5.40M
Category:
physics
Similar presentations:
Колебательный контур
Колебания. Колебательный контур
Колебательный контур
Колебательный контур
Колебательный контур
Колебательный контур
Колебательный контур
Колебательный контур
Колебательный контур
Колебательный контур
Колебательный контур. Подготовка к ЕГЭ
1.
Подготовка к ЕГЭ №18 и не только
2.
3.
4.
5.
6.
7.
8.
ЗАДАЧИ
9.
10.
11.
12.
13.
14.
15.
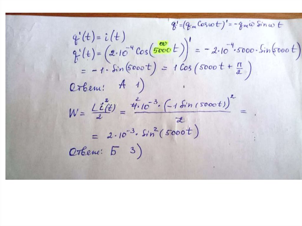
А 1)
Б 3)
16.
Вариант 28
закончить
17.
Вариант 25 закончить
18.
ДЗ по ЕГЭ 2020
Вариант 1,2,9,10,15,16, 19,20,25,26,29,30№ 15
Вариант 1,2 №26
Вариант 3,4,13,14 №18
Вариант 3,4 №23
Вариант 26 № 32
Вариант 27 №26
English
Русский
Rules