14.79M
Category: informaticsinformatics

Функции хэширования

1.

2.

3.

MD4

4.

5.

6.

7.

8.

9.

10.

11.

12.

13.

14.

15.

16.

17.

18.

m8(1)=massiv_8(7);
m8(2)=massiv_8(8);
m8(3)=massiv_8(5);
m8(4)=massiv_8(6);
m8(5)=massiv_8(3);
m8(6)=massiv_8(4);
m8(7)=massiv_8(1);
m8(8)=massiv_8(2);
Number(1)=massiv_8(7);
Number(2)=massiv_8(8);
Number(3)=massiv_8(5);
Number(4)=massiv_8(6);
Number(5)=massiv_8(3);
Number(6)=massiv_8(4);
Number(7)=massiv_8(1);
Number(8)=massiv_8(2);

19.

20.

21.

22.

23.

24.

25.

26.

27.

28.

29.

30.

31.

32.

33.

34.

35.


36.

37.

38.

39.

40.

41.

42.

43.

44.

45.

46.

47.

48.

49.

50.

51.

52.

53.

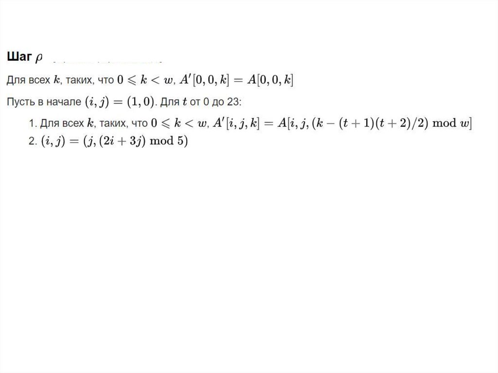
SHA-3

54.

55.

SHA-3 (Keccak — произносится как «кечак») —
алгоритм хеширования переменной разрядности, разработанный группой
авторов во главе с Йоаном Дайменом, соавтором Rijndael, автором
шифров MMB, SHARK, Noekeon, SQUARE и BaseKing. 2 октября 2012 года Keccak
стал победителем конкурса криптографических алгоритмов,
проводимым Национальным институтом стандартов и технологий США.
5 августа 2015 года алгоритм утверждён и опубликован в качестве
стандарта FIPS 202

56.

Криптографическая губка

57.

58.

59.

60.

61.

62.

63.

64.

65.

66.

67.

68.

69.

70.

71.

72.

73.

74.

Криптографические конструкции на основе SHA3

75.

Криптографические конструкции на основе SHA3

76.

Криптографические конструкции на основе SHA3

77.

Криптографические конструкции на основе SHA3
English     Русский Rules