Многочлены.
Определение
Свойства многочленов от одной переменной
Свойства многочленов от одной переменной
Свойства многочленов от одной переменной
Свойства многочленов от одной переменной
3.55M
Category: mathematicsmathematics

Многочлены от одного переменного. Глава III, §1

1.

Многочлены
от одного переменного.
Глава III, §1.

2. Многочлены.

Из курса алгебры основной школы, мы знаем что
существуют различные виды многочленов.
1. Одночлен: 2а³, 3a²b, 7…
2. Двучлен: 3х+4, 2а³ – 4с² …
3. Трёхчлен (включая квадратный трёхчлен): 3х+4b+c,
2x²+3x–7…
И так далее
Особое место
переменной.
занимают
многочлены
от
одной

3.

БУДЕМ ЗНАТЬ!!!

4.

Многочлен от одной переменной.
Определение
•Любой многочлен P(x), содержащий только переменную х и её натуральные
степени, можно записать в стандартном виде
P(x) = a0xn +a1xn – 1 +…+ an – 1 x + an
где a0,a1……an – 1 ,an – некоторые действительные числа.
•Если а0 0, то многочлен P(x) называют многочленом n – ой степени, член a0xn
старшим членом, an – свободным членом.
•Если P(x) = а0, где а0 0, называют многочленом нулевой степени. Число 0
называют нулевым многочленом.

5.

БУДЕМ ЗНАТЬ!!!

6.

Чтобы показать, что степень многочлена
равна n, пишут (см индекс):
Рп ( х) а0 х а1 х
п
п 1
... ап 1 х ап
… – п степени

7.

УСТНО ПОВТОРИМ ЗАДАНИЕ!!!

8.

Заполните пропуски:
Многочлен
3х 8 х 8 х
5
2
2х 4х 5
4
2
х 3х 8
7
6
8
Старший
член
Степень
Свободный
многочлена
член

9.

Проверьте заполнение пропусков:
Многочлен
Старший
Степень
Свободный
член
многочлена
член
3х 8 х 8 х

5
5
2х 4х 5

7
х
8
4
0
5
7
8
0
8
5
4
2
2
х 7 3х 6 8
8
4

10.

Проверьте
заполнение пропусков:
Многочлен
Старший
Степень
Свободный
член
многочлена
член
3х 8 х 8 х

5
5
2х 4х 5

7
х
8
4
0
5
7
8
0
8
5
4
2
2
х 7 3х 6 8
8
4
0 - … многочлен

11.

БУДЕМ ЗНАТЬ!!!

12. Определение

Два многочлена Р(х) и S(х) тождественно
равны, если равны их степени и равны
коэффициенты при одинаковых степенях
переменной в обоих многочленах.

13.

УСТНО ПОВТОРИМ ЗАДАНИЕ!!!

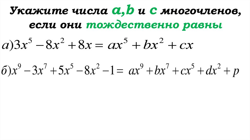
14.

Укажите числа a,b и c многочленов,
если они тождественно равны
а)3х 8 х 8 х ах bх cх
5
5
2
2
б ) х 3х 5х 8x 1 aх bх cх dx p
9
7
5
2
9
7
5
2

15.

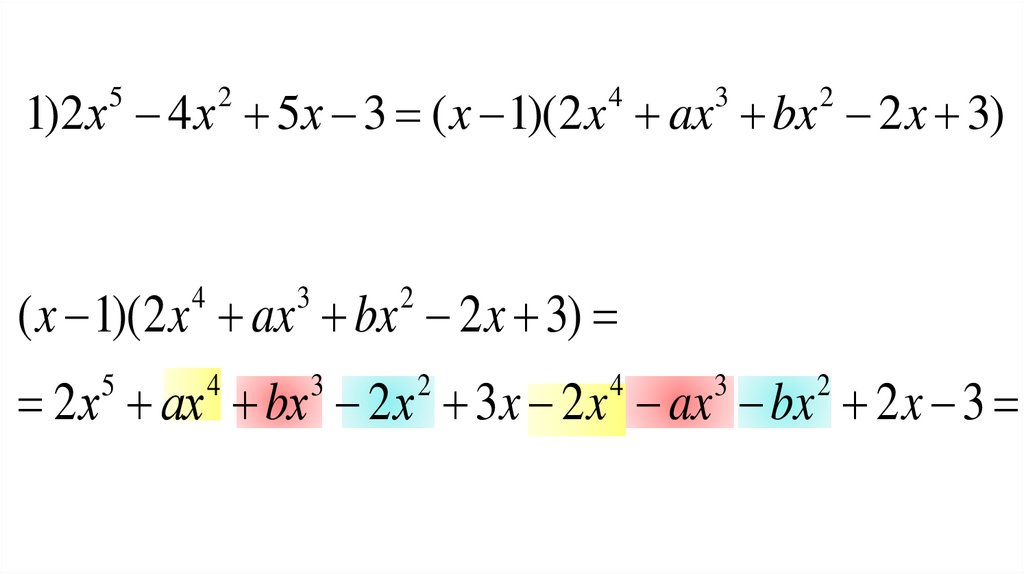
1)2 х 4 х 5х 3 ( x 1)(2 x ax bx 2 x 3)
5
2
4
3
2
Можно ли сразу назвать числа
a и b?
Что нужно сделать, чтобы
назвать числа
a и b?

16.

1)2 х 4 х 5х 3 ( x 1)(2 x ax bx 2 x 3)
5
2
4
3
2
Сколько слагаемых получится в
правой части равенства после
умножения?
Выполняем умножение в правой
части равенства и приводим
подобные.

17.

1)2 х 4 х 5х 3 ( x 1)(2 x ax bx 2 x 3)
5
2
4
3
2
( x 1)(2 x ax bx 2 x 3)
4
3
2
2 х ах bх 2 х 3x 2 x ax bx 2 x 3
5
4
3
2
4
3
2
Укажите подобные слагаемые

18.

1)2 х 4 х 5х 3 ( x 1)(2 x ax bx 2 x 3)
5
2
4
3
2
( x 1)(2 x ax bx 2 x 3)
4
3
2
2 х ах bх 2 х 3x 2 x ax bx 2 x 3
5
4
3
2
4
3
2

19.

1)2 х 4 х 5х 3 ( x 1)(2 x ax bx 2 x 3)
5
2
4
3
2
( x 1)( 2 x ax bx 2 x 3)
4
3
2
2 х ах bх 2 х 3x 2 x ax bx 2 x 3
5
4
3
2
4
3
2
2 х (а 2) х (b а) х (2 b) x 5х - 3
5
4
3
2
Назовите значения выделенных
выражений

20.

1)2 х 4 х 5 х 3 ( x 1)( 2 x ax bx 2 x 3)
5
2
4
3
2
( x 1)( 2 x 4 ax 3 bx 2 2 x 3)
2 х 5 ах 4 bх 3 2 х 2 3 x 2 x 4 ax 3 bx 2 2 x 3
2 х 5 (а 2) х 4 (b а ) х 3 (2 b) x 2 5х - 3
а 2 0,
b а 0,
2 b 4
Найдите значения
а,b и с

21.

1)2 х 5 4 х 2 5 х 3 ( x 1)( 2 x 4 ax 3 bx 2 2 x 3)
4
3
2
( x 1)( 2 x ax bx 2 x 3)
2 х ах bх 2 х 3 x 2 x ax bx 2 x 3
5
4
3
2
4
3
2
2 х (а 2) х (b а ) х (2 b) x 5х - 3
5
а 2 0,
b а 0,
2 b 4
4
3
2
а 2, b 2
Ответ : а 2, b 2

22. Свойства многочленов от одной переменной

Многочлены имеют много свойств,
аналогичных свойствам целых чисел. Саму
запись многочлена в указанном виде можно
считать аналогом записи чисел в десят
системе счисления
Рп ( х) а0 х п а1 х п 1 ... ап 1 х ап

23. Свойства многочленов от одной переменной

Теорема 1.
Степень произведения двух
многочленов равна сумме
степеней многочленов
множителей.

24.

УСТНО!!!

25.

Степень произведения двух
многочленов равна:
а)Qk ( х) Рп ( х) М ... ( х)
б )Q3 ( х) Р4 ( х) М ... ( х)
в)Q5 ( х) Р1 ( х) М ... ( х)
г )Q3 ( х) Р0 ( х) М ... ( х)
Проверка

26.

Степень произведения двух
многочленов равна:
а)Qk ( х) Рп ( х) М k n ( х)
б )Q3 ( х) Р4 ( х) М 7 ( х)
в)Q5 ( х) Р1 ( х) М 6 ( х)
г )Q3 ( х) Р0 ( х) М 3 ( х)

27. Свойства многочленов от одной переменной

Теорема 2. (О делении многочленов уголком)

28.

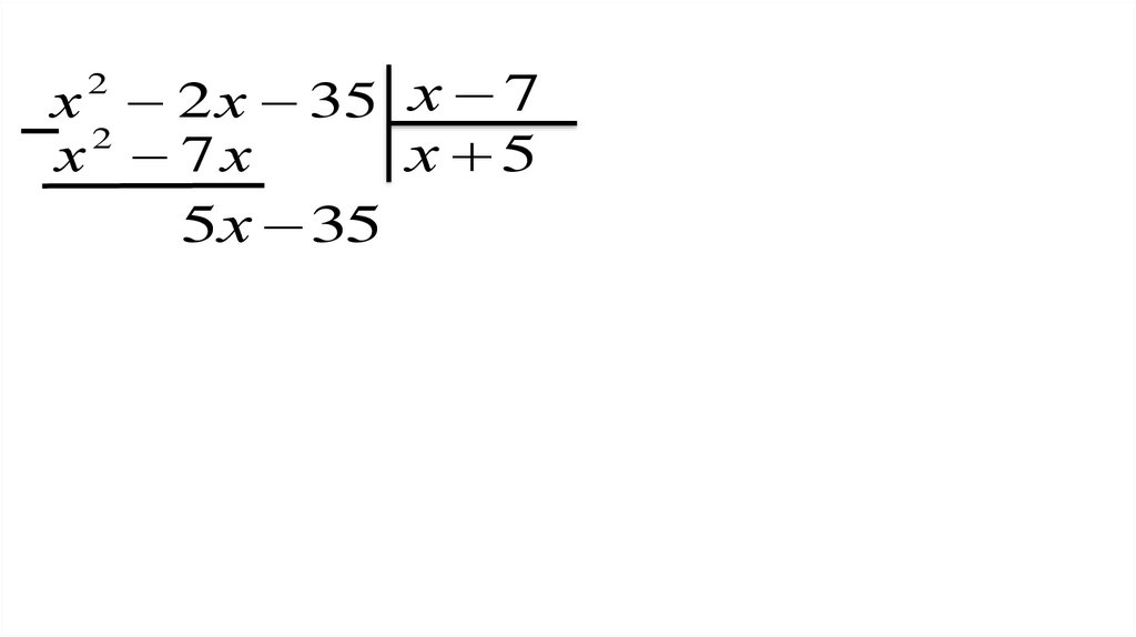
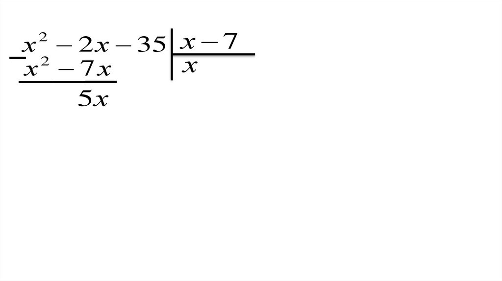
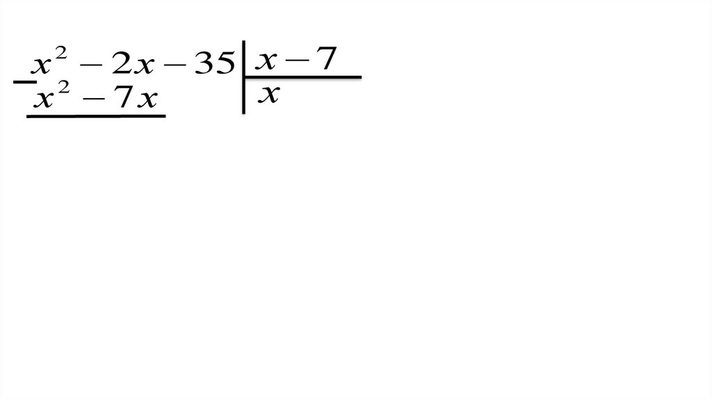
Выполните деление уголком
1)( x 2 x 35) : ( х 7)
2
Выполняем деление уголком пошагово

29.

х 2 х 35 х 7
2

30.

х 2 х 35 х 7
2
х

31.

х 2 х 35 х 7
2
х ...
2
х

32.

х 2 2 х 35 х 7
2
х
х 7х

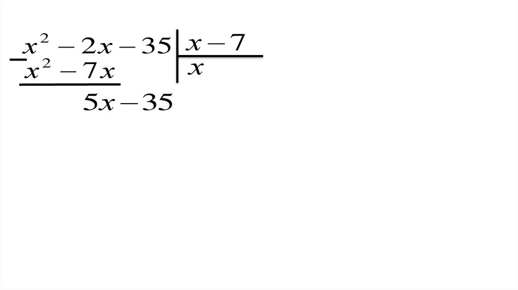
33.

х 2 2 х 35 х 7
2
х
х 7х

34.

х 2 2 х 35 х 7
2
х
х 7х
5х 35

35.

х 2 2 х 35 х 7
2
х 7х
х 5
5х 35

36.

х 2 2 х 35 х 7
2
х 7х
х 5
5х 35
5х 35
0
x 2 x 35 ( х 7)( х 5)
2
Формула деления

37.

Определение (уточните этот факт в
тетради, обратив внимание на
индексы!!!)

38. Свойства многочленов от одной переменной

Теорема 3. (О делении многочленов уголком)
АЛГОРИТМ! СМ НИЖЕ! ЗАПИШИ И
ВЫУЧИ!

39.

Чтобы разделить многочлен P(x) на многочлен Q(x)
нужно:
1. Расположить делимое и делитель по убывающим
степеням х;
2. Разделить старший член делимого на старший член
делителя; полученный одночлен сделать первым
членом частного;
3. Первый член частного умножить на делитель; результат
вычесть из делимого; полученная разность является
первым остатком;
4. Чтобы получить следующий член частного, нужно с
первым остатком поступить так, как поступали с
делимым и делителем в пунктах 2 и 3.

40.

УСТНО РАЗБЕРЕМ РЕШЕНИЕ
ЗАДАНИЯ!!!

41.

Закрепление нового материала
2)(6 x 7 x 3) : (2 х 3)
2
Выполните задание самостоятельно
Проверка

42.

6 х 2 7 х 3 2х 3
3х 1
6х2 9х
2х 3
2х 3
0
делитель
6 x 7 x 3 (2 х 3)(3х 1)
2
делимое
частное

43.

Закрепление нового материала
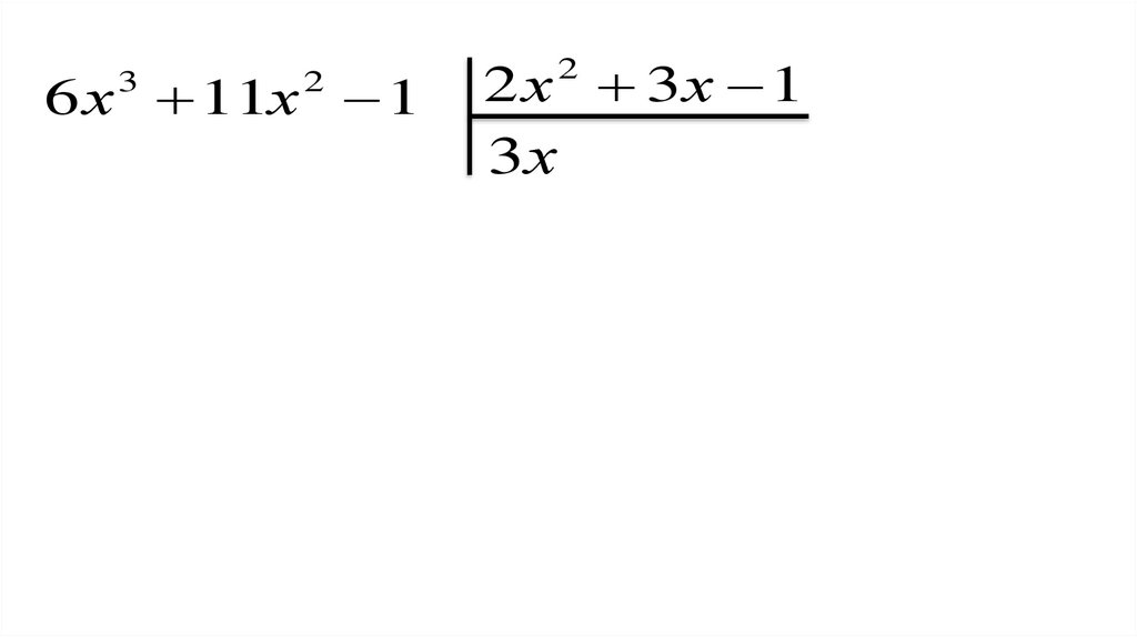
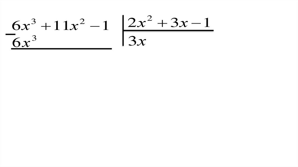
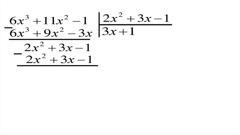
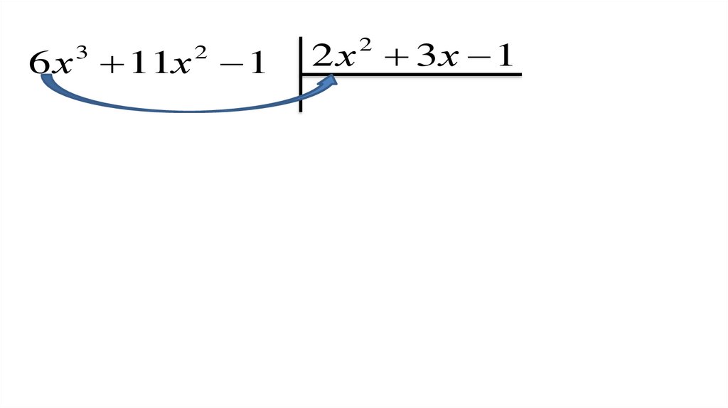
3)(6 x 11x 1) : (2 х 3х 1)
3
2
2
Поясните выполнение
деления

44.

6 х 11х 1
3
2
2 х 3х 1
2

45.

6 х 11х 1
3
2
2 х 3х 1

2

46.

6 х 11х 1
3

3
2
2 х 3х 1

2

47.

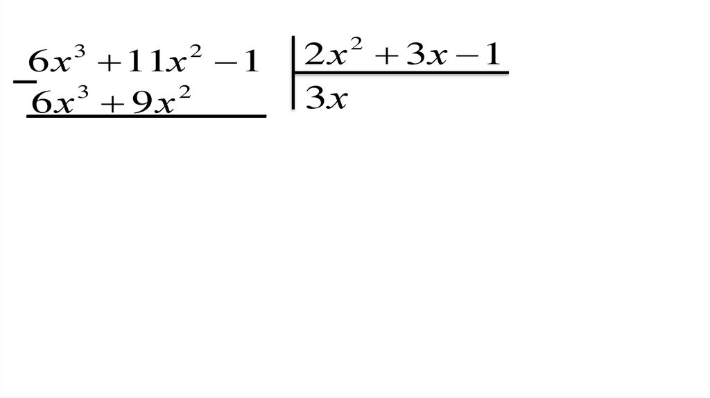
6 х 11х 1
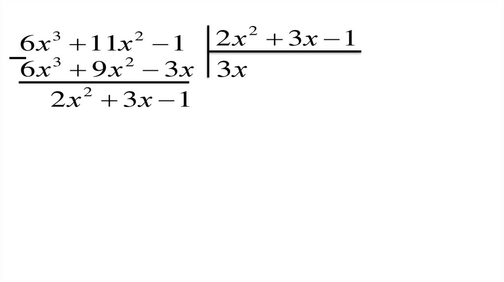
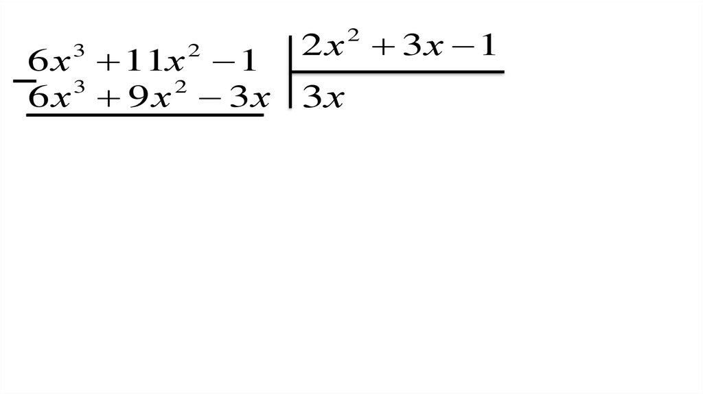
6 х3 9 х 2
3
2
2 х 3х 1

2

48.

2 х 3х 1
6 х 11х 1
3
2
6 х 9 х 3 х 3х
3
2
2

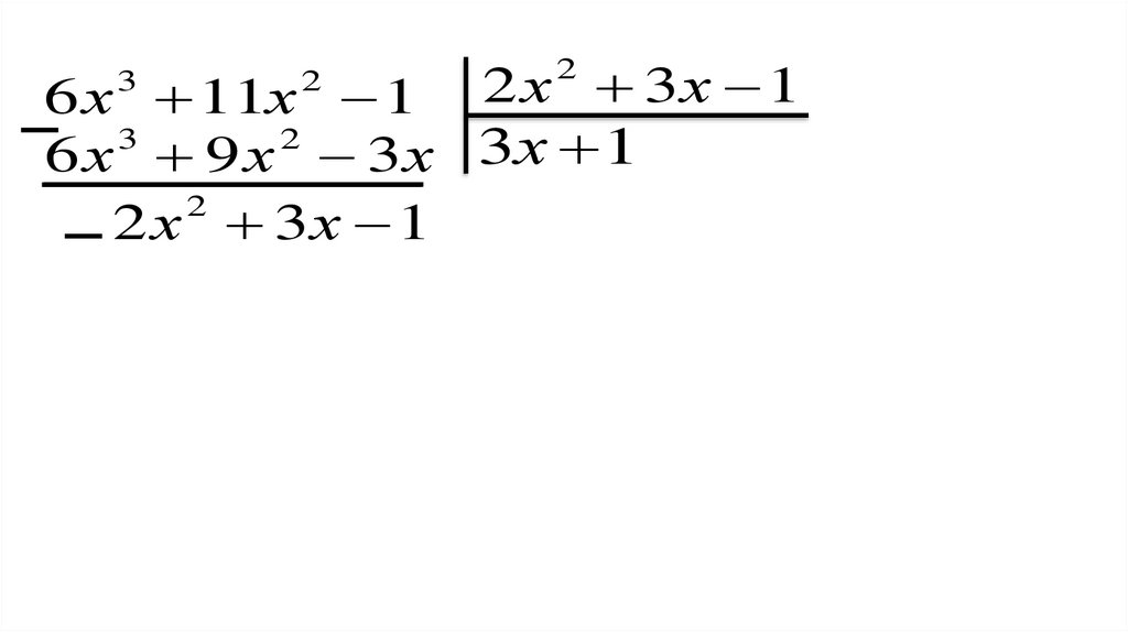
49.

6 х 11х 1 2 х 3 х 1
3
2
6 х 9 х 3 х 3х
2
2 х 3х 1
3
2
2

50.

6 х 11х 1 2 х 3 х 1
3
2
6 х 9 х 3 х 3х 1
2
2 х 3х 1
3
2
2

51.

6 х 11х 1 2 х 3 х 1
3
2
6 х 9 х 3 х 3х 1
2
2 х 3х 1
2
2 х 3х 1
3
2
2

52.

6 х 11х 1 2 х 3 х 1
3
2
6 х 9 х 3 х 3х 1
2
2 х 3х 1
2
2 х 3х 1
0
3
2
2
6 x 3 11x 2 1 (2 х 2 3х 1) (3х 1)
Формула деления

53.

ВЫУЧИМ! ЗАПИШЕМ!!!
(Формулировки свойств с
примерами)

54.

Изучение нового материала
Свойства делимости многочленов

55.

Изучение нового материала
Свойства делимости многочленов

56.

Пример : Разделить многочлен P(x) = 3x4 + 2x2 – 1 на многочлен
Q(x) = x2 + x.
3x4 + 0х3 + 2x2 + 0х – 1
3x4 + 3x3
– 3x3 + 2х2 + 0х – 1
– 3x3 – 3x2
x2 + x
3x2 – 3х + 5
5x2 + 0х – 1
2
5x +
5x – 5x – 1
Степень остатка – 5x – 1 меньше степени делителя x2 + x,
деление закончено.
Ответ: 3x2 – 3х + 5 частное, – 5x – 1 остаток.

57.

Деление многочленов c остатком

58.

РАЗБЕРЕМ! ЗАПИШЕМ!!!

59.

Деление многочленов c остатком
Делимое
остаток
Делит

60.

x x 2 х 4 ( х 3х 1) ( х 2) 3х 2
3
2
делимое
2
делитель частное
Формула деления с остатком
остаток
English     Русский Rules