TECHNIQUES OF INTEGRATION
TRIGONOMETRIC SUBSTITUTION
INVERSE SUBSTITUTION
TABLE OF TRIGONOMETRIC SUBSTITUTIONS
TABLE OF TRIGONOMETRIC SUBSTITUTIONS
TRIGONOMETRIC SUBSTITUTION
TRIGONOMETRIC SUBSTITUTION
TRIGONOMETRIC SUBSTITUTION
3.23M
Category: mathematicsmathematics

Techniques of integration

1. TECHNIQUES OF INTEGRATION

Trigonometric Substitution
In this section, we will learn about:
The various types of trigonometric substitutions.

2. TRIGONOMETRIC SUBSTITUTION

3.

4.

Notice the difference between the substitution u = a2 – x2 and the
substitution x = a sin θ.
In the first, the new variable is a function of
the old one.
In the second, the old variable is a function of
the new one.
In general, we can make a substitution of the form x = g(t)
by using the Substitution Rule in reverse.
To make our calculations simpler, we assume g
has an inverse function, that is, g is one-to-one.

5. INVERSE SUBSTITUTION

Here, if we replace u by x and x by t in the Substitution Rule
we obtain:
This kind of
substitution
is
called
inverse
substitution.
We can make the inverse
substitution x = a sin θ, provided
that it defines
a one-to-one
function.
This can be accomplished
by restricting θ to lie in the
interval
[-π/2, π/2].

6. TABLE OF TRIGONOMETRIC SUBSTITUTIONS

Here, we list trigonometric substitutions that are effective for the
given radical expressions because of the specified trigonometric
identities.

7. TABLE OF TRIGONOMETRIC SUBSTITUTIONS

In each case, the restriction on θ is imposed to ensure that the
function that defines the substitution is one-to-one.
These are the same intervals used to defining
the inverse functions.

8. TRIGONOMETRIC SUBSTITUTION

Example 1

9.

Thus, the Inverse Substitution Rule gives:
Example 1
As this is an
indefinite integral,
we must return to
the original
variable x. This
can be done in
either of two ways.
One, we can use
trigonometric identities to
express cot θ in terms
of
sin θ = x/3.
Two, we can draw a diagram, where
θ is interpreted as an angle of a right
triangle.

10. TRIGONOMETRIC SUBSTITUTION

Example 1
Since sin θ = x/3, we label the opposite side and the hypotenuse as
having lengths x and 3.
Although θ > 0 here,
this expression for
cot θ is valid even
when θ < 0.
As sin θ = x/3, we have θ = sin-1(x/3).
Hence,

11. TRIGONOMETRIC SUBSTITUTION

Solution:
or
Example 2

12.

Solution
As the ellipse is symmetric with respect to both axes, the total area A
is four times the area in the first quadrant.

13.

Solution
To evaluate this integral, we substitute
x = a sin θ.
Then,
dx = a cos θ dθ.
To change the limits of integration,
we note that:
When x = 0, sin θ = 0;
so θ = 0
When x = a,
so θ = π/2
sin θ = 1;
Also, since 0 ≤ θ ≤ π/2,

14.

Therefore,
We have shown that the area of
an ellipse with semi-axes a and b
is
A=πab.
In particular, taking a =
b = r, we have proved
the famous formula
that the area of a circle
with radius r is πr2.

15.

Example 3
Solution:
Thus, we have:

16.

To evaluate this trigonometric integral, we put everything in terms of sin
θ and cos θ:
Therefore, making the
substitution u = sin θ, we
have:

17.

We use the figure to determine that:
Hence,

18.

Example 4
Solution
It
would be possible to use the
trigonometric substitution x = 2 tan θ;
However, the direct substitution u = x2 + 4
is simpler. Then, du = 2x dx
Note
Example 4 illustrates the fact that, even
when trigonometric substitutions are
possible, they may not give the easiest
solution.
You should look for a
simpler method first.

19.

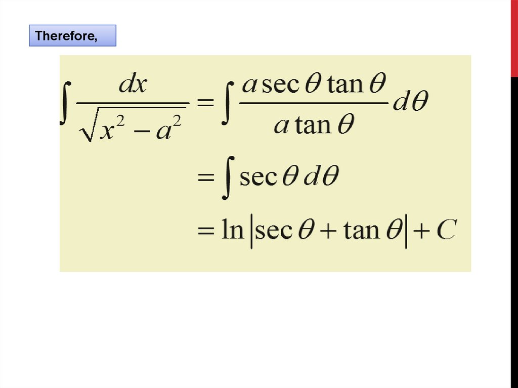
Example 5
Solution-1
We let x = a sec θ, where 0 < θ < π/2 or π < θ < π/2. Then,
dx = a sec θ tan θ dθ
and

20.

Therefore,

21.

The triangle in the figure gives:
So, we have:

22.

Solution 2
For x > 0, the hyperbolic substitution x = a cosh t can
also be used.
Using the identity cosh2y – sinh2y = 1, we have:

23.

Since
dx = a sinh t dt, we obtain:
Since cosh t = x/a, we have t = cosh-1(x/a)
and
Although Formulas
1 and 2 look quite
different, they are
actually equivalent

24.

Example 6
Solution
So, trigonometric substitution is appropriate.

25.

However, it becomes one if we make the
preliminary substitution u = 2x.
When we combine this with the tangent substitution, we have:
and

26.

Thus:

27.

Now, we substitute u = cos θ
so that
When θ = 0, u = 1.
Therefore
When θ = π/3, u = ½.
du = - sin θ dθ.

28.

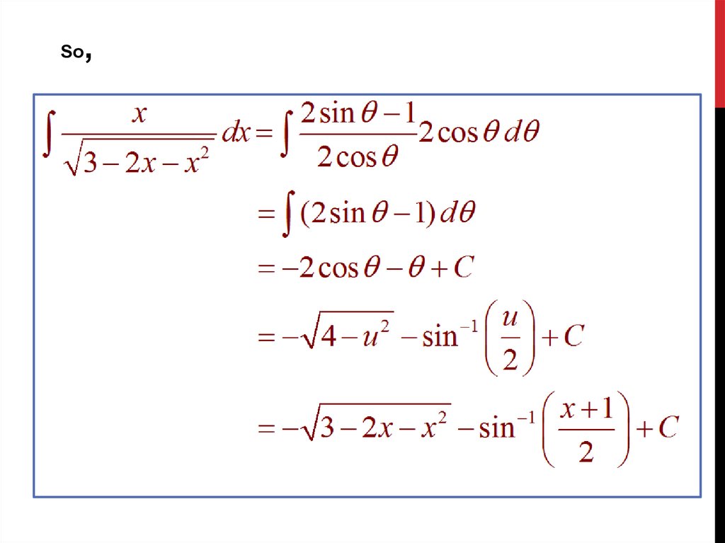
Example 7
Solution
We can transform the integrand into a function for
which trigonometric substitution is appropriate, by first
completing the square under the root sign:

29.

This suggests we make the substitution
Then,
So,
This gives
du = dx
and
u = x + 1.
x = u – 1.

30.

So
,

31.

The figure shows the graphs of the integrand in Example 7 and its
indefinite integral (with C = 0).
• Which is which?
English     Русский Rules