Открытие фотоэффекта Герцем
Исследования А. Г. Столетова
Исследования Ленарда и Томсона ТОМСОН (Thomson), Джозеф Джон 18 декабря 1856 г. – 30 августа 1940 г. ЛЕНАРД (von Lenard),
Зависимость от частоты излучения, падающего на катод .
Гипотеза А.Эйнштейна о квантовании энергии излучения.
Уравнение Эйнштейна для фотоэффекта
Объяснение закономерностей фотоэффекта.
2.2.ФОТОНЫ
Ф о т о н.
Корпускулярно – волновой дуализм электромагнитного излучения
Рентгеновское излучение (X-лучи)
Результаты экспериментов
Эффект Комптона – изменение энергии и импульса фотонов при рассеянии на свободных электронах
Тест на экзамене
Корпускулярно-волновой дуализм света
Корпускулярно-волновой дуализм света
Корпускулярно-волновой дуализм света
2.83M
Category: physicsphysics

Квантовые свойства электромагнитного излучения. Тема 2

1.

Сегодня: среда, 18 июня 2025 г.
МОДУЛЬ 3. Тема 2. Квантовые
свойства электромагнитного
излучения
2.1. Фотоэффект
2.2. Опыт Боте. Фотоны
2.3. Тормозное рентгеновское
излучение
2.4. Эффект Комптона
2.5. Давление света
Не забывайте про учебники !!!
САЙТ ВАРГИНА А.Н.
http://physics-for-students.ru/
1

2.

2.1.Фотоэффект
https://www.youtube.com/watch?v=O5N_7jk3GWU

3.

х
Виды
фотоэффекта
Различают фотоэффект внешний, внутренний, вентильный
и многофотонный.
Внешним фотоэффектом называется испускание электронов
веществом под действием электромагнитного излучения. (фильм)
Внутренний фотоэффект – это вызванные электромагнитным
излучением переходы электронов внутри полупроводника или
диэлектрика из связанных состояний в свободные без вылета
наружу. (фильм)
Вентильный фотоэффект, – возникновение эдс (фото-эдс) при
освещении контакта двух разных полупроводников или
полупроводника
и
металла
(при
отсутствии
внешнего
электрического поля).
Многофотонный фотоэффект возможен, если интенсивность
света очень большая (при использовании лазерных пучков). При
этом электрон, испускаемый металлом, может одновременно
получить энергию не от одного, а от нескольких фотонов.

4. Открытие фотоэффекта Герцем

Герц
установил,
что
ультрафиолетовое
излучение
усиливает электрический разряд
между цинковыми электродами.
Генрих Рудольф Герц
(1857 - 1894)
Из-за
несовершенства
экспериментальной
техники
Герцу не удалось подробно
исследовать это явление.
Некоторые
выводы
Герца
оказались ошибочными.
Исследования продолжили
Гальвакс, Видеман и Эберт.

5. Исследования А. Г. Столетова

Александр Григорьевич
Столетов
(1839 - 1896)
А.Г. Столетов установил три закона фотоэффекта, не утратившие
своего значения и в настоящее время. В современном виде законы
внешнего фотоэффекта формулируются следующим образом:
I. При фиксированной частоте падающего света число фотоэлектронов,
вырываемых из катода в единицу времени, пропорционально
интенсивности света (сила тока насыщения пропорциональна
энергетической освещенности катода).
II. Максимальная начальная скорость (максимальная начальная
кинетическая энергия) фотоэлектронов не зависит от интенсивности падающего света, а определяется только его частотой ν.
III. Для каждого вещества существует красная граница фотоэффекта,
т.е. минимальная частота света (зависящая от химической природы
вещества и состояния его поверхности), ниже которой
фотоэффект невозможен.

6. Исследования Ленарда и Томсона ТОМСОН (Thomson), Джозеф Джон 18 декабря 1856 г. – 30 августа 1940 г. ЛЕНАРД (von Lenard),

Филипп фон
7 июня 1862 г. – 20 мая 1947 г.
1. Ленард и Томсон доказали, что из
пластины вылетают электроны.
2. Подтвердили, что ток насыщения
пропорционален световому потоку.
3. Определили задерживающее
напряжение
mV 2
eU з
2
4. Величина Uз не зависит от светового потока и для
данного материала определяется частотой излучения.
Джозеф
Джон
Томсон
Филипп
5. Существует «красная граница» фотоэффекта, т.е.
Эдуард
минимальная частота излучения, при которой еще
Антон фон
возможен фотоэффект.
Ленард
В 1899 Дж. Дж. Томсон и Ф. Ленард доказали, что при фотоэффекте
свет выбивает из вещества электроны.

7.

х
Закономерности явления изучают с помощью фотоэлементов различной
конструкции, в которых имеются два электрода: фотокатод K (освещаемый
катод) и анод А. Электроды впаяны в стеклянный баллон, из которого откачан
воздух. Фотоэлемент включается в электрическую цепь с источником
постоянного напряжения, которая позволяет менять величину и полярность
напряжения. Катод освещается через кварцевое окно, которое пропускает не
только видимый, но и ультрафиолетовый свет.
Вольтамперная
характеристика (ВАХ)

8.

Вопросы в тестах на экзамене
I (U )
I 2,н ас
J 2 2 J1 ,
I1, нас
J1 ,
Фототок
насыщения
Интенсивность
света
U з
0
U, В
Зависимость фототока I от напряжения U для
двух интенсивностей света одной частоты .

9.

х
Iнас. N1e
Максимальное значение тока
Iнас. – фототок насыщения –
определяется таким значением U, при
котором все электроны, испускаемые
катодом, достигают анода:
Iнас. N1e,
где N1 – число электронов испускаемых катодом в 1 с.
Для того чтобы фототок стал равным нулю, необходимо приложить
задерживающее напряжение Uз
2
mυ max
2
eU з

10.

Вопросы в тестах на экзамене

11. Зависимость от частоты излучения, падающего на катод .

2
m max
Зависимость 2
от частоты излучения,
падающего на катод .
eU з m 2max 2
Катод 1
Катод 2
A1
A2
K
eU з ( к )
Из эксперимента
Графики зависимости максимальной кинетической энергии
фотоэлектронов от частоты и материала катода.

12.

В экспериментах обнаружено:
Для каждого вещества катода существует своя граничная частота
K , такая, что излучение с частотой K фотоэффекта не
вызывает.
1.
K
- частота «красной» границы фотоэффекта, ей соответствует
длина волны K «красной» (длинноволновой) границы фотоэффекта,
который наблюдается только при K .
2. Скорость фотоэлектронов и их кинетическая энергия находятся в
пределах:
2
2
0 max
0
m max
m
2
2
энергия
m 2max 2 и запирающая
разность потенциалов U имеют одно и то же значение при любой
з
интенсивности света J одной частоты
.
3. Максимальная кинетическая
4.
m 2max 2
зависит от материала катода

13.

Классические представления о природе света
1 Классическая волновая теория рассматривает излучение
как электромагнитные волны.
E
k
B
2 Поглощение излучения –
непрерывный
процесс передачи энергии многим
электронам поверхностного слоя металла.
В результате металл нагревается.
Волна излучения
Количество переданной энергии при поглощении определяется
интенсивностью падающего света J W c
,
2
где W E0 - плотность энергии световой волны, E0 - амплитуда
колебаний электрического поля волны.
3

14.

Противоречия закономерностей фотоэффекта с классическим
представлением о природе света.
Ожидаемый классический результат:
При большей интенсивности света
электроны поглощают больше энергии и
после выхода из металла должны иметь
большее значение кинетической энергии.
Передача энергии электронам
определяется квадратом
амплитуды электрического поля
световой волны, а не частотой.
Эксперимент: 1. От интенсивности зависит только
число N1 вылетающих электронов в единицу времени,
которое определяет величину тока насыщения I нас.
2
2. m max 2
не зависит от интенсивности, а
зависит только от частоты падающего
света.
Ожидаемый классический результат:
Фотоэффект должен наблюдаться при всех
частотах.
Эксперимент: Существует граничная частота K
.
При частотах K фотоэффект не
наблюдается при любых интенсивностях.
Закон
Столетова:
I нас eN1
J
m 2max
2
K
A

15.

Противоречия закономерностей фотоэффекта с классическим
представлением о природе света.
Ожидаемый классический
результат:
В случае поглощения
света малой интенсивности участвуют
все электроны приповерхностного
слоя металла, и требуется довольно
продолжительное время для того,
чтобы какой-то электрон преодолел
поверхностный потенциальный барьер.
Такой процесс при малой
температуре металла маловероятен.
Эксперимент:
J (t )
Включение света
0
t, c
I (t )
0
Временная задержка вылета
В случае фотоэлектронной эмиссии, независимо электронов после начала
от интенсивности падающего света вплоть до
освещения фотокатода
величины порядка 10 10 Вт / м 2 ,
время нарастания тока с момента облучения
до установившегося значения составляет
не более 10 9 с .
t, c

16. Гипотеза А.Эйнштейна о квантовании энергии излучения.

При столь явном противоречии приходится пересматривать
представления о природе электромагнитного излучения.
Существует два способа передачи энергии: либо посредством волн,
либо посредством частиц.
Экспериментальные факты по фотоэффекту
склоняют к корпускулярному механизму передачи
энергии.
Гипотеза А.световой
Эйнштейна
(1905г.): Электромагнитное излучение не
непрерывно, а состоит из квантов энергии. Оно испускается и
поглощается веществом дискретно, квантами, и распространяется в
виде неделимых квантов, локализованных в пространстве.
Эйнштейн
распространил
идею
Планка о квантовании атомных
осцилляторов на электромагнитное
Идею квантов излучения Эйнштейн
излучение.
применил к теории фотоэффекта.
Позднее, в 1926г, частицы излучения
были названы фотонами.

17. Уравнение Эйнштейна для фотоэффекта

В отличие от Планка Эйнштейн постулировал, что само
световое излучение, а не только механизм его
испускания - поглощения имеет дискретный характер.
Согласно Эйнштейну монохроматическое излучение
состоит из локализованных в пространстве неделимых
квантов – фотонов с энергией . Это означает, что при
облучении фотокатода реализуется корпускулярный
механизм передачи энергии электронам в металле.
Поскольку энергия поступает порциями , она может
быть передана целиком одному электрону, который
оказывается в состоянии вылететь из металла. Процесс
поглощения фотона и передачи его энергии электрону Альберт Эйнштейн
имеет вероятностный характер. Если электрон,
(1879 - 1955)
получивший энергию , находился на поверхности
металла, и для преодоления потенциального барьера
ему необходима энергия, равная работе выхода , то
после вылета его энергия будет максимальной
1
mv 2max A
2
eU з A

18. Объяснение закономерностей фотоэффекта.

1 излучение состоит из
Исходные положения:
При облучении фотокатода
реализуется корпускулярный механизм
передачи энергии электронам в
металле.
Локализованных в пространстве
неделимых квантов – фотонов
с энергией .
2
Процесс поглощения
фотона
и передачи его энергии
электрону
имеет вероятностный
характер.
4
Поскольку энергия поступает
порциями ,она может быть передана
целиком одному электрону, который
может вылететь из металла.
3
5 Минимальная энергия, полученная
электроном, находящимся на поверхности,
необходимая для его вырывания из металла
называется
работой выхода. Обозначим её через А .
Если
электрон,
получивший
энергию при «столкновении» с
6
фотоном,
находился на поверхности металла, то после вылета его энергия
будет максимальной.
Уравнения Эйнштейна
для внешнего фотоэффекта
m 2max
A
2
ИЛИ
A eU з

19.

20.

ВНУТРЕННИЙ ФОТОЭФФЕКТ В
ПОЛУПРОВОДНИКАХ
Фотоприёмники электронно-оптические
преобразователи оптическая связь и др.
Фотовольтаика –
солнечные батареи возобновляемая
энергетика.

21. 2.2.ФОТОНЫ

Опыт Боте

22.

х
Опыт Боте,
подтверждающий гипотезу
Эйнштейна
Тонкая металлическая фольга Ф
помещена между двумя
газоразрядными счетчиками Сч.
При облучении рентгеновскими
лучами Ф становится источником
рентгеновского излучения.
При попадании рентгеновских
лучей счетчик срабатывает и с
помощью спец. устройства делает
метку на движущейся ленте.
Метки располагались на ленте
хаотично, что свидетельствует о
квантовой природе излучения – в
каждом акте испускания
направление движения частиц свое

23. Ф о т о н.

Из экспериментов и их теоретического обоснования следует, что свет
и любое электромагнитное излучение в процессах взаимодействия с
веществом ведет себя как поток частиц - фотонов.
Свойства фотонов.
1. Фотон – стабильная элементарная частица, время жизни которой определяется
взаимодействием с веществом. Фотон неделим, поглощается и испускается целиком.
2. Энергия фотона Еф и его импульс p k , где p c 2
3. Фотон - релятивистская частица, всегда движется в вакууме со скоростью света
и не может находиться в состоянии покоя.
с 3 108 м с
4. В соответствии с релятивистской механикой, в которой выполняются требования
теории относительности, полная энергия частицы E (кинетическая + энергия покоя)
и импульс p связаны соотношением
E
p 2c2 (m0c2 )2
Фотоны не имеют состояния покоя, поэтому их собственная масса
для любого импульса p выполняется связь с энергией в виде
m0 0, и для
Еф p c
5. Фотон не имеет наглядного образа. Изображение его в виде ограниченной серии
колебаний достаточно условно.

24. Корпускулярно – волновой дуализм электромагнитного излучения

«Противоположности не противоречия, а дополнения» ( Нильс Бор )
Такие явления, как интерференция, дифракция, поляризация света,
были объяснены, исходя из представлений о волновой природе света: свет
– это распространяющиеся в пространстве электромагнитные волны.
Световая волна не локализована в пространстве. Объемная плотность
энергии электромагнитной волны пропорциональна квадрату её
амплитуды и изменяется непрерывно.
В явлениях взаимодействия с веществом свет ведет себя как поток частиц
– фотонов, обладающих
p k , где
энергией Еф и импульсом
c p 2
(фотоэффект, тепловое равновесное излучение, эффект Комптона и др.).
Световая энергия изменяется не непрерывно, а только дискретно в
виде порций ( квантов) энергии.
Электромагнитное излучение обладает двойственной природой,
получившей название «корпускулярно-волновой дуализм».
Явления, в которых участвует свет, объясняются с учетом двух ,
дополняющих друг друга, понятий: «волна – частица»

25.

2.3. Коротковолновая
граница спектра
тормозного
рентгеновского
излучения

26. Рентгеновское излучение (X-лучи)

Вильгельм
Конрад
Рентген
(1845 - 1923)
Работая с трубкой Крукса и
разрядником (источником высокого
напряжения) В.К.Рентген в 1895 г.
обнаружил
новый
вид
электромагнитного
излучения,
которое он назвал X-лучами.

27.

Тормозное и характеристическое
рентгеновское излучение
Тормозное излучение возникает при
движении заряженных частиц с ускорением
(например,
при
торможении
ранее
ускоренных электронов). Спектр тормозного
излучение – непрерывный.
Для тормозного излучения наблюдается
некоторая
граничная
частота
(или
наименьшая длина волны), выше которой
электромагнитные волны не излучаются.
Величина
наименьшей
длины
волны
(наибольшей частоты) зависит от величины
ускоряющего напряжения (см. рис.)
Кроме тормозного излучения наблюдается
характеристическое излучение, специфическое для каждого вещества. Спектр
характеристического
излучения

дискретный.

28. Результаты экспериментов

рентгеновского
I ( )
излучения для двух различных
анодов из никеля и платины при
одном значении ускоряющего
напряжения .
I
U3
U 3 >U 2 >U1
U2
U1
3,m
2,m
1,m
U=35 кВ
Pt
Ni
min
излучения для
одного анода при разных
ускоряющих напряжениях

29.

Коротковолновая граница спектра
тормозного рентгеновского излучения.
Существование коротковолновой границы
тормозного рентгеновского излучения легко
объяснить, исходя из квантовой природы
излучения.
Величина энергии, излучаемой электроном при торможении, не может
превысить величины энергии, полученной электроном при ускорении.
eU .
2 c
eU ,
2 c
2 c
min
,
eU
,
hc
min
,
eU
что совпадает с экспериментально полученной величиной
12390
min
,
U
где длина волны выражена в ангстремах, напряжение
– в вольтах.

30.

2.4. Эффект
Комптона

31.

Эффект Комптона
(Неупругое рассеяние рентгеновских фотонов на электронах)
А. Комптон в 1922 – 23 г.
исследовал взаимодействие
характеристического рентгеновского излучения молибдена (Ka – линию) с
различными веществами.
Он обнаружил, что если
наблюдать спектр излучения молибдена под некоторым углом к оси исходного рентеновского пучка,
то
появляется
дополнительная
длинноволновая линия.
Интенсивность и длина волны этой длинноволновой линии
– спутника (или сателлита) зависит только от угла
наблюдения и не зависит от рода облучаемого вещества.

32.

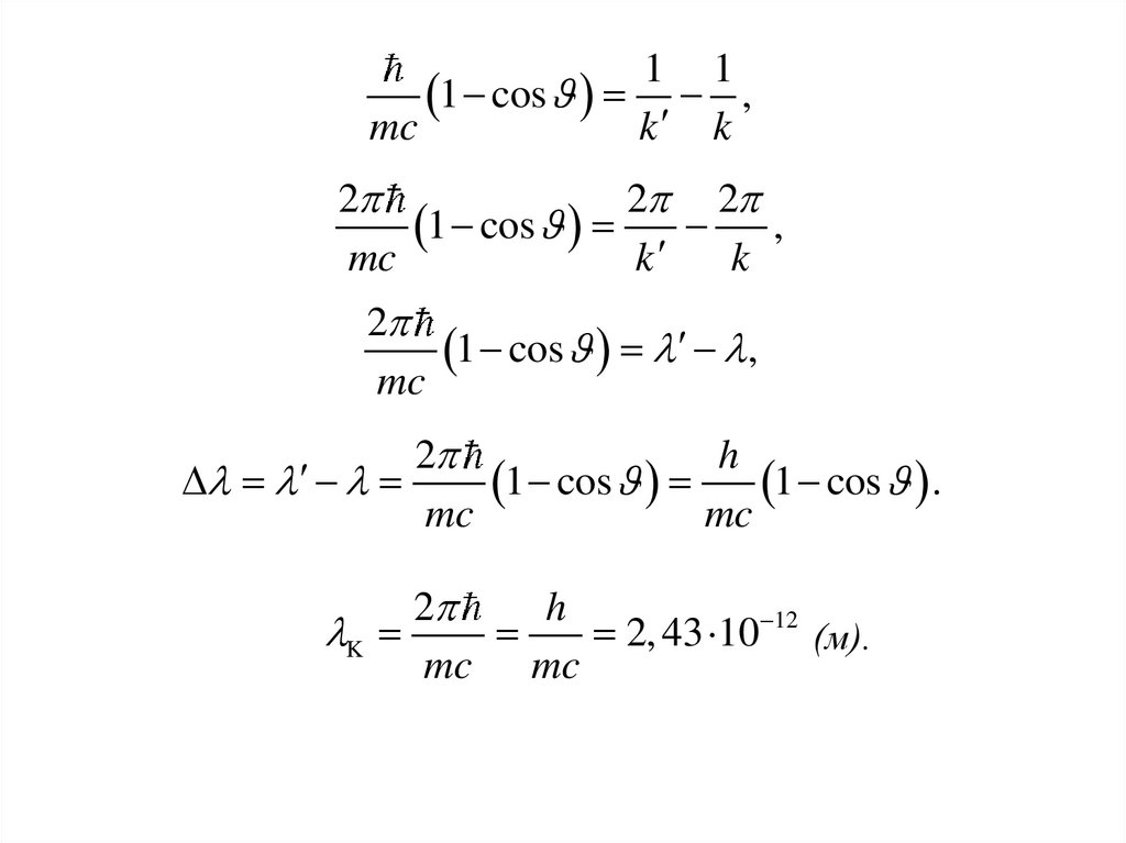
Экспериментально было установлено, что изменение длины
волны при рассеянии рентгеновского излучения составляет
K 1 cos ,
K 2, 43 10 12 (м).
Объяснить этот эффект можно, рассмотрев взаимодействие
рентгеновских фотонов с электронами. (Если бы фотоны
взаимодействовали с атомами вещества, результат зависел
бы от рода вещества).
Рассмотрим
электроном.
столкновение
mv импульс электрона,
угол рассеяния,
рентгеновского
фотона
с
k импульс фотона до столкновения,
k импульс фотона после столкновения.

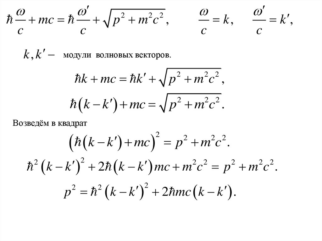
33. Эффект Комптона – изменение энергии и импульса фотонов при рассеянии на свободных электронах

• Увеличение длины волны излучения при его
рассеянии необъяснимо с точки зрения
волновой теории электромагнитного
излучения. Электромагнитная волна должна
воздействовать сразу на все электроны
вещества. При этом доля энергии и импульса
волны, передаваемая одному электрону,
должна быть ничтожно малой. В классической
теории рассеяние рассматривается как процесс,
в котором электроны совершают вынужденные
колебания под действием электрического поля
падающей волны, излучая вторичные
(рассеянные) электромагнитные волны на
частоте падающего излучения.
• Таким образом, эффект Комптона относится
к явлениям квантовой оптики.

34.

До столкновения.
После столкновения.
p k , E .
Электрон: p 0,
p k , E .
2
Электрон: p 0, E mc .
Фотон:
Фотон:
E c p 2 m2c 2 .
Закон сохранения энергии:
mc 2 c p 2 m 2 c 2 .
Закон сохранения импульса:
k k p.
2
2 2
mc c p m c ,
2
k k p.
c
mc
c
Разделим первое уравнение
системы на скорость света
c:
p 2 m2c 2 ,

35.

c
mc
c
p m c ,
2
2 2
k,
c
c
k ,
k , k модули волновых векторов.
k mc k p 2 m 2c 2 ,
2
2 2
k
k
mc
p
m
c .
Возведём в квадрат
2
2 2
k
k
mc
p
m
c.
2
2
k k 2 k k mc m2c 2 p 2 m2c 2 .
2
2
2
p k k 2 mc k k .
2

36.

Второе уравнение системы – векторное. Для его решения применим теорему
косинусов.
k k p,
k k p,
Возведём в квадрат:
2
2
2
k k p ,
2
p
2
2
k 2kk cos k .
2
p
2
k k 2 mc k k .
p
2
2
2
2
2
k 2kk cos k ,
2
Первое уравнение получено из закона сохранения энергии, второе уравнение
системы – из закона сохранения импульса.
2
k 2kk cos k k k 2 mc k k .
2
2
2
2

37.

2
2
k 2kk cos k k k 2 mc k k ,
2
2
k 2 2 2 kk cos 2 k 2
2
2
2
k 2 2 2kk 2 k 2 2 mc k k ,
kk cos kk mc k k ,
kk kk cos mc k k ,
kk 1 cos mc k k ,
mc k k
kk
1 cos
,
mckk
mckk
mc
k k
,
1 cos
kk
1 1
1 cos ,
mc
k k
: mc kk

38.

1 1
1 cos ,
mc
k k
2
2 2
1 cos ,
mc
k
k
2
1 cos ,
mc
2
h
1 cos 1 cos .
mc
mc
2
h
K
2, 43 10 12 (м).
mc mc

39.

Тест на экзамене

40.

41.

2.5. Давление света

42.

Световые, или фотометрические величины (СРС*)
Энергия, переносимая световыми
лучами в единицу времени,
называется потоком энергии
(лучистым потоком),
проходящим через площадку dS в
телесный угол dΩ.
Если нормаль к площадке dS образует с
направлением излучения угол α, то
необходимо рассматривать ее проекцию
– видимую величину площадки, если ее
рассматривать под углом α к нормали:
dS dS cos a
42

43.

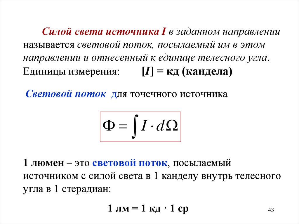
Силой света источника I в заданном направлении
называется световой поток, посылаемый им в этом
направлении и отнесенный к единице телесного угла.
Единицы измерения:
[I] = кд (кандела)
Световой поток для точечного источника
I d
1 люмен – это световой поток, посылаемый
источником с силой света в 1 канделу внутрь телесного
угла в 1 стерадиан:
1 лм = 1 кд · 1 ср
43

44.

Освещенностью Е некоторой поверхности
называется световой поток, падающий на единицу
площади освещаемой поверхности:
d
E
dS
1 лм
[E] = лк (люкс): 1 лк =
1 м2
Для точечного источника
I
E 2 cos a - закон обратных квадратов:
r
- освещенность, создаваемая точечным источником, обратно
пропорциональна квадрату расстояния до него и прямо
пропорциональна косинусу угла между направлением падающих
лучей и нормалью к освещаемой поверхности.
44

45.

Для протяженных источников вводятся следующие понятия:
• Яркостью L называется световой поток, исходящий из
площадки dS в заданном направлении, отнесенный к единице
телесного угла и к единице ее видимой величины:
d
dI
La
d dS cos a dS cos a
где
d
dI
d
- сила света площадки dS в том
же направлении
Источники, яркость которых одинакова по всем направлениям,
называются ламбертовскими (косинусными):
dI ~ cos α
45

46.

Световое давление было впервые обнаружено
и измерено в 1899 г. в Москве русским ученым
П.Н. Лебедевым (1866 1912). (фильм)
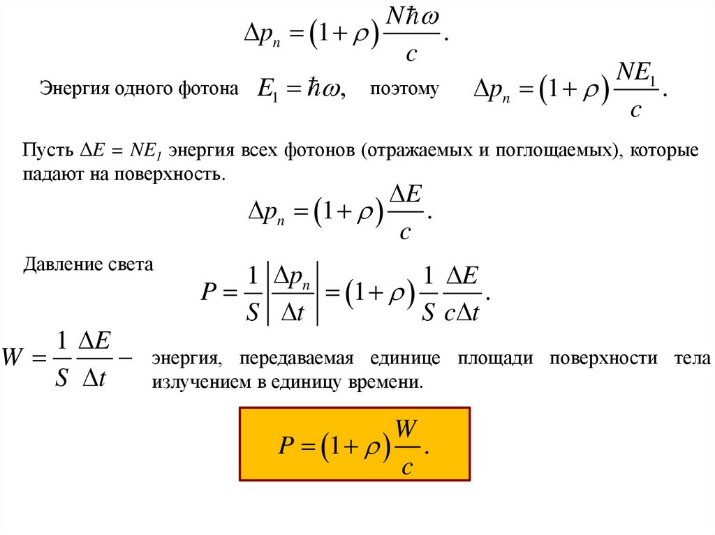
Давление света можно рассчитать по формуле:
J – интенсивность света,
1
–коэффициент отражения.
P J
c
2J
Если тело зеркально отражает, то =1 и P
c
Если тело полностью поглощает, то
=0 и P J
c
При наклонном падении волны:
J
2
P (1 )cos
c

47.

• В своих опытах Лебедев П.Н. установил, что
давление света зависит от интенсивности света
и от отражающей способности тела. В опытах
была использована вертушка, имеющая черные
и зеркальные лепестки, помещенная в
вакуумированную колбу. Было доказано, что
световое давление на абсолютно черное тело
в два раза меньше, чем на зеркальное.

48. Тест на экзамене

49.

Давление света и электромагнитный
импульс настолько малы, что непосредственное
их измерение затруднительно.
Так, зеркало, расположенное на
расстоянии 1 м от источника света в миллион
свечей (кандел), испытывает давление
10 7 Н/м2.
Давление излучения Солнца на
поверхность Земли равно 4,3 10 6 Н/м2
Общее давление излучения Солнца на
Землю равно 6 108 Н, что в 1013 раз меньше
силы притяжения Солнца.

50.

Давление света СРС!!!
Фотоны переносят импульс, следовательно, при взаимодействии
различными телами на тела могут действовать различные силы
с
dp
F .
dt
Давление равно величине силы, действующей на тело, делённой на площадь
тела
1 dp
P
.
S dt
Пусть фотоны падают на поверхность тела. Нужно рассмотреть два случая –
фотоны полностью поглощаются и второй – фотоны полностью отражаются
поверхностью тела.
1. Фотоны полностью поглощаются.
Найдём импульс, передаваемый поверхности тела поглощаемым
фотоном.
p1 k
c

51.

Найдём импульс, передаваемый поверхности тела n поглощаемыми фотонами.
nE1
n
.
pn n k
c
c
Здесь E1 – энергия одного фотона, n – число фотонов.
Пусть ΔE = nE1 энергия, передаваемая поверхности тела n поглощаемыми
фотонами
E
p
.
c
1 p 1 E
P
.
S t
S c t
1 E
W
S t
W
P ,
c
энергия, передаваемая единице площади поверхности тела
излучением в единицу времени.

52.

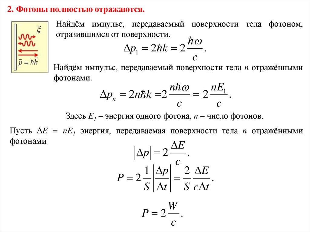
2. Фотоны полностью отражаются.
Найдём импульс, передаваемый поверхности тела фотоном,
отразившимся от поверхности.
p1 2 k 2
c
.
Найдём импульс, передаваемый поверхности тела n отражёнными
фотонами.
nE1
n
2
.
pn 2n k 2
c
c
Здесь E1 – энергия одного фотона, n – число фотонов.
Пусть ΔE = nE1 энергия, передаваемая поверхности тела n отражёнными
фотонами
E
p 2
.
c
1 p 2 E
P 2
.
S t S c t
W
P 2 .
c

53.

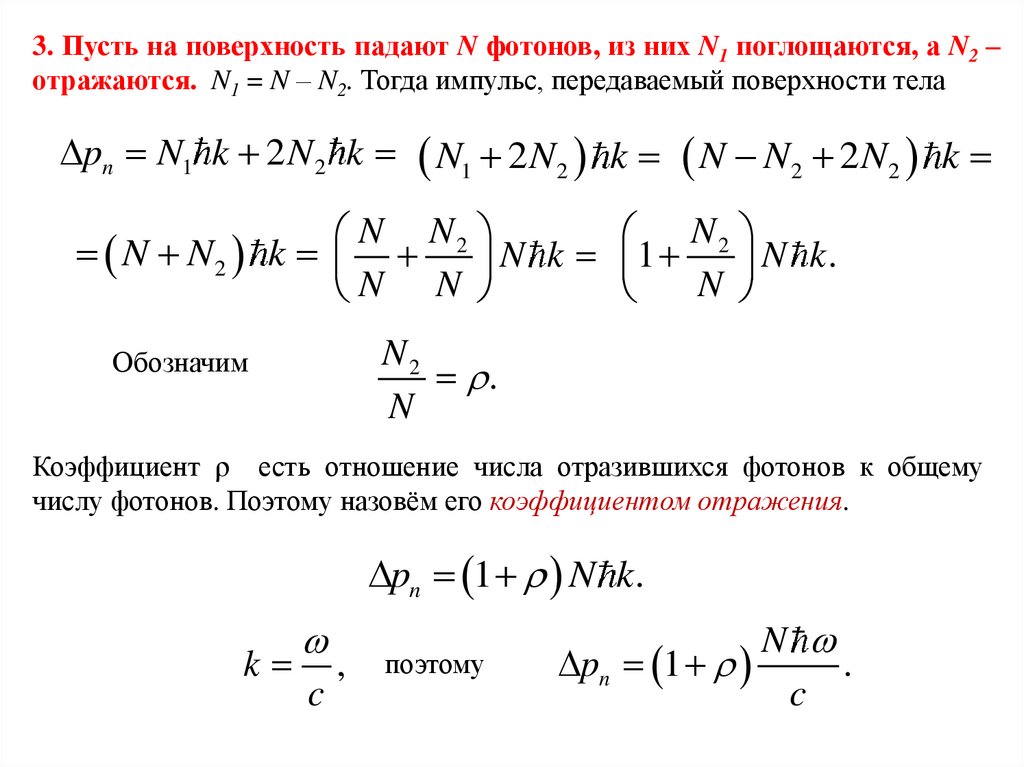
3. Пусть на поверхность падают N фотонов, из них N1 поглощаются, а N2 –
отражаются. N1 = N – N2. Тогда импульс, передаваемый поверхности тела
pn N1 k 2 N 2 k N1 2 N2 k N N2 2 N2 k
N N2
N2
N N2 k
N k 1
N k.
N
N N
N2
.
N
Обозначим
Коэффициент ρ есть отношение числа отразившихся фотонов к общему
числу фотонов. Поэтому назовём его коэффициентом отражения.
pn 1 N k.
k
c
,
поэтому
N
pn 1
.
c

54.

N
pn 1
.
c
NE1
Энергия одного фотона E1 , поэтому
pn 1
.
c
Пусть ΔE = NE1 энергия всех фотонов (отражаемых и поглощаемых), которые
падают на поверхность.
E
pn 1
.
c
Давление света
1 E
W
S t
1 pn
1 E
P
1
.
S t
S c t
энергия, передаваемая единице площади поверхности тела
излучением в единицу времени.
W
P 1 .
c

55.

• Итак, следующее из корпускулярной теории заключение, что
световое излучение оказывает давление на материальные
предметы, причем величина давления пропорциональна
интенсивности излучения, прекрасно подтверждается в
экспериментах.
• Одним из следствий давления солнечного света, является то, что
кометы, пролетающие вблизи Солнца, имеют «хвосты»

56. Корпускулярно-волновой дуализм света

Двойственная природа света
Впервые проблема корпускулярно-волнового дуализма проявила себя
при исследовании природы света. В XVII веке Исаак Ньютон предложил
считать свет потоком мельчайших корпускул. Это позволяло просто объяснить
ряд наиболее характерных свойств света – например, прямолинейность
световых лучей и закон отражения, согласно которому угол отражения света
равен углу падения. Вообще, вся геометрическая оптика прекрасно
согласуется с корпускулярной теорией света.
Но явления интерференции и дифракции света никак в эту теорию не
вписывались. Объяснить их ученым удалось лишь в XIX веке создателям
волновой теории света.
А теория электромагнитного поля и знаменитые уравнения Максвелла,
казалось бы, вообще поставили точку в этой проблеме. Оказалось, что свет –
это просто частный случай электромагнитных волн, то есть процесса
распространения в пространстве электромагнитного поля. Мало того, волновая
оптика объяснила не только те явления, которые не объяснялись с помощью
корпускулярной теории, но и вообще все известные к XIX веку световые
эффекты. И все законы геометрической оптики тоже оказалось возможным
доказать в рамках волновой оптики.

57. Корпускулярно-волновой дуализм света

Однако уже в самом начале XX века опять возродилась
корпускулярная теория света, так как были обнаружены явления, которые
с помощью волновой теории объяснить не удавалось. Это – давление
света, фотоэффект, Комптон-эффект и законы теплового излучения. В
рамках корпускулярной теории эти явления прекрасно объяснялись, и
корпускулы (частицы) света даже получили специальное название.
Макс Планк назвал их световыми квантами (по-русски – порциями), а
Альберт Эйнштейн – фотонами. Оба этих названия прижились и
употребляются до сих пор.
В итоге сложилась удивительная ситуация – сосуществование двух
серьезных научных теорий, каждая из которых объясняла одни свойства
света, но не могла объяснить другие. Вместе же эти две теории полностью
дополняли друг друга. Только что мы рассмотрели ряд явлений, где свет
ведет себя как поток частиц. Но явление интерференции и дифракции
могут быть объяснены только с позиции волновой теории.
Что же такое свет?

58. Корпускулярно-волновой дуализм света

В. Брегг писал: «неужели мы должны считать свет состоящим из
корпускул в понедельник, вторник и среду, когда проводим опыты с
фотоэффектом и эффектом Комптона, и представлять себе его волнами в четверг,
пятницу и субботу, когда работаем с явлениями дифракции и интерференции?»
Выход из этой ситуации был найден следующий. Во-первых, электромагнитное
излучение и его разновидность свет – это более сложный объект нашего мира,
чем волна или корпускула. Во-вторых, нужна синтетезированная теория,
объединяющая в себе и волновую, и корпускулярную теории. Она была создана и
получила название квантовой физики.
Очень важно, что квантовая физика не отвергает ни корпускулярную, ни
волновую теории. Каждая из них имеет свои преимущества и свой, достаточно
развитый математический аппарат.
Свет – диалектическое единство противоположных свойств:
он одновременно обладает свойствами непрерывных электромагнитных волн
и дискретных фотонов.
При уменьшении длины волны все явственнее проявляются корпускулярные
свойства. Волновые свойства коротковолнового излучения проявляются слабо
(например, рентгеновское излучение). Наоборот, у длинноволнового
(инфракрасного) излучения квантовые свойства проявляются слабо.
English     Русский Rules