1.37M
Category:
chemistry
Similar presentations:
Обмен углеводов
Обмен углеводов
Обмен углеводов
Углеводы: функции и обмен
Обмен углеводов
Химия и обмен углеводов. Функции углеводов
Химия и обмен углеводов
Химия и обмен углеводов
Обмен углеводов. Углеводы как химические соединения. Функции углеводов
Строение и обмен углеводов
Обмен углеводов
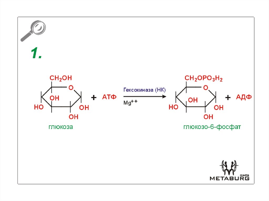
1.
English
Русский
Rules