От объемов к векторам: Автоматизированный анализ 3D-КЛКТ-сканирования с использованием многомодельного глубокого обучения
Обзор методологии Как модель рассматривает результаты сканирования?
Анализ обучения модели с помощью глубокого обучения Понимание скорости обучения и выявление особенностей каждой модели в
Аналитическое восприятие Выделение подходящей модели с точки зрения производительности
5.19M
Category: educationeducation

От объемов к векторам: автоматизированный анализ 3D-КЛКТ-сканирования с использованием многомодельного глубокого обучения

1. От объемов к векторам: Автоматизированный анализ 3D-КЛКТ-сканирования с использованием многомодельного глубокого обучения

От объемов к векторам:
Автоматизированный анализ 3DКЛКТ-сканирования с
использованием
многомодельного глубокого
обучения
Ислам МД Машрур
22Б.14- “Математика и искусственный интеллект”
Санкт-Петербургский Государственный Университет

2.

Abstract
Конусно-лучевая компьютерная томография зубов (КЛКТ) позволяет
получить сложные объемные трехмерные данные, однако их анализ
остается трудоемким и субъективным. Это исследование использует
глубокое
обучение
для
автоматизации
сегментации
КЛКТ
и
панорамной реконструкции, разделяя снимки на плоские двумерные
срезы
для
точной
анатомической
маркировки.
Мы
проводим
сравнительную
оценку
четырех
самых
современных
моделей
обнаружения — YOLO, RetinaNet, Faster R-CNN и Mask R-CNN —
оценивая их производительность в виде фрагментарных аннотаций,
точности и вычислительной эффективности. Наши результаты
демонстрируют превосходный баланс скорости и точности YOLO,
обеспечивающий оптимальную частоту обнаружения и эффективный
панорамный синтез на основе U-образного разреза для клинических
применений. Расширенная аналитика, включая тепловые карты,
обучающие кривые и радиолокационные сравнения, позволяет
количественно оценить надежность моделей, предлагая понимание
компромиссов между сложностью архитектуры и диагностической
полезностью. Эта работа устраняет разрыв между объемной
визуализацией
и
автоматизацией,
управляемой
искусственным
интеллектом,
прокладывая
путь
к
высокоточному
анализу

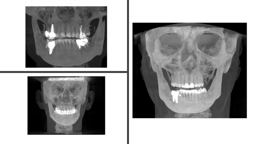
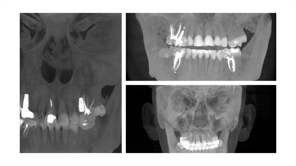
3. Обзор методологии Как модель рассматривает результаты сканирования?

4.

Stage 1: First Detection
Stage 2: Making the U-cut

5.

Stage 3: Teeth incentive
selection
Stage 4: Final Selection

6.

7.

8.

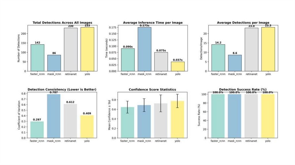
9. Анализ обучения модели с помощью глубокого обучения Понимание скорости обучения и выявление особенностей каждой модели в

отдельности

10.

11.

12.

13.

14.

YOLO

15.

16. Аналитическое восприятие Выделение подходящей модели с точки зрения производительности

17.

18.

19.

Вывод
В этом исследовании мы исследовали потенциал моделей глубокого
обучения для автоматизации и улучшения анализа 3D-КЛКТ-сканирований с
помощью 2D-планарного вскрытия и панорамной реконструкции. Наша
сравнительная оценка YOLO, RetinaNet, Faster R-CNN и Mask R-CNN
показала, что YOLO превосходит другие в скорости и точности решения
этой задачи, что делает его наиболее эффективным выбором для
визуализации зубов в режиме реального времени.Технология U-образного
среза оказалась полезной для преобразования объемных данных в полезную
2D—аналитику, в то время как расширенная аналитика, включая кривые
обучения, тепловые карты обнаружения и сравнения с помощью радаров,
обеспечила строгую основу для оценки производительности моделей.
Несмотря на такие проблемы, как сложность аннотаций и вычислительные
затраты, эта работа подчеркивает жизнеспособность автоматизации на
основе искусственного интеллекта в клинических рабочих процессах,
сокращая ручные усилия и повышая точность диагностики.
English     Русский Rules