раздел 5. Численные методы решения обыкновенных дифференциальных уравнений
Постановка задачи
Метод эйлера
Выбор шага интегрирования
Метод эйлера
Метод рунке-кутта 2 порядка
Метод рунке-кутта 2 порядка
Метод рунке-кутта 4 порядка
760.01K

раздел 6

1. раздел 5. Численные методы решения обыкновенных дифференциальных уравнений

2.

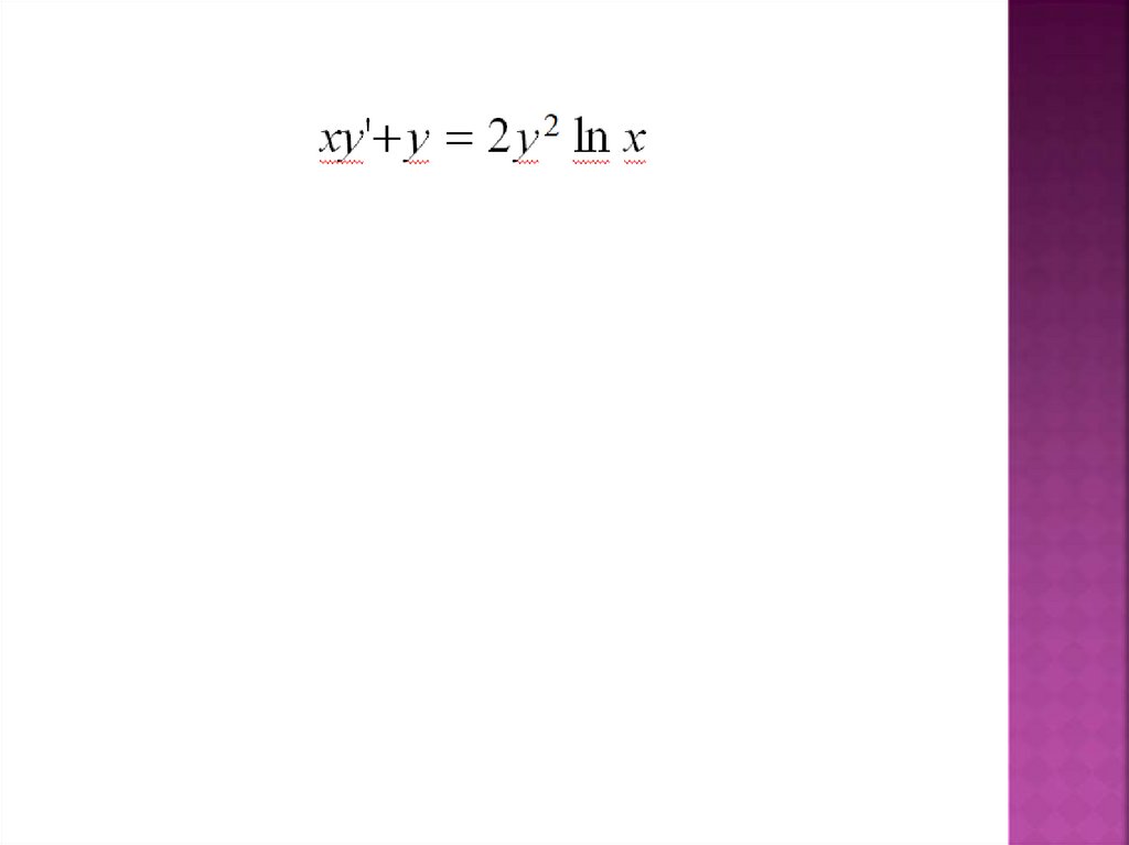
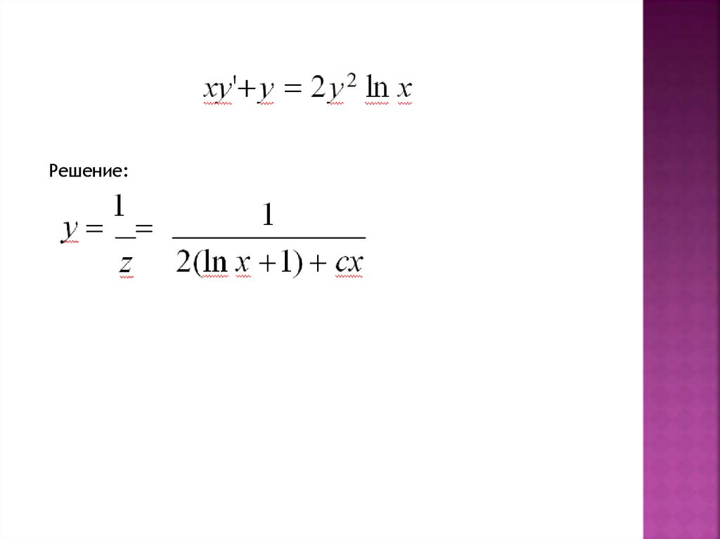
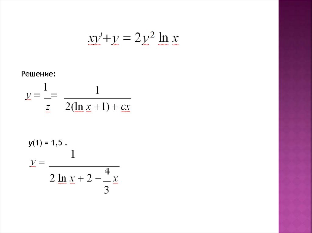
3.

Решение:

4.

Решение:
y(1) = 1,5 .

5. Постановка задачи

6. Метод эйлера

7. Выбор шага интегрирования

8.

9. Метод эйлера

Пример.
Решить задачу Коши:
Решение.
Найдем шаг интегрирования для точности
English     Русский Rules