316.44K
Category: mathematicsmathematics

Прохождение случайной волны через отверстие в экране. Теорема Ван-Циттерта-Цернике

1.

Прохождение случайной волны через отверстие в экране. Теорема ВанЦиттерта-Цернике
v( )
r ( , z)
u (r )
v( ), S ,
uв ( )
S.
0,
v( ) u (r ) z 0 u ( )
M ( ) E[ S ]
lv
uв ( ) M ( )v( )
keikz
ik
2
u (r )
M
(
)
v
(
)exp[
(
r
)
]d
2 iz
2z
К.а. поля за отверстием в
приближении Френеля
u (r ) 0
k
( 1 , 2 , z ) u ( 1 , z )u * ( 2 , z )
2 z
2
M ( ) M ( )
ik
* v ( )exp [( 1 ) 2 ( 2 ) 2 ]2 d d
2z
a

2.

a
lv
Малое отверстие
v (0) I v
( 1 , 2 , z ) I v uM ( 1 , z )uM* ( 2 , z )
keikz
ik
2
uM ( , z )
M
(
)exp[
(
)
]d
2 iz
2z
( 1 , 2 , z )
uM ( 1 , z )uM* ( 2 , z )
| K | 1
K ( 1 , 2 , z )
( 1 , 1 , z ) ( 2 , 2 , z ) | uM ( 1 , z ) || uM ( 2 , z ) |
L
a
lv
Большое отверстие
2
l
ab
v
Длина дифракции D
1
a b lv , D 1, L Lд

L
sin k
v k

lv2
klv2

3.

v( )
zпр
a
Fv ( )
alv
kalv
v 1 lv
zпр
2
v
kl
a
lv
v k
1
zпр
ka
2
lv
lv
a
1
zпр -дальняя зона по отношению к неоднородности и
ближняя по отношению к отверстию
Поле нормализуется еще в ближней зоне апертуры
z
( 1 2 ) 2 1 2
zпр ( ) 2
k
ik
ik
( , , z)
exp
M
(
)
M
(
)
(
)exp
(
)
v
d d
2
z
z
2
2
2
z
2
lv
a, a, M ( ) M ( ) M 2 ( ) M ( )
2
2
k kalv zпр
z zпр
z Lд ka 2
1
z
z
z
ik
k
ik
ik
( , , z)
exp
M
(
)exp
d
(
)exp
v
d
2 z
z
z
z
2

4.

ik
exp
z
ik
2
2
exp
(|
|
|
|
1
2
exp[ik ( r1 r2 )]
2z
a a
z a l
z a
a z
ik
k 2S
I u ( , z )
v ( )exp
d
2
(2 z )
z
z const.
z lv ( z lv 1 klv )
z
l
lv
Iu ( )
z
a
FM (0) 1
1
FM ( ) M ( )exp( i )d
S
k
ik
K ( ) exp
F
(
)
M
z
z
M ( ) 1, a; FM ( ) 2 J1 ( a) a

5.

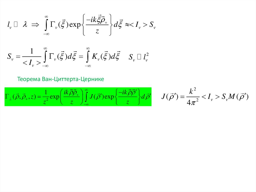
lv
ik
v ( ) exp
d I v Sv
z
1
Sv
v ( )d K v ( )d
I v
Sv
lv2
Теорема Ван-Циттерта-Цернике
1
ik
ik
( , , z ) 2 exp
J
(
)exp
d
z
z
z
k2
J ( ) 2 I v Sv M ( )
4
English     Русский Rules