Физика
Лектор
Рекомендуемые учебники
Физика
Материя
Поле
Механика
Кинематика
Динамика
Основные механические модели
Материальная точка (частица)
Абсолютно твердое тело
Деформация
Абсолютно упругое тело
Абсолютно неупругое тело
Система отсчета
Часы
Виды движения
Основные кинематические характеристики
Путь
Радиус-вектор
Радиус-вектор
Перемещение
Перемещение
Скорость
Средняя путевая скорость
Ускорение
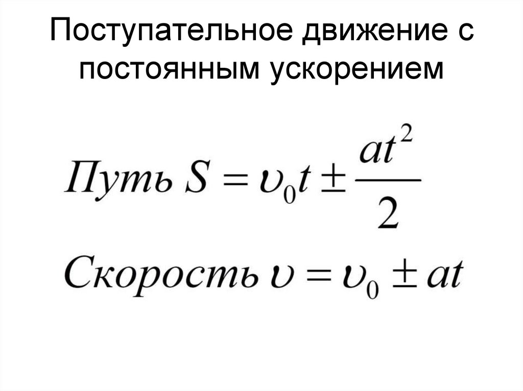
Поступательное движение с постоянным ускорением
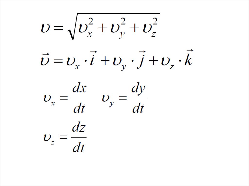
Движение по окружности
Угловой путь
Угловая скорость
Угловое ускорение
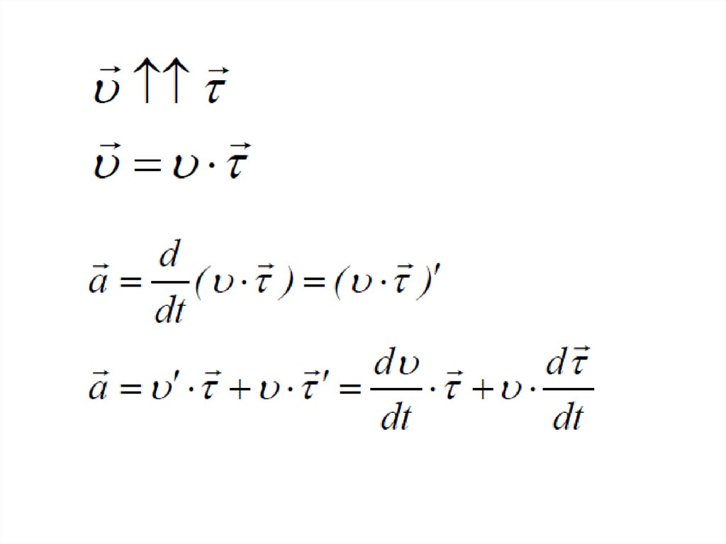
Криволинейное движение
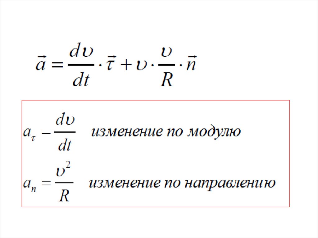
Ускорение при криволинейном движении
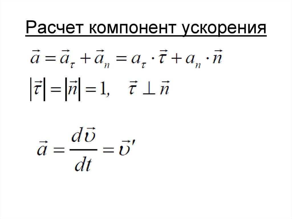
Расчет компонент ускорения
Случай вращения
Соответствия кинематических характеристик
405.18K
Category: physicsphysics

Механика кинематика 2024

1. Физика

2. Лектор

• Грищенко Ирина
Валентиновна
• 5 корпус, ауд. 305
• giv@sibguti.ru

3. Рекомендуемые учебники

• Трофимова Т.В. Курс физики
• Савельев И.В. Курс общей
физики, т.1 и т. 2
• Детлаф А.А., Яворский Б.М.
Курс физики
• Трофимова Т. И. Курс физики.

4. Физика

• Наука о простейших формах
движения материи и
соответствующих им
наиболее общих законах
природы

5. Материя

• Вся живая и неживая природа,
существующая объективно
(независимо от нашего
сознания), вечная во времени и
бесконечная в пространстве.
Вещество и поле - две формы
существования материи.

6. Поле

• Особая форма материи,
связывающая частицы
вещества в единые системы и
передающая с конечной
скоростью действие одних
частиц на другие.

7. Механика

МЕХАНИКА

8.

• Механика - изучает законы
механического движения и
взаимодействия тел
• Механическое движение изменение взаимного
расположения тел или их
частей.

9.

10. Кинематика

• Математически описывает
движение, не интересуясь
причинами, вызвавшими это
движение

11. Динамика

• Исследует влияние
взаимодействия тел на их
механическое движение

12. Основные механические модели

13. Материальная точка (частица)

• Тело, размеры и форма
которого в условиях данной
задачи несущественны.

14. Абсолютно твердое тело

• Тело, в котором расстояния
между любыми двумя точками
не изменяются ( можно
пренебречь деформацией).

15. Деформация

• Изменение взаимного
расположения частей тела

16. Абсолютно упругое тело

• Тело, которое при прекращении
воздействия, вызвавшего
деформацию, полностью
восстанавливает
первоначальные размеры и
форму.

17. Абсолютно неупругое тело

• Тело, которое при прекращении
деформирующего воздействия
полностью сохраняет
деформированное состояние

18. Система отсчета

• Система координат,
снабженная часами и жестко
связанная с телом отсчета
• Тело отсчета – абсолютно
твердое тело, по отношению к
которому определяется
положение других тел.

19. Часы

• Устройство, используемое для
измерения промежутков
времени между событиями.
• Траектория - линия, которую
описывает тело при движении
относительно выбранной
системы отсчета.

20. Виды движения

21.

• Если все точки тела проходят
одинаковые траектории, то такое
движение - поступательное
• Если все точки твердого тела
описывают окружности, центры
которых лежат на одной прямой,
называемой осью вращения, то такое
движение называется вращательным

22. Основные кинематические характеристики

23. Путь

• Длина траектории, скаляр. S

24. Радиус-вектор

M
z
3
2
1
k
x
3
2
j
1
i
1
r
2
3
y

25. Радиус-вектор

26. Перемещение

M
z
r
r(t)
r(t+ t)
k
j
i
x
y

27. Перемещение

28. Скорость

29.

30. Средняя путевая скорость

31. Ускорение

32. Поступательное движение с постоянным ускорением

33. Движение по окружности

34. Угловой путь

M(t+ t)
R
S R
M(t)
R

35. Угловая скорость

36. Угловое ускорение

37. Криволинейное движение

38.

Радиус
соприкасаю
щейся
окружности –
радиус
кривизны
траектории
М
R
n

39. Ускорение при криволинейном движении

V
an
a
a

40. Расчет компонент ускорения

41.

42.

43. Случай вращения

44. Соответствия кинематических характеристик

• Путь - угловой путь
• Скорость - угловая
скорость
• Ускорение –
угловое ускорение
English     Русский Rules