ЛЕКЦИЯ № 6
ПЛАН ЛЕКЦИИ
Определение
Классификация
Гексозы
Переваривание углеводов
Переваривание
Транспорт веществ через клеточную мембрану
Принципы нормирования суточной потребности
Состав углеводов пищи
Роль углеводов в питании
Переваривание в ЖКТ
Переваривание углеводов
Транспортеры глюкозы GluT (ГЛЮТ)
Транспорт глюкозы
Всасывание углеводов
Активация углеводов
Пути обмена глюкозо-6ф в клетке
Катаболизм глюкозы
Гликолиз
Пентозофосфатный шунт
ПФП
недостаточность гл-6-ф-ДГ
Недостаточность витамина В1
1.92M
Categories: biologybiology chemistrychemistry

Углеводы. Обмен глюкозы (лекция № 6)

1. ЛЕКЦИЯ № 6

ФГБОУ ВО УГМУ Минздрава России
Кафедра биохимии
Дисциплина: Биохимия
ЛЕКЦИЯ № 6
Углеводы.
Обмен глюкозы
Лектор: Гаврилов И.В.
Факультет: лечебно-профилактический,
Курс: 2
Екатеринбург, 2017г

2. ПЛАН ЛЕКЦИИ

1. Углеводы: определение понятия, классификации. Биологические функции моно-,
ди- и полисахаридов в организме человека. Основные углеводы пищи человека,
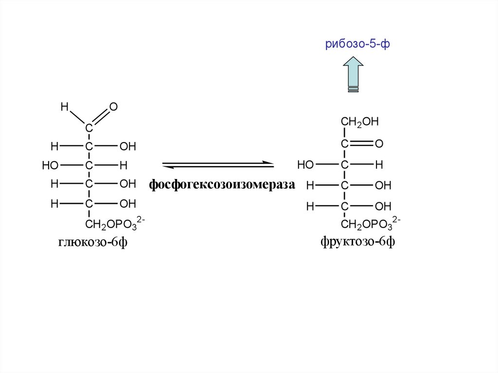
принципы нормирования суточной потребности у детей и взрослых.
2. Переваривание углеводов в желудочно-кишечном тракте. Характеристика и
механизм действия ферментов, участвующих в полостном и пристеночном
пищеварении.
3. Всасывание углеводов в желудочно-кишечном тракте: локализация, механизмы
всасывания пентоз и гексоз, роль транспортеров глюкозы (ГЛЮТ 1-5).
4. Приобретенные и наследственные нарушение переваривания и всасывания
углеводов: причины, механизмы развития, последствия. Понятия
мальабсорбция, диспепсия.
5. Транспорт моносахаридов в организме человека. Виды транспорта
моносахаридов в ЖКТ, почках и тканях организма. Транспортеры гексоз: виды
(ГЛЮТ 1-5), специфичность, тканевая локализация, регуляция активности.
6. Обмен галактозы в организме. Галактоземии, механизм развития,
метаболические нарушения, биохимические и клинические проявления в
детском и пожилом возврате.
7. Основные пути превращения углеводов в организме человека: схемы обмена гл6-ф в тканях (печень, почки, мышечная, жировая ткань). Роль ферментов
гексокиназ, глюкозо-6ф фосфатаз в углеводном обмене.

3.

8. Обмен гликогена: понятие, тканевые особенности, внутриклеточная
локализация, биологическое значение. Схема реакций гликогенеза и
гликогенолиза, ферменты, регуляция.
9. Нарушения обмена гликогена: гликогенозы и агликогенозы. Причины,
метаболические и клинические проявления.
10. Анаэробный гликолиз: понятие, тканевые особенности, внутриклеточная
локализация, биологическое значение. Схема реакций анаэробного гликолиза,
ферменты, энергетический баланс, регуляция.
11. Аэробный путь окисления глюкозы: понятие, тканевые особенности,
биологическое значение. Схема этапов аэробного окисления глюкозы, их
внутриклеточная локализация, энергетический баланс, регуляция.
12. Челночные системы транспорта водорода: понятие, схемы малат-аспартатной и
глицерофосфатной челночных систем, тканевые особенности. Энергетический
баланса аэробного окисления глюкозы при работе разных челночных систем.
13. Эффект Пастера: понятие, схемы переключения аэробного и анаэробного
окисления глюкозы в аэробных тканях, особенности энергетического баланса.
14. Глюконеогенез: понятие, тканевые особенности, биологическое значение. Схема
глюконеогенеза, субстраты, ключевые ферменты, внутриклеточная
локализация, энергетический баланс, регуляция.

4.

15. Пентозофосфатный путь: понятие, тканевые особенности, внутриклеточная
локализация, биологическое значение. Схема реакций пентозофосфатного
пути, ферменты, регуляция. Роль витамина В1 в реакциях
пентозофосфатного пути.
16. Регуляции углеводного обмена: основные принципы и уровни. Роль
гормонов, органов, и метаболитов в регуляции углеводного обмена.
17. Центральный уровень регуляции углеводного обмена. Роль гормонов и
молекулярные механизмы поддержания концентрации глюкозы в крови в
абсорбтивный, постабсорбтивный период, при голодании и стрессе.
18. Инсулин: строение, синтез, регуляция синтеза и секреции, рецепторы,
транспорт в крови и инактивация. Биологические функции, основные
механизмы действия инсулина на метаболические процессы.
19. Понятия: нормогликемия, гипергликемия и гипогликемия. Физиологические и
патологические причины развития гипергликемии и гипогликемии.
Биохимические нарушения и клинические проявления, возникающие при
острой и хронической гипергликемии и гипогликемии.

5.

20. Сахарный диабет I типа (инсулинзависимый, ИЗСД): понятие, причины, стадии.
Механизмы развития метаболических нарушений (гипергликемия, глюкозурия,
гиперлипопротеинемия, гиперхолестеринемия, кетонемия, кетонурия,
повышение лактата, ацидозы, азотемия, азотурия), острых (комы) и хронических
(атеросклероз, диабетическая стопа, нефропатия,
ретинопатия,
нейропатия) осложнений. Взаимосвязь метаболических нарушений с
клиническими проявлениями (полиурия, полидипсия, полифагия, кожный зуд,
склонность к инфекциям, слабость, похудание) при ИЗСД. Биохимическая
диагностика ИЗСД.
21. Сахарный диабет II типа (инсулиннезависимый, ИНЗСД): понятие, причины,
стадии. Механизмы развития метаболических нарушений, острых и хронических
осложнений: сходство и отличия с ИЗСД. Взаимосвязь метаболических
нарушений с клиническими проявлениями при ИНЗСД. Биохимическая
диагностика ИНЗСД.
22. Биохимическая лабораторная диагностика состояния углеводного обмена.
Глюкозотолерантный тест, методика проведения, диагностическое значение.

6. Определение

• Углеводы – вещества с общей формулой
Cm(H2O)n, название основано на
предположении, что все они содержат 2
компонента — углерод и воду (XIX век).
• Углеводы - полиоксикарбонильные
соединения и их производные.

7. Классификация

Углеводы
По способности к гидролизу
Моносахариды
Дисахариды
Олигосахариды
2 мономера
3-10 мономера
Полисахариды
10> мономеров
По положению оксогруппы
Альдозы
Н
С
R
Кетозы
R
О
С
R
О
По видам мономеров
Гомо-
Гетеро-
1 мономер
разные
мономеры

8.

Моносахариды
1. выполняют энергетическую функцию (образование
АТФ из АДФ).
2. выполняют пластическую функцию (участвуют в
образовании ди-, олиго-, полисахаридов, аминокислот,
липидов, нуклеотидов).
3. выполняют детоксикационную функцию (производные
глюкозы, глюкурониды, участвуют в обезвреживании
токсичных метаболитов и ксенобиотиков).
4. являются фрагментами гликолипидов (цереброзиды).

9.

Триозы
1. глицериновый альдегид – образуется под действием
альдолазы В из фруктозы 1ф, фосфорилируется в
ФГА (фосфоглицериновый альдегид) и уходит в
гликолиз
2. Диоксиацетон образуется в виде фосфата (ДАФ –
диоксиацетон фосфат) в гликолизе и глюконеогенезе

10.

Тетрозы
1. Эритрозо-4ф образуется в ПФШ,
участвует в образовании фруктозо-6ф.
Эритроза
2. В растениях и многих микроорганизмах
эритрозо-4ф участвует в синтезе
ароматических АК: триптофана,
тирозина и фенилаланина.
3. Эритроза-4ф в растениях, бактериях и
грибах необходима для синтеза
пиридоксина (витамин В6).

11.

Пентозы
Альдозы
Рибоза
Кетозы
Дезоксирибоза
Рибулоза
Участвуют в ПФШ
Компонент
НК, РНК
Компонент
НК, ДНК
Ксилулоза

12. Гексозы

Глюкоза
Галактоза
Участвуют в гликолизе
Компонент ди-, олиго-, полисахаридов
Основной источник
энергии, синтез
аминокислот,
липидов, НК
Фруктоза

13.

Дисахариды
У человека образуется только 1 дисахарид – β-лактоза.
Β-лактоза синтезируется молочных железах у женщин при
лактации, содержится в молоке.
1. является источником глюкозы и галактозы для
новорожденных;
2. участвует в формировании нормальной микрофлоры у
новорожденных.
β-лактоза

14.

Сахароза является весьма
распространённым в природе
дисахаридом, она встречается
во многих фруктах, плодах и
ягодах. Особенно велико
содержание сахарозы в
сахарной свёкле и сахарном
тростнике (до 28 % сухого
вещества), они используются
для производства пищевого
сахара.
Сахароза
Мальтоза
Мальтоза
является
промежуточным
продуктом кислотного гидролиза гликогена
и крахмала и конечным продуктом их
гидролиза под влиянием амилаз и поэтому
содержится в пищеварительном тракте и
является промежуточным продуктом при
винокурении, пивоварении. Содержится в
некоторых растениях.

15.

Гомополисахариды
Целлюлоза
Хлопок
(99,5% целлюлозы)
Древесина
Линейный полисахарид (300—10 000 остатков глюкозы), наиболее
распространенный биополимер, входящий в состав клеточных стенок
растений и ряда микроорганизмов.
Некоторые микроорганизмы, а также отд. виды беспозвоночных - черви,
древоточцы благодаря ферменту целлюлазе, переваривают целлюлозу.
Для человека обеспечивает перистальтику кишечника, является пищевым
сорбентом, формирует нормальную микрофлору

16.

Амилоза
(компонент крахмала)
Амилопектин
(компонент крахмала и гликогена)
Крахмал
Гликоген

17.

Гетерополисахариды
(ГАГ глюкозаминогликаны)
Нейтральные
ГАГ
Кислые
ГАГ
Содержат остаток
серной кислоты
Гиалуроновая
кислота
1. Гепарин
2. Хондроитин-4-сульфат
3. Хондроитин-6-сульфат
4. Гепарансульфаты
5. Дерматансульфаты

18.

Присутствует в свободном виде и
комплексе с белками.
Гиалуроновая к-та
В организме человека с массой тела
70 кг около 15 г. гиалуроновой
кислоты.
1г гиалуроновой кислоты
удерживает в геле 1000 мл воды
Структурный компонент
межклеточного вещества, входит
в состав суставной жидкости,
кожи, костей, сухожилий связок,
хрящей.
Функция:
Удерживает воду в геле,
обеспечивает водно-солевой
обмен тканей, препятствует их
сдавливанию
Время полураспада в составе:
Обеспечивает узнавание,
дифференцировку клеток, их
• суставной смазки - от 1 до 30 недель,
размножение, миграцию
• в эпидермисе и дерме – 1 – 2 дня,
в крови – несколько минут

19.

Синтезируется в печени
Антикоагулянт, регулятор многих
биохимических и физиологических
процессов , протекающих в животном
организме .
Гепарин
Гепарин активирует антитромбин III,
тот инактивирует факторы
свертывания (II, IX, X, XI, XII),
калликреин, сериновые протеазы
Структурный компонент
межклеточного вещества.
Много в хрящевой ткани, есть в
синовиальной жидкости,
сухожилиях, связках, коже, костях
Хондроитин-6-сульфат

20.

Хитин - высокомол.
линейный полисахарид,
построенный из остатков Nацетил-βD-глюкозамина с 14-связями между ними
Являясь опорным компонентом клеточной стенки большинства грибов
и некоторых водорослей, наружной оболочки членистоногих и червей,
некоторых органов моллюсков

21. Переваривание углеводов

22. Переваривание

• Переваривание – это процесс расщепления (как
правило гидролиз) веществ до их ассимилируемых
форм
Переваривание
Внутриклеточное
(лизосомальное)
Внеклеточное
Полостное
Пристеночное

23. Транспорт веществ через клеточную мембрану

Пассивный
Активный
Без затраты энергии по
градиенту концентрации
С затратой энергии,
против градиента
Простая
диффузия
Облегченная
диффузия
Вещества
проходят
мембрану
самостоятельно
Вещества
проходят
мембрану с
помощью ионных
каналов и белков
переносчиков
Нейтральные
молекулы с
малой массой
(О2, СО2,
мочевина,
пентозы)
молекулы и
ионы (Na+, K+,
глюкоза,
аминокислоты)
Первичноактивный
Вторичноактивный
Вещества
проходят
мембрану с
затратой
энергии АТФ
Вещества проходят
мембрану с
затратой энергии
градиента других
веществ
Неорганические
ионы (Na+, K+,
Н+, Са2+)
Органические
вещества
(глюкоза,
аминокислоты)

24.

Вторично-активный
транспорт
Симпорт
Антипорт

25.

26. Принципы нормирования суточной потребности

• Углеводы составляют 75% массы пищевого рациона.
• Для предотвращения гипергликемии рекомендуется
употреблять больше сложных углеводов и меньше простых
г в сутки
Взрослые
Пожилые
Муж
Жен
Муж
Жен
425
360
310
270

27. Состав углеводов пищи

Основными углеводами пищи являются полисахариды.
Моносахаридов и дисахаридов в рационе меньше, они
придают пище сладкий вкус.
Крахмал, целлюлоза – растительного происхождения
Гликоген, гликозаминогликаны – животного происхождения
Хитин – грибы, членистоногие.
Сахароза - сахарная свекла, сахарный тростник
Мальтоза –пиво.
Лактоза -молоко
Фруктоза –мед, фрукты

28. Роль углеводов в питании

1.
2.
Углеводы пищи являются источником
моносахаридов: большая часть поли-, олиго- и
дисахаридов пищи гидролизуется до моносахаридов,
которые хорошо всасываются в кишечнике и попадают в
кровь.
Целлюлоза пищи не переваривается, но обеспечивает
процесс пищеварения (стимулирует перельстатику
кишечника, формирование нормальной микрофлоры,
выведение токсинов, токсичных метаболитов,
холестерина и его производных из организма)
• Всосавшиеся углеводы обеспечивают синтез более
50% макроэргических соединений.
• Часть моносахаридов идет на синтез олиго- и
полисахаридов, липидов, белков, НК и других
соединений

29. Переваривание в ЖКТ

Пища
железы
Переваривание
в ЖКТ
Полостное
пищеварение
Полимеры
Эндогидролазы
Пристеночное
пищеварение
Всасывание
Олигомеры,
димеры
Экзогидролазы
Мономеры

30. Переваривание углеводов

31. Транспортеры глюкозы GluT (ГЛЮТ)

• ГЛЮТ-1 (эритроцитарный тип) – в эритроцитах,
эндотелии сосудов гематоэнцефалического барьера.
Ген - в I-й хромосоме
• ГЛЮТ-2 (печеночный тип) - в печени, почках, тонкой
кишке и панкреатических b-клетках. Молекула - 524
аминокислотных остатка. Ген - в 3-й хромосоме
• ГЛЮТ-3 (мозговой тип) в мозге, плаценте. Молекула из 496 аминокислотных остатков. Ген - в 12-й хромосоме
• ГЛЮТ-4 (мышечно-жировой тип) в мышцах,
адипоцитах. Молекула - из 509 аминокислотных
остатков. Ген - в 17-й хромосоме
• ГЛЮТ-5 (кишечный тип) находится в тонкой кишке,
почках. Молекула - из 501 аминокислотного остатка. Ген
в 1-й хромосоме. Всасывание фруктозы

32.

33. Транспорт глюкозы

• Глюкоза поступает из кровотока с помощью белковпереносчиков – глюкозных транспортеров - ГЛЮТов.
ГЛЮТ-2
Глюкоза
Глюкоза
Инсулин
Рецептор
ГЛЮТ-4

34. Всасывание углеводов

35. Активация углеводов

O
OH
OH
АТФ
OH
OH
Н3РО4
Н2О
глюкозо-6-фосфотаза
D-глюк
D-глюкоза
АДФ
УДФ-глюкуроновая кислота
гексокиназы
CH 2OPO32O
трансферазы
OH
OH
OH
Гл-1Ф
OH
D-глюкозо-6ф
CH 2O
OH
OH
аза
АДФ
Н2О
фотаза
гексокиназа
АТФ
АДФ
CH 2OH
УТФ
ФФн

36. Пути обмена глюкозо-6ф в клетке

АТФ
О2
Гексокиназа (Km<0,1)
Глюкокиназа (Km=10)
(печень, β-клетки)
СН2ОН АТФ
о Н
ОН Н
НО Н ОН ОН
Н
Глюкоза
H3PO4
АДФ
H2O
гликоген
H2O
ДЦ
НАДН2, ФАДН2
ЦТК
СО2
СН2ОРО3
Н
о Н
ОН Н
НО Н ОН ОН
Глюкозо-6ф
Глюкозо-6-фосфотаза
(печень, почки, ЖКТ)
гликолиз
ПФП
Ацетил-KoA
НАДФН2
нуклетиды
ЖК
Аминокислоты
Глицерофосфат
Гетерополисахариды
ТГ,ФЛ

37. Катаболизм глюкозы

90%
10%
Гликолиз
ПФШ
АТФ, НАДН2
пентозы, НАДФН2
Энергетический путь
• Синтез новых веществ,
• обезвреживание
ксенобиотиков, токсинов
• Антиоксидантная защита

38.

Катаболизм глюкозы в клетке может проходить как в
аэробных, так и в анаэробных условиях, его основная
функция - это синтез АТФ.
Аэробное окисление глюкозы
В аэробных условиях глюкоза окисляется до СО2 и Н2О.
1. Аэробный гликолиз. В окисления 1 глюкозы до 2 ПВК, с
образованием 2 АТФ (сначала 2 АТФ затрачиваются, затем 4
образуются) и 2 НАДН2;
2. Превращение 2 ПВК в 2 ацетил-КоА с выделением 2 СО2 и
образованием 2 НАДН2;
3. ЦТК. В нем происходит окисление 2 ацетил-КоА с выделением 4
СО2, образованием 2 ГТФ (дают 2 АТФ), 6 НАДН2 и 2 ФАДН2;
4. Цепь
окислительного
фосфорилирования.
В
ней
происходит окисления 10 (8) НАДН2, 2 (4) ФАДН2 с участием 6
О2, при этом выделяется 6 Н2О и синтезируется 34 (32) АТФ
В результате аэробного окисления глюкозы образуется 38 (36) АТФ

39.

Анаэробное окисление глюкозы
Катаболизм глюкозы без О2 идет в анаэробном гликолизе
и ПФШ (ПФП).
• В ходе анаэробного гликолиза происходит окисления 1
глюкозы до 2 молекул молочной кислоты с
образованием 2 АТФ (сначала 2 АТФ затрачиваются,
затем 4 образуются). В анаэробных условиях гликолиз
является единственным источником энергии.
• В ходе ПФП из глюкозы образуются пентозы и НАДФН2.
В ходе ПФШ из глюкозы образуются только НАДФН2.
Анаэробный гликолиз отличается от аэробного только наличием
последней 11 реакции, первые 10 реакций у них общие.

40. Гликолиз

Гликолиз – главный путь катаболизма глюкозы, фруктозы и галактозы. Все
его 10 -11 реакций протекают в цитозоле.
H
H
O
C
H
C
OH
HO
C
H
H
C
OH
H
C
OH
CH 2OH
глюкоза
Mg2+
АТФ
АДФ
гексокиназа
глюкокиназа
O
C
H
C
OH
HO
C
H
H
C
OH
H
C
OH
CH 2OPO32-
ГЛИКОГЕН
ГЛИКОЛИЗ
ПФШ
глюкозо-6ф
Гексокиназа в мышцах фосфорилирует в основном глюкозу, меньше – фруктозу
и галактозу. Кm<0,1 ммоль/л.
Ингибитор глюкозо-6-ф.
Активатор адреналин. Индуктор инсулин.
Глюкокиназа фосфорилирует глюкозу. Кm - 10 ммоль/л, активна в печени,
почках, ЖКТ.
Индуктор инсулин. Не ингибируется глюкозо-6-ф.

41.

рибозо-5-ф
H
O
CH 2OH
C
C
O
HO
C
H
OH
фосфогексозоизомераза H
C
OH
OH
H
C
OH
H
C
OH
HO
C
H
H
C
H
C
CH2OPO32-
глюкозо-6ф
CH 2OPO32-
фруктозо-6ф

42.

фруктозо-2,6-дф
фосфофруктокиназа 2
CH 2OPO32-
CH 2OH
C
O
HO
C
H
H
C
OH
H
C
OH
CH 2OPO32-
фруктозо-6ф
АТФ
АДФ
Mg2+
C
O
HO
C
H
H
C
OH
H
C
OH
фосфофруктокиназа 1
CH 2OPO32-
фруктозо-1,6-ф
Фосфофруктокиназа 1. Реакция необратима и самая медленная из всех
реакций гликолиза, определяет скорость всего гликолиза.
Активируется: АМФ, фруктозо-2,6-дф (мощный активатор, образуется с
участием фосфофруктокиназы 2 из фруктозы-6ф).
Индуктор реакции инсулин.
Ингибируется: глюкагоном, АТФ, цитратом, жирными кислотами,

43.

глицерол-3ф
рибозо-5-ф
CH 2OPO32C
O
HO
C
H
H
C
OH
H
CH 2OPO32C
O
Альдолаза А CH OH
C
+ H
C
ДАФ
OH
C
OH
CH 2OPO32-
2
H
O
3-ФГА
CH 2OPO32-
фруктозо-1,6-ф
Альдолаза А Альдолазы действуют на открытые формы гексоз,
имеют 4 субъединицы, образуют несколько изоформ. В большинстве
тканей содержится Альдолаза А. В печени и почках – Альдолаза В.
H
CH 2OPO32C
O
CH 2OH
ДАФ
O
C
H
C
OH
Триозофосфат- CH 2OPO32изомераза
3-ФГА
Фосфотриозоизомераза (ДАФ-ФГА-изомераза).

44.

H
2Н3РО4 2НАД+ 2НАДН2
O
C
2 H
C
O
2H
OH
C
OPO32-
C
OH
CH 2OPO32- ФГА дегидрогеназа
CH 2OPO32-
3-ФГА
1,3-ФГК
3-ФГА дегидрогеназа Катализирует образование макроэргической
связи в 1,3-ФГК и восстановление НАДН2.
серии, глицин, цистеин
O
2H
C
OPO32-
C
OH
CH 2OPO32-
1,3-ФГК
2АДФ
2АТФ
COOH
2H
фосфоглицераткиназа
C
OH
CH 2OPO32-
3-ФГК
Фосфоглицераткиназа Осуществляет субстратное
фосфорилирование АДФ с образованием АТФ.

45.

COOH
2H
COOH
2H
CH 2OPO32- фосфоглицератмутаза
3-ФГК
C
OH
OPO32-
C
CH 2OH
2-ФГК
Фосфоглицератмутаза осуществляет перенос фосфатного
остатка в ФГК из положения 3 положение 2.
2H2O
COOH
2H
C
OPO32-
CH 2OH
2-ФГК
Mg2+
COOH
2 C
Енолаза
OPO32-
CH 2
ФЕП
Енолаза отщепляет от 2-ФГК молекулу воды и образует
высокоэнергетическую связь у фосфора.
Ингибируется ионами F-.

46.

COOH
2C
CH2
ФЕП
2АДФ
2АТФ
2+
Mg
2-
OPO3
Пируваткиназа
COOH
2C
COOH
OH
2C
O
CH2
CH3
ПВК (енол)
ПВК (кето)
Пируваткиназа осуществляет субстратное фосфорилирование
АДФ с образованием АТФ.
Активируется: фруктозо-1,6-дф. Индуктор: инсулин.
Ингибируется АТФ, Ацетил-КоА, глюкагоном, адреналином.
Дальнейший катаболизм 2 ПВК и использование 2 НАДН2
зависит от наличия О2

47.

Реакция анаэробного гликолиза
+
2НАДН
2НАД
COOH
2
2 C
CH3
ПВК
O
2 H
ЛДГ
COOH
C
OH
CH3
Лактат
Лактатдегидрогеназа. Стоит из 4 субъединиц, имеет
5 изоформ.
В
анаэробных
условиях
ПВК
обеспечивает
регенерацию НАД+ из НАДН2, что необходимо для
продолжения реакций гликолиза.
Лактат не является конечным продуктом метаболизма, удаляемым из
организма. Из анаэробной ткани лактат переноситься кровью в
печень, где превращаясь в глюкозу (Цикл Кори), или в аэробные ткани
(миокард), где превращается в ПВК и окисляется до СО2 и Н2О.

48.

КАТАБОЛИЗМ ПВК В МИТОХОНДРИЯХ
В аэробных условиях ПВК и НАДН2 транспортируются в матрикс
митохондрий.
ПВК проходит симпортом с Н+, НАДН2 проходит с помощью малат
аспартатного и глицерофосфатного челнока
ПВК в митохондриях используется в 2 реакциях:
+
COOH HSKoA НАД
C
O
CH 3
НАДН2 CO2
SKoA
C
Пируватдегидрогеназа
O
ЦТК
CH3
ПВК
АцетилКоА
1.Активатор: НАД+ > HSКоА, АДФ. Индуктор инсулин
2.Ингибитор: НАДН2 > Ацетил-КоА, АТФ, жирные кислоты, кетоновые
тела.
содержит 3 фермента и 5 коферментов:
а) Пируватдекарбоксилаза содержит (Е1) 120 мономеров и кофермент ТПФ;
б) Дигидролипоилтрансацилаза (Е2) содержит 180 мономеров и коферменты
липоамид и HSКоА;
в) Дигидролипоилдегидрогеназа (Е3) содержит 12 мономеров и коферменты
ФАД и НАД.

49.

CO2 АТФ
COOH
C
CH 3
ПВК
O
АДФ + Фн COOH
C
Пируваткарбоксилаза
O
ЦТК
CH 2
COOH
ЩУК
Пируваткарбоксилаза сложный олигомерный фермент, содержит
биотин.
Активатор: Ацетил-КоА.

50.

ЧЕЛНОЧНЫЕ СИСТЕМЫ
Малат-аспартатный
печени, почках, сердце.
челнок
H+
ПВК
цитоплазма
глу
трансаминаза
АСТ
1,3-ФГК
НАДН2
3-ФГА
НАД+
глюкоза
асп
ЩУК a-КГ
малат ДГ
малат
является
универсальным,
работает
в
мембрана
транслоказа
H+
матрикс митохондрий
глу
трансаминаза
АСТ
a-КГ ЩУК
НАДН2
Дыхательная
малат ДГ
цепь
асп
малат
транслоказа
НАД+
3АТФ

51.

Глицерофосфатный челночный механизм
Работает в белых скелетных мышцах, мозге, в жировой ткани, гепатоцитах.
ДАФ
глюкоза
цитоплазма CH2OH
3-ФГА
1,3-ФГК
C
O
НАДН2
CH 2OPO32-
НАД+
Глицерол-3фдегидрогеназа
CH 2OH
H C
ПВК
мембрана
OH
CH 2OPO32-
глицерол -3ф
ДАФ
матрикс митохондрий
CH 2OH
C
O
CH 2OPO32-
Глицерол-3фдегидрогеназа
CH 2OH
HC
OH
CH 2OPO32-
глицерол -3ф
ФАДН2
Дыхательная
цепь
ФАД
2АТФ

52.

Регуляция гликолиза
Эффект Пастера – снижение скорости потребления глюкозы и
накопления лактата в присутствии кислорода.
ПВК
Глюкоза
НАД+
НАДН2
АцетилКоА
ПВК
ЩУК
ЦТК
Лактат
ЛДГ
Цитозоль
НАДН2 ДЦ НАД+
Н2О
О2
АДФ + Фн
АТФ
Митохондрия

53. Пентозофосфатный шунт

• анаэробный путь окисления глюкозы
• Локализация в организме: жировая
ткань, печень, кора надпочечников,
эритроциты, эпителий ЖКТ, лейкоциты,
молочная железа, семенники
• Локализация в клетке: цитозоль
• Этапы: 1 окислительный (восстановление
НАДФН2) и 2 неокислительный (синтез
пентоз)

54. ПФП

восстан-е глутатиона
гл
Микросомальное ок-е
НАДФ
НАДФН2 биосинтез ХС
биосинтез глу,
гл-6-ф
биосинтез ЖК
пентозофосфаты
3ФГА
нуклеотиды
АТФ КоФ
цАМФ
ПВК
ГТФ
НАД+ цГМФ
ЦТФ НАДН2
УТФ ФАД
ФАДН2
АцКоА лактат

55.

окислительная стадия ПФШ
состоит из 3 необратимых реакций:
1). Глюкозо-6ф дегидрогеназа (глюкозо-6ф: НАДФ+
оксидоредуктаза).
Ингибитор НАДФН2. Индуктор инсулин.
CH 2OPO3H2
O
+
НАДФ НАДФН2
OH

OH
OH
глюкозо-6ф
2+
глюкозо-6ф ДГ
O
OH
2+
Ca , Mg
CH2OPO3H2
O
OH
OH
глюконолактон-6ф

56. недостаточность гл-6-ф-ДГ

ген. дефект → ↓ гл-6-фосфатДГ →
↓ НАДФН2 →
↓восст. глутатиона →
↑ активных форм кислорода →
нарушение мембран эритроцитов →
гемолиз эритроцитов →
приступы гемолитической анемии

57.

2). Глюконолактонгидратаза (6-фосфоглюконат: гидро-лиаза).
COOH
CH 2OPO3H2
O
H2O
O
OH
H
OH
HO
H
H
OH
ГлюконолактонOH
H
OH
гидратаза
OH
CH 2OPO3H2
глюконолактон-6ф
6-фосфоглюконат
3).
6-фосфоглюконат
дегидрогеназа
(6-фосфоглюконат:
оксидоредуктаза (декарбоксилирующая)). Индуктор инсулин.
COOH
H
OH
HO
H
H
OH
H
OH
CH2OH
НАДФ+ НАДФН2 CO2
O
H
OH
6-фосфоглюконат ДГ H
OH
CH 2OPO3H2
6-фосфоглюконат
CH2OPO3H2
рибулозо-5ф
НАДФ+

58.

Неокислительная стадия ПФШ
ГЛИКОЛИЗ
При ПФШ
5 фруктозо-6ф
1 глюкозо-6ф
ЛИПОГЕНЕЗ
6 глюкозо-6ф
При ПФЦ
12 НАДФН2
6 СО2
6 рибулозо-5ф
эпимераза
изомераза
2 ксилулозо-5ф
окислительная
стадия
неокислительная
2 ксилулозо-5ф стадия
эпимераза
2 рибозо-5ф
В1 транскетолаза
2 ФГА
При ПФП
2 седогептулозо-7ф
трансальдолаза
2 фруктозо-6ф
2 эритрозо-4ф
транскетолаза
2 фруктозо-6ф
фруктозо-6ф
В1
пуриновые и
пиримидиновые
нуклеотиды
При ПФШ
ГЛИКОЛИЗ
2 ФГА
фруктозо-1,6дф

59.

Тканевые особенности функционирования
ПФШ, ПФП, ПФЦ
В зависимости от потребности ткани, пентозофосфатный
процесс может протекать в виде метаболического цикла,
пути или шунта начальных реакций гликолиза:
При ПФЦ или ПФШ в качестве продукта образуется
только НАДФН2. Пентозы в этом случае не являются
конечным
продуктом,
они
превращаются
в
фосфогексозы, которые замыкают цикл, или уходят в
гликолиз, завершая шунт. В жировой ткани, эритроцитах.
Продуктом ПФП являются НАДФН2 и пентозы. В печени,
костном мозге.
В тканях, которые не испытывают потребность в
НАДФН2, функционирует только неокислительная стадия
ПФП, причем ее реакции идут в обратную сторону
начиная с фруктозы-6ф до фосфопентоз. В мышцах.

60.

NH 2
Витамин B1 (тиамин)
N
ClH2
C
CH 3
N
H2
C
H3C
N
S
C
H2
OH
В1
распространён
в
продуктах
растительного
происхождения (оболочка семян хлебных злаков и риса,
горох, фасоль, соя и др.).
ТПФ в организмах животных (образуется из В1 в печени,
почках,
мозге,
сердечной
мышце
путём
фосфорилирования при участии тиаминкиназы и АТФ.

61. Недостаточность витамина В1

• Недостаточность – болезнь «бери-бери»
• лабораторный показатель недостаточности –
снижение активности транскетолазы в эритроцитах
Основной признак недостаточности витамина В1 —
полиневрит, в основе которого лежат дегенеративные
изменения нервов: Вначале развивается болезненность
вдоль нервных стволов, затем — потеря кожной
чувствительности и наступает паралич (бери-бери).
Второй важнейший признак заболевания — нарушение
сердечной деятельности, что выражается в нарушении
сердечного ритма, увеличении размеров сердца и в
появлении болей в области сердца.
К характерным признакам недостаточности витамина В1,
относят также нарушения секреторной и моторной функций
ЖКТ; наблюдают снижение кислотности желудочного сока,
потерю аппетита, атонию кишечника.

62.

Обмен фруктозы и галактозы

63.

МЕТАБОЛИЗМ ФРУКТОЗЫ И ГАЛАКТОЗЫ
Фруктоза и галактоза наряду с глюкозой используются для получения
энергии или синтеза веществ: гликогена, ТГ, ГАГ, лактозы и др.
Метаболизм фруктозы
Фруктоза, образующееся при расщеплении сахарозы, превращается в
глюкозу уже в клетках кишечника. Часть фруктозы поступает в печень.
CH 2OPO32-
CH 2OH
C
O
HO
C
H
H
C
OH
H
C
OH
CH 2OH
фруктоза
АТФ
АДФ
C
O
Mg2+
HO
C
H
фруктокиназа
H
C
OH
H
C
OH
CH 2OH
фруктозо-1ф
Доброкачественная эссенциальная фруктозурия
Фруктокиназа фосфорилирует только фруктозу, имеет к ней высокое
сродство. Содержится в печени, почках, кишечнике. Инсулин не влияет на ее
активность.

64.

CH 2OPO32C
H
O
O
CH 2OPO32-
C
HO
C
H
H
C
OH
H
C
OH
H
Альдолаза В
CH 2OH
C
OH
+
C
O
CH 2OH
CH 2OH
ГА
ДАФ
ДАФ
гликолиз
глюконеогенез
Наследственная непереносимость фруктозы
фруктозо-1ф
Альдолаза В есть в печени, расщепляет фруктозо-1ф (фруктозо-1,6ф) до
глицеринового альдегида (ГА) и диоксиацетонфосфата (ДАФ).
H
O
C
H
C
OH
CH 2OH
АТФ
2+
АДФ
Mg
H
O
C
H
Триозокиназа
ГА
C
OH
гликолиз
глюконеогенез
CH 2OPO3H2
3-ФГА
Триозокиназа. Много в печени.
ДАФ и ГА, полученные из фруктозы, включаются в печени в глюконеогенез.
Часть ДАФ может восстанавливаться до глицерол-3-ф и участвовать в синтезе
ТГ

65.

Доброкачественная эссенциальная фруктозурия
Связана с недостаточностью фруктокиназы, клинически не проявляется.
Фруктоза накапливается в крови и выделяется с мочой, где её можно обнаружить лабораторными методами. Частота 1:130 000.
Наследственная непереносимость фруктозы
Генетический дефект альдолазы В. Проявляется, когда в рацион добавляют
фрукты, соки, сахарозу. После приёма пищи, содержащей фруктозу возникает
рвота, боли в животе, диарея, гипогликемия и даже кома и судороги. У
детей развиваются хронические нарушения функций печени и почек.
фосфаты
фруктоза
гипофосфатемия
АТФ
Мочевая кислота
фруктозо-1-ф
гипогликемия
фосфоглюкомутаза
подагра
гликогенолиз
Липолиз ТГ, катаболиз ЖК, синтез КТ
синтеза АТФ
ацидоз

66.

Метаболизм галактозы
Галактоза образуется в кишечнике в результате гидролиза лактозы.
Превращение галактозы в глюкозу происходит в печени
CH 2OH
CH 2OH
АТФ
O
OH
АДФ
2+
O
OH
Mg
OH
OH
OH
галактоза
Галактокиназа
OH
OPO3H2
OH
галактозо-1ф

67.

гликоген
эпимераза
CH 2OH
CH 2OH
CH 2OH
O
O
OH
OH
OH
OH
O-УДФ
OH
OH
OH
глюкоза
УДФ-галактоза
галактозо-1ф-уридилтрансфераза
CH 2OH
CH 2OH
O
CH 2OPO3H2
O
OH
O
OH
OH
OH
галактозо-1ф
гликолиз
OH
OPO3H2
OH
OH
O-УДФ
OH
УДФ-глюкоза
OH
O
OH
OPO3H2
OH
глюкозо-1ф
OH
OH
глюкозо-6ф
Галактозо-1ф-уридилтрансфераза замещает галактозой остаток глюкозы
в УДФ-глюкозе с образованием УДФ-галактозы.
Эпимераза — НАД-зависимый фермент, катализирует эпимеризацию ОН
группы по С4 углеродному атому, обеспечивая взаимопревращения галактозы
и глюкозы в составе УДФ

68.

Галактоземия
Обусловлена наследственным дефектом любого из трёх ферментов
• Ранние симптомы: рвота, диарея, дегидратация, уменьшение
массы тела, желтуха.
• В крови, моче и тканях много галактозы и галактозо-1-ф.
• В хрусталике галактоза восстанавливается альдоредуктазой
(НАДФ) с образованием дульцита, который связывает большое
количество воды и приводит к катаракте.
• Галактозо-1-ф ингибирует активность ферментов углеводного
обмена (фосфоглюкомутазы, глюкозо-6-фосфатдегидрогеназы) →
гипогликемия, энергодефицит.
• Галактозо-1ф оказывает токсическое действие на гепатоциты:
возникают гепатомегалия, жировая дистрофия.
• Галактитол и галактозо-1-ф вызывают почечную недостаточность.
Отмечают нарушения в клетках полушарий головного мозга и
мозжечка, в тяжёлых случаях — отёк мозга, задержку умственного
развития, возможен летальный исход.

69.

Спасибо за внимание!
English     Русский Rules