Задания к лекции 9
Задание 1
Решение
Задание 2
Задание 3
Задание 4
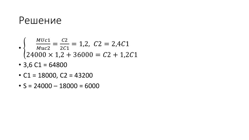
Решение
Продолжение решения
Задание 5
Задание 6
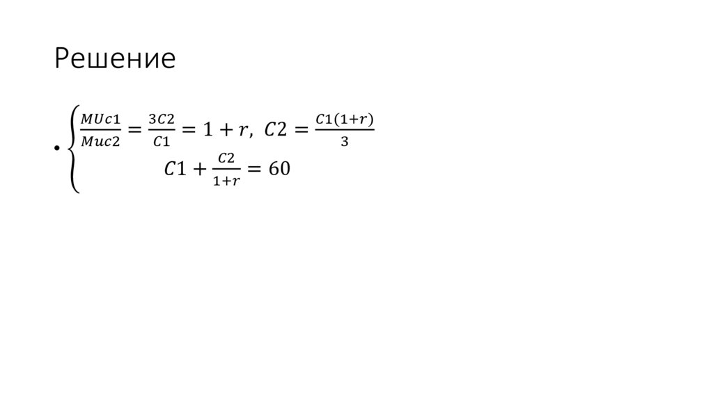
Решение
Задание 7
Задание 8
Решение
Задание 9
Задача 10
Решение
546.32K

! Задания к лекции 9 досуг и труд, межврем. выбор

1. Задания к лекции 9

2. Задание 1

• Индивид распределяет 24 часа между работой и свободным
временем. Функция полезности имеет вид U = С2/3
English     Русский Rules