ОБМЕН УГЛЕВОДОВ
Углеводы – структура, функции, свойства
Углеводы
Функции углеводов
Классификация углеводов
Классификация моносахаридов
Стереоизомерия углеводов
Триозы
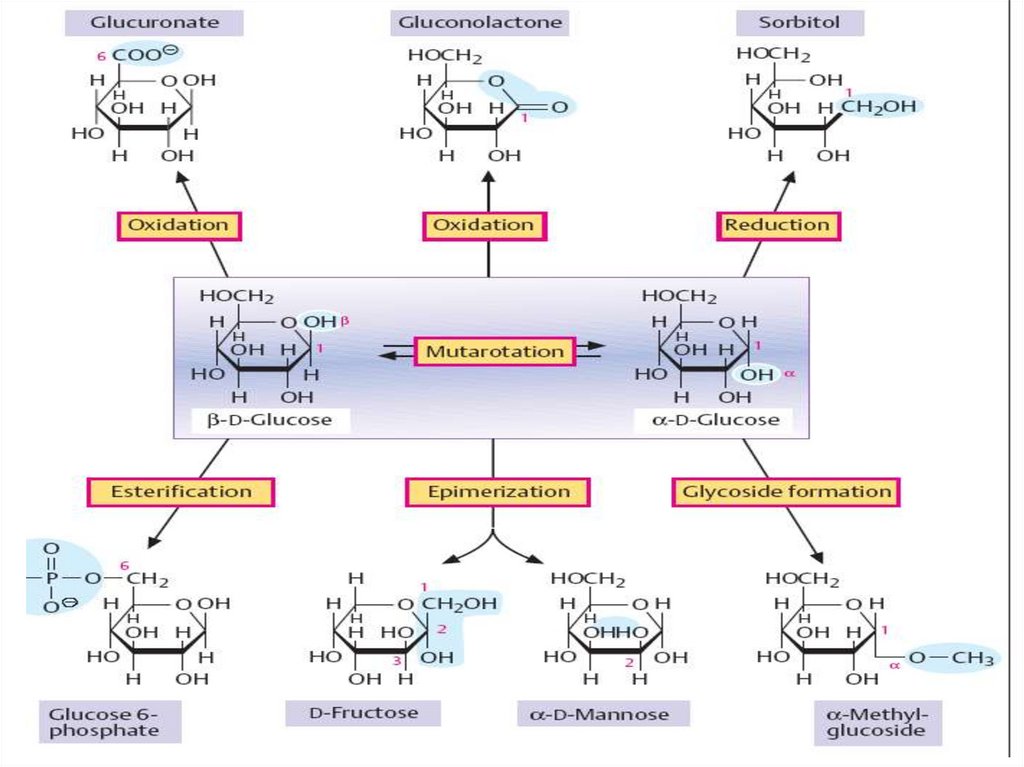
Стереоизомерия углеводов
D- и L-стереоизомеры углеводов
Стереоизомерия углеводов
Стереоизомерия углеводов
Стереоизомерия углеводов
Стереоизомерия углеводов
Стереоизомерия углеводов
Стереоизомерия углеводов
Стереоизомерия углеводов
Циклические структуры моносахаридов
Циклические структуры моносахаридов
Пентозы
Гексозы
Гексозы
Гексозы
Гексозы
Фосфорилирование глюкозы
Олигосахариды
Дисахариды Мальтоза (продукт распада крахмала и гликогена)
Дисахариды Лактоза (молочный сахар)
Дисахариды Сахароза (свекловичный сахар)
Полисахариды
Крахмал (резервный углевод растений)
Крахмал – амилоза
Крахмал – амилопектин
Гликоген
Целлюлоза (структурный углевод растений)
Гликозаминогликаны (мукополисахариды)
Гликозаминогликаны
Гликозаминогликаны
Гиалуроновая кислота
Хондроитин-4-сульфат
Гепарин
Кератан-сульфат
Литература
Переваривание и всасывание углеводов
Основные пищевые углеводы
Переваривание углеводов
Переваривание углеводов
Переваривание углеводов
Переваривание углеводов
Всасывание моносахаридов в тонком кишечнике
Вторично-активный транспорт
Вторично-активный транспорт
Нарушения переваривания и всасывания углеводов
Транспорт глюкозы
Глют-4
ГЛЮТ-4
Натрий зависимые ко-транспортеры глюкозы
Всасывание глюкозы из просвета кишечника
Реабсорбция глюкозы в проксимальных почечных канальцах
Использование глюкозы в тканях
Фосфорилирование глюкозы
Отличия глюкокиназы и гексокиназы
Обмен гликогена
Синтез гликогена
УДФ-глюкоза – активная форма глюкозы
Образование гликоген-затравки
Гликоген
Регуляция биосинтеза гликогена
Регуляция гликогенсинтазы
Регуляция гликогенсинтазы
Регуляция синтеза гликогена в мышцах
Гликогенолиз (мобилизация гликогена)
Гликогенолиз
Регуляция гликогенолиза
Регуляция гликогенфосфорилазы
Гликогеновые болезни
Болезнь Гирке (I тип)
Болезнь Помпе (II тип)
Обмен глюкозы
Гликолиз
Суммарная реакция анаэробного гликолиза
Схема аэробного гликолиза
Челночные системы
Малат-аспартатная челночная система
Малат-аспартатная челночная система
Глицеролфосфатная челночная система
Особенности окисления глюкозы в эритроцитах
2,3-бисфосфоглицератный цикл
2,3-бисфосфоглицерат (2,3-БФГ)
Биомедицинское значение 2,3-бисфосфоглицерата (2,3-БФГ)
Наследственные дефекты ферментов гликолиза в эритроцитах, которые сопровождаются изменением [2,3-БФГ]
Глюконеогенез
Глюконеогенез
Схема гликолиза и глюконеогенеза
Обходные пути глюконегенза
Обходные пути глюконегенза
Суммарная реакция глюконеогенеза
Глюкозо-лактатный цикл (цикл Кори)
Глюкозо-аланиновый цикл
Причины лактоацидоза
Регуляция гликолиза и глюконеогенеза
Регуляция гликолиза и глюконеогенеза
Регуляция гликолиза и глюконеогенеза
Регуляция гликолиза и глюконеогенеза
Регуляция гликолиза и глюконеогенеза
Гормональная регуляция гликолиза и глюконеогенеза
Гормональная регуляция гликолиза и глюконеогенеза
Пентозофосфатный путь окисления глюкозы
Пентозофосфатный путь окисления глюкозы
Пентозофосфатный путь окисления глюкозы
Пентозофосфатный путь окисления глюкозы
Пентозофосфатный путь окисления глюкозы – окислительный этап
Неокислительный этап пентозофосфатного пути – I реакция
Неокислительный этап пентозофосфатного пути – II реакция
Неокислительный этап пентозофосфатного пути – III реакция
Неокислительный этап пентозофосфатного пути окисления глюкозы
Неокислительный этап пентозофосфатного пути окисления глюкозы
Схема пентозофосфатного пути
Варианты протекания пентозофосфатного пути
Варианты протекания пентозофосфатного пути
Варианты протекания пентозофосфатного пути
Регуляция пентозофосфатного пути
Дефект глюкозо-6-фосфат дегидрогеназы в эритроцитах
Тельца Хайнца
Обмен фруктозы и галактозы
Метаболизм фруктозы
Метаболизм фруктозы в печени
2.87M
Category: biologybiology

1_3__metabolismul_glucidelor_ru_2021-2022_stud-123728

1. ОБМЕН УГЛЕВОДОВ

Svetlana Protopop
doctor în științe medicale,
conferențiar universitar

2. Углеводы – структура, функции, свойства

3. Углеводы

- полигидроксикарбонильные
органические вещества.
•Общая формула – Сm(Н2О)n
•Углеводы составляют около 1% массы
сухого вещества в животных клетках, а в
клетках печени — до 5%.
•В растительных клетках углеводы
составляют до 90% сухой массы.

4. Функции углеводов

1. Энергетическая (4,3 ккал/г).
2. Структурная (гликозаминогликаны,
целлюлоза).
3. Запасающая (гликоген, крахмал).
4. Защитная (слизь секретов).
5. Клеточное взаимодействие.
6. Определяют специфичность белков
(гликопротеины; пр. – группы крови).

5. Классификация углеводов

•Моносахариды – общая формула (СН2О)n,
где n ≥ 3.
•Олигосахариды – 2-10 остатков
моносахаридов.
•Полисахариды – более 10 остатков
моносахаридов.

6. Классификация моносахаридов

• В зависимости от числа атомов углерода
различают:
триозы (3С);
тетрозы (4С);
пентозы (5С);
гексозы (6С);
гептозы (7С).
• В зависимости от положения карбонильной
группы:
1. Альдозы
2. Кетозы

7.

CHO
CH2OH
H C OH
C O
CH2OH
CH2OH
Глицеральдегид
Дигидроксиацетон
CHO
CH2OH
H C OH
C O
HO
C
H
HO
C
H
H C OH
H C OH
H C OH
H C OH
CH2OH
CH2OH
D-глюкоза
D-фруктоза

8. Стереоизомерия углеводов

• Стереоизомеры это соединения, имеющие
одну и ту же структурную формулу, но
различающиеся по пространственной
конфигурации.
• Образование стереоизомеров возможно при
наличии в составе молекулы
ассиметричных (хиральных) атомов
углерода (к которым присоединены 4
различных атома или группы).

9. Триозы

CHO
CH2OH
H C OH
C O
CH2OH
Глицеральдегид
CH2OH
Дигидроксиацетон

10. Стереоизомерия углеводов

• Число возможных изомеров зависит от
числа ассиметричных атомов (n) и равна 2n
Ряд моносахаридов
Число хиральных
атомов углерода
Число
стереоизомеров
Кетотриозы
0
1
Альдотриозы
1
2
Кетопентозы
2
4
Альдопентозы
3
8
Кетогексозы
3
8
Альдогексозы
4
16

11.

CHO
CH2OH
H C OH
C O
CH2OH
CH2OH
Глицеральдегид
Дигидроксиацетон
CHO
CH2OH
H C OH
C O
HO
C
H
HO
C
H
H C OH
H C OH
H C OH
H C OH
CH2OH
CH2OH
D-глюкоза
D-фруктоза

12. D- и L-стереоизомеры углеводов

• Разделение углеводов на D- и Lстереоизомеры основано на сравнении
пространственной конфигурации с
конфигурацией глицеральдегида.
CHO
H C OH
CH2OH
D-Глицеральдегид
CHO
HO C H
CH2OH
L-Глицеральдегид

13. Стереоизомерия углеводов

• Принадлежность к D- и L-ряду
определяется ориентацией групп –Н и –ОН
при атоме углерода, соседнем с концевым
атомом углерода (или последним
хиральным атомом).
• Если группа –ОН при этом углероде
находится справа, сахар принадлежит к Dряду, если же она стоит слева, сахар
относится к L-ряду.

14. Стереоизомерия углеводов

CHO
H C OH
HO
C H
CHO
HO
C
H
H C OH
H C OH
HO
C
H
H C OH
HO
C
H
CH2OH
CH2OH
D-Глюкоза
L-Глюкоза
• Большинство моносахаридов в организме
человека имеют D-конфигурацию.

15.

16. Стереоизомерия углеводов

• Присутствие ассиметричных атомов
углерода является причиной оптической
активности моносахаридов.
• Если пучок плоскополяризованного света
пропустить через раствор оптического
изомера, плоскость поляризации света
поворачивается либо вправо
(правовращающий изомер, +), либо влево
(левовращающий изомер, –).

17. Стереоизомерия углеводов

• Оптические изомеры обозначают как D(+),
D(–), L(+) или L(–).
• Если D- и L-изомеры присутствуют в равных
количествах, их смесь не проявляет
оптической активности. Такие смеси
называют рацемическими (или DL-смесями).

18. Стереоизомерия углеводов

• Энантиомеры – стереоизомеры, которые
отличаются между собой конфигурацией
всех ассиметричных атомов. Имеют
одинаковое название и свойства, но
отличаются по оптическим свойствам.
• Пример – D(+)-глюкоза и L(–)-глюкоза.

19. Стереоизомерия углеводов

• Диастереоизомеры – стереоизомеры,
которые отличаются между собой
конфигурацией одного – максимум n-1
ассиметричных атомов. Имеют разные
названия, физико-химические и оптические
свойства.
• Пример – все D-альдогексозы.

20. Стереоизомерия углеводов

• Эпимеры – диастереоизомеры, которые
отличаются между собой конфигурацией
одного ассиметричного атома. Имеют
разные названия, физико-химические и
оптические свойства.
• Примеры – D(+)-глюкоза и D(+)-галактоза;
D(+)-глюкоза и D(+)-манноза.

21. Циклические структуры моносахаридов

• У альдоз образуются в результате
взаимодействия альдегидной и спиртовой
групп (полуацеталь).
• У кетоз образуются в результате
взаимодействия кето- и спиртовой групп
(полукеталь).
• Образуются пиранозные и фуранозные
циклы.

22. Циклические структуры моносахаридов

O
Фуран
O
Пиран
• У циклических форм образуются 2 изомера
относительно карбонильного атома
углерода, который становится
ассиметричным – α- и β-аномеры.
Гидроксильная группа у этого атома
называется гликозидной.

23.

24. Пентозы

CHO
CH2OH
H C OH
H C OH
CH2OH
O
H
H
H
OH
H
H C OH
CH2OH
D-рибоза
CH2OH
C O
OH
OH
CH2OH
D-рибулоза
H
H
H
OH
α-D-рибофураноза
OH
β-D-рибофураноза
CH2OH
OH
O
H C OH
H C OH
OH
O
H
H
H
H
OH
H
β-D-дезоксирибофураноза

25. Гексозы

H
CH2OH
O
OH
CHO
HO
C
H
OH
α-D-глюкопираноза
H
CH2OH
D-глюкоза
OH
H
H C OH
H C OH
H
OH
H C OH
H
CH2OH
O
OH
OH
H
OH
H
H
OH
β-D-глюкопираноза

26. Гексозы

CH2OH
O
OH
OH
CHO
HO
C
H
HO
C
H
H C OH
CH2OH
D-галактоза
H
OH
H
H
H C OH
H
OH
α-D-галактопираноза
CH2OH
O
OH
OH
OH
H
H
H
H
OH
β-D-галактопираноза

27. Гексозы

H
CHO
HO
C
H
HO
C
H
H C OH
OH
H
OH
OH
OH
H
H
α-D-маннопираноза
H C OH
CH2OH
CH2OH
O
H
D-манноза
CH2OH
O
OH
OH
OH
OH
H
H
H
β -D-маннопираноза

28. Гексозы

CH2OH
CH2OH
O
CH2OH
H
C O
HO
C
H
H C OH
H C OH
CH2OH
D-фруктоза
H
HO
OH
OH
H
α-D-фруктофураноза
CH2OH
OH
O
H
H
OH
HO
CH2OH
H
β -D-фруктофураноза

29.

30. Фосфорилирование глюкозы

Глюкокиназа
Гексокиназа
CH2OH
O
OH
CH2 OPO3H2
O
OH
OH
HO
OH
Глюкоза
АТФ
OH
HO
АДФ
OH
Глюкозо-6-фосфат

31. Олигосахариды

В зависимости от количества остатков
моносахаридов делятся на:
•Дисахариды
•Трисахариды
•Тетрасахариды и т.д.
Наиболее распространенные в природе –
дисахариды.

32. Дисахариды Мальтоза (продукт распада крахмала и гликогена)

H
CH2OH
O
OH
H
H
H
OH
CH2OH
O
OH
H
O
H
OH
H
OH
H
OH
Состоит из двух остатков -глюкозы.
Связь – (1→4)-гликозидная.

33. Дисахариды Лактоза (молочный сахар)

CH2OH
O
OH
OH
H
O
H
CH2OH
O
OH
H
H
H
H
OH
H
OH
H
OH
Состоит из β-галактозы и -глюкозы.
Связь – β(1→4)-гликозидная.

34. Дисахариды Сахароза (свекловичный сахар)

H
CH2OH
O
H
OH
H
H
OH
OH
O
CH2OH
O
H
H
OH
HO
H
CH2OH
Состоит из
-глюкозы и β-фруктозы.
Связь – , β(1→2)-гликозидная.

35. Полисахариды

1. Гомополисахариды:
• крахмал (резервный углевод растений);
• гликоген (резервный углевод животных);
• целлюлоза (клеточная стенка растений);
2. Гетерополисахариды:
• Гиалуроновая кислота;
• Гепарин, гепаран-сульфат;
• Кератан-сульфат, дерматан-сульфат,
хондроитин-сульфат.

36. Крахмал (резервный углевод растений)

Состоит из 2-х фракций:
• Амилоза (линейный крахмал) – 15-20%;
• Амилопектин (разветвленный крахмал) –
80-85%. Каждая ветвь состоит из 24-30
остатков глюкозы.
• Резервный углевод растений.
• Содержится в злаках, картофеле, бобовых.

37. Крахмал – амилоза

H
CH2OH
O
OH
H
H
H
O
CH2OH
O
OH
OH
H
H
O
H
H
CH2OH
O
OH
H
O
O
H
OH
H
H
Амилоза состоит из -глюкозы.
Связь – (1→4)-гликозидная.
OH

38. Крахмал – амилопектин

H
CH2OH
O
OH
H
CH2OH
O
H
H
OH
O
H
H
CH2OH
O
OH
OH
H
H
H
O
CH2OH
O
OH
OH
H
H
OH O
OH
CH2
H
O
H
H
O
H
H
O
OH
H
H
H
O
H
CH2OH
O
OH
H
O
O
H
OH
H
H
OH
Амилопектин состоит из -глюкозы.
Связи – (1→4)- и (1→6)- гликозидные.

39. Гликоген

H
CH2OH
O
OH
H
CH2OH
O
H
H
OH
O
H
H
CH2OH
O
OH
OH
H
H
H
O
CH2OH
O
OH
OH
H
H
OH O
OH
CH2
H
O
H
H
O
H
H
O
OH
H
H
H
O
H
CH2OH
O
OH
H
O
O
H
OH
H
H
OH
Гликоген состоит из -глюкозы. Каждая ветвь
состоит из 11-18 остатков глюкозы.
Связи – (1→4)- и (1→6)- гликозидные.

40. Целлюлоза (структурный углевод растений)

CH2OH
O
O
OH
H
O
H
CH2OH
O
CH2OH
O
OH
H
O
OH
OH
O
H
H
H
H
CH2OH
O
OH
H
H
OH
H
H
OH
H
OH
Целлюлоза состоит из β-глюкозы.
Связь – β(1→4)-гликозидная.
O

41. Гликозаминогликаны (мукополисахариды)

• Это гетерополисахариды, состоящие из
повторяющихся дисахаридных единиц.
Содержат:
Аминосахара: D-глюкозамин
D-галактозамин
Уроновые кислоты: Глукуроновая кислота
Идуроновая кислота.
• Входят в состав межклеточного вещества
соединительной ткани.

42. Гликозаминогликаны

• Гиалуроновая кислота
• Хондроитин 4- и 6-сульфат
• Кератан-сульфат
• Дерматан-сульфат
• Гепарин
• Гепаран-сульфат

43. Гликозаминогликаны

Название
Гиалуроновая
кислота
Хондроитинсульфат
Гепарин
Аминосахар
D-глюкозамин
D-галактозамин
D-глюкозамин
Уроновая кислота
Глюкуроновая
кислота
Глюкуроновая
кислота
Глюкуроновая и
идуроновая
кислота
(преобладает)
Связь в дисахариде β(1→3)
β(1→3)
α(1→4)
Связь между
дисахаридными
единицами
β(1→4)
β(1→4)
α(1→4)
Сульфат или
ацетил
N-ацетил
глюкозамин
4- и/или 6-сульфат
галактозамин
6-сульфат и Nсульфат (или Nацетил)
глюкозамин и 2сульфат идуронат

44. Гиалуроновая кислота

Глюкуроновая
кислота
N-ацетил
глюкозамин

45. Хондроитин-4-сульфат

Глюкуроновая
кислота
N-ацетил
галактозамин

46. Гепарин

Глюкуроновая
или идуроновая
кислоты
Глюкозамин

47. Кератан-сульфат

48. Литература

Северин Е.С., Биохимия, 2004; стр. 297-305;
703-707.
Тюкавкина Н.А. Биоорганическая химия,
2009, стр. 193-225.

49. Переваривание и всасывание углеводов

50. Основные пищевые углеводы

• Крахмал
• Гликоген
• Целлюлоза
• Сахароза
• Лактоза
• Глюкоза
• Фруктоза

51. Переваривание углеводов

• В ЖКТ все поли- и олигосахариды
расщепляются до моносахаридов.
• Ферменты, расщепляющие поли- и
олигосахариды, являются гликозидазами
(относятся к классу гидролаз).
• Моносахариды всасываются из просвета
тонкого кишечника в кровь.

52. Переваривание углеводов

• Начинается в ротовой полости под
действием α-амилазы слюны, которая
расщепляет α-1,4-гликозидные связи в
крахмале и гликогене.
• Так как действие фермента в ротовой
полости кратковременно, крахмал
расщепляется до декстринов и небольшого
количества мальтозы.
• В кислой среде желудка действие амилазы
прекращается.

53. Переваривание углеводов

• Желудочный сок не содержит ферментов,
расщепляющих углеводы.
• Переваривание углеводов продолжается в
тонком кишечнике под действием
панкреатической α-амилазы, которая
расщепляет декстрины до мальтозы.
• Образуется и небольшое количество
изомальтозы и разветвленные
олигосахариды.
• Целлюлоза не расщепляется в ЖКТ человека.

54. Переваривание углеводов

• Переваривание дисахаридов происходит под
действием кишечных ферментов дисахаридаз,
расположенных на наружной поверхности
мембраны энтероцитов.
Мальтоза мальтаза
2 α-глюкозы
Сахароза
Лактоза
Трегалоза
сахараза
лактаза
трегалаза
α-глюкоза + β-фруктоза
β-галактоза + α-глюкоза
2 α-глюкозы

55. Всасывание моносахаридов в тонком кишечнике

• Простая диффузия – при высокой
концентрации моносахаридов.
• Вторично-активный транспорт (Na+, АТФ) –
глюкоза, галактоза.
• Облегченная диффузия – фруктоза, манноза.

56. Вторично-активный транспорт

• Происходит симпорт Na+ и глюкозы из
кишечника в энтероцит посредством натрийзависимого ко-транспортера глюкозы.
• Na+ транспортируется по градиенту
концентрации, а глюкоза – против градиента
концентрации.

57. Вторично-активный транспорт

• После всасывания глюкоза покидает
энтероцит через мембрану, обращенную к
кровеносному капилляру по механизму
облегченной диффузии с участием
транслоказ.
• Na+ выходит из энтероцита в обмен на ионы
К+ за счет работы Na+,К+- АТФ-азы.

58.

59. Нарушения переваривания и всасывания углеводов

• Непереносимость лактозы:
Причина – недостаточность лактазы
• наследственная
• приобретенная
• Клинические проявления:
• Осмотическая диарея
• Метеоризм
• Спазмы и боли в животе.
• Реже – непереносимость сахарозы и
трегалозы

60. Транспорт глюкозы

• Транспорт глюкозы из крови в клетки
происходит облегченной диффузией по
градиенту концентрации с участием
транспортеров глюкозы (транслоказ) ГЛЮТ,
GLUT – glucose transporters.
• На данный момент известны 14 ГЛЮТ.

61.

GLUT1
транспорт глюкозы в
эритроциты
КМ низкий
Высокое сродство
GLUT2
транспорт глюкозы из
энтероцитов в кровь;
транспорт глюкозы в гепатоциты
и β-клетки поджелудочной железы
КМ высокий
Низкое сродство
GLUT3
транспорт глюкозы в клетки
нервных тканей
GLUT4
транспорт глюкозы в мышцы и
жировую ткань
GLUT5
транспорт фруктозы
КМ низкий
Высокое сродство
Инсулинзависимый!!

62. Глют-4

• ГЛЮТ-4 находится в цитозольных везикулах.
Инсулин стимулирует транспорт везикул,
содержащих ГЛЮТ-4, на плазматическую
мембрану. Происходит слияние везикул с
мембраной и встраивание транспортеров в
мембрану.
• Увеличение количества ГЛЮТ-4 приводит к
усилению транспорта глюкозы в клетку.

63. ГЛЮТ-4

64. Натрий зависимые ко-транспортеры глюкозы

Натрий зависимые котранспортеры глюкозы
• Второй тип транспорта глюкозы через мембраны
– вторично-активный транспорт против градиента
концентрации с участием натрий-зависимых котранспортеров глюкозы SGLT – sodium dependent
glucose transporters;
• SGLT1 – апикальная поверхность энтероцитов
(всасывание глюкозы из просвета кишечника);
• SGLT2 – проксимальные почечные канальцы
(реабсорбция глюкозы).

65. Всасывание глюкозы из просвета кишечника

https://www.researchgate.net/figure/Models-for-glucose-and-fructose-transport-across-the-intestinal-epithelium-Glucose-is_fig1_327346100

66. Реабсорбция глюкозы в проксимальных почечных канальцах

https://menafn.com/1099737653/Asia-Pacific-Sodium-dependent-Glucose-Co-transporter-2-SGLT2-Market-Analysis-2020-to-2024

67. Использование глюкозы в тканях

Синтез
пентоз
Глюкоза
Синтез других
моносахаридов → олиго-,
гетерополисахариды
Синтез
гликогена
Синтез
липидов
Синтез заменимых
аминокислот
Гликолиз

68. Фосфорилирование глюкозы

Глюкокиназа
Гексокиназа
CH2OH
O
OH
CH2 OPO3H2
O
OH
OH
HO
OH
Глюкоза
АТФ
OH
HO
OH
АДФ
Глюкозо-6-фосфат
Любое превращение глюкозы начинается
с ее фосфорилирования.

69. Отличия глюкокиназы и гексокиназы

Субстрат
Сродство к
субстрату
Регуляция
Инсулин
Глюкокиназа Гексокиназа
Печень
Др. органы
Глюкоза
+ др. гексозы
Низкое –↑КМ Высокое –↓КМ
=10 ммоль/л) = 0,1 ммоль/л
Ингибитор –
Г-6-Р
индуцирует
-Локализация

70. Обмен гликогена

71.

H
CH2OH
O
OH
H
CH2OH
O
H
H
OH
O
H
H
CH2OH
O
OH
OH
H
H
H
O
CH2OH
O
OH
OH
H
H
OH O
OH
CH2
H
O
H
H
O
H
H
O
OH
H
H
H
O
H
CH2OH
O
OH
H
O
O
H
OH
H
H
OH
• Гликоген запасается в печени и в
мышцах.
• 5% от массы печени (100 г)
• 1% от массы мышц (350 г)
• 450 г гликогена
• Гликогеногенез (синтез гликогена).
• Гликогенолиз (распад гликогена,
мобилизация гликогена).

72. Синтез гликогена

CH2OH
O
OH
Глюкокиназа
Гексокиназа
OH
HO
OH
Глюкоза
HO
ATP
ADP
CH2OH
O
OH
OH
Глюкозо-6-фосфат
CH2OH
O
UDP-глюкозопирофосфорилаза
O PO3H2
HO
CH2 OPO3H2
ФосфоглюкоO
мутаза
OH
OH
OH
Глюкозо-1-фосфат
UTP
OH
O UDP
HO
H4P2O7
OH
UDP-глюкоза

73.

УДФ-глюкоза – активная форма глюкозы
O
HOH2C
H
OH
O
H
OH
OH
O
O
O
H
NH
H
P
O-
N
O
P
O
H2C
O
OOH
OH
O

74. УДФ-глюкоза – активная форма глюкозы

Гликоген (n глюкоз) + УДФ-глюкоза
Гликогенсинтаза
Гликоген (n+1 глюкоза) + УДФ
Гликогенсинтаза образует только
α-1,4-гликозидные связи.
α-1,6-гликозидные связи образуются
гликоген-ветвящим ферментом
(амило-1,4→1,6-гликозилтрансфераза).

75.

Гликогенсинтаза
Гликогенветвящий фермент
Гликогенсинтаза

76.

Образование гликоген-затравки
Гликозилтрансферазная
активность гликогенина
+ UDP-глюкоза
+ UDP

77. Образование гликоген-затравки

Гликоген

78. Гликоген

Регуляция биосинтеза гликогена
• Регуляторным ферментом синтеза
гликогена является гликогенсинтаза.
• Инсулин активирует гликогенсинтазу
(дефосфорилирование фермента).
• Адреналин, глюкагон ингибируют
гликогенсинтазу (фосфорилирование
фермента).

79. Регуляция биосинтеза гликогена

Регуляция гликогенсинтазы

80. Регуляция гликогенсинтазы

81. Регуляция гликогенсинтазы

Регуляция синтеза гликогена в
мышцах

82. Регуляция синтеза гликогена в мышцах

Гликогенолиз (мобилизация гликогена)
Гликоген (n глюкоз) + Н3РО4
Гликогенфосфорилаза
ГлюкозаГликоген (n-1 глюкоз) + 1-фосфат
Глюкоза- Глюкозо-6-фосфатаза
6-фосфат
Печень
Мышцы
Гликолиз
Н2О
Фосфоглюкомутаза
Глюкоза
Н3РО4
Кровь

83. Гликогенолиз (мобилизация гликогена)

Гликогенолиз
• Гликоген-фосфорилаза расщепляет только
α-1,4-гликозидные связи.
• α-1,6-гликозидные связи расщепляются
гликоген-деветвящим ферментом (олиго1,6→1,4-гликантрансфераза).
• Фермент обладает:
1. трансферазной активностью;
2. 1→6-гликозидазной активностью.

84. Гликогенолиз

Гликогенфосфорилаза
Гликогендеветвящий фермент
Гликогендеветвящий фермент
Н2О
Глюкоза
Гликогенфосфорилаза

85.

Регуляция гликогенолиза
• Регуляторным ферментом распада гликогена
является гликогенфосфорилаза.
• Адреналин, глюкагон активируют
гликогенфосфорилазу (фосфорилирование
фермента).
• Инсулин ингибирует гликогенфосфорилазу
(дефосфорилирование фермента).

86. Регуляция гликогенолиза

Регуляция гликогенфосфорилазы

87. Регуляция гликогенфосфорилазы

Гликогеновые болезни
• Наследственные болезни, обусловленные
снижением или отсутствием активности
ферментов, участвующих в распаде или
синтезе гликогена.
• Гликогенозы
• Агликогенозы

88. Гликогеновые болезни

Болезнь Гирке (I тип)
• Причина – наследственный дефект глюкозо6-фосфатазы
• Печеночная форма
• Гепатомегалия, увеличение почек
• Гипогликемия
• Отставание в развитии
• Судороги
• Гипертриглицеридемия
• Гиперурикемия
• Ацидоз

89. Болезнь Гирке (I тип)

Глюкозо-6-фосфатаза
Глюкозо-6-фосфат
Глюкоза
Гипогликемия
Стимуляция липолиза
Судороги
Снижение
секреции инсулина
Стимуляция
секреции катехоламинов
Стимуляция
гликогенолиза в мышцах
↓ Синтез белков
↑ Лактат
Лактат конкурирует с мочевой кислотой
за почечную экскрецию
↑ Ацетил-СоА
↑ Кетоновые тела
Ацидоз
↑ Мочевая
кислота

90.

Болезнь Помпе (II тип)
• Причина – наследственный дефект
лизосомальной α-1,6-гликозидазы.
• Смешанная форма
• Генерализованное накопление гликогена в
лизосомах, а затем в цитозоле.
• Кардиомегалия
• Мышечная гипотония

91. Болезнь Помпе (II тип)

Обходные пути глюконегенза
CH2 OPO3H2
CH2 OPO3H2
O
II
HO
OH
H2O
H3PO4
Фруктозо-1,6-бифосфат
CH2 OPO3H2
O
CH2OH
O
HO
OH
III
CH2 OPO3H2
Фруктозо-1,6бифосфатаза
OH
Фруктозо-6-фосфат
CH2OH
O
Глюкозо-6-фосфатаза
OH
OH
OH
Глюкозо-6-фосфат
OH
HO
OH
HO
OH
H2O
H3PO4
OH
Глюкоза

92. Обмен глюкозы

Суммарная реакция глюконеогенеза
2 Пиуват + 4АТФ + 2ГТФ + 2НАДН+2Н+ +
+ 4Н2О
Глюкоза + 4АДФ + 2ГДФ +
+ 6Н3РО4 + 2НАД+

93. Гликолиз

Глюкозо-лактатный цикл
(цикл Кори) Мышцы
Печень
Кровь
Глюкоза
Глюкоза
Пируват
Пируват
Лактат
Лактат

94.

Глюкозо-аланиновый цикл
Печень
Мышцы
Кровь
Глюкоза
Глюкоза
Пируват
Пируват
Аланин
Аланин

95.

Причины лактоацидоза
• Гипоксии (активация анаэробного гликолиза)
• Патология печени (нарушение глюконеогенеза)
• Наследсвенные дефекты ферментов
глюконеогенеза (пример – глюкозо-6фосфатаза)
• Нарушение ПДК (дефекты ферментов или
гиповитаминозы)
• Лекарства (бигуаниды ингибируют
глюконеогенез)

96.

Регуляция гликолиза и
глюконеогенеза
• Осуществляется на уровне ферментов,
катализирующих необратимые реакции
гликолиза и глюконеогенеза.
• Активаторы гликолиза являются
ингибиторами глюконеогенеза и наоборот.

97.

Регуляция гликолиза и
глюконеогенеза
• Аллостерическая регуляция
• Регуляция энергетическим статусом клетки
• Ковалентная регуляция –
фосфорилирование/дефосфорилирование
• Индукция/репрессия ферментов

98.

Регуляция гликолиза и
глюконеогенеза
Глюкоза
Гексокиназа
-
Глюкозо-6фосфатаза
Глюкозо-6фосфат
+
В печени глюкокиназа индуцируется инсулином

99.

Регуляция гликолиза и
глюконеогенеза
Фруктозо-6фосфат
Фруктозо-1,6Фосфофруктодифосфатаза
киназа
+
-
Фруктозо-1,6дифосфат
Фруктозо-2,6-дифосфат
АМФ
-
+
АТФ, НАДН

100.

Регуляция гликолиза и
глюконеогенеза
Фосфоенол
РЕПкарбоксипируват
киназа
Пируваткиназа
-
+
АТФ, НАДН,
ацетил-КоА, ЖК
Оксалоацетат
Пируват
Пируваткарбоксилаза
-
+Ф-1,6-диР,
АМФ

101.

Гормональная регуляция
гликолиза и глюконеогенеза
• Инсулин (абсорбтивный период) приводит к
дефосфорилированию регуляторных
ферментов гликолиза и глюконеогенеза –
гликолиз активируется, а глюконеогенез
ингибируется.
• Глюкагон (голодание) приводит к
фосфорилированию регуляторных
ферментов гликолиза и глюконеогенеза (в
печени) – гликолиз ингибируется, а
глюконеогенез активируется.

102. Суммарная реакция анаэробного гликолиза

Гормональная регуляция
гликолиза и глюконеогенеза
• Адреналин активирует глюконеогенез в
печени, активирует гликогенолиз и
гликолиз в мышцах.
• Кортизол индуцирует регуляторные
ферменты глюконеогенеза:
• Фосфоенолпируваткарбоксикиназа
• Фруктозо-1,6-бифосфатаза

103. Схема аэробного гликолиза

Спиртовое брожение

104.

Пентозофосфатный путь
окисления глюкозы

105. Челночные системы

Пентозофосфатный путь
окисления глюкозы
Метаболическая роль:
1. Образование пентоз (для синтеза
нуклеотидов, нуклеиновых кислот,
коферментов).
2. Образование НАДФН:
А. Восстановительные синтезы – синтез
жирных кислот, холестерола, стероидных
гормонов, аминокислот;
В. Обезвреживание токсичных веществ.

106. Малат-аспартатная челночная система

Пентозофосфатный путь
окисления глюкозы
Локализация:
• Печень
• Жировая ткань
• Кора надпочечников
• Эритроциты
• Молочная железа в период лактации
• Семенники, яичники
• Хрусталик, роговица

107. Малат-аспартатная челночная система

Пентозофосфатный путь
окисления глюкозы
Этапы:
1. Окислительный этап – превращение гексоз
в пентозы
2. Неокислительный этап – превращение
пентоз в гексозы

108.

Пентозофосфатный путь окисления
глюкозы – окислительный этап

109. Глицеролфосфатная челночная система

CH2 OPO3H2
O H
OH
Глюкозо-6-фосфат
OH
HO
OH
NADP+
Глюкозо-6-фосфат
дегидрогеназа
NADPH+H+
CH2 OPO3H2
O
O
OH
6-фосфоглюконолактон
HO
OH
Лактоназа
+ H2O
COOH
H C OH
HO C H
H C OH
H C OH
CH2OPO3H2
6-фосфоглюконат

110.

NADP+
6-фосфоглюконат
дегидрогеназа
- CO2
NADPH+H+
CH2OH
C O
H C OH
Рибулозо-5-фосфат
H C OH
CH2OPO3H2
O
C
CH2OH
H
H C OH
C O
H C OH
HO C H
H C OH
H C OH
CH2OPO3H2
CH2OPO3H2
Рибозо-5-фосфат
Ксилулозо-5-фосфат

111. Особенности окисления глюкозы в эритроцитах

Неокислительный этап
пентозофосфатного пути – I реакция

112. 2,3-бисфосфоглицератный цикл

Неокислительный этап
пентозофосфатного пути – II реакция

113. 2,3-бисфосфоглицерат (2,3-БФГ)

Неокислительный этап
пентозофосфатного пути – III реакция

114. Биомедицинское значение 2,3-бисфосфоглицерата (2,3-БФГ)

Неокислительный этап пентозофосфатного
пути окисления глюкозы

115. Наследственные дефекты ферментов гликолиза в эритроцитах, которые сопровождаются изменением [2,3-БФГ]

Неокислительный этап пентозофосфатного
пути окисления глюкозы

116. Глюконеогенез

Схема пентозофосфатного пути

117. Глюконеогенез

6 Глюкозо-6-фосфат
6 СО2
I этап
12 НАДФН
6 Пентоз-5-фосфат
II этап
5 Глюкозо-6-фосфат

118. Схема гликолиза и глюконеогенеза

Варианты протекания
пентозофосфатного пути
1. Если потребности тканей в НАДФН и
рибозе примерно одинаковы, протекает
только I этап пентозофосфатного пути.
Суммарная реакция:
6 глюкозо-6-фосфат + 12НАДФ+ + 6Н2О →
6 рибозо-5-фосфат + 12(НАДФН+Н+) + 6 СО2

119.

Варианты протекания
пентозофосфатного пути
2. Если потребности тканей в НАДФН выше,
чем потребности в рибозе, протекают оба
этапа пентозофосфатного пути.
Суммарная реакция:
глюкозо-6-фосфат + 12НАДФ+ + 7Н2О →
12(НАДФН+Н+) + 6 СО2 + Н3РО4

120.

Варианты протекания
пентозофосфатного пути
3. Если потребности тканей в рибозе выше,
чем в НАДФН, протекает только II этап в
обратном направлении.
Суммарная реакция:
5 глюкозо-6-фосфат + АТР → 6 рибозо-5фосфат + ADP

121.

Регуляция
пентозофосфатного пути
Глюкозо-6-фосфат дегидрогеназа –
регуляторный фермент: ингибитор – НАДФН.
Процесс активируется при потреблении
углеводов, ингибируется при голодании и
сахарном диабете.
Усиление синтеза жирных кислот и
стероидных гормонов усиливает ПФП.
Инсулин, йодтиронины – индукция Г-6Р ДГ.

122.

Дефект глюкозо-6-фосфат
дегидрогеназы в эритроцитах
• Уменьшается концентрация НАДФН в
эритроцитах → окислительный стресс!!!
• Происходит окисление –SH групп
гемоглобина с образованием перекрестных
дисульфидных связей и агрегация
протомеров гемоглобина → образуются
тельца Хайнца.
• Нарушается пластичность мембраны
эритроцитов → гемолиз.

123.

124.

Тельца Хайнца

125.

Обмен фруктозы и галактозы

126. Обходные пути глюконегенза

Метаболизм фруктозы
• I путь – печень, почки, кишечник (основной
путь).
• II путь – мышцы (фруктоза
фосфорилируется под действием
гексокиназы до фруктозо-6-фосфат, которая
включается в гликолиз.
CH2OH
CH2 OPO3H2
CH2OH
O
HO
OH
Гексокиназа
CH2OH
O
HO
OH
ATP
ADP
OH
OH

127. Обходные пути глюконегенза

Метаболизм фруктозы в печени
CH2OH
CH2OH
CH2OH
O
HO
Фруктокиназа
HO
OH
OH
ATP
C
CH2 OH
CH2 OPO3H2
Дигидроксиацетон
фосфат
OH
Фруктозо-1-фосфат
O
C O
альдолаза
OH
ADP
Фруктоза
CH2 OPO3H2 Фруктозо-1-фосфат
O
+
H
Триозофосфат
киназа
CH OH
CH2 OH
Глицеральдегид
O
C
H
CH OH
ATP
ADP
CH2 OPO3H2
Глицеральдегид-3фосфат

128. Суммарная реакция глюконеогенеза

Наследственные нарушения
метаболизма фруктозы
Ф-1-РФруктокиназа
альдолаза
Фруктоза
Ф-1-Р
ДГАР + ГА
1. Недостаточность фруктокиназы –
эссенциальная фруктозурия →
выделение фруктозы с мочой

129. Глюкозо-лактатный цикл (цикл Кори)

Наследственные нарушения
метаболизма фруктозы
Ф-1-Р
Фруктокиназа
альдолаза
Фруктоза
Ф-1-Р
ДГАР + ГА
2. Недостаточность фруктозо-1-фосфатальдолазы
непереносимость фруктозы →
рвота, диарея, боли в животе, кома, судороги,
нарушение функции печени и почек,
гипогликемия, гипофосфатемия, гиперурикемия
метаболический ацидоз (кетоновые тела).

130. Глюкозо-аланиновый цикл

Метаболизм галактозы – печень

131. Причины лактоацидоза

CH2OH
O
HO
Галактокиназа
OH
HO
OH
OH
ATP
OH
ADP
O
OPO3H2
UDPглюкоза
OH
Галактоза
HO
UDP-глюкозогексозо-1-фосфатуридил-трансфераза
CH2OH
O
Галактозо
-1-фосфат
CH2OH
O
OH
OH
Фосфоглюкоизомераза
O OPO3H2
OH
Глюкозо
-1-фосфат
UTP
UDP-глюкоза
UDP-галактоза
HO
PPi
OH
OH
OH
O UDP
HO
O UDP
CH2OH
O
UDP-глюкозопирофосфорилаза
CH2OH
O
UDP-галактозо4-эпимераза
Глюкозо
-1-фосфат
CH2 OPO3H2
O
OH
Гюкозо-6фосфатаза
OH
Глюкозо
-6-фосфат
OH
OH
HO
OH
HO
CH2OH
O
Н2О
Pi
OH
Глюкоза

132. Регуляция гликолиза и глюконеогенеза

Наследственные нарушения
метаболизма галактозы
Гексозо-1-Р-уридилГалактокиназа
трансфераза
Галактоза
Гал-1-Р
УДФ-гал
1
1. Недостаточность галактокиназы –
галактоземия →
галактоземия, галактозурия,
катаракта (восстановление галактозы
в галактитол).

133. Регуляция гликолиза и глюконеогенеза

134. Регуляция гликолиза и глюконеогенеза

Наследственные нарушения
метаболизма галактозы
Гексозо-1-Р-уридилГалактокиназа
трансфераза
Галактоза
Гал-1-Р
УДФ-гал
2
2. Недостаточность гексозо-1-фосфатуридил-трансферазы – галактоземия
(непереносимость галактозы) →
галактоземия, галактозурия, катаракта,
гипогликемия, умственная отсталость,
цирроз печени, гепатомегалия

135. Регуляция гликолиза и глюконеогенеза

Синтез лактозы
CH2OH
O
OH
Лактозосинтаза
CH2OH
OH
O
OH
O UDP
OH
OH
OH
OH
Глюкоза
УДФ-галактоза
CH2OH
OH
O
OH
O
CH2OH
O
OH
UDP
OH
OH
OH
Лактоза

136. Регуляция гликолиза и глюконеогенеза

Синтез лактозы
Лактозосинтаза состоит из 2 субъединиц:
• галактозилтрансфераза – каталитическая;
• альфа-лактальбумин – регуляторная.
Гормональная регуляция:
• пролактин – активирует синтез обеих
субъединиц;
• прогестерон – ингибирует синтез
лактальбумина.

137. Гормональная регуляция гликолиза и глюконеогенеза

Синтез глюкуроновой кислоты
УДФ-глюкоза
дегидрогеназа
CH2OH
O
OH
O
OH
UDP
+ H2O
COOH
O
OH
OH
УДФ-глюкоза
O
OH
UDP
OH
2 NAD+
2 NADH+2H+
УДФ-глюкуронат
Биологическая роль УДФ-глюкуроната:
• Конъюгация (обезвреживание токсичных
веществ);
• Синтез мукополисахаридов.

138. Гормональная регуляция гликолиза и глюконеогенеза

Регуляция и патология
обмена углеводов

139.

Регуляция концентрации
глюкозы в крови
• Нормальное содержание глюкозы в крови –
3,3-5,5 ммоль/л
• После приема пищи (в течение 1 часа) –
повышается до 8 ммоль/л.
• Спустя 2 часа – уровень глюкозы
возвращается к норме.

140. Пентозофосфатный путь окисления глюкозы

Изменение концентрации
глюкозы в течение суток

141. Пентозофосфатный путь окисления глюкозы

Влияние инсулина
Кровь
↑ Глюкоза
Гликоген
Глюкоза
+
+
+
Глюкозо-6-Р
Инсулин
+
-
Пируват
Ткани
-

142. Пентозофосфатный путь окисления глюкозы

Влияние инсулина на обмен
углеводов
• Стимулирует транспорт глюкозы из крови в
ткани (транслокация ГЛЮТ4 на мембрану).
• Индуцирует глюкокиназу (в печени).
• Активирует синтез гликогена (гликогенсинтаза).
• Ингибирует распад гликогена
(гликогенфосфорилаза).
• Активирует регуляторные ферменты гликолиза.
• Ингибирует регуляторные ферменты
глюконеогенеза.

143. Пентозофосфатный путь окисления глюкозы

Влияние глюкагона и адреналина
• Активируют распад гликогена
(гликогенфосфорилаза).
• Ингибируют синтез гликогена
(гликогенсинтаза).
• Активируют регуляторные ферменты
глюконеогенеза.
• Ингибируют регуляторные ферменты гликолиза.
• Активируют глюкозо-6-фосфатазу, образуется
свободная глюкоза, которая секретируется в
кровь.

144. Пентозофосфатный путь окисления глюкозы – окислительный этап

Влияние кортизола
• Индуцирует регуляторные ферменты
глюконеогенеза.
• Активирует катаболизм мышечных белков и
триглицеридов жировой ткани, обеспечивая
глюконеогенез субстратами (аминокислоты,
глицерол).

145.

Регуляция уровня глюкозы в
крови в абсорбтивном/
постабсорбтивном периоде
Выделяется инсулин.
Около 60% глюкозы поступает в печень
(воротная вена).
• 2/3 превращается в гликоген.
• 1/3 окисляется для получения энергии и
превращается в жиры.

146.

Регуляция уровня глюкозы в
крови в абсорбтивном/
постабсорбтивном периоде
Около 40% поступает в общий кровоток.
• 2/3 поглощается мышцами (превращается в
гликоген) и жировой тканью (превращается в
жиры).
• 1/3 поступает в другие ткани (окисление).
• При нормальном ритме питания уровень
глюкозы в крови поддерживается в основном за
счет синтеза и распада гликогена.

147. Неокислительный этап пентозофосфатного пути – I реакция

Регуляция уровня глюкозы в
крови при длительном голодании
Выделяется глюкагон.
• Активируется распад гликогена (в течение
суток запасы гликогена исчерпываются).
• Усиливается глюконеогенез (из лактата,
аминокислот, глицерола).
• Выделяется кортизол (индуцирует регуляторные
ферменты глюконеогенеза).

148. Неокислительный этап пентозофосфатного пути – II реакция

Регуляция уровня глюкозы в
крови при длительном голодании
• При голодании глюкоза не используется
мышцами и жировой тканью (из-за низкого
содержания инсулина).
• Глюкоза сберегается для головного мозга и
других глюкозозависимых клеток.

149. Неокислительный этап пентозофосфатного пути – III реакция

Регуляция уровня глюкозы в
крови при мышечной нагрузке
• Вначале источником глюкозы для мышц
является гликоген, запасенный в мышцах (при
интенсивной мышечной нагрузке 100 г
гликогена используется в течение 15 минут).
• После исчерпания запасов гликогена мышц,
глюкоза поступает в мышцы из крови (распад
гликогена и глюконеогенез в печени).

150. Неокислительный этап пентозофосфатного пути окисления глюкозы

• Увеличение концентрации глюкозы
в крови – гипергликемия.
• Снижение концентрации глюкозы
в крови – гипогликемия.
• Присутствие глюкозы в моче –
глюкозурия.

151. Неокислительный этап пентозофосфатного пути окисления глюкозы

Причины гипергликемии
• Сахарный диабет
• Стероидный диабет
• Гиперфункция щитовидной железы
• Гиперсекреция соматотропина
• Стресс
• Панкреатиты, карцинома поджелудочной
железы

152. Схема пентозофосфатного пути

Причины гипогликемии
• Передозировка инсулина при лечении
сахарного диабета
• Инсулинома
• Гипофункция надпочечников, щитовидной
железы, аденогипофиза
• Гликогеновые болезни
• Нарушения обмена фруктозы и галактозы

153.

Глюкозурия
• Почечный порог для глюкозы ≈ 10 ммоль/л
• Причины глюкозурии:
• Гипергликемия
• Патология почек (наследственная и
приобретенная). Нет гипергликемии!

154. Варианты протекания пентозофосфатного пути

Сахарный диабет
Причина – абсолютная или
относительная недостаточность
инсулина.
Основные типы:
1. Инсулинзависимый (I тип)
2. Инсулиннезависимый (II тип)

155. Варианты протекания пентозофосфатного пути

Сахарный диабет I типа
Причина – абсолютный дефицит инсулина:
• Аутоиммунная деструкция -клеток
(пусковые механизмы – вирусные инфекции:
оспа, краснуха, корь, цитомегаловирус,
паротит, аденовирус).
• Генетическая предрасположенность.
Начало – молодой возраст.

156. Варианты протекания пентозофосфатного пути

Сахарный диабет II типа
Причина – относительный дефицит инсулина:
• Инсулинорезистентность (дефект рецептора
инсулина, пострецепторного аппарата).
• Нарушение секреции инсулина.
• Пусковые механизмы – ожирение,
малоподвижный образ жизни, стресс.
Начало – после 40 лет.

157. Регуляция пентозофосфатного пути

Биохимические нарушения при
сахарном диабете
• Гипергликемия, глюкозурия
• Кетонемия, кетонурия
• Повышение концентрации жирных кислот
• Повышение концентрации аминокислот
• Ацидоз
• Уремия

158. Дефект глюкозо-6-фосфат дегидрогеназы в эритроцитах

Клинические проявления сахарного
диабета
• Полиурия (из-за повышения концентрации
глюкозы, кетоновых тел, мочевины).
• Полидипсия (из-за полиурии).
• Полифагия (энергетический голод клеток).
• I тип – больные худеют, II тип – ожирение.

159.

Стероидный диабет
Причина – гиперсекреция кортизола.
• Стимуляция глюконеогенеза.
• Стимуляция катаболизма мышечных белков и
триглицеридов жировой ткани
(аминокислоты, глицерол используются для
синтеза глюкозы).

160. Тельца Хайнца

Тесты для оценки
углеводного обмена
Пероральный тест толерантности к глюкозе:
• Определяют концентрацию глюкозы в крови
натощак (12-14 часов после приема пищи).
• Нагрузка глюкозой (50 г глюкозы в 250 мл
воды).
• Определяют концентрацию глюкозы через 2
часа.

161. Обмен фруктозы и галактозы

Состояние
углеводного
обмена
Уровень
глюкозы
натощак,
ммоль/л
Уровень
глюкозы после
нагрузки
глюкозой (через
2 часа), ммоль/л
Норма
Снижение
толерантности
к глюкозе
Сахарный
диабет
3,3-5,5
5,6-6,1
или
< 7,8
или 7,8-11,1
≥ 6,1
или
≥ 11,1

162. Метаболизм фруктозы

Концентрация инсулина и С
пептида
• Инсулин и С пептид секретируются
поджелудочной железой в эквимолярных
концентрациях.
• В норме отношение инсулина к С пептиду в
крови составляет 1/3 (т.к. 2/3 инсулина
задерживается печенью).
• Определение пептида С используются для
оценки секреторной функции
поджелудочной железы.

163. Метаболизм фруктозы в печени

Гликированный гемоглобин
(Hb A1c)
• В норме составляет 4-6% от общего
содержания гемоглобина.
• Является индикатором уровня глюкозы
крови.
• При сахарном диабете увеличивается в 2-3
раза.
English     Русский Rules