17 лекция
Негармонические периодические напряжения и токи
Негармонические периодические напряжения и токи применяются в различных устройствах радиотехники, автоматики и вычислительной
В электроэнергетике такие напряжения и токи могут появляться при насыщении стальных магнитопроводов трансформаторов и при
Негармонические периодические напряжения и токи как функции времени f(t) с периодом Т могут быть представлены в виде
Ряд Фурье:
Где
- амплитуда синусной составляющей к - гармоники
- амплитуда косинусной составляющей к - гармоники
амплитудное значение к - гармоники
- начальная фаза к –гармоники, причем 180 градусов учитывается при Bk<0
- порядковый номер гармоники
- угловая частота первой (основной) гармоники
Дискретные спектры
Гармонический состав f(t) можно задать при помощи дискретных спектров амплитуд и фаз, причем разложение в ряд Фурье f(t) может
После разложения f(t) в ряд Фурье учитываются постоянная составляющая и несколько наибольших по амплитуде гармоник, а остальные
а) спектр амплитуд
б) спектр фаз
Пример
Значения негармонических периодических напряжений и токов
Представленных в виде
1. Среднее за период значение
2. Среднее по модулю значение
3. Максимальное значение
4. Действующее значение
Где
Например:
Действующие значения тока (I) и напряжения (U) характеризуют тепловую мощность в R:
Измерения величин периодических напряжений и токов
Действующие значения могут быть измерены вольтметрами и амперметрами следующих систем:
·      Электромагнитная ·      Электродинамическая ·      Электростатическая
2. Постоянные составляющие измеряются вольтметрами и амперметрами магнитоэлектрической системы:
3. Средние по модулю значения напряжений и токов фиксируются при помощи вольтметров и амперметров магнитоэлектрической системы
Максимальные и мгновенные значения (в функции времени) напряжений и токов измеряются при помощи осциллографов
Коэффициенты негармонических периодических напряжений и токов
Коэффициенты периодических напряжений и токов используются для оценки отличия их от гармонических функций
1. Коэффициент формы
2. Коэффициент амплитуды
3. Коэффициент искажения
4. Коэффициент гармоник
Для практически синусоидальных токов и напряжений:
Мощность при периодических напряжениях и токах
1. Активная мощность Р характеризует тепловую энергию
2. Реактивная мощность Q (условная величина):
3. Полная мощность S (условная величина):
Причем в большинстве случаях для негармонических функций
Если то формы и одинаковы
f(t)
4. Коэффициент мощности
Причем при при
Эквивалентные синусоиды
Расчет линейных цепей при периодических напряжениях и токах
После разложения периодических ЭДС и токов источников тока в ряд Фурье линейную цепь можно рассчитывать методом наложения, т.е.
Пример
Дано:
Определить:
1. Расчет постоянных составляющих (к=0)
2. Расчет первых гармоник (к=1)
3. Расчет вторых гармоник (к=2)
Окончательный результат
Резонансные явления при периодических напряжениях и токах
Резонансные явления могут наблюдаться при наличии в цепи индуктивностей и емкостей, причем резонанс может возникать на одной
При этом входное сопротивление или входная проводимость цепи для этих гармоник становится вещественной (активной) и может быть
Резонансные явления могут использоваться в специальных цепях (фильтрах) для пропускания в нагрузку определенных гармоник тока и
Пример 1:
Пример 2:
Пример 3:
а) задерживает
в)
Высшие гармоники в трехфазных цепях
Высшие гармоники в трехфазных цепях появляются за счет негармонических фазных ЭДС генераторов и трансформаторов, которые обычно
Фазные ЭДС содержат нечетные гармоники
Тогда
Тогда
гармоники к = 1, 7, 13 … образуют прямую последовательность
Гармоники к = 5, 11, 17 … образуют обратную последовательность
Гармоники к = 3, 9, 15 … образуют нулевую последовательность
Линейное напряжение
Линейное напряжение
Линейное напряжение
Действующие значения
Линейные напряжения не содержат гармоник кратных трем, причем расчет симметричного режима ведется на одну фазу методом
Дано:
Определить
Расчет комплексов 1 гармоники фазы А
2. Расчет комплексов 3 гармоники фазы А
Тогда
3. Расчет комплексов 5 гармоники фазы А
4. Функции времени
Примечание:
759.65K
Category: physicsphysics

17 лк. несин. токи

1. 17 лекция

Негармонические периодические
напряжения и токи в линейных
цепях
© 2001 Томский политехнический университет, кафедра ТОЭ, автор Носов Геннадий Васильевич

2. Негармонические периодические напряжения и токи

2

3. Негармонические периодические напряжения и токи применяются в различных устройствах радиотехники, автоматики и вычислительной

техники
3

4.

f(t)
0
T
t
4

5. В электроэнергетике такие напряжения и токи могут появляться при насыщении стальных магнитопроводов трансформаторов и при

использовании нелинейных
устройств, например,
полупроводниковых
преобразователей
5

6. Негармонические периодические напряжения и токи как функции времени f(t) с периодом Т могут быть представлены в виде

тригонометрического ряда
Фурье
6

7. Ряд Фурье:

к 1
к 1
f (t ) A 0 Bк sin к t Cк cos к t
A 0 Amк sin( к t к )
к 1
7

8. Где

Т
1
A 0 f (t )dt
T0
- постоянная составляющая
8

9. - амплитуда синусной составляющей к - гармоники

T
2
Bк f (t ) sin( к t ) dt
T0
- амплитуда синусной
составляющей к - гармоники
9

10. - амплитуда косинусной составляющей к - гармоники

T
2
Cк f (t ) cos(к t ) dt
T0
- амплитуда косинусной
составляющей к - гармоники
10

11. амплитудное значение к - гармоники

Amк
2
2
Bк Ск
- амплитудное значение
к - гармоники
11

12. - начальная фаза к –гармоники, причем 180 градусов учитывается при Bk<0


к ( 180 ) arctg
Вк
- начальная фаза к –гармоники,
причем 180 градусов
учитывается при Bk<0
12

13. - порядковый номер гармоники

к 1,2,3...
- порядковый номер гармоники
13

14. - угловая частота первой (основной) гармоники

2 1
2 f ,
T c
- угловая частота первой
(основной) гармоники
14

15. Дискретные спектры

15

16. Гармонический состав f(t) можно задать при помощи дискретных спектров амплитуд и фаз, причем разложение в ряд Фурье f(t) может

осуществляться
аналитически, приближенно
по специальным формулам
и при помощи ЭВМ
16

17. После разложения f(t) в ряд Фурье учитываются постоянная составляющая и несколько наибольших по амплитуде гармоник, а остальные

гармоники
отбрасываются
17

18. а) спектр амплитуд

А mк
Аm1
А0
0
Аm 2
Аm 3
1
2
3
4
Аm4
к
18

19. б) спектр фаз

к
90
1
2
0
1
2
3
4
к
4
3
19

20. Пример

u(t ) 1 2 sin t 1sin( 2 t 90 ), B
где
U0 1 B
Um1 2 B
1 0
2 90
Um 2 1 B
20

21.

B
3
u(t)
u ( t ) U 0 u1 u 2
2
U0
1
u2
0
-1
u1 t
-2
-3
T 2
21

22. Значения негармонических периодических напряжений и токов

22

23. Представленных в виде

f (t ) A0 Am1 sin( t 1 )
Am 2 sin( 2 t 2 ) ...
23

24. 1. Среднее за период значение

T
1
A 0 f (t )dt
T0
- это постоянная составляющая
24

25. 2. Среднее по модулю значение

T
1
Aср f (t ) dt
T0
25

26. 3. Максимальное значение

Am
- это наибольшее по
модулю значение f(t)
26

27.

f(t)
Am
f(t)
0
t
27

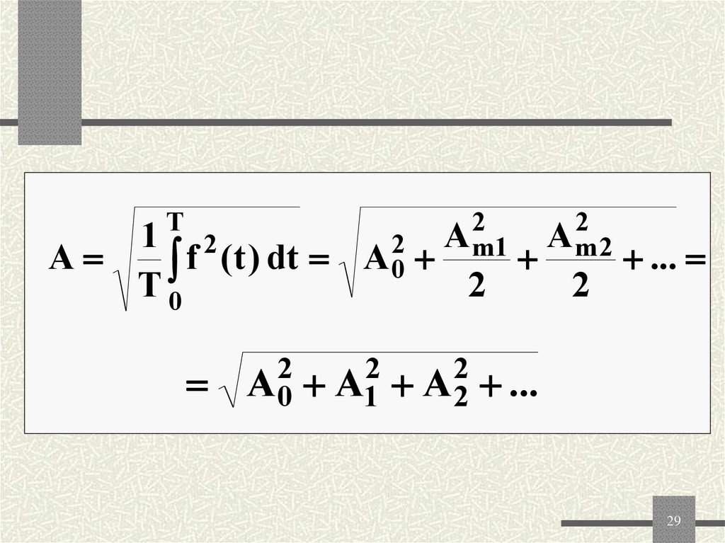
28. 4. Действующее значение

A
- это среднеквадратичное
значение f(t) за период Т
28

29.

T
1 2
A
f (t ) dt
T0
2
2
2 A m1 A m 2
A0
...
2
2
2
2
2
A 0 A1 A 2 ...
29

30. Где

Am1
Am 2
A1
, A2
...
2
2
- действующие значения
отдельных гармоник
30

31. Например:

i(t ) 6 8 2 sin( t 30 )
7.07 sin( 3 t 60 ), A
2
7.07
I 6 8
11.18 A
2
2
2
31

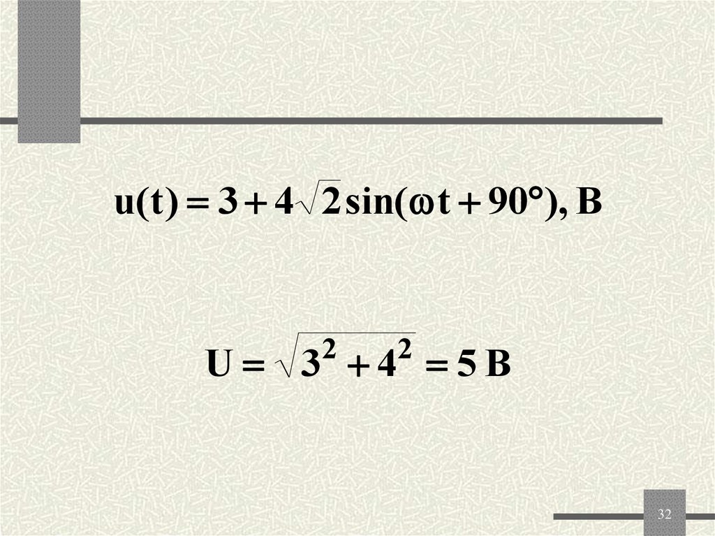
32.

u(t ) 3 4 2 sin( t 90 ), B
2
2
U 3 4 5B
32

33. Действующие значения тока (I) и напряжения (U) характеризуют тепловую мощность в R:

2
U
P I R
, Вт
R
2
33

34. Измерения величин периодических напряжений и токов

34

35. Действующие значения могут быть измерены вольтметрами и амперметрами следующих систем:

1. Действующие значения
могут быть измерены
вольтметрами и
амперметрами следующих
систем:
35

36. ·      Электромагнитная ·      Электродинамическая ·      Электростатическая

Электромагнитная
Электродинамическая
Электростатическая
36

37. 2. Постоянные составляющие измеряются вольтметрами и амперметрами магнитоэлектрической системы:

37

38. 3. Средние по модулю значения напряжений и токов фиксируются при помощи вольтметров и амперметров магнитоэлектрической системы

с выпрямителем:
38

39. Максимальные и мгновенные значения (в функции времени) напряжений и токов измеряются при помощи осциллографов

4. Максимальные и
мгновенные значения
(в функции времени)
напряжений и токов
измеряются при помощи
осциллографов
39

40. Коэффициенты негармонических периодических напряжений и токов

40

41. Коэффициенты периодических напряжений и токов используются для оценки отличия их от гармонических функций

41

42. 1. Коэффициент формы

А
Кф
Аср
для синусоиды Кф 1,11
42

43. 2. Коэффициент амплитуды

Аm
Ка
A
для синусоиды Ка 2 1,41
43

44. 3. Коэффициент искажения

А1 Аm1
Ки
А
2A
для синусоиды Ки 1
44

45. 4. Коэффициент гармоник

( А0 0)
Кг
2
2
А 2 А 3 ...
А1
для синусоиды Кг 0
45

46. Для практически синусоидальных токов и напряжений:

Кг 0,05
46

47. Мощность при периодических напряжениях и токах

47

48.

Рассмотрим двухполюсник:
i( t )
+
u(t )
48

49.

Напряжение и ток двухполюсника
u(t ) U 0 2U1 sin( t 1 )
2U 2 sin( 2 t 2 ) ...
i(t ) I 0 2I1 sin( t 1 )
2I 2 sin( 2 t 2 ) ...
49

50. 1. Активная мощность Р характеризует тепловую энергию

W P t P n T, Дж
где
n 1, 2, 3...
2
T
50

51.

При этом
P P0 P1 P2 ... U0I 0
U1I1 cos 1 U 2I 2 cos 2 ... , Вт
где
1 1 1
2 2 2
51

52. 2. Реактивная мощность Q (условная величина):

Q Q1 Q 2 ...
U1I1 sin 1 U 2I 2 sin 2 ... , вар
52

53. 3. Полная мощность S (условная величина):

S UI
2
2
2
U 0 U1 U 2 ...
2
2
2
I 0 I1 I 2 ... , ВА
53

54. Причем в большинстве случаях для негармонических функций

2
S P Q
2
54

55. Если то формы и одинаковы

Если
2
S P Q
то формы
одинаковы
2
u(t ) и i(t )
55

56. f(t)

u( t )
i( t )
0
t
56

57. 4. Коэффициент мощности

P
cos 1
S
P
где arccos
S
57

58. Причем при при

Причем
при
Q 0
0
при
Q 0
0
58

59. Эквивалентные синусоиды

u(t ) 2U sin( t 1 )
i(t ) 2I sin( t 1 )
где:
U
I
2
2
2
U 0 U1 U 2
2
2
2
I 0 I1 I 2
59

60. Расчет линейных цепей при периодических напряжениях и токах

60

61. После разложения периодических ЭДС и токов источников тока в ряд Фурье линейную цепь можно рассчитывать методом наложения, т.е.

рассчитывать постоянную
составляющую и каждую
гармонику напряжений и
токов по отдельности
61

62.

При этом R=const и:
(к )
ХL кXL к L
ХС
(к )
ХС
к
1
к C
(к )
ХМ кXМ к М
62

63. Пример

а
R
e(t )
L
J(t )
+
С
uC ( t )
i L (t )
в
63

64. Дано:

e(t ) E0 2E1 sin( t 1 )
J (t ) J 0 2J 2 sin( 2 t 2 )
, R, L, C
64

65. Определить:

i L ( t ) , uC ( t )
65

66. 1. Расчет постоянных составляющих (к=0)

66

67.

R
а
U C0
Е0
IL0
+
J0
в
67

68.

I L0 J 0
U C 0 E0 I L 0 R E0 J 0 R
68

69. 2. Расчет первых гармоник (к=1)

69

70.

R
Е1
jXL
а
+
jXC
I L1
U C1
в
70

71.

E1 E1e
j 1
1
; X L L
; XC
C
E1
j 1
I L1
I L1e , A
R jXL jXC
UC1 I L1 ( jXC ) UC1e
j 1
,B
71

72. 3. Расчет вторых гармоник (к=2)

72

73.

j2 X L
R
jXC
IL2
а
+
J2
UC2
2
в
73

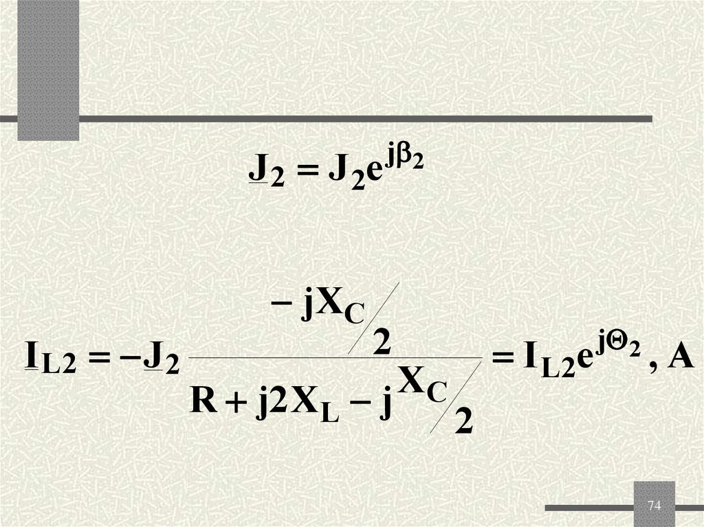
74.

J 2 J 2e
j 2
jXC
2
IL2 J 2
XC
R j2XL j
I L 2e
j 2
,A
2
74

75.

jXC
( R j2 XL )
2
UC2 J 2
jXC
R j2 XL
2
U C 2e
j 2
,B
75

76. Окончательный результат

i L (t ) J 0 2I L1 sin( t 1 )
2I L 2 sin( 2 t 2 ), A
uC (t ) UC0 2UC1 sin( t 1 )
2UC2 sin( 2 t 2 ), В
76

77. Резонансные явления при периодических напряжениях и токах

77

78. Резонансные явления могут наблюдаться при наличии в цепи индуктивностей и емкостей, причем резонанс может возникать на одной

или нескольких гармониках
напряжений и токов
78

79. При этом входное сопротивление или входная проводимость цепи для этих гармоник становится вещественной (активной) и может быть

близкой к 0 или
Различают для к-гармоник
резонансы напряжений и
токов, а также резонансы в
сложной цепи
79

80. Резонансные явления могут использоваться в специальных цепях (фильтрах) для пропускания в нагрузку определенных гармоник тока и

напряжения.
Рассмотрим такие цепи без
учета активных
сопротивлений катушек
80

81. Пример 1:

дано
u1 (t ) U 0 2U1 sin( t 1 )
нужно получить
u 2 (t ) 2U1 sin( t 1 )
81

82.

1
+
L
C
2
+
u1 ( t )
u 2 (t )
'
'
2
j
(1 )
(1 )
(1 )
Z12 jXL jXC j L
0
C
- резонанс напряжений 1 гармоники
1
82

83. Пример 2:

дано
u1 (t ) U 0 2U1 sin( t 1 )
нужно получить
u 2 (t ) U0
83

84.

L
1
+
u1 ( t )
2
C
+
u 2 (t )
'
(
1
)
(
1
)
2
1 (1) jX [ jX ]
L
C
Z12
(1 )
(1 )
jXL jXC
'
- резонанс токов 1 гармоники
84

85. Пример 3:

дано
u1 (t ) U 0 2U1 sin( t 1 )
2U 2 sin( 2 t 2 ) ...
нужно получить
u 2 (t ) 2U1 sin( t 1 )
85

86.

1
+
u1 ( t )
'
1
C1
L
2
C2
+
u 2 (t )
2
'
86

87. а) задерживает

а) С1 задерживает U 0
1
б) 2 L
2 C2
задерживается 2 гармоника
(резонанс токов 2 гармоники)
87

88. в)

1
j L
j
j C2
(1 )
Z12
0
C1 j L 1
j C2
-1 гармоника проходит без
изменения (резонанс
напряжений 1 гармоники)
88

89. Высшие гармоники в трехфазных цепях

89

90. Высшие гармоники в трехфазных цепях появляются за счет негармонических фазных ЭДС генераторов и трансформаторов, которые обычно

одинаковы по
форме, сдвинуты на треть
периода и симметричны
относительно оси времени
90

91.

B е
еА
Em
0
еВ
еС
t
Em
91

92. Фазные ЭДС содержат нечетные гармоники

e A 2E1 sin( t 1 )
2E3 sin( 3 t 3 )
2E5 sin( 5 t 5 ) ...
92

93. Тогда

eВ 2E1 sin( t 1 120 )
2E3 sin( 3 t 3 )
2E5 sin( 5 t 5 120 ) ...
93

94. Тогда

eС 2E1 sin( t 1 120 )
2E3 sin( 3 t 3 )
2E5 sin( 5 t 5 120 ) ...
94

95. гармоники к = 1, 7, 13 … образуют прямую последовательность

Таким образом
гармоники к = 1, 7, 13 …
образуют прямую
последовательность
95

96. Гармоники к = 5, 11, 17 … образуют обратную последовательность

96

97. Гармоники к = 3, 9, 15 … образуют нулевую последовательность

97

98.

еА
еВ
еС
А
V2
u АВ
В
u ВС
uСА
V1
С
N
98

99. Линейное напряжение

u AB e A eB
3 2Е1 sin( t 1 30 )
3 2Е5 sin( 5 t 5 30 ) ...
99

100. Линейное напряжение

uBС eВ eС
3 2Е1 sin( t 1 90 )
3 2Е5 sin( 5 t 5 90 ) ...
100

101. Линейное напряжение

uСA eС e А
3 2Е1 sin( t 1 150 )
3 2Е5 sin( 5 t 5 150 ) ...
101

102. Действующие значения

U V1 E A EФ
2
2
2
E1 E3 E5 ...
U V 2 U АВ U Л 3
2
2
E1 E5 ...
UV2 UЛ
причем
3
U V1 ЕФ
102

103. Линейные напряжения не содержат гармоник кратных трем, причем расчет симметричного режима ведется на одну фазу методом

наложения для
каждой гармоники отдельно
103

104.

еА
Z

N еВ
iB
еС

ZN
uN

uB
Z n
Z

iN
104

105. Дано:

T
T
е А ( t ) е B t еC t ,
3
3
2 (1, 3,5 ) ( 3 )
, Т , Z
, ZN
105

106. Определить

i A , u A , i N , uN
106

107. Расчет комплексов 1 гармоники фазы А

1. Расчет комплексов
1 гармоники фазы А
I1
E1e
Z
U1 Z
j 1
(1 )
(1 )
I1e
j 1
I1 E1e
j 1
107

108. 2. Расчет комплексов 3 гармоники фазы А

I3
E3e
Z
( 3)
j 3
I
e
3
( 3)
j 3
3Z N
U3 Z
( 3)
I 3 U 3e
j
108

109. Тогда

( 3)
j
U N 3Z N I 3 U N e
I N 3I 3 I Ne
j 3
109

110. 3. Расчет комплексов 5 гармоники фазы А

I5
E 5e
Z
U5 Z
j 5
(5)
( 5)
I 5e
j 5
I 5 Е5e
j 5
110

111. 4. Функции времени

i A 2I1 sin( t 1 )
2I 3 sin( 3 t 3 )
2I 5 sin( 5 t 5 )
111

112.

u A 2E1 sin( t 1 )
2U 3 sin( 3 t )
2E5 sin( 5 t 5 )
112

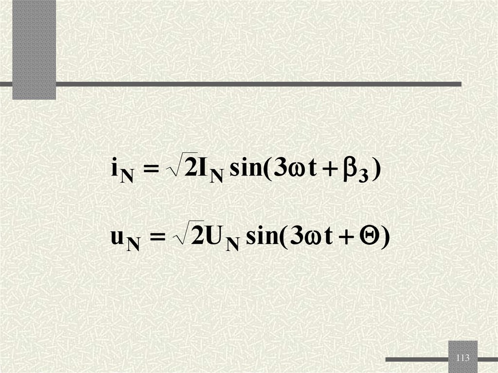
113.

i N 2I N sin( 3 t 3 )
u N 2U N sin( 3 t )
113

114. Примечание:

если
( 3)
ZN ,
то
I 3 I N 0,
U N E3 e
U 3 0,
j 3
114
English     Русский Rules