноу-хау во внутриорганизационном управлении?
23. Являются ли процедуры продаж продукции силой организации?
24. Отсутствие чего необходимого и важного можно считать слабо­
стью организации?
25. Что ставит организацию в неблагоприятные условия?
26. Есть ли у организации четкое направление развития, в чем оно
заключается?
27. Имеется ли у организации устаревшее оборудование (сколько
процентов примерно)?
28. Каковы три наиболее важные внутренние проблемы организа­
ции?
29. Есть ли у организации возможность обслуживать дополнитель­
ные группы клиентов или выйти на новые рынки?
30. Что мешает организации осваивать зарубежные рынки?
31. Имеются ли более дешевые технологии производства продукции
организации?
32. Появились ли новые технологии, дающие новые возможности
организации?
33. Могут ли конкуренты организации внедрить новые пгюдукты?
34. Как изменились в последнее время требования потребителей и
поставщиков?
35. Являются ли иностранные производители аналогичной продук­
ции конкурентами организации?
36. Имеются ли новые правила ведения бизнеса, которые наносят
организации больший ущерб, чем ее конкурентам?
37. Является ли безработица угрозой для организации?
Пять сил
(воздействие большое, среднее, незначительное)
1.
2.
3.
4.
5.
414
Насколько велико соперничество внутри отрасли?
Имеются ли товары-заменители?
Можно ли ожидать вхождения в отрасль новых конкурентов?
Велико ли влияние поставщиков на рынке?
Каковы возможности потребителей диктовать свои условия?
ф
Анализ цепочек ценностей
1. Помогает ли организация своим поставщикам снизить себестои­
мость для последующего снижения закупочной цены на покупа­
емые у них материалы?
2. Имеет ли организация влияние, обеспечивающее ей контроль ди­
леров в части завышения оптовых цен?
3. Какова сбытовая сеть организации?
4. Имеются ли на рынке дешевые товары-заменители?
5. Можно ли перераспределить затраты между убыточной и высо­
корентабельной продукцией организации?
6. Можно ли сократить расходы организации и рационализировать
операции?
7. Можно ли убрать из технологического процесса высокозатратные
этапы, передав их на субподряд (дочерним организациям, вре­
менным творческим коллективам и т.п.).
8. Инвестируются ли средства в ресурсосбережение?
9. Занимаются ли в организации совершенствованием этапов техно­
логических процессов, имеющих самые высокие издержки?
10. Можно ли, упростив дизайн продукции, снизить издержки?
Лидерство по издержкам
1. Насколько целесообразно увеличивать/сокращать:
• объем производимой продукции;
• объем оказываемых услуг;
• изменения, вносимые в производимую продукцию;
• оплату труда работников по сравнению с конкурентами;
• каналы сбыта;
• научно-исследовательскую и опытно-конструкторскую работу;
• усилия по повышению эффективности деятельности относи­
тельно конкурентов?
2. Нужно ли:
• удалить «излишества» в продукции;
• упростить саму разработку продукции;
• использовать более рациональную технологию;
• больше продукции продавать непосредственно потребителю;
• перенести мощности ближе к потребителю продукции;
• увеличить вертикальную интеграцию;
• выпускать широкую (узкую) номенклатуру товаров?
3. Как защищается лидерство по издержкам; наступает ли органи­
зация на конкурентов, имея преимущества?
415

208.

Ф
ПРИЛОЖЕНИЯ
Приложение
ВОПРОСЫ ДИАГНОСТИЧЕСКОГО
мощностей?
(по
р е к о м е н д а ц и и А.И.
Школы
и
ИНТЕРВЬЮ
Пригожина
консультантов
по
организационному
з
слушателям
управлению
развитию)
1. Знакомство
Вы профессионал в этой сфере деятельности или пришли в нее
каким-то иным образом?
Как Вы попали именно в эту организацию?
С какой должности начинали?
Если бы Вам предложили хорошее место в другой организации,
воспользовались бы Вы этим предложением? Почему?
2. Организация
Какое место занимает Ваша организация среди себе подобных?
Кто основной клиент Вашей организации?
Есть ли у организации конкурентные преимущества и в чем они
заключаются?
В какой фазе жизненного цикла сейчас находится Ваша организа­
ция?
Могли бы Вы подобрать какое-то образное слово, описывающее
Вашу организацию?
3. Функции подразделения
Как можно кратко описать основные функции и задачи Вашего
подразделения?
Что является результатом деятельности Вашего подразделения?
Есть ли у Вас потребители этого результата (внешние и внутрен­
ние)?
Считаете ли Т?ы, что оправдываете их ожидания?
С какими подразделениями Вы осуществляете взаимодействие?
Результаты каких подразделений Вы используете? Как Вы оцени­
ваете их качество?
Ощущаются ли трудности с распределением обязанностей на Ва­
шем уровне (нерациональность, перегрузка, недогрузка)?
Что происходит, если Вам поручают несвойственные для Вас функции?
4V

209.

ф
ПРИЛОЖЕНИЯ
ц. Проблемы
К а к подходят к выполнению своих обязанностей те лица и под­
разделения, с которыми Вы взаимодействуете (на уровень ниже, на
уровне, на уровень выше)?
С какой степенью отдачи работают люди в Вашем подразделении?
В других подразделениях? В организации в целом?
Могли бы они повысить свою отдачу и при каких условиях?
Предположим, Ваши работники собрались где-то без Вас. Как Вы
думаете, о чем они будут говорить между собой?
Если спустя много лет Ваша организация перестанет существовать,
как, по-вашему, определят причины этого будущие аналитики?
В чем Вы видите основные проблемы организации в настоящем?
В будущем?
Почему именно это Вы склонны оглушать как проблемы?
Каким образом можно было бы решить эти проблемы? Делалось
ли что-то для этого?
Решение каких из названных проблем может снизить остроту про­
чих или снять их?
Приложение 4
ПРИМЕРЫ
Организация
Содержание видения
Давайте делать товары лучше!
Apple Computers
Осуществить мировой вклад, создавая такие средства
для памяти, которые способствуют развитию челове­
чества
1
Быть лучше лучших. Это означает: 1) работники гор­
дятся своими успехами как команда; 2) потребители,
поставщики и правительство предпочитают нас;
3) конкуренты уважают нас; 4) население районов
приветствует нас; 5) инвесторы с желанием нас
инвестируют
Chevron
2
TMI Russia
TMI Russia — лидер в области обучающего консуль­
тирования. Как компания — бизнес-интегратор мы
предлагаем комплексные бизнес-решения, помогаю­
щие организациям, командам и индивидуумам в про­
цессе преобразований и достижении долговременных
успехов
General Electric
Стать самой конкурентоспособной фирмой в мире,
выйдя на первое или второе место в каждой из сфер
нашей деятельности
Compaq Computer
Стать ведущим поставщиком персональных компью­
теров и серверов к ним на всех сегментах рынка
Long John
Communications
Стать лучшей сетью американских ресторанов быст­
рого обслуживания. Каждому из наших клиентов мы
подадим вкуснейшие и здоровые блюда по разумным
ценам. У нас Вы попробуете и рыбу, и дары моря, и
цыпленка. Вас обслужат быстро и с улыбкой
Eastman Kodak
Стать мировым лидером в химическом и цифровом
изображении
Компания Дис­
3
нея
Делать людей счастливыми
Мерк
Мы занимаемся бизнесом для сохранения и улучше­
ния человеческой жизни. Все наши действия должны
быть измерены с точки зрения достижения этой цели
6. Социометрия
Возникли трудности, есть потребность посоветоваться. С кем бы
Вы захотели сделать это? По компетентности?
С кем бы Вы захотели перейти в другую организацию, если бы
Вам предложили там хорошее место, условия и возможность сформи­
ровать свою команду?
Хотелось бы Вам оказаться на отдыхе с коллегами по работе?
С кем бы Вы посоветовали консультантам обязательно встретить­
ся в организации?
ВИДЕНИЯ
Philips [7, с. 65]
5. Позиционность
Как Вы считаете, все ли согласятся, что названные Вами пробле­
мы действительно являются таковыми?
Можно ли предположить, о чем на совещании обязательно будут
стараться сказать те или иные люди?
Можно ли выделить различие интересов в организации и группы,
ориентированные на эти интересы?
Существуют ли различия мнений по поводу будущих задач, при­
оритетных клиентов, развития продукта; способа действий, приорите­
тов распределения ресурсов?
Есть ли в Вашей организации подразделения, которые оплачива­
ются, на Ваш взгляд, выше или ниже, чем они того стоят?
Что желательно пересмотреть в сегодняшней деятельности органи­
зации?
ФОРМУЛИРОВОК
419

210.

ф
ПРИЛОЖЕНИЯ
Приложение 5
Окончание приложения 4
Организация
Delta Airlines
[46, с. 48]
Содержание видения
Мы хотим, чтобы Delta стала избранной всемирной
авиалинией.
Всемирной, потому что мы собираемся остаться но­
ваторской, агрессивной, этической и успешной ком­
панией-конкурентом, обеспечивая самые высокие
стандарты обслуживания клиентов. Мы будем про­
должать искать возможность увеличения нашего бо­
гатства создавая новые маршруты и мировой альянс.
Авиалинией, потому что мы собираемся остаться в
бизнесе, который мы знаем лучше всего. Это —
авиаперевозки и сопутствующие услуги. Мы верим в
долгосрочные перспективы роста прибыли в данной
отрасли и мы будем продолжать концентрировать
внимание и на усилении своих позиций в этой сфере
деятельности и направлять туда инвестиции.
Избранной, потому что мы ценим лояльность наших
клиентов, служащих и инвесторов. Для пассажиров и
грузовладельцев мы будем продолжать обеспечивать
самый лучший сервис и дополнительные выгоды. Для
персонала мы будем продолжать предлагать более ин­
тересную, ориентированную на конечный результат
работу, позволяющую оценить и соответствующим
образом вознаградить их вклад в общее дело. Для на­
ших акционеров мы будем постоянно зарабатывать,
обеспечивая высокую финансовую отдачу
ФОРМУЛИРОВКИ
Организация
Marriott
Hotels [17,
с. 33]
Соломанидина Т.О. Миссия организации // Управление персоналом. —
2002. - №3. - С.20.
2
Озеров Г.М. Стратегия организации: от корпоративных намерений к пла­
ну действий // Управление персоналом. — 2002. — № 4. — С. 48.
3
Стратегическое планирование / Под ред. Уткина Э.А., с. 229.
Содержание миссии
Предназначение компании Marriott Hotels — предоставле­
ние услуг по размещению и обслуживанию в целях созда­
ния прочного, длительного и взаимовыгодного сотрудни­
чества с клиентами, сотрудниками, владельцами, акцио­
нерами и обществом
1
Matsucita
Matsucita желает способствовать улучшению качества жиз­
ни, снабжая мир дешевыми, как вода, электроприборами
Xerox
От копировальной техники к офису будущего
Фольгопрокатный завод,
СПб.
Два века традиций — гарантия качества
Инкомбанк
Мы экономим ваше время и деньги
Онексимбанк
Стихии не подвластен
Камышинский ХБК
На шаг впереди спроса
2
Менатеп
Менатеп должен стать надежным международным бан­
ком, предлагающим высококачественные услуги организа­
циям и частным лицам в России и Европе.
Лукойл
Стать компанией мирового класса
Пепси-кола
1
м и с с и и
Превзойти Коку!
3
Otis Elevator
Наша миссия — обеспечивать заказчиков более надежны­
ми, чем у наших конкурентов, средствами перемещения
людей и предметов вверх, вниз, в сторону и на короткие
расстояния
Avis Ren-a-Саг
Мы занимаемся сдачей в аренду автомобилей. Наше
предназначение — полностью удовлетворять запросы на­
ших клиентов
Ford Motors
Company
Удовлетворять наших клиентов, производя качественные
автомобили и грузовики, разрабатывая новые продукты,
сокращая время вывода новых автомобилей на рынок,
улучшая производительность всех наших заводов и совер­
шенствуя процессы производства, налаживая контакты со
служащими нашей фирмы, а также с профсоюзами, лиде­
рами и поставщиками
Exxon
Обеспечить нашим акционерам сохранность их инвести­
ций и растущие доходы
McCormic
and Company
Первоочередной задачей McCormic and Company является
расширение наших позиций мирового лидера в произ­
водстве специй и приправ
421

211.

ф
ПРИЛОЖЕНИЯ
Приложение 5
Окончание приложения 5
Продолжение приложения 5
Организация
Содержание миссии
Apple Com­
puter
Предлагать наилучшие технологии для персональных ком­
пьютеров и передавать их как можно большему числу людей
American Red
Cross
Наша миссия — улучшать условия жизни людей, забо­
титься о людях, помогать им избегать критических ситуа­
ций и справляться с ними
TMI Russia
Наша миссия — содействовать нашим клиентам в созда­
нии корпоративной культуры, основанной на доверии,
лояльности, ответственности, инициативности и привер­
женности персонала
AT&T
Мы созданы для того, чтобы быть лучшими в мире в
объединении людей, давая им простой доступ друг к дру­
гу, к информации и услугам, в которых они нуждаются,
в любое время и везде
Аэрофлот
Миссия Аэрофлота — построить компанию международ­
ного класса, основываясь на лучших традициях граждан­
ской авиации России
4
Microsoft
Компьютер на каждом столе в каждом доме
Chevron
Создавать высшие ценности для наших акционеров,
наших потребителей и работников
NovaCare [46]
Компания NovaCare посвятила себя заботам о людях, о
будущем своих клиентов, освоению новых областей в сво­
ей сфере, достижению совершенства, развитию способ­
ностей человека, изменению мира, в котором мы живем.
Мы идем вперед с энтузиазмом, оптимизмом, терпением,
энергией и приверженностью делу.
Мы объединили усилия для улучшения жизни наших
клиентов, восстанавливая утраченные ими способности и
обучая их новым навыкам.
Мы вселяем уверенность в будущем нашим клиентам и
их семьям. Мы восстанавливаем надежду, уверенность,
самоуважение и желание жить.
Мы используем наш клинический опыт, применяем на
благо пациентов современную технику и научные методы.
Наши этические и профессиональные нормы требуют
приложения всех наших усилий для достижения наилуч­
ших результатов.
Нашими клиентами являются национальные и местные
организации здравоохранения, которые разделяют наши
взгляды. Они считают нас своими партнерами по предо­
ставлению наилучших услуг в области здравоохранения.
Наша репутация основана на быстром реагировании на
потребности клиентов, высоких стандартах и эффектив­
ной системе обеспечения качества. Наши отношения с
клиентами открытые и созидательные.
Мы отстаиваем интересы нашей профессии и клиентов,
активно участвуем в профессиональной, образовательной
422
ф
Организация
Содержание миссии
и исследовательской деятельности на национальном, госу­
дарственном и местном уровнях.
Наш подход к проблеме является гарантом исполнения
наших обязательств перед инвесторами, позволяя полу­
чать хорошие экономические результаты деятельности за
счет постоянного увеличения прибыли.
Нашим наиболее ценным капиталом являются люди. Мы
обеспечиваем каждому служащему фирмы профессиональ­
ный рост и продвижение.
Мы гордимся тем, что делаем, и преданы нашей компа­
нии. Мы поощряем работу в командах и создаем благо­
приятную атмосферу для продуктивного сотрудничества
во всех сферах.
NovaCare — компания, которая объединяет людей, разде­
ляющих эти взгляды
Marks &
Spencer[17,
с. 34]
1
К нашим ценнейшим активам относятся:
благожелательное отношение и доверие общественности;
лояльность и преданность делу со стороны руководства и
сотрудников всех уровней;
доверие и сотрудничество с нашими поставщиками.
Наши принципы:
предложение потребителям по разумным ценам широкого
спектра товаров высокого качества;
побуждение поставщиков к использованию самых совре­
менных и эффективных способов производства и методов
контроля качества;
обеспечение в сотрудничестве с поставщиками контроля
качества в соответствии с самыми высокими стандартами;
укрупнение магазинов, что позволит представлять в них
расширенный ассортимент товаров и обеспечить макси­
мум удобств для наших покупателей;
построение устойчивых взаимовыгодных отношений с на­
шими потребителями, поставщиками и сотрудниками
Маркова ВД., Кузнецова С.А. Стратегический менеджмент: Курс лек­
ций. — М.: ИНФРА-М; Новосибирск: Сибирское соглашение, 1999. С. 33.
2
Стратегическое планирование / Под ред. Уткина Э.А. — М.: «ТАНДЕМ»,
1998. - С. 301.
3
Озеров Г.М. Стратегия организации: от корпоративных намерений к пла­
ну действий//Управление персоналом. — 2002. — № 4. — С. 48.
4
Соломанидина Т.О. Миссия организации // Управление персоналом. —
2002. - №3. - С. 20.

212.

424
Уникаль­
ный взгляд,
поиск
ниши
Видение
образа
будущего
Простая
предпри­
нима­
тельская
Интуи­
тивное
Лидер
Зарожде­
ние, рес­
трукту­
ризация
Центра­
лизация
Предви­
дение
Предпринимательства
НЫ
Стратеги­
ческий
план
Внешняя
и внут­
ренняя
среда
Большая
машина
Плано­
вики
Про­
грамми­
рование
Страте­
гическое
планиро­
вание
Чуткое
воспри­
ятие
процесса
Уникаль­
ные пер­
спективы
Потреб­
ность в
новом
курсе
Машина
Домини­
рование,
оценива­
ние
Руково­
дитель
Й. Шумпетер, 1950;
А. Коул,
1959
о
о
Переос­
мысле­
ние де­
ятель-
Интеллек­
туальный
югляд
Страте­
гия как
познание
Любая
Пассив­
ное и
творчес­
кое
Разум
Переос­
мысле­
ние
Особен­
ности
стратегии
Содержание
стратегии
X
00
о
Форма­
лизация
Озеров Г.М. Стратегия организации: от корпоративных намерений к пла­
ну действий, с. 49.
Соломанидина Т.О. Миссия организации, с. 20.

Плани­
рования
1
Быть первыми среди наших конкурентов по общему воз­
врату инвестиций в 1999—2003 гг.
Ш
И. Ансофф,
1965
2
Chevron
о
Раз­
мышле­
ние
Достигнуть доходности по акциям 20% и выше, среднего
роста прибыли 5% и выше; стать ведущим маркетологом
крупных торговых марок потребительских товаров и по­
вышать доходность компаний с низким уровнем прибы­
ли или избавляться от них
О
о
Соот­
ветствие
Quaker Oats
Company
LQ
Дизайна
Стать организацией средних размеров с низкими издерж­
ками и производить (добывать) на 125 ООО унций золота в
год больше, создавая золотой запас в 1 500 000 унций
о
Ф. Селзник, 1957;
У. Ньюман,
1951
Atlas
1
Corporation
О
Вообра­
жение
Достигнуть 20%-ного уровня дохода по акциям.
Годовой прирост чистых продаж довести до 10%.
Поддержать средний уровень годового прироста дохода
по акциям на 15%.
Сохранить показатель «задолженность по общей сумме
капитала» на уровне 40% или ниже.
Выделять 25—30% чистого дохода на выплату дивидендов.
Совершать селективные приобретения других компаний,
которые могли бы дополнить текущую деятельность и
увеличить общие доходы.
Ликвидировать те направления деятельности, которые не
приносят или не могут принести соответствующего дохо­
да или не вписываются в стратегию компании
3"
Фреймы
McCormick &
Company
О
Когни­
тивная
Рост производственного потенциала и комплексная ра­
ционализация управления компанией
>
Г. Саймон,
1947;
Дж. Марч,
1958
Лукойл
со
Форма
организа­
ции
Увеличить ежегодный объем продаж с 1 млрд до 2 млрд
долл. за пять лет.
Раз в полтора года выходить на новый рынок.
30% общего объема продаж должны приходиться на то­
вары, пущенные в производство за последние пять лет.
Иметь самые низкие издержки при самом высоком ка­
честве продукции для домашних хозяйств среди всех
производителей отрасли.
Достигнуть среднего уровня годового прироста 15% по
продажам, прибыли и доходу по акциям
Основное
действую­
щее лицо
Rubbermaid
Стадия
развития
организа­
ции
Достичь 100%-ного уровня удовлетворения клиента еже­
дневно в каждом ресторане
Девиз
McDonalds
[46, с. 63]
Руковод­
ство (как
процесс)
Содержание целей
Ключевое
слово
Организация
Ф О Р М У Л И Р О В О К ЦЕЛЕЙ
Школа
ПРИМЕРЫ
14
Авторы
Приложение 6
425

213.

ф
Особые по­
зиции,
ниши
Опреде­
ляется
внешней
средой
Бессиль­
ное
«Окру­
жение»
Покор­
ная ма­
шина
Политичес­
кие образ­
цы, тайные
методы
Страте­
гия —
маневр,
а не
перспек­
тива
Слабое,
точно не
установ­
ленное
Облечен­
ные
властью
Закрытая
машина,
своя сеть
Запланиро­
ванные по­
зиции, хит­
рые при­
емы
Одна из
типовых
страте­
гий
Чуткое
воспри­
ятие
анализа
Анали­
тики
Большая
машина в
отрасли
Любая
Процесс
транс­
форма­
ции
Провод­
ник из­
менений
Все ва­
рианты
Любая
Коллектив­
ная пер­
спектива,
уникальная
Сохране­
ние тра­
диций
Миссио­
нерская,
закосте­
нелая
машина
Симво­
лическое
Коллек­
тив
Зре­
лость,
смерть
«Руки
вверх»
Преодо­
ление
Внеш­
ней
среды
М. Ханнан,
Дж. Фриман 1977
Полити­
ческие
пробле­
мы, бло­
кирова­
ние
Тайное
облада­
ние
Овладе­
ние
Власти
Г. Аллисон
1971
Оценка
Расчеты
Анализ
Пози­
циони­
рования
Д. Шендел,
К. Хаттен,
1970;
М. Портер
1980
Упор на
транс­
форма­
ции
Класси­
фика­
ция
Транс­
форма­
ция
Конфи­
гурации
А. Чандлер,
1962
Укрепле­
ние,
инерт­
ность
Сохра­
нение
Объеди­
нение
Культу­
ры
Э. Ренман,
Р. Нор­
манн, 1960
Ч. Линдблом, 1959;
Дж. Марч,
1963
Обуче­
ния
Обуче­
ние
Игра
Разви­
тие,
крупные
измене­
ния
Тот, кто
учится
1
Чуткое к
обуче­
нию
Специ­
ально
создан­
ная, про­
фессио­
нальная
Нет чет­
кой стра­
тегии
Образцы и
схема дей­
ствий, уни­
кальная
ПРИЛОЖЕНИЯ
Приложение 8
РЕШЕНИЯ
ПРОБЛЕМЫ
МАГИСТРАНТОВ
В ЧАСТИ Б О Я З Н И П Е Р В О Г О З А Н Я Т И Я
НА ПРАКТИКЕ В А У Д И Т О Р И И СТУДЕНТОВ,
ПОЛУЧЕННЫЕ «МЕТОДОМ
ЗА
30
635»
МИНУТ
Записаться на прием к психологу
Попросить проводить лекции, а не
практики
Терпение и труд...
Не нервничать
Выступать перед близкими, друзья­
ми или родственниками, чтобы не
бояться аудитории
Подготовить варианты ответов на
сложные вопросы
Главное — психологически настро­
ится и начать. С каждым разом бу­
дет легче
Подготовить дополнительные зада­
ния на случай, если останется вре­
мя
Не прийти на занятие
5 минут позора — потом привык­
нешь
Надеяться на «авось»
Притвориться, что не слышишь
вопроса
Перевестись на другой факультет
Придумать методы ухода от ответа
Подготовиться самому по вопросу,
который будешь объяснять
Отвечать не по делу, но заумными
словами, чтобы никто не понял,
что сморозил глупость
Приобрести методичку
Читать литературу по вопросу
Тщательно готовиться по литера­
туре
Без труда не вытащишь и рыбку из
пруда
Посоветоваться с более опытным
человеком, узнать у него, как про­
ходило его первое занятие, как он
выходил из сложных ситуаций
Читая материал, уметь увидеть то,
что может быть непонятно студен­
там, т.е. предвидеть их вопросы
Успокоиться и не нервничать
Взять всю необходимую литературу
Чтобы удержать дисциплину и вни­
мание при шумном поведении сту­
дентов, стукнуть кулаком по столу
Если студенты будут шуметь, дать
им контрольную работу. А перед
этим сказать, что она обязательно
повлияет на рейтинг
427

214.

ф
Приложение 8
ПРИЛОЖЕНИЯ
Продолжение приложения 8
Продолжение приложения 8
Ничего не делать — само все обой­
дется
Прийти на занятие с другом
Подготовиться заранее к занятиям
Больше изучать психологию
Смотреть и наблюдать, как препо­
дают преподаватели
Можно заранее познакомиться с
группой, до первого занятия
Расслабится, глубоко вздохнуть и
выйти к студентам в назначенное
время
Попытаться наладить со студентами
контакт и найти поддержку у них
Продумать непредвиденные ситуа­
ции
Сказать им: «Не бейте меня, ребя­
та! Я — свой!!!»
Набираться опыта у куратора
Назначить помощника из группы
студентов
Студенты тоже люди, поймут
Не психовать
Уметь выкручиваться из сложных
ситуаций
Меньше об этом думать
Не конфликтовать
Готовиться к занятиям
Отдать инициативу в руки студен­
тов
Плыть по течению
Напиться для храбрости
Не бояться
Относится с юмором к неудачам
Читать необходимую литературу
Выработка модели поведения на за­
нятии
Думать об этом, как о подарке
судьбы. Такой шанс почувствовать
себя главным в аудитории, верши­
телем судеб: все тебя слушают и ду­
мают, что ты все знаешь
Если останется время, можно пого­
ворить со студентами о том, что бы
они хотели узнать нового по этой
дисциплине, как бы они хотели,
чтобы проходили занятия
Надеяться, что большинство сту­
дентов отпросятся или не придут
Всегда иметь при себе дополнитель­
ный материал, чтобы занять сво­
бодное время
Не позволять студентам садиться
себе на шею и поставить себя стар­
шим
Как можно больше приводить на
занятии примеров из жизни
Взять с собой валерьянку
Подготовиться морально
Придерживаться методички
Репетировать свои выступления
Чтение педагогической литературы
Подготовить план занятия
Наблюдают, как преподают другие
Быть готовым во всеоружии
Самое главное — спокойно соб­
раться на занятие, чтобы ничего
не забыть взять с собой
Давать студентам задание, чтобы
делали самостоятельно
Хорошо владеть предметом занятия
Понимать, о чем говоришь
Не забыть познакомиться со сту­
дентами и представиться самому
Не думать, что студенты умнее тебя
Отпускать студентов пораньше
Сказать студентам, у которых ве­
дешь занятия, что ты такой же ду­
рак, как и они
Материал готовить как на две пары,
если даже запланирована только
одна
Дать студентам список литературы
и каждую пару давать им тесты
Не быть строгим, студенты этого не
любят
Обложиться умными книгами
Главное — самому разобраться
в том предмете, который будешь
вести
Говорить четко, громко, уверенно
(даже если говоришь глупость)
Не нервничать без повода
Найти альтернативу практике
Улыбаться! Улыбка располагает
Учиться быть преподавателем, тре­
нироваться
Познакомиться с теми студентами,
у которых будет практика
Взять побольше часов практики.
Уверенность приходит с опытом
Куратор не должен присутствовать
на занятиях, чтобы не понижать
мой авторитет
Попросить у преподавателя необхо­
димый материал (например, его
лекции по дисциплине)
Проводить практику вместе с пре­
подавателем
Удалить из аудитории куратора,
чтобы не смущал
Узнать у преподавателя больше об
этой группе
Отвечать вопросами
Подготовить материал и полностью
загрузить студентов, чтобы они
опомнились только к концу занятия
Посоветоваться с психологом,
как удержать внимание аудитории
и дисциплину, как справляться
с нестандартными ситуациями
Много читать! Очень много!
428
ф
429

215.

Окончание приложения 8
Не смеяться, как идиот
Нанять репетитора по педагогике
Соблюдать правила ВлГУ, помнить
о них
Прочитать одну из книг
А.С. Макаренко
Что-нибудь пообещать студентам за
их хорошее поведение
Научиться грамотно, психологично
решать возможные конфликтные
ситуации
Выпить успокоительного
Необходимо расставить приоритеты
на занятии
Сделать вид, что на практике не
впервые
Пытаться репетировать занятие
Обязательно пойти на курсы рито­
рики, чтобы уметь грамотно гово­
рить
Читать любую литературу, чтобы
уметь правильно выражать свои
мысли
Чаще выступать хотя бы перед сво­
ей группой, отвечать на их вопросы
Можно провести пробное занятие
по своей дисциплине перед друзья­
ми или группой
Уйти из университета
Поплакать!!! Станет легче!
Учебное издание
НОВОЕ ЭКОНОМИЧЕСКОЕ ОБРАЗОВАНИЕ
Лапыгин Юрий Николаевич
Лапыгин Денис Юрьевич
СТРАТЕГИЧЕСКИЙ МЕНЕДЖМЕНТ
Учебное пособие
Директор редакции И. Федосова
Ответственный редактор В. Щербакова
Редактор В. Космин
Художественный редактор Н. Биржаков
Технический редактор Л. Зотова
Компьютерная верстка Н. Журавлева
ООО «Издательство «Эксмо»
127299, Москва, ул. Клары Цеткин, д. 18/5. Тел. 411 -68-86,956-39-21.
Home page: w w w . e k s m o . r u E-mail: info@eksmo.ru
Подписано в печать 31.07.2009.
Формат 60х90'/ 16 . Гарнитура «Тайме».
Печать офсетная. Бумага писчая. Усл. печ. л. 27,0.
Тираж 2500 экз. Заказ №5629.
Отпечатано с готовых файлов заказчика
в ОАО «ИПК «Ульяновский Дом печати»
432980, г. Ульяновск, ул. Гончарова, 14
English     Русский Rules