Действия с арифметическими корнями
Определение
Арифметический корень n-ой степени
Терминология
Примеры
Рассмотрим примеры
Вывод
Теорема 6. Чтобы возвести корень в степень, достаточно возвести в эту степень подкоренное выражение и из результата извлечь тот
Пусть a > 0, тогда
Домашнее задание
1.93M
Category: mathematicsmathematics

10 класс

1. Действия с арифметическими корнями

2.

3. Определение

n
a b,
bn a
Корнем n-ной степени из числа a
называется такое число, n-ная степень
которого равна a.

4.

Число корней данного уравнения
зависит от n и a.

5. Арифметический корень n-ой степени

Арифметическим корнем n-й степени из
числа а называют неотрицательное
число, n-я степень которого равна a.
5

6. Терминология

- радикал
n – показатель корня
a – подкоренное число
(выражение)

7. Примеры

8. Рассмотрим примеры

1) Решите уравнение:

9.

Рассмотрим примеры
2) Решите уравнение:

10. Вывод

При n-чётном существуют два корня n-й
степени из любого положительного
числа a;
корень n-й степени из числа 0 равен
нулю;
корней чётной степени из
отрицательных чисел не существует.

11.

При нечётном n существует
корень n-й степени из любого
числа a, и притом только один!

12.

13.

Основные свойства корней
Теорема 1. Корень n-ой степени (n = 2, 3, 4, …) из
произведения двух неотрицательных чисел равен
произведению корней n-ой степени из этих чисел.
n
ab a b
n
n
Пример
2. 1. Вычислить:
Пример
Вычислить:
3 4 3 43
3 4 108 192
3 4 34 4
27 64 27 64 3 4 12
4 33 4 3 43 4 3 4 4 4
4
3 4 3 4 12
4

14.

Теорема 2.
Корень n-ой степени из отношения
неотрицательного числа a и положительного числа
b равен отношению корней n-ой степени из этих
чисел.
n
a
a
n
n
b
b
Пример 3.
3
27
27 3
Вычислить: 3
3
1,5
8
2
8
Пример 4.
Вычислить:
405 4 405 4 5 81 4 81 3
1,5
4
80
5 16
16 2
80
4

15.

Пример 5.
Вычислить:
5
19
243
243
3
5 7
5
5
1,5
32
32
2
32

16.

Теорема 3. Чтобы возвести корень n-ой степени из
неотрицательного числа a в натуральную степень k,
надо в эту степень возвести подкоренное выражение.
a a
k
n
n
k
Пример 6.
Вычислить:
2 2 2 4 4
3
6
3
6
3
2 3
3
3

17.

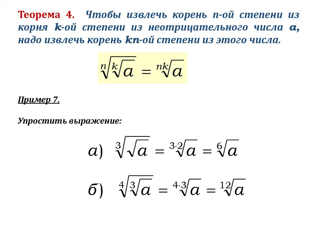
Теорема 4. Чтобы извлечь корень n-ой степени из
корня k-ой степени из неотрицательного числа a,
надо извлечь корень kn-ой степени из этого числа.
a
n k
nk
a
а)
3
а
3 2
б)
4 3
а
4 3
Пример 7.
Упростить выражение:
а а
6
а
12
а

18.

Теорема 5. Если показатели корня и подкоренного
выражения умножить или разделить на одно и то
же число, то значение корня не изменится.
mp
Пример 8.
а)
12
a
a
kp
m
а16 3 а 4
Пример 9.
Упростим выражение:
k
б)
а а а
3
4
3
а 6 а2
12
12
12
а а а
6
12 а 6 а 4 а 3 12 а13
4
3

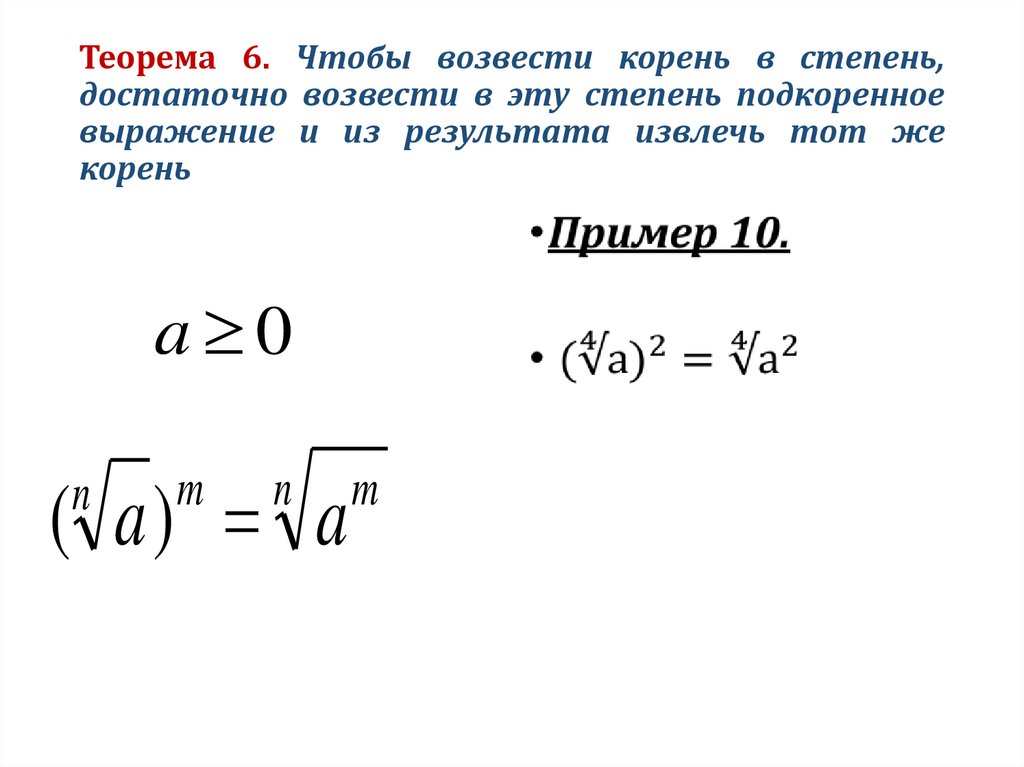
19. Теорема 6. Чтобы возвести корень в степень, достаточно возвести в эту степень подкоренное выражение и из результата извлечь тот

же
корень
a 0
( a) a
n
m
n
m

20. Пусть a > 0, тогда

Пусть a > 0, тогда
a a a ...;
a b a b a b a b ;
a b a a a b a ab b .
a
2
3
3
2
3
3
4
4
2
3
3
3
3
3
2
3
3
2

21.

22.

Самостоятельная работа
Вариант 1
Вариант 2
1. Вычислите:
3
а)
б)
3
3
2 3 4
;
4
81
3 3 9
;
4
16
а)
3
3 .
8
1
б) 4 5 .
16
2. Упростите выражение:
а а а .
3
2
4
3
3
а а а .
2
4
5
3

23.

Самопроверка самостоятельной работы
Вариант 1
Вариант 2
1. Вычислите:
а ) 1,5;
2
а)
;
3
б ) 1,5.
б ) 1,5.
2. Упростите выражение:
12
а .
32
60
91
а .

24. Домашнее задание

1. Вычислите:
а)
б)
в)
г)
2. Упростите:
а)
б)
3. Выполните действия:
в)

25.

26.

Задания открытого банка задач
Найдите значение выражения
5
Решение:
Решение:
10 5 16
5
5
10 5 16 5 10 16 5
32
2
.
5
5
5
Найдите значение выражения
18
5
7 7
2
18
18
7
3
7 18 7
6
7
7 7 18 7
18
1 1.
3
3
7
7
2
18
9
3

27.

Задания открытого банка задач
13 7
Найдите значение выражения
2
10 91
13 7
13 2 13 7 7
13 2 91 7
Решение:
2
2
10 91
2
10 91
10 91
20 2 91 2 10 91
2.
10 91
10 91
Найдите значение выражения x x 2 4x 4 при х 2.
Решение: x x 2 4x 4 x x 2 2 x x 2 x x 2 2,
Т.к. при х 2
x 2 x 2.
English     Русский Rules