Теплообмен излучением
Основные черты теплообмена излучением
Основные понятия
Абсолютно черное тело
Квантовый характер излучения
Основные механизмы
Уравнение переноса излучения при отсутствии рассеяния
Однородный слой, [0,L]
Однородный слой, [0,L]
145.57K
Category: physicsphysics

Radiation

1. Теплообмен излучением

2. Основные черты теплообмена излучением

• Передача тепла излучением происходит, когда молекула испускает
(или поглощает) порцию электромагнитных волн
• Такие волны могут быть произведены только, когда электрические
заряды ускоряются
• Молекулы или атомы являются сложными, очень резонансными
гармоническими системами. Их внутренняя структура может быть
интерпретирована как имеющая большое количество резонансных
частот.
• При вращательно-колебательном движении молекул может
происходить сброс их внутренней энергии во внешнее пространство
квантами энергии с присущей каждому энергетическому переходу
соответствующей длины электромагнитной волны
• Спектр испускаемой радиации состоит из большого количества
отдельных спектральных
линий. Этот характер линий спектра
высокотемпературных газов делает излучение молекул очень
сложной и трудоемкой задачей

3. Основные понятия

1
c
- Волновое число
при использовании спектральных энергетических характеристик излучения надо
обязательно обращать внимание, к какой спектральной характеристике она относится:
к единичной длине волны, или единице частоты, или, наконец, к единичному
волновому числу. Для отличных обозначений используются соответствующие индексы.
единицы измерения радиационных характеристик далеко не всегда соответствуют
системе СИ. Длина волны для ИК излучения чаще всего задается в микронах (мкм),
а для видимого и ультрафиолетового излучения – в ангстремах (А). Для волнового
числа практически всегда используются обратные сантиметры (см-1).

4.

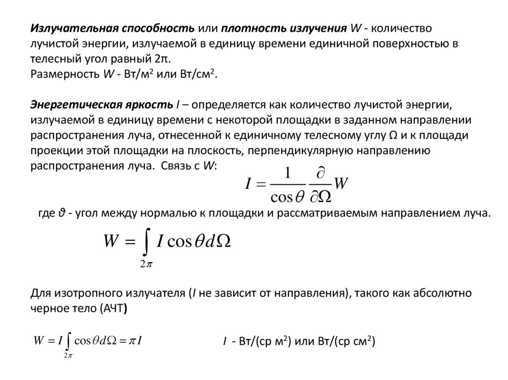
Излучательная способность или плотность излучения W - количество
лучистой энергии, излучаемой в единицу времени единичной поверхностью в
телесный угол равный 2π.
Размерность W - Вт/м2 или Вт/cм2.
Энергетическая яркость I – определяется как количество лучистой энергии,
излучаемой в единицу времени с некоторой площадки в заданном направлении
распространения луча, отнесенной к единичному телесному углу Ω и к площади
проекции этой площадки на плоскость, перпендикулярную направлению
распространения луча. Связь с W:
1
I
W
cos
где θ - угол между нормалью к площадки и рассматриваемым направлением луча.
W I cos d
2
Для изотропного излучателя (I не зависит от направления), такого как абсолютно
черное тело (АЧТ)
W I cos d I
2
I - Вт/(ср м2) или Вт/(ср см2)

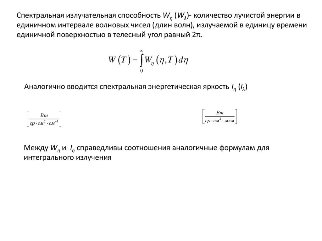
5.

Спектральная излучательная способность Wη (Wλ)- количество лучистой энергии в
единичном интервале волновых чисел (длин волн), излучаемой в единицу времени
единичной поверхностью в телесный угол равный 2π.
W T W , T d
0
Аналогично вводится спектральная энергетическая яркость Iη (Iλ)
Вт
ср см2 см 1
Вт
2
ср см мкм
Между Wη и Iη справедливы соотношения аналогичные формулам для
интегрального излучения

6. Абсолютно черное тело

формула Планка:
C1 3
W , T
exp C2 / T 1
0
Вт
см 2 см 1
C1 2 hc 2 3.7405 10 12 Вт см 2 3.7405 10 16 Вт м 2
C2
hc
1.43879 см K 1.43879 10 2 м K
k
2hc 2 3
B , T
hc
exp
1
kT

7.

Cпектральная эмиссия (спектральная степень черноты) (Spectral
Emissivity) - отношение спектральной яркости любого реального тела к
спектральной яркости абсолютно черного тела при той же самой температуре:
I , T / B , T
Спектральная отражательная способность (Spectral Reflectivity) - r(η)
показывает, какая часть энергии электромагнитного излучения с волновым
числом η, падающего на тело, отражается телом.
Спектральная пропускательная способность (Spectral Transmissivity) - τ(η)
показывает, какая часть энергии электромагнитного излучения с волновым
числом η, падающего на тело, проходит через тело. Для нее справедливо
следующее соотношение:
1 r

8. Квантовый характер излучения

Когда фотон (или электромагнитная волна) взаимодействует с молекулой газа, он
может быть или поглощен, поднимая энергетический уровень молекулы, или
рассеян, изменяя направление движения.
газовая молекула может спонтанно понизить свой энергетический уровень эмиссией
соответствующего фотона
Внутренняя энергия каждого атома и молекулы зависит от ряда факторов, прежде
всего от энергий, связанных с электронами, вращающимися на переменных
расстояниях вокруг ядра, атомов в пределах молекулы, вращающихся вокруг друг
друга и атомами в молекуле, вибрирующими друг относительно друга.
Квантовая механика постулирует, что энергетические уровни для атомной или
молекулярной электронной орбиты, а также энергетические уровни для
молекулярного вращения и вибрации квантуются; т.е., электронные орбиты и
вращательные и вибрационные частоты могут изменяться только определенными
дискретными количествами.

9. Основные механизмы

• Изменение орбиты электрона требует относительно большого
количества энергии или высокочастотного фотона, приводящего
к линиям поглотительной эмиссии в коротких длинах волн
между ультрафиолетовым и ближним инфракрасным (между
10-2 микрон и 1.5 микронами) диапазонами.
• Вибрационные изменения энергетического уровня требуют
несколько меньшего количества энергии, так что их
спектральные линии находятся в инфракрасном (между 1.5 и
10 мкм),
• изменения во вращательных энергетических уровнях требуют
наименьшего количества энергии и, таким образом,
вращательные линии найдены в далеком инфракрасном
диапазоне (выше 10 мкм).
• Изменения в вибрационных энергетических уровнях
сопровождаются вращательными переходами, приводя к
близко расположенным группам из спектральных линий,
приводя к появлению колебательно-вращательных полос в
инфракрасном диапазоне.

10. Уравнение переноса излучения при отсутствии рассеяния

Рассмотрим прямолинейную траекторию некотором направлении
Пусть s обозначает положение точки M на этой траектории
Для заданного волнового числа η коэффициент поглощения κ определяется
таким образом, что спектральная яркость, поглощенная малым сегментом Δs
возле M, равна
I , s , s I , s s
закон Бугера -Ламберта - Бера, определяющий ослабление параллельного
монохроматического пучка света при распространении его в поглощающей
среде.
dI
ds
I

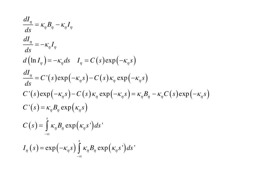
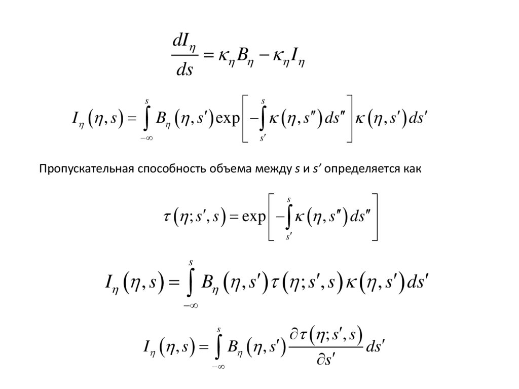
11.

dI
ds
B I
s
I , s B , s exp , s ds , s ds
s
s
Пропускательная способность объема между s и s’ определяется как
s
; s , s exp , s ds
s
s
I , s B , s ; s , s , s ds
; s , s
I , s B , s
ds
s
s

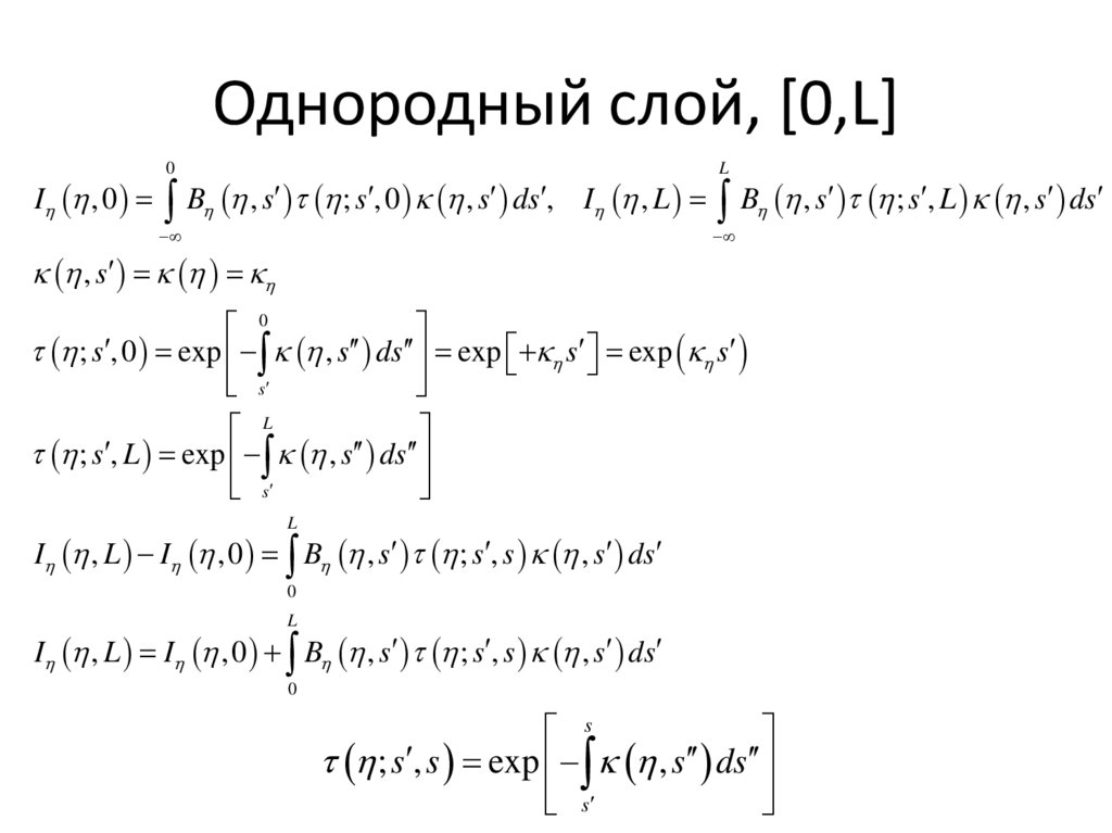
12. Однородный слой, [0,L]

0
L
I , 0 B , s ; s , 0 , s ds , I , L B , s ; s , L , s ds
, s
0
; s , 0 exp , s ds exp s exp s
s
L
; s , L exp , s ds
s
L
I , L I , 0 B , s ; s , s , s ds
0
L
I , L I , 0 B , s ; s , s , s ds
0
s
; s , s exp , s ds
s

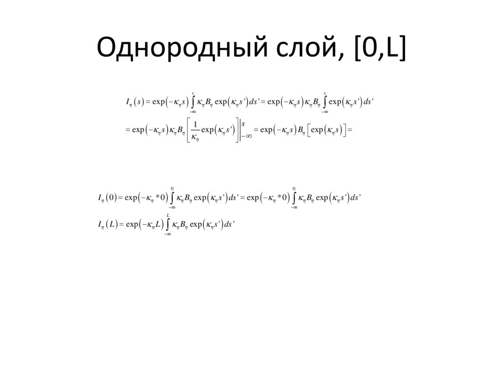
13.

dI
ds
dI
B I
I
ds
d ln I ds
dI
I C s exp s
C ' s exp s C s exp s
ds
C ' s exp s C s exp s B C s exp s
C ' s B exp s
s
C s B exp s ' ds '
s
I s exp s B exp s ' ds '

14. Однородный слой, [0,L]

s
s
I s exp s B exp s ' ds ' exp s B exp s ' ds '
1
s
exp s B exp s '
exp s B exp s
0
0
I 0 exp *0 B exp s ' ds ' exp *0 B exp s ' ds '
L
I L exp L B exp s ' ds '
English     Русский Rules