1.86M
Category: mathematicsmathematics

Lecture 3 Complex numbers and operations with them

1.

Lecture 3

2.

Complex numbers and operations with them

3.

4.

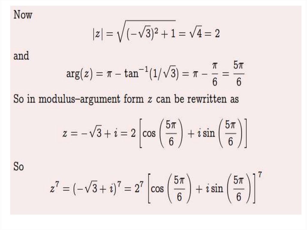
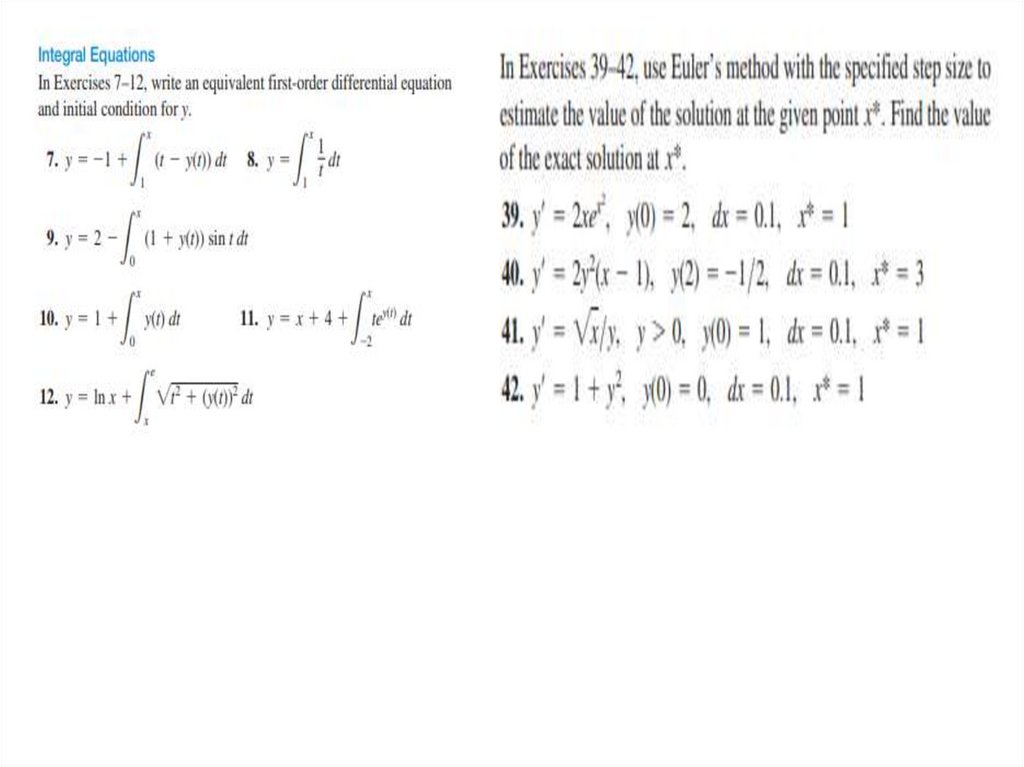
Operations on complex numbers

5.

6.

7.

8.

9.

10.

11.

12.

13.

14.

15.

16.

17.

18.

19.

20.

DIFFERENTIAL
EQUATIONS

21.

A differential equation (DE) is an
equation that contains an unknown
function and its derivatives.
Examples:
dy
5 y 3t
dt
2
d y
dy
7 3y 0
2
dx
dx

22.

Ordinary differential equations
If the unknown function depends on
only one variable, the equation is called an
ordinary differential equation (ODE).
Examples:
1.
2.
dy
2x 3
dx
4
d 3 y dy
6y 3
3
dx
dx

23.

Partial Differential Equation
If the unknown function depends on more than
one variable, the equation is called a partial differential
equation (PDE).
Examples:
1.
2u 2u
2 0
2
x
y
u is dependent variable and x and y are independent variables, and is partial
differential equation.
2.
2 u 2 u u
2
2
t
x
t
u is dependent variable and x and t are independent variables

24.

Order of Differential Equation
The order of a differential equation is the order of the
highest derivative in the differential equation.
Differential Equation
dy
2x 3
dx
d2y
dy
3 9y 0
2
dx
dx
4
d y dy
6y 3
3
dx
dx
3
ORDER
1
2
3

25.

Degree of Differential Equation
The degree of a differential equation is the power of the highest
order of derivative term in the differential equation.
Differential Equation
Degree
d2y
dy
3 ay 0
2
dx
dx
1
4
d 3 y dy
6y 3
3
dx
dx
3
d y dy
2 3 0
dx dx
2
1
5
3

26.

Test
Differential Equation
dy
7x y
dx
y 4 y 3 y 0
3
d y dy
2 3 0
dx dx
2
5
Degree
Order

27.

Linear Differential Equation
A differential equation is linear, if
1. dependent variable and its derivatives are of degree one
2. coefficients of a term does not depend upon dependent
variable.
Example:
d2y
dy
3
9 y 0.
1.
2
dx
dx
is linear.
2.
4
d 3 y dy
6y 3
3
dx
dx
is non - linear because in 2nd term is not of degree one.

28.

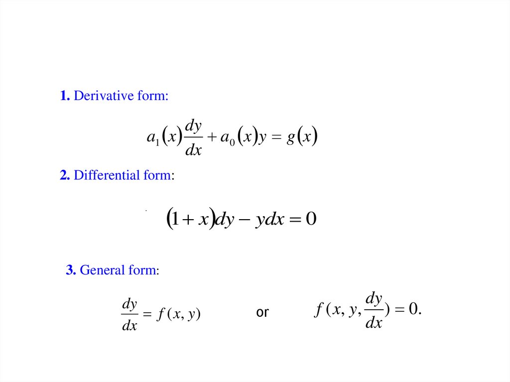
1st – order differential equation
1. Derivative form:
dy
a1 x a 0 x y g x
dx
2. Differential form:
.
1 x dy ydx 0
3. General form:
dy
f ( x, y )
dx
or
dy
f ( x , y , ) 0.
dx

29.

Initial-value problem
In many physical problems we need to
find the particular solution that satisfies a
condition of the form y(x0) = y0. This is called
an initial condition.
The problem of finding a solution of the
differential equation that satisfies the initial
condition is called an initial-value problem.

30.

31.

32.

33.

34.

Equations with separable variables
The first-order differential equation
dy
f x, y
dx
is called separable provided that f(x,y)
can be written as the product of a
function of x and a function of y.

35.

To solve it :
• Separate the variables y from x, i.e., by collecting
on one side all terms involving y together with dy,
while all terms involving x together with dx are
put on the other side.
• Integrate both sides.
• If the solution can be defined explicitly, i.e., it can
be solved for y as a function of x, then do it. If not,
the solution can be defined implicitly, i.e., it
cannot be solved for y as a function of x.

36.

Suppose we can write the above equation as
dy
g ( x ) h( y )
dx
1
dy g ( x)dx
h( y )
Integrating, we get the solution as
1
h( y) dy g ( x) dx c
where c is an arbitrary constant.

37.

Examples: 1. Consider the DE
dy
y
dx
Separating the variables, we get
1
dy dx
y
Integrating we get the solution as
ln | y | x k
or
y ce , c is an arbitrary constant.
x

38.

39.

40.

41.

Linear differential equations of the first order
The first-order differential equation is said linear if
it can be brought into the form
у P ( x ) y Q ( x ).
If
if
the equation is homogeneous
the equation is nonhomogeneous

42.

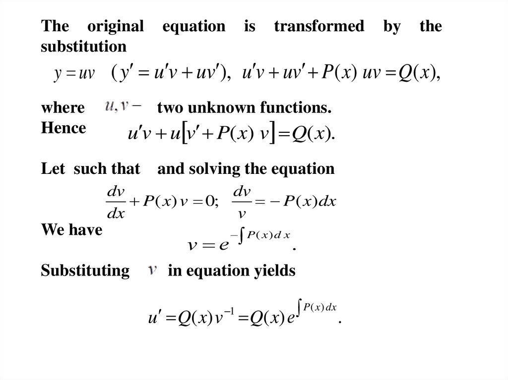
The original
substitution
equation
is
transformed
by
the
y uv ( y u v uv ), u v uv P( x) uv Q( x),
where
Hence
two unknown functions.
u v u v P( x) v Q( x).
Let such that
and solving the equation
dv
dv
P( x) v 0;
P( x)dx
dx
v
We have
Substituting
v е
.
in equation yields
P( x)d x
P ( x ) dx
u Q( x) v Q( x) е
.
1

43.

Therefore
p ( x ) dx
u C Q( x)e
dx.
The general solution of the original equation
у e
p ( x ) dx
Q( x)e p ( x ) dx dx C .
E.g. Find the general solution
y 2 x y х е
х2
.

44.

Solution: Equation is linear.
u v uv 2 х uv х е
х2
u v u v 2 хv х е
y uv, y u v uv and v 2 x v 0
х2
dv
2
x2
2 x d x, ln x , e
v
To determine
u we have the equation u v х е , u е
х2
х2
x2
u х , therefore, u х d x C C.
2
Multiplying u by v , we obtain the general solution
y е
х2
x2
C .
2
хе
х2
or

45.

Test
Find the general solution of the
differential equation:
x 3 dy y 3 dx 0
2
y y cos x
2у 3
y х .
х

46.

47.

48.

49.

50.

Thank you for your attention!
English     Русский Rules