6.46M
Category: physicsphysics

Программа «Физика недр»

1.

Программа «Физика недр»
Курс «Инженерная математика»
Ганопольский Родион Михайлович, к.ф.-м.н., зав. каф. МФПиС ФТИ
02.09.2025

2.

Введение

3.

Введение
• Что будем учить?
Математику
• Как будем учить?
Очень быстро
• Контроль знаний
Две контрольные

4.

Что будет на контрольной
• Всё, что есть в презентации,
будет на контрольной

5.

Полезные ссылки
• Павел Шестопалов
https://www.youtube.com/channel/UCOSK7BOX_onFvQiyj6Z_WrQ
• Physics.Math.Code Сообщество физиков, математиков и разработчиков
https://vk.com/physics_math
https://t.me/physics_lib
•…

6.

Если будете слишком часто пропускать или просто моргать

7.

Ориентируемся на лучших

8.

1% времени – будет не по теме

9.

Программа «Физика недр»
Курс «Инженерная математика»

10.

Содержание курса «Математика»
• Введение
• Избранные главы высшей математики
• Аналитическая геометрия и линейная алгебра
• Аппроксимация и численные методы
• Комбинаторика и теория вероятности?
• Функции комплексной переменной?
• Контрольная

11.

12.

Избранные главы
высшей математики

13.

Избранные главы
высшей математики
• Функции
• Комплексные числа
• Уравнения
• Производные – полные и частные
• Интегрирование – нахождение первообразной, определенные интегралы,
«неберущиеся» интегралы, эллиптические интегралы
• Дифференциальные уравнения в полных производных
• Дифференциальные уравнения в частных производных, метод характеристик

14.

Функции

15.

Функции
• Определение
• От одной и нескольких переменных
• Геометрический смысл
• Разложение в ряд

16.

Функция
Определение

17.

Функция
Определение

18.

Функция
Типы функций
• Постоянная
• От одной переменной
• От нескольких переменных
• Параметрически заданная
• Неявный вид функции

19.

Функция
от двух переменных

20.

Функция
Основные понятия
• Функции
• Геометрический смысл

21.

Функция
Обратная функция
• Функция
• Геометрический смысл

22.

Функция
Параметрически заданная функция
• Функция
• Геометрический смысл

23.

Функция
Простейшие функции

24.

Функция
Разложение в ряд
• Ряд Тейлора
• Ряд Маклорена
• Разложение экспоненты

25.

Функция
Ряд Маклорена

26.

Функция
Разложение в ряд функции от двух переменных

27.

Комплексные числа

28.

Комплексные числа
• Определение
• Геометрическое представление
• Формулы

29.

Комплексные числа
Определение

30.

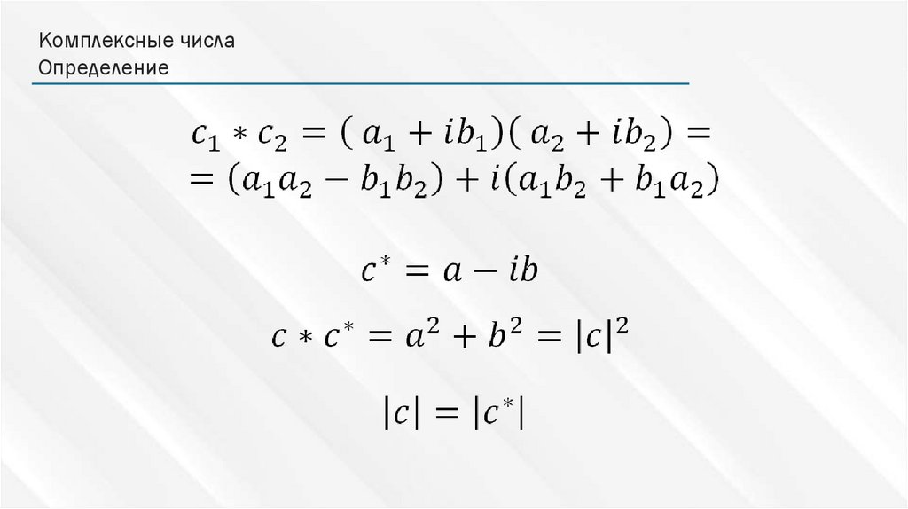
Комплексные числа
Определение

31.

Комплексные числа
Обратное значение

32.

Комплексные числа
Обратное значение. Задачи
1−
English     Русский Rules