712.44K
Category: mathematicsmathematics

Относительные проекционные константы четырехмерных и семимерных подпространств

1.

ОТНОСИТЕЛЬНЫЕ ПРОЕКЦИОННЫЕ
КОНСТАНТЫ НЕКОТОРЫХ
ЧЕТЫРЕХМЕРНЫХ И СЕМИМЕРНЫХ
10
7
ПОДПРОСТРАНСТВ ПРОСТРАНСТВ l1 , l1

2.

Актуальность:
Работа посвящёна одной из неразрешённых в
общем виде проблем функционального анализа,
а именно проблеме нахождения значений
относительных проекционных констант.
Операторы проектирования дают приближение
того же порядка, что и наилучшее, и,
следовательно, находят применение в
вычислительной математике.
Рассматривается несколько новых классов
7 10
l
подпространств пространств 1 , l1 .
2

3.

Цели :
1). Получить значения относительных
проекционных констант для некоторых
n
l
подпространств пространств 1 ;
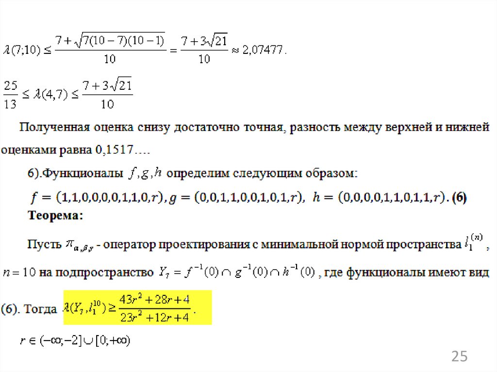
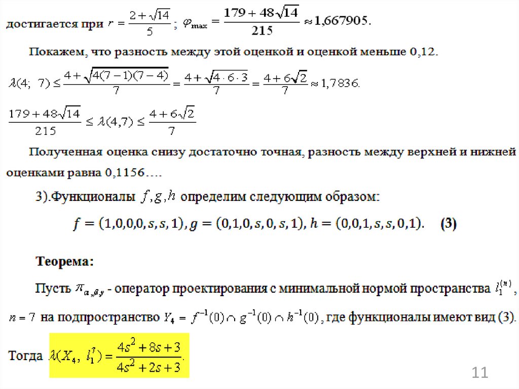
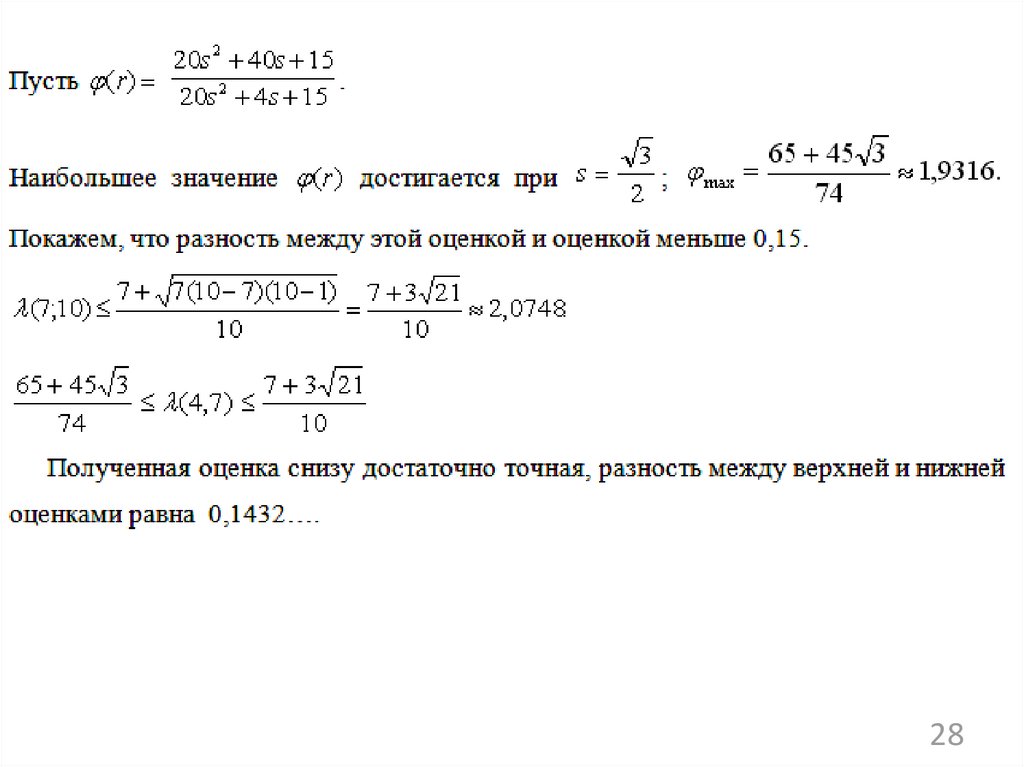
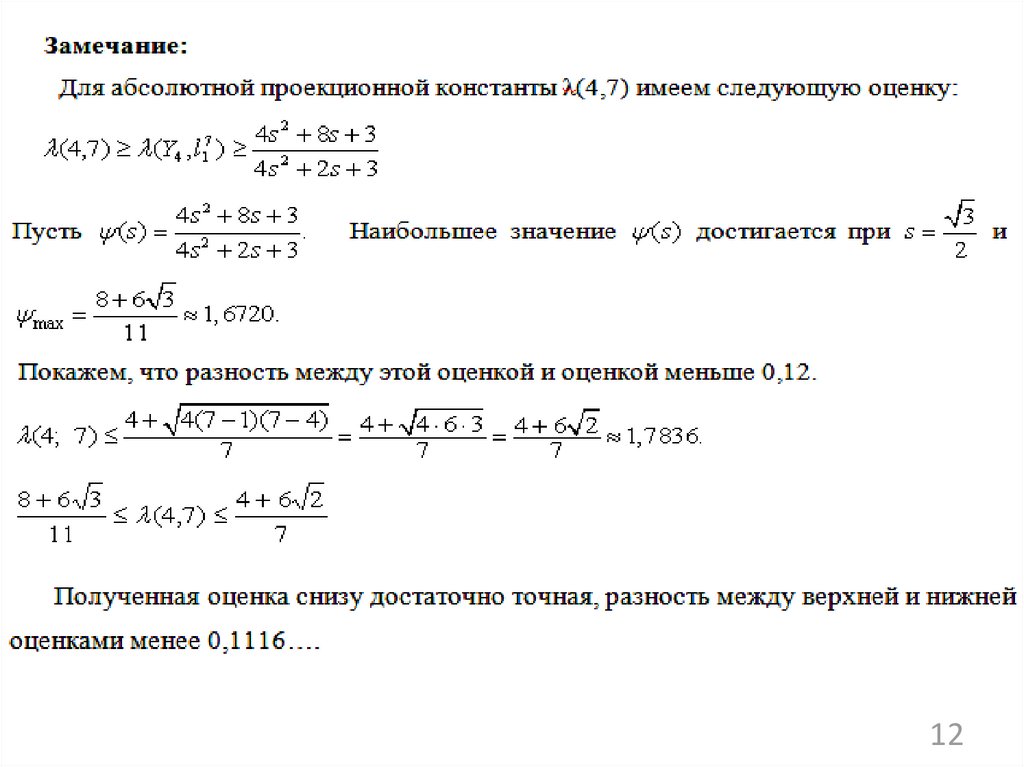
2). Получить оценки снизу чисел (4,7) и
(7,10) , точные значения которых неизвестны.
3

4.

Содержание :
4

5.

5

6.

6

7.

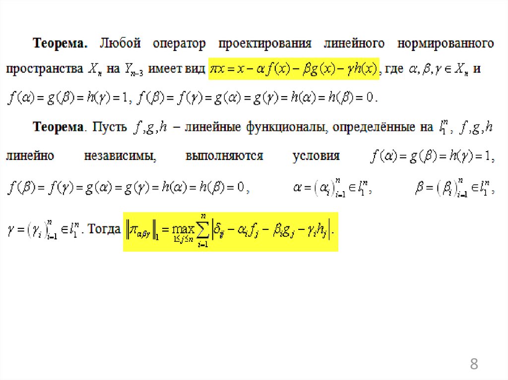
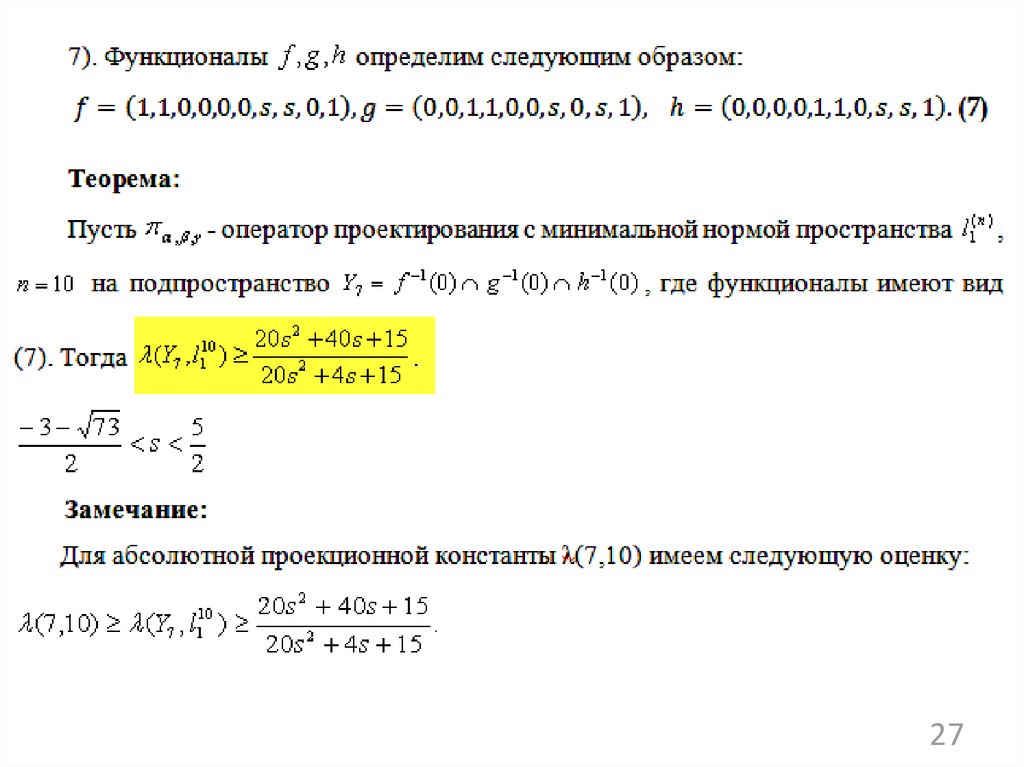
Глава 1. Основные положения теории
относительных проекционных констант.
7

8.

8

9.

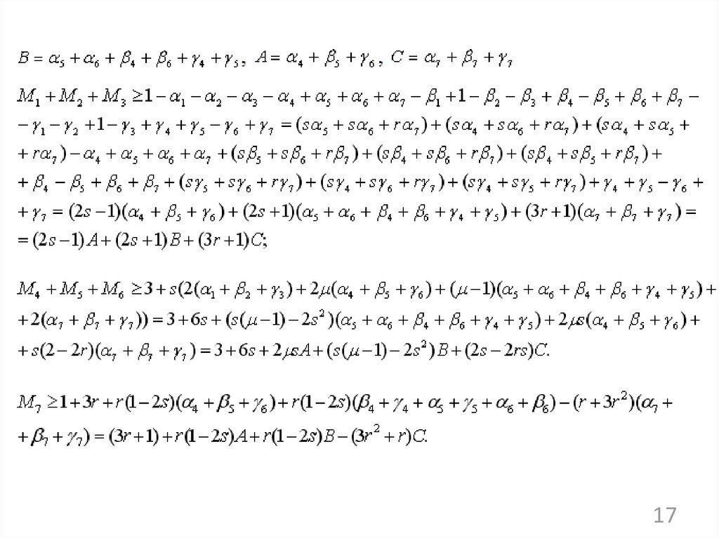
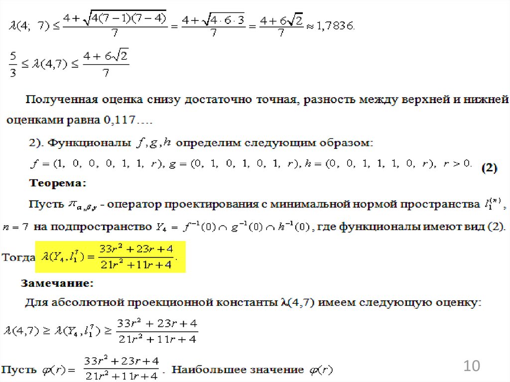
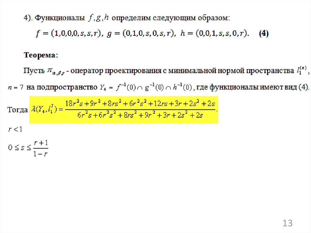
Глава 2. Относительные проекционные
константы.
9

10.

10

11.

11

12.

12

13.

13

14.

14

15.

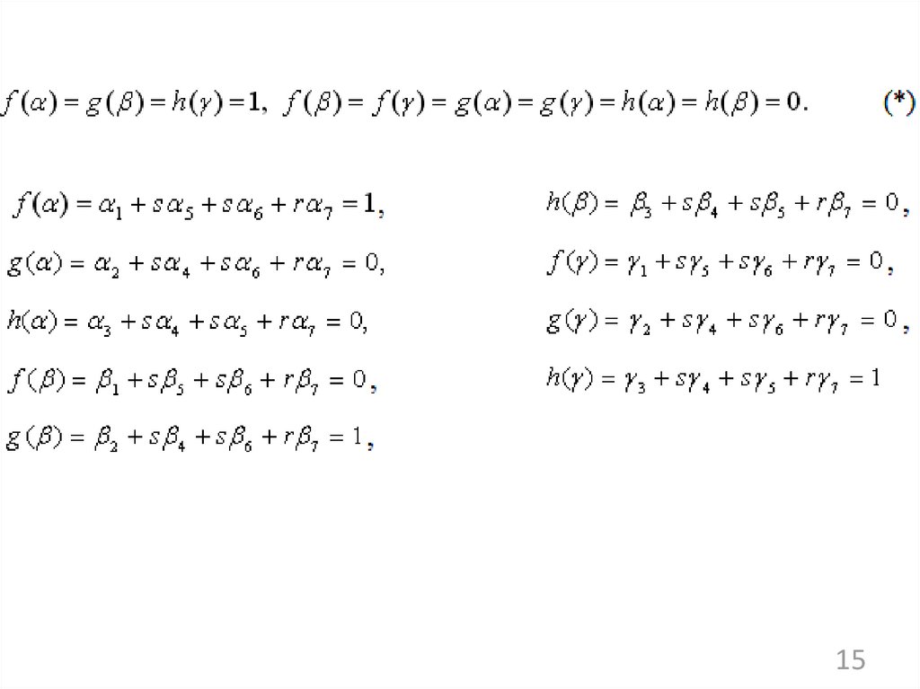
15

16.

16

17.

17

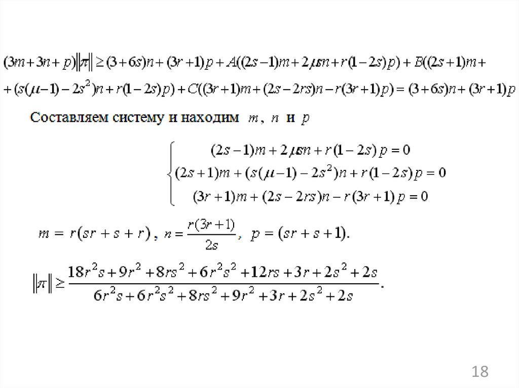
18.

18

19.

19

20.

20

21.

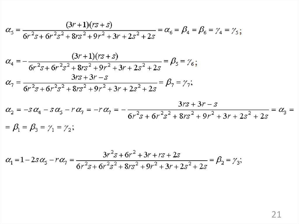
21

22.

22

23.

23

24.

24

25.

25

26.

26

27.

27

28.

28

29.

Результаты:
29

30.

Публикации:
30

31.

Список литературы:
31

32.

32
English     Русский Rules