133.02K
Category: mathematicsmathematics

Эллиптические функции. Практика 2

1.

Практика 2
Эллиптические функции

2.

x
x
dt
t 4 c 2 t 2 b 2t 2 b 2 c 2
0
t
tg
b
0
dt
(b t )(c t )
2
2
t b tg
b d
0
cos (b b tg )(c b tg )
2
2
2
2
0
2
2
2
1
cos b (1 tg )(c b
1 )
2
cos
2
2
2
2
2
1
1 tg
cos 2
2
b d
y
2
b d
dt
cos 2
y
2

3.

b d
y
0
1
cos b (1 tg )(c b
1 )
2
cos
2
2
2
0
2
0
y
0
b
b
2
cos
(c 1
)
2
2
cos
cos
b d
b 2 cos 4 2
b2
(c 1
)
2
2
cos
cos
b d
b ((c 1)(1 sin ) b )
2
2
0
2
2
0
2
2
2
b ((c 1)cos b )
2
b ((c 1) (c 1)sin b )
2
b d
y
b d
y
2
2
y
2
b d
y
2
2
2
2
2

4.

b d
y
0
b 2 ((c 2 1) (c 2 1)sin 2 b 2 )
b d
y
0
2
(
c
1)
2
2
2
2
(c b 1)b 1 2
sin
2
(c b 1)
d
y
0
(c b 1) 1 k sin
2
2
1
(c 2 b 2 1)
2
2
2
(
c
1)
2
k 2
(c b 2 1)
y
d
0
1 k 2 sin 2
F ( y, k )
(c 2 b 2 1)

5.

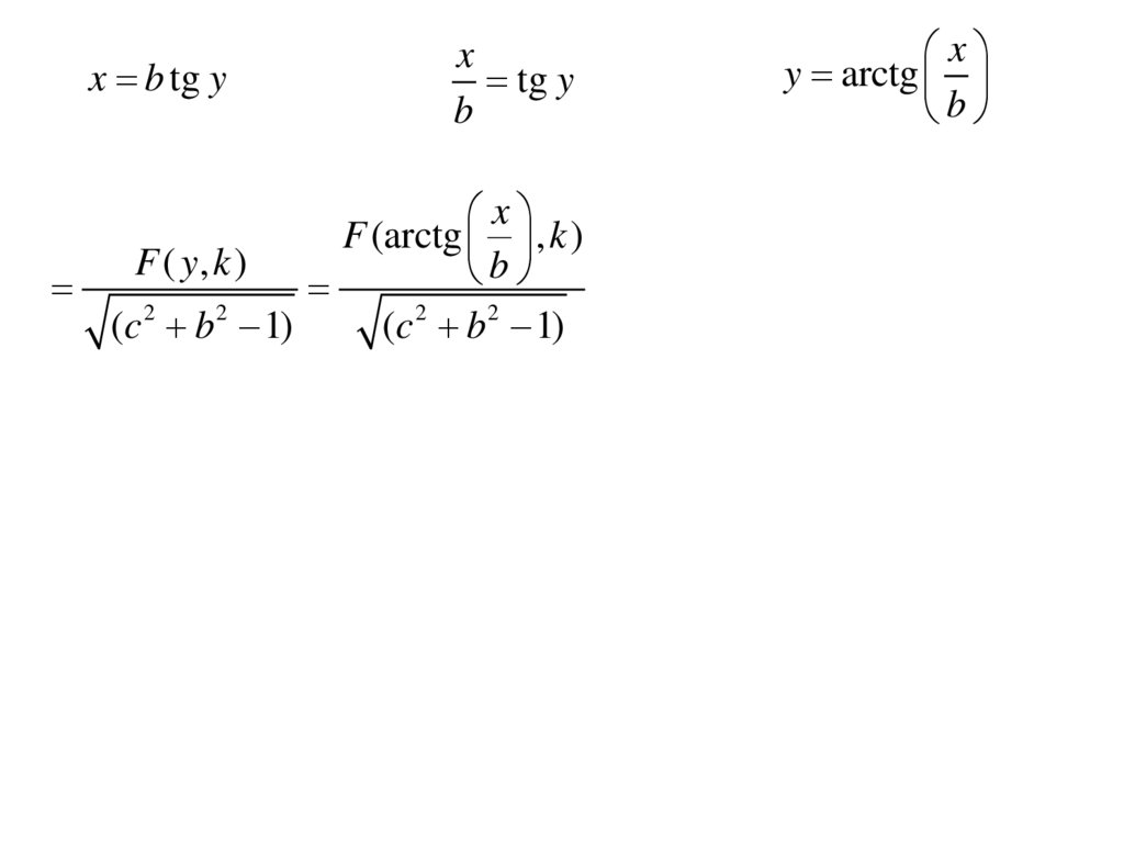
x b tg y
x
tg y
b
x
F (arctg , k )
F ( y, k )
b
2
2
(c b 1)
(c 2 b 2 1)
x
y arctg
b

6.

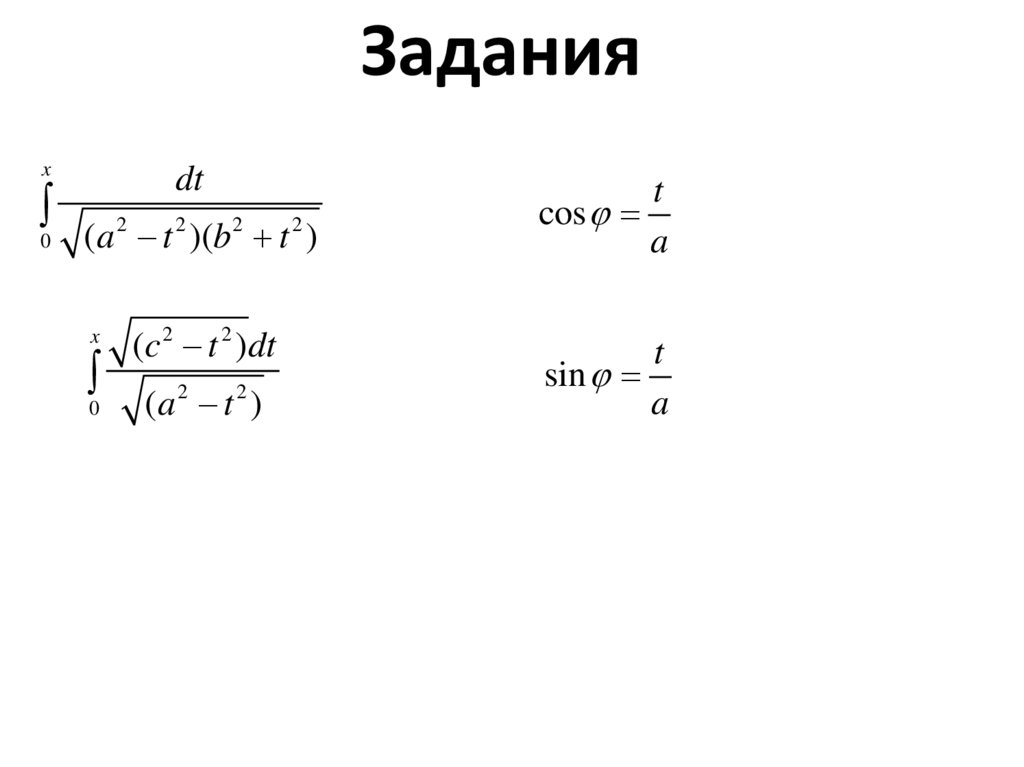
Задания
x
0
dt
(a 2 t 2 )(b 2 t 2 )
x
0
(c 2 t 2 )dt
(a 2 t 2 )
t
cos
a
sin
t
a
English     Русский Rules