№ 2: Упростите выражение
Домашнее задание:
Векторное произведение векторов в теоретической механике
864.15K
Category: mathematicsmathematics

Векторное произведение векторов

1.

2.

1) Пространственный репер
Пространственным репером называется
тройка векторов , выходящих из одной точки

3.

2) Понятие векторного произведения
Векторное произведение векторов — это операция над двумя векторами
в трёхмерном пространстве, в результате которой получается новый вектор.
В мире IT эта операция нужна для выравнивания 3D-объектов, разработки
физических симуляций и систем управления роботами.
обозначение
a b

4.

3) Свойства векторного произведения
1)
2)
a a 0,
a b b a
a 0
4)
k число
k a m b k m a b , k , m числа
5)
k a b k a b ,
3)
6)
a c b a b c b
a c b m a b a m c b c m

5.

6. № 2: Упростите выражение

1)
2)
3)
4)
Ответ:
2a 3b a b
a 2b 4a b
5a b a 2b
a 7b 2a b
1)
5 a b
2)
7 a b

7.

8.

9.

10.

11.

12.

13.

14. Домашнее задание:

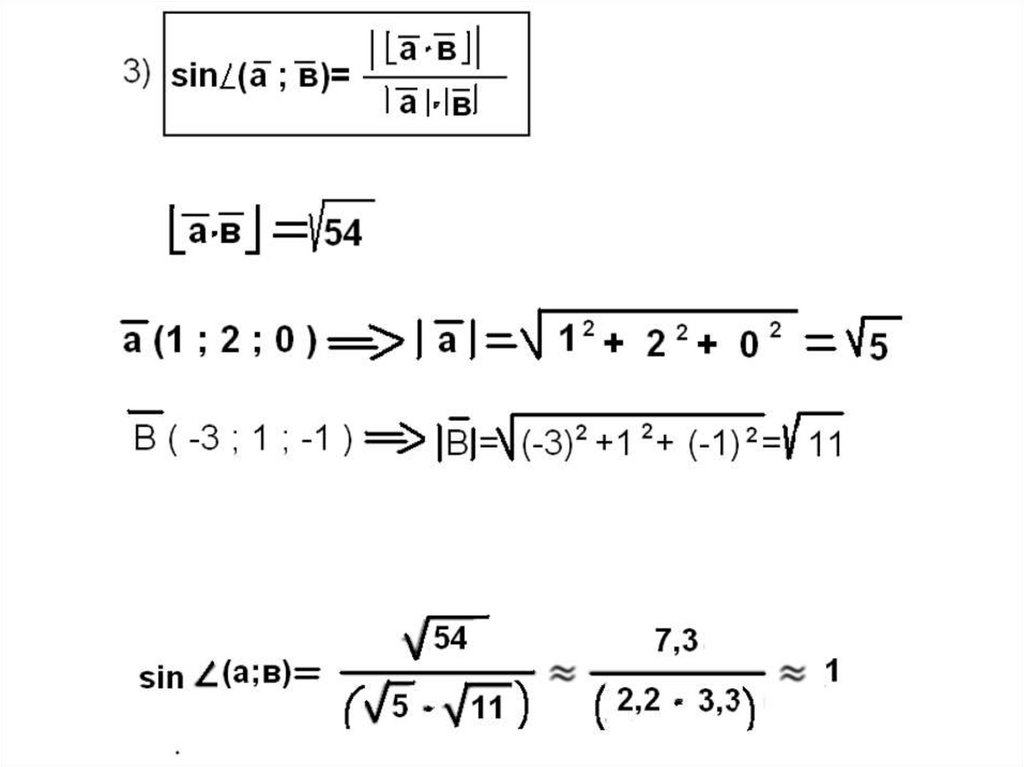
№7
Даны векторы a(1;0;5), b(2;-2;1)
Вычислите:
1) векторное произведение [ab]
2) Площадь параллелограмма, построенного на
векторах a и b
3) Площадь треугольника, построенного на векторах
aиb
4) Синус угла между векторами a и b

15. Векторное произведение векторов в теоретической механике

С помощью векторного
произведения можно
вычислить вращающий
момент М силы F,
приложенной к точке В тела,
закрепленного в точке А:
M AB F
English     Русский Rules