Углеводы Моносахариды Дисахариды Полисахариды
План лекции
Классификация моносахаридов по характеру оксогруппы
Классификация моносахаридов по числу атомов углерода в цепи
Стереоизомерия моносахаридов
Стереоизомерия моносахаридов
Цикло-оксо-таутомерия моносахаридов
Реакции циклических форм моносахаридов
Образование O-гликозидов
Гидролиз гликозидов
Образование простых эфиров
Гидролиз сложных эфиров
Гидролиз сложных эфиров
Реакции ациклических форм моносахаридов
Восстановление моносахаридов
Восстановление моносахаридов
Окисление моносахаридов
Окисление моносахаридов
Окисление моносахаридов
Реакции брожения глюкозы
Аминосахара
Аскорбиновая кислота
Дисахариды
Образование молекулы мальтозы
Восстанавливающие
Химические свойства
Полисахариды
Гомополисахариды
Гетерополисахариды
Строение амилозы
Гидролиз амилозы
Гидролиз амилозы
Строение амилопектина
Строение декстрана
Строение целлюлозы
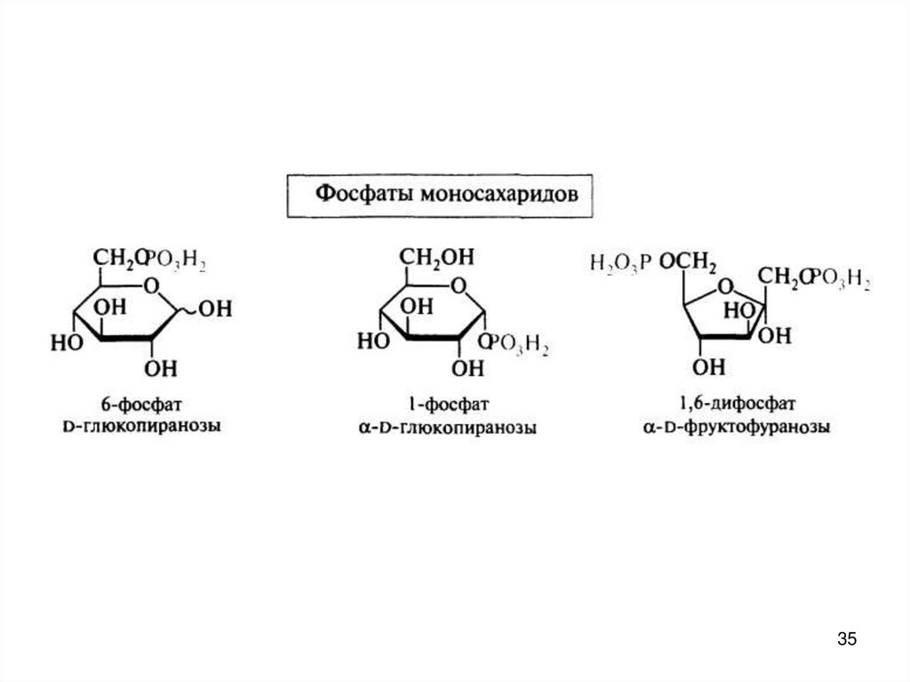
1.66M
Category: chemistrychemistry

Углеводы_Моносахариды_Полисахариды_2024_1

1. Углеводы Моносахариды Дисахариды Полисахариды

Ставропольский государственный медицинский университет
Кафедра общей и биологической химии
Углеводы
Моносахариды
Дисахариды
Полисахариды
1

2. План лекции


Классификация моносахаридов;
Стереоизомерия моносахаридов;
Цикло-оксо-таутомерия моносахаридов;
Реакции циклических форм моносахаридов;
Реакции ациклических форм моносахаридов;
Медико-биологическое значение моносахаридов.
• Классификация ди-и полисахаридов
• Химические свойства
• Медико-биологическое значение ди- и полисахаридов
• Гетерополисахариды
2

3. Классификация моносахаридов по характеру оксогруппы

альдозы
кетозы
O
CH2 -OH
C O
C H
(CH-OH)n
(CH-OH)n
CH2 -OH
CH2 -OH
3

4. Классификация моносахаридов по числу атомов углерода в цепи

• триозы
• тетрозы
• пентозы
• гексозы
4

5. Стереоизомерия моносахаридов

*
*
*
*
O
CH2 CH CH CH CH C
OH
OH OH OH OH
H
альдогексоза
N=2n=24=16
8 пар энантиомеров
5

6. Стереоизомерия моносахаридов

O
C H
2
H
OH
1
HO
H
H
3
4
HO
H
H
OH
HO
H
HO
5
6
OH
CH2OH
D-глюкоза
O
C H
H
CHOOH
H
HOH
CH2OH
CH2OH
L-глюкоза
D-глицериновый
альдегид
энантиомеры
6

7.

7

8.

8

9.

1.Призма Николя.
2.Кювета с оптически деятельным веществом.
3.Поляризованный свет (плоскость поляризации наклонна).
9

10.

диастереомеры
O
C H
2
HO
H
HO
H
H
1
1
O
C H
2
H
OH
O
C H
2
H
OH
3
3
3
4
H
OH
5
6
OH
CH2OH
D-манноза
HO
H
H
4
H
HO
OH
5
6
OH
CH2OH
D-глюкоза
эпимеры
1
HO
H
4
H
H
5
6
OH
CH2OH
D-галактоза
эпимеры
10

11.

Эпимеры - это пары диастереомеров,
различающиеся конфигурацией одного
из нескольких асимметрических атомов,
например:
11

12.

H
O
C H
OH
H
OH
H
H
OH
H
CH2OH
D-рибоза
O
C H
CH2
H
O
C H
OH
OH
HO
H
OH
H
OH
CH2OH
CH2OH
D-дезоксирибоза
D-ксилоза
альдопентозы
12

13.

1
CH2OH
2
C O
HO
H
H
3
4
H
OH
5
6
OH
CH2OH
D-фруктоза
кетогексоза
13

14.

14

15.

15

16. Цикло-оксо-таутомерия моносахаридов

16

17.

H
CH2 OH
..
CH OH
O
δ+
OH
H
C
C
C C
H
OH
H
OH
17

18.

H
O
C H
2
OH
1
HO
HO
α
OH
C
O
2
OH
1
3
4
OH
3
5
6
4
CH2OH
5
6
OH
OH
CH2OH
аномеры
β
HO
1
C
2
HO
H
OH O
3
4
5
6
OH
18
CH2OH

19.

H
1
C
2
HO
α
OH
OH
O
CH2OH
O
3
4
OH
5
6
CH2OH
α-D-глюкопираноза
HO
1
OH
OH
OH
Формула Хеуорса
Формула Колли-Толленса
19

20.

20

21.

β
HO
1
C
2
HO
H
OH
O
CH2OH
O OH
3
4
OH
5
6
CH2OH
β-D-глюкопираноза
HO
OH
OH
Формула Хеуорса
Формула Колли-Толленса
21

22.

H
1
C
2
O
C H
2
OH
1
HO
3
4
5
6
OH
OH
CH2OH
HO
OH α
OH
O
3
4
5
6
β
HO
OH
CH2OH
1
C
2
HO
H
OH
3
4
5
6
OH
22
CH2OH
O

23.

H
1
C
2
HO
OH α
OH
CH2OH
O
3
HO
O
1
4
5
6
OH
CH2OH
α-D-глюкофураноза
Формула Колли-Толленса
OH
OH
OH
Формула Хеуорса
23

24.

β
HO
1
C
2
HO
H
OH
CH2OH
O
3
HO
O
OH
4
5
6
OH
CH2OH
β-D-глюкофураноза
Формула Колли-Толленса
OH
OH
Формула Хеуорса
24

25.

Схема таутомерных превращений D-глюкозы
CH2 OH
O
HO
OH
O
OH
OH
-D-глюкофураноза
C
H
OH
CH2 OH
O
OH
OH
HO
OH
D-глюкопираноза (~36%)
HO
OH
OH
CH2 OH
CH2 OH
O OH
HO
OH
CH2 OH
O OH
OH
D-глюкоза
HO
OH
-D-глюкофураноза
< 0.5%
OH
D-глюкопираноза (64%)
25

26. Реакции циклических форм моносахаридов

26

27. Образование O-гликозидов

CH2OH
O OH CH3OH
HO
OH
CH2OH
O OCH
3
HCl газ HO OH
OH
β-D-глюкопираноза
OH
O-метил-β-Dглюкопиранозид
+ H2O
27

28. Гидролиз гликозидов

HO
CH2OH
O OC H H O
2 5
2
CH2OH
O OH
OH
OH
H+
OH
O-этил-β-Dглюкопиранозид
HO
OH
β-D-глюкопираноза
+ C2H5OH
28

29.

Образование N-гликозидов
CH2OH
O
OH
OH
C2H5NH2
OH
β-D-рибофураноза
CH2OH
O
OH
NHC2H5
OH
N-этил-β-Dрибофуранозид
+ H 2O
29

30. Образование простых эфиров

O-гликозидная
связь
HO
CH2OH
O OH CH I изб.
3
CH2OСH3
O OCH
OH
OСH3
NaOH
OH
β-D-глюкопираноза
H3СO
OСH3
простая
эфирная связь
+ NaI + H2O
30
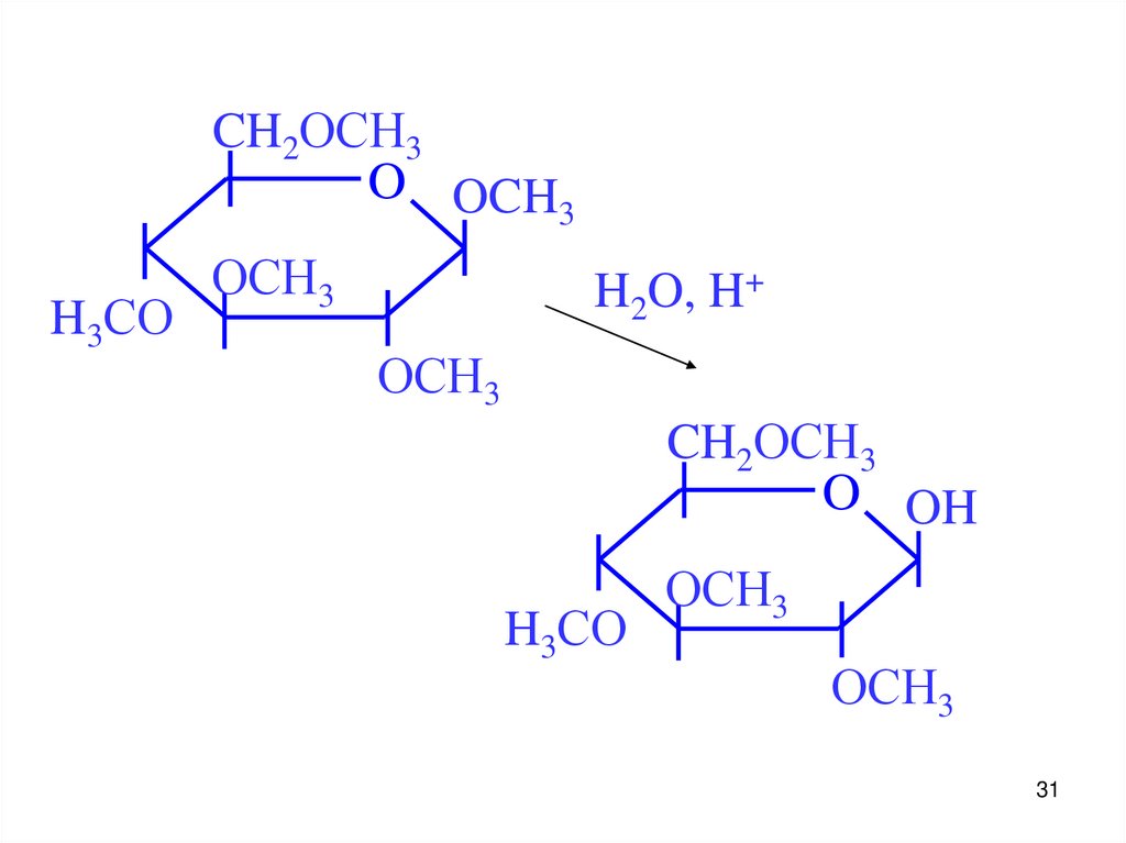
3

31.

CH2OСH3
O OCH
H3СO
OСH3
3
H2O, H+
OСH3
CH2OСH3
O OH
H3СO
OСH3
OСH3
31

32.

Образование сложных эфиров
CH2OH
O OH
HO
(CH3CO)2O
избыток
OH
O
CH2OAc
O O-C-CH
3
OH
β-D-глюкопираноза
AcO
OAc
OCOCH3
пентаацетилглюкоза
Ac
32

33. Гидролиз сложных эфиров

O
CH2OAc
O O-C-CH3
AcO
OAc
H2O, H+
CH2OH
O OH
OCOCH3
Ac
пентаацетилглюкоза
HO
OH
OH
β-D-глюкопираноза
+ 5 CH3COOH
33

34. Гидролиз сложных эфиров

O
CH2OAc
O O-C-CH
3
AcO
OAc
OCOCH3
H2O, NaOH
CH2OH
O OH
Ac
пентаацетилглюкоза
HO
OH
OH
β-D-глюкопираноза
+ 5 CH3COONa
34

35.

35

36. Реакции ациклических форм моносахаридов

36

37. Восстановление моносахаридов

O
C H
H
OH
CH2OH
[H]
H
OH
HO
H
HO
H
H
OH
H
OH
H
OH
CH2OH
H
OH
CH2OH
D-глюкоза
глюцит (сорбит)
37

38. Восстановление моносахаридов

H
O
C H
OH
HO
H
CH2OH
H
OH
H
HO
H
OH
H
OH
CH2OH
D-ксилоза
[H]
CH2OH
ксилит
38

39. Окисление моносахаридов

Слабыми окислителями в щелочной среде
39

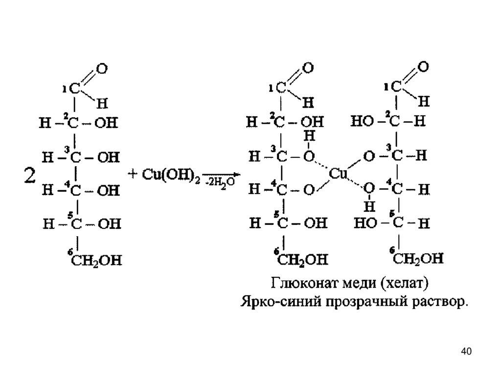
40.

40

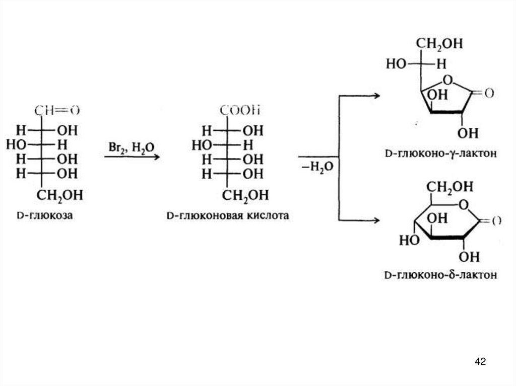
41. Окисление моносахаридов

Слабыми окислителями
слабокислой среде
O
C H
H
OH
Br2, H2O
HO
H
(HOBr)
H
OH
H
OH
CH2OH
D-глюкоза
в
нейтральной
и
O
C OH
H
OH
HO
H
H
OH
H
OH
CH2OH
41
D-глюконовая кислота

42.

42

43.

O
C O-
O
C OH
H
OH
H
OH
HO
H
HO
H
H
OH
H
OH
H
OH
CH2OH
H
OH
CH2OH
Ca(OH)2
D-глюконовая кислота
глюконат кальция
Ca2+
2
43

44.

44

45. Окисление моносахаридов

Сильными окислителями в сильнокислой среде
O
COOH
C H
H
OH
H
OH
HNO3
HO
H
HO
H
H
OH
H
OH
CH2OH
D-глюкоза
разбавл.
H
OH
H
OH
COOH
D-глюкаровая кислота
45

46.

Схема синтеза D- глюкуроновой кислоты
O
H
2
C
H
O
H
2
O
O
C
H
3
O
O
H
C
H
O
H
,
H
C
l
г
а
з
3
O
H
O
H
H
O НО
2
НО
O
H
O
H
C
D
г
л
ю
к
о
п
и
р
а
н
о
з
а
O
м
е
т
и
л
D
г
л
ю
к
о
п
и
р
а
н
о
з
и
д
C
C
O
O
H
O
O
H
H
O
O
H
НО
+
O
O
C
H
[
O
]НО
O
,
H
3
2
O
H
O
H
C
H
O
H
3
O
H
O
H
D
г
л
ю
к
у
р
о
н
о
в
а
я
O
м
е
т
и
л
л
и
к
о
з
и
д
и
с
л
о
т
а
(
ц
и
к
л
и
ч
е
с
к
а
я
D
г
л
ю
к
у
р
о
н
о
в
о
й
к
и
с
л
о
т
ык
ф
о
р
м
а
)
H
46
O

47. Реакции брожения глюкозы

C2H5OH + CO2
этанол
CH3-CH-COOH
C6H12O6
глюкоза
OH
молочная кислота
COOH
HOOC-CH2-С-CH2-COOH
OH
лимонная кислота
47

48. Аминосахара

D-глюкозамин
N-ацетил-D-глюкозамин
48

49.

49

50.

50

51. Аскорбиновая кислота

51

52.

52

53.

53

54.

Ставропольский государственный медицинский университет
Кафедра общей и биологической химии
ДИ- И ПОЛИСАХАРИДЫ
54

55.

Углеводы
Моносахариды
Полисахариды
Олигосахариды
Гомополисахариды
• дисахариды
• трисахариды
• тетрасахариды
и т.д (до n=10)
Гетерополисахариды
55

56.

Дисахариды
восстанавливающие
невосстанавливающие
полуацетальный
гидроксил +
спиртовой гидроксил
полуацетальный
гидроксил +
полуацетальный
гидроксил
•мальтоза
•целлобиоза
•лактоза
сахароза
56

57. Дисахариды

57

58. Образование молекулы мальтозы

CH2OH
CH2OH
O
HO
4
1
OH
O
OH
O
HO
1
OH
OH
OH
α-D-глюкопираноза
OH
α-1,4-гликозидная
связь
α-D-глюкопиранозил-1,4-α-D-глюкопираноза
58
α-мальтоза

59. Восстанавливающие

(аксиальная связь)
59

60.

(экваториальная связь)
-D-глюкопиранозил-1,4- -D-глюкопираноза
60

61.

-D-галактопиранозил-1,4-α-D-глюкопираноза
61

62. Химические свойства

62

63.

CH2 OH
CH2 OH
O
OH
O
OH
O
HO
OH
C
OH
оксо-таутомер мальтозы
H
OH
Ag(NH3)2OH
to
продукты окисления
мальтозы + Ag + NH + H O
3
2
Cu(OH)2
продукты окисления
мальтозы + Cu2O + H2O
to
63

64.

CH2OH
HO
O
OH
O
CH2OH
O OH
OH
CH3OH
HCl газ
OH
лактоза
β-D-галактопиранозил-1,4-β-D-глюкопираноза
OH
CH2OH
HO
O
OH
O
CH2OH
O OCH3
OH
OH
OH
O-метил-β-лактозид
64

65.

CH2 OH
HO
O
OH
O
CH2 OH
O OH
OH
H2O, H+
OH
OH
лактоза
β-D-галактопиранозил-1,4-β-D-глюкопираноза
CH2 OH
HO
O OH
+
OH
OH
β-D-галактопираноза
CH2 OH
O OH
OH
HO
OH
β-D-глюкопираноза 65

66.

Невосстанавливающие
CH2OH
O
HO
1
OH
OH
OH
O 1,2-гликозидная связь
α-D-глюкопираноза
сахароза
CH2 OH OH
α-D-глюкопиранозил-1,2O
β-D-фруктофуранозид
2
HO
CH2 OH
1
OH
β-D-фруктофураноза
66

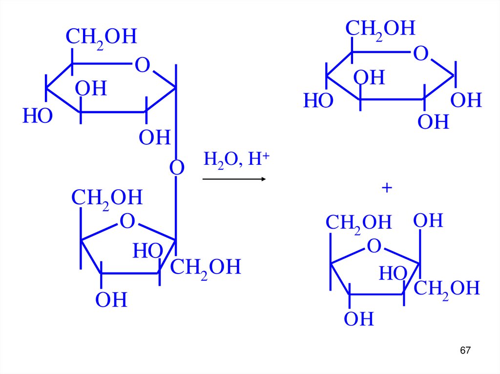
67.

CH2 OH
O
OH
HO
OH
+
H
O,
H
O 2
CH2 OH
O
HO
CH2 OH
OH
сахароза
CH2 OH
O
OH
OH
HO
OH
α-D-глюкопираноза
+
CH2 OH OH
O
HO
CH2 OH
OH
67
β-D-фруктофураноза

68. Полисахариды

Полисахариды (полиозы, гликаны) –
высокомолекулярные биополимеры, построенные
из остатков моносахаридов, связанных (1-4), (1-6)
и другими гликозидными связями.
п
68

69.

полисахариды
гомополисахариды
гетерополисахариды
69

70. Гомополисахариды

крахмал
целлюлоза
декстран
гликоген
70

71. Гетерополисахариды

Гепарин
Камеди
Слизи
Пектиновые
вещества
Гиалуроновая
кислота
Полисахариды
соединительной
ткани
71

72.

Крахмал – биополимер, состоящий из большого
количества α-D-глюкопираноз, связанных α-(1 4)-Огликозидной связью (тип связи мальтозы). В организме
гидролизуется ферментом амилазой поэтапно до
глюкозы (от «amilum» – крахмал):
Фракции крахмала:
•амилоза (10-20%)
•амилопектин (80-90%)
72

73. Строение амилозы

CH2 OH
O
OH
O
-1,4
CH2 OH
O
OH
CH2 OH
O
OH
O
OH
OH
OH
α-D-глюкопираноза
CH2 OH
O
OH
OH
O
O
n
73

74. Гидролиз амилозы

Кислотный гидролиз:
CH2 OH
O
OH
OH
амилоза
H2O, H+
O
n
CH2 OH
O
OH
n
HO
H
OH
OH
глюкоза
74

75. Гидролиз амилозы

Ферментативный гидролиз:
CH2 OH
O
OH
H2O
ферменты
H2O
ферменты
O
OH
CH2 OH
O
OH
OH
n
C12H22O11
мальтоза
O
m
декстрины
m<n
H2O
ферменты n
HO
H
CH2 OH
O
OH
OH
OH
глюкоза
75

76.

76

77. Строение амилопектина

O
CH2 OH
O
OH
OH
O -1,6
CH2 OH
O
OH
OH
CH2
O
O
OH
OH
O
-1,4
77

78.

Фракция крахмала – амилопектин имеет ветвистое
строение подобно гликогену за счет α-(1 6)-Огликозидных связей.
Гликоген (животный крахмал) – биополимер, имеющий
ветвистое строение, состоит из α-D-глюкопираноз,
связанных α-(1 4)-O-гликозидной и α-(1 6)-Oгликозидной связями.
78

79.

79

80. Строение декстрана

O
CH2
O
-1,6
O
CH2
O
CH2
O
O
O
OH
OH
OH
HO
HO
HO
OH
OH
OH
O
CH2
O
O
-1,3
CH2
O
O
OH
O
OH
-1,4
CH2
O
OH
HO
HO
OH
OH
80

81. Строение целлюлозы

CH2 OH
O
OH
OH
O
-1,4
CH2 OH
O
OH
O
OH
81

82.

Различают 6 классов
глюкозаминогликанов:
1. Гиалуроновая кислота
2. Хондроитин-4-сульфат
(хондроитин-сульфат А)
3. Дерматансульфат
(хондроитин-сульфат В)
4. Хондроитин-6-сульфат
(хондроитин-сульфат С)
5. Кератансульфаты I и II
6. Гепарин и гепарансульфат
83

83.

Две различные структурные единицы –
остаток D-глюкуроновой кислоты и N-ацетил-Dглюкозамина, соединенных друг с другом -(1 3)-Огликозидной связью.
84

84.

85

85.

ПРОТЕОГЛИКАН (ОСНОВА – УГЛЕВОД)
УГЛЕВОД + БЕЛОК
ГЛИКОПРОТЕИН (ОСНОВА – БЕЛОК)
86

86.

Смешанные биополимеры
87

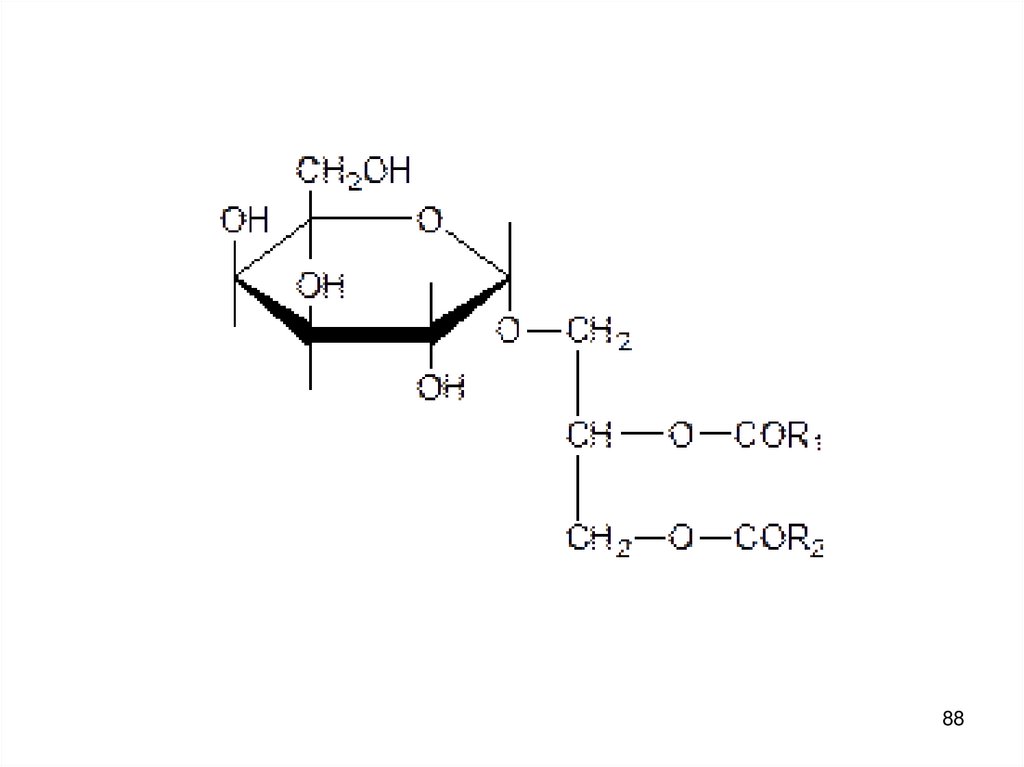
87.

88

88.

89

89.

СПАСИБО ЗА ВНИМАНИЕ!
90
English     Русский Rules