672.00K
Category: physicsphysics

2 лекция

1.

СВОБОДНЫЕ ЭЛЕКТРИЧЕСКИЕ КОЛЕБАНИЙ

2.

Запишем уравнение по второму правилу Кирхгофа:
q
di
L
C
dt
U C si
d 2q q
L 2 0
dt
C
1
0
LC
di d 2 q
2
dt dt
d 2q 1
q 0
2
dt
LC
T 2 LC
d2x
2
0x 0
2
dt
q q m cos 0 t 0

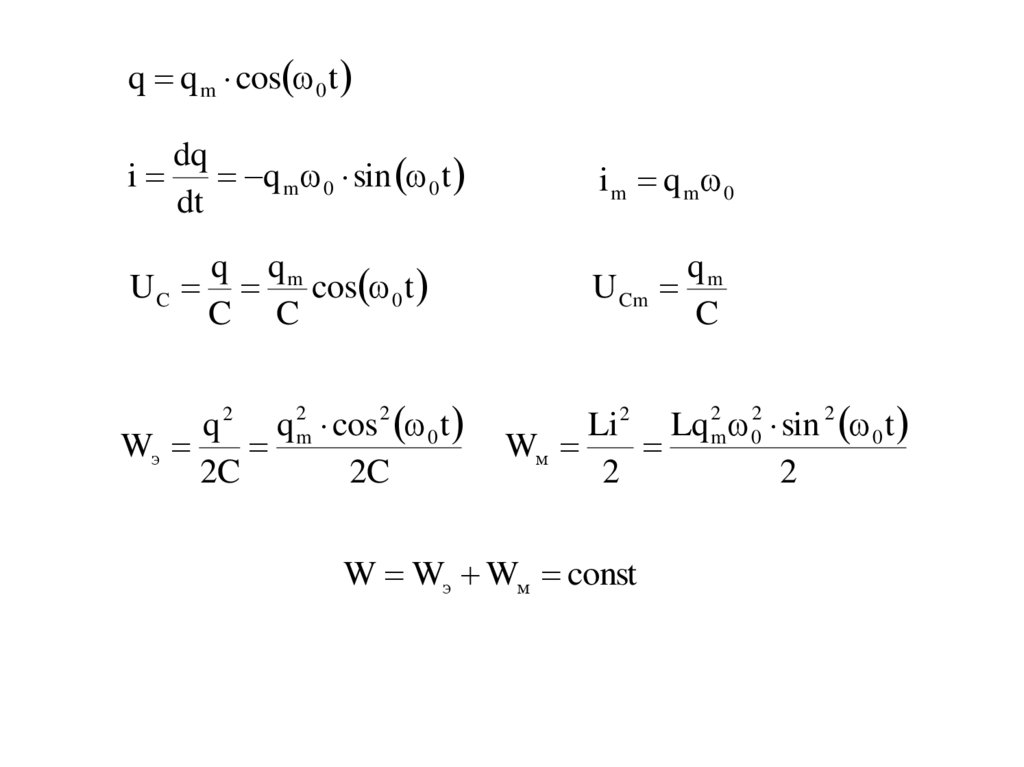
3.

q q m cos 0 t
i
dq
q m 0 sin 0 t
dt
q qm
UC
cos 0 t
C C
q 2 q 2m cos 2 0 t

2C
2C
i m q m 0
qm
U Cm
C
Li 2 Lq 2m 02 sin 2 0 t

2
2
W Wэ Wм const

4.

5.

СВОБОДНЫЕ ЗАТУХАЮЩИЕ
ЭЛЕКТРИЧЕСКИЕ КОЛЕБАНИЙ

6.

Запишем уравнение по второму правилу Кирхгофа:
U C i R si
i
dq
dt
q dq
di
R L 0
C dt
dt
d 2 q R dq 1
q 0
2
dt
L dt LC

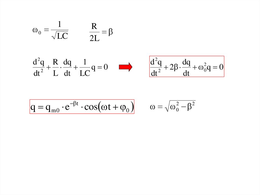
7.

1
0
LC
R
2L
d 2 q R dq 1
q 0
2
dt
L dt LC
d 2q
dq
2
2
0q 0
2
dt
dt
q q m 0 e t cos t 0
02 2

8.

R
2L
1
q m t
ln
q m t T
T
1 L
Q
R C
Критическое сопротивление 0 :
L
RК 2
C

9.

ВЫНУЖДЕННЫЕ ЭЛЕКТРИЧЕСКИЕ КОЛЕБАНИЯ

10.

m cos t
Запишем уравнение по
второму правилу Кирхгофа:
U C i R si
d 2 q R dq 1
m
q cos t
2
dt
L dt LC
L
d 2q
dq
m
2
2 0 q cos t
2
dt
dt
L

11.

q q m cos t 0
m
qm
L ( 02 2 ) 4 2 2
2
0 arctg 2
2
0
рез. 02 2 2

12.

1 0
2 3 4

13.

14.

15.

R
Перепишем выражение для qm с учетом
2L
qm
1
0
LC
m
1
2
R L
C
im qm
2
m
1
2
R L
C
2
Импеданс

16.

L X L - реактивное индуктивное сопротивление
1
X C - реактивное емкостное сопротивление
C
1
L
X L X C X - реактивное сопротивление
C
Z R 2 X2
Z - полное электрическое сопротивление (импеданс)

17.

Резонанс токов:
m
m
im
2
Z
1
2
R L
C

18.

Аналогично преобразуем выражение для 0:
R
0 arctg
1 L
C
English     Русский Rules