Евклидово пространство
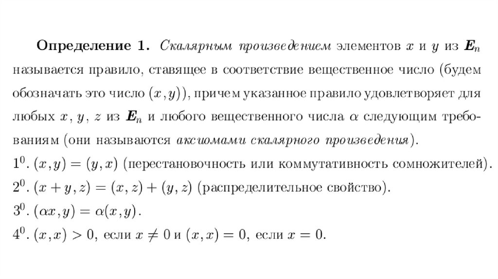
Определение скалярного произведения
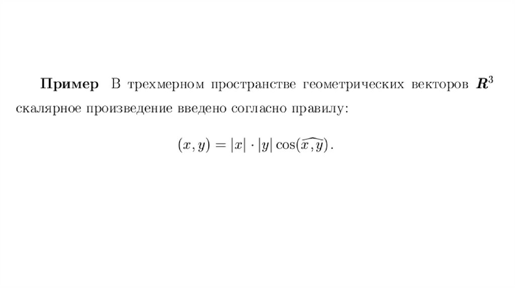
Примеры скалярных произведений
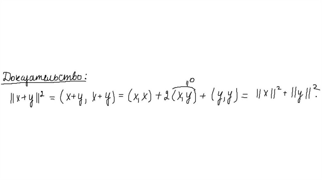
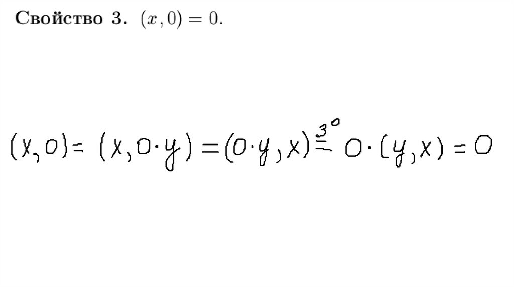
Свойства скалярного произведения
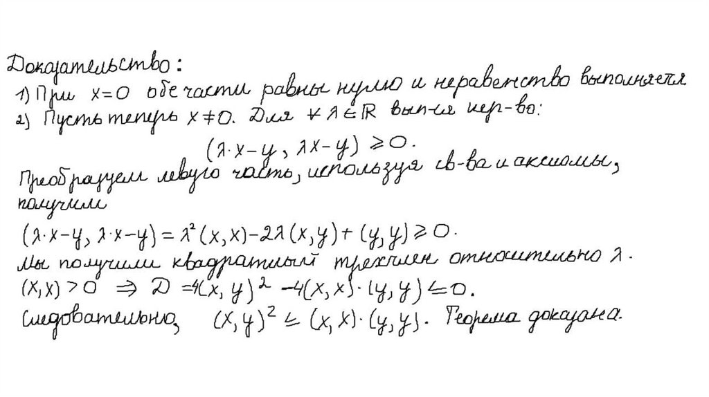
Неравенство Коши-Буняковского
Нормированные пространства
Ортогональные системы векторов
Теорема Грама-Шмидта
Теорема 5 Грама-Шмидта
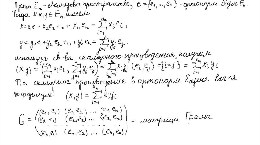
Ортогональные и ортонормированные базисы
Теорема 6
Теорема 7
Вычисление скалярного произведения в евклидовом пространстве
2.46M
Category: mathematicsmathematics

Евклидово пространство

1. Евклидово пространство

2. Определение скалярного произведения

3.

4.

5. Примеры скалярных произведений

6.

7.

8.

9.

10.

11.

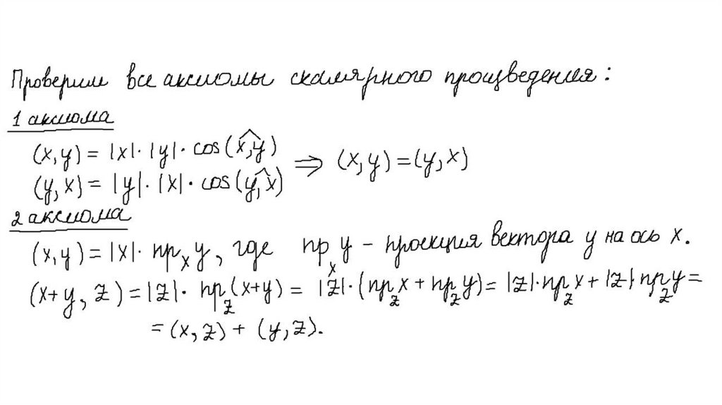
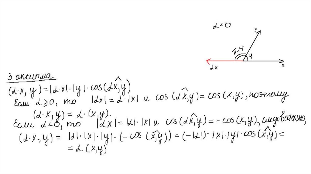
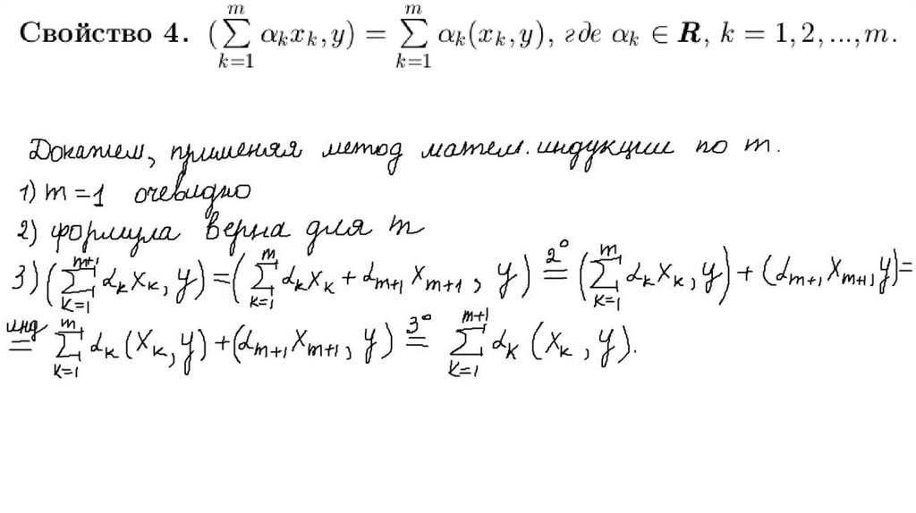
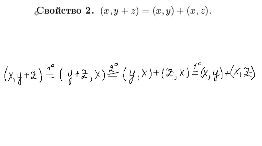
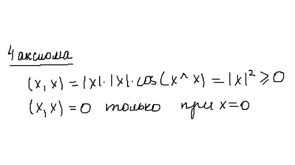
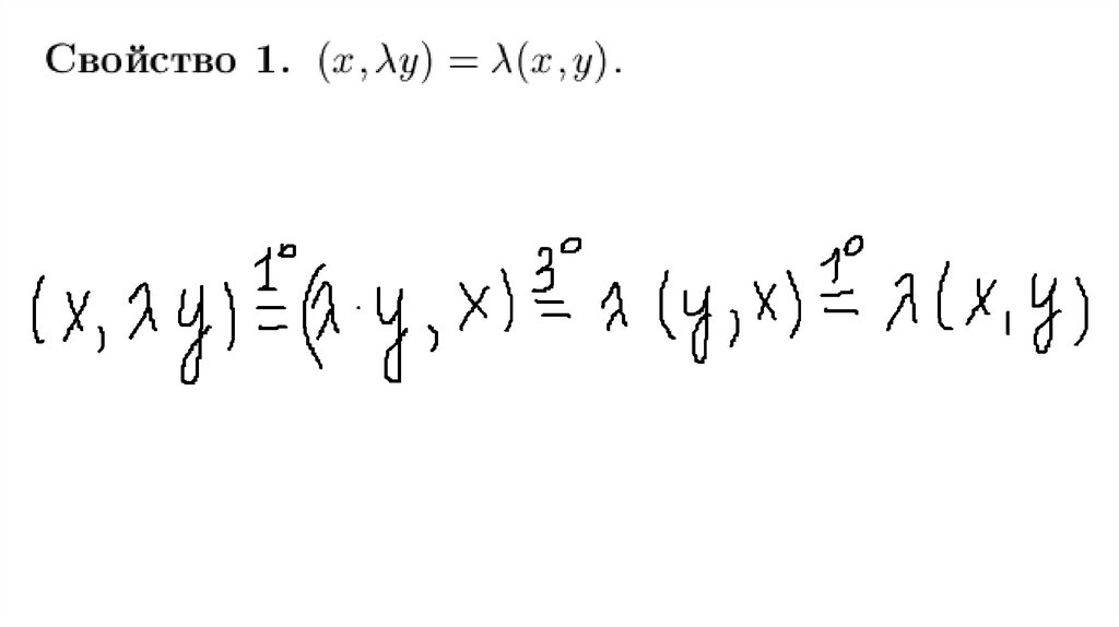
12. Свойства скалярного произведения

13.

14.

15.

16.

17.

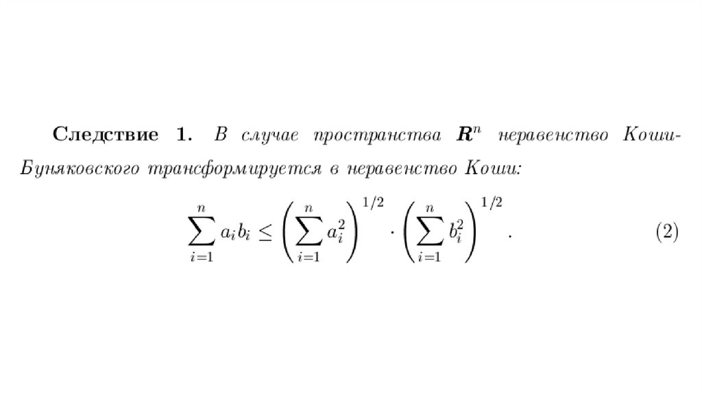
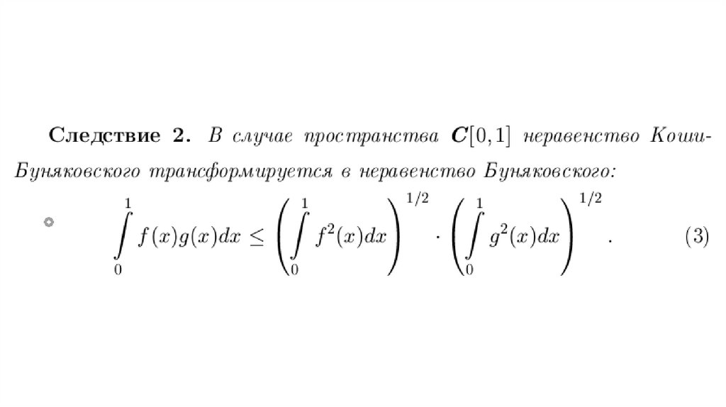
18. Неравенство Коши-Буняковского

19.

20.

21.

22.

23. Нормированные пространства

24.

25.

26.

27.

28.

29.

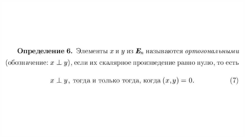
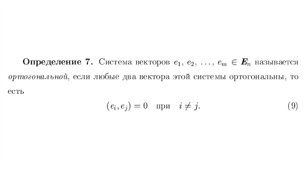
30. Ортогональные системы векторов

31.

32.

33.

34.

35.

36.

37.

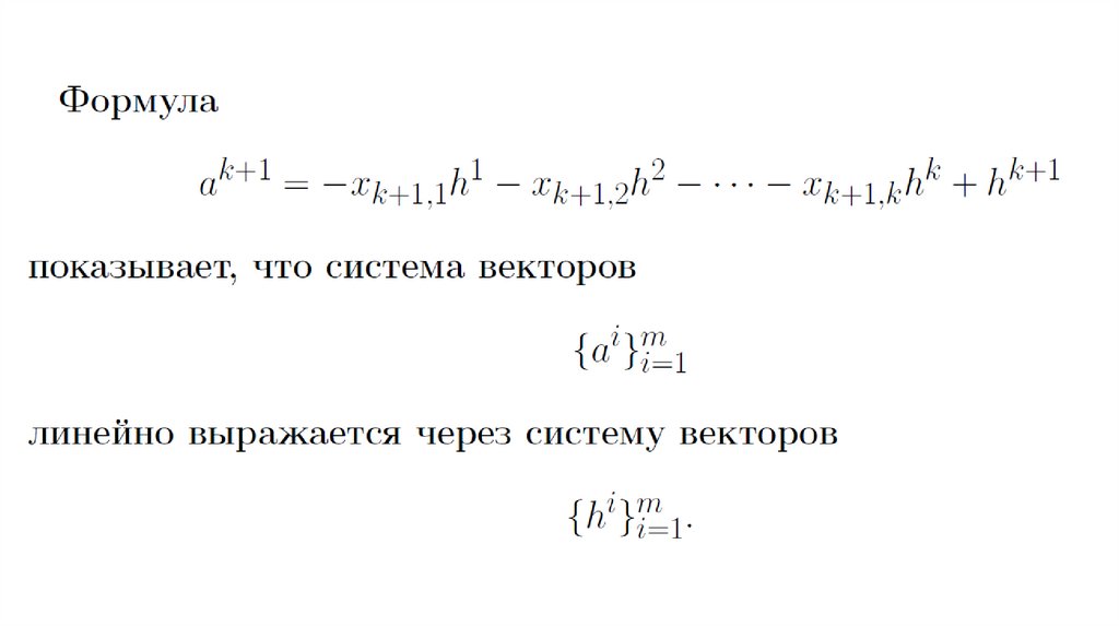
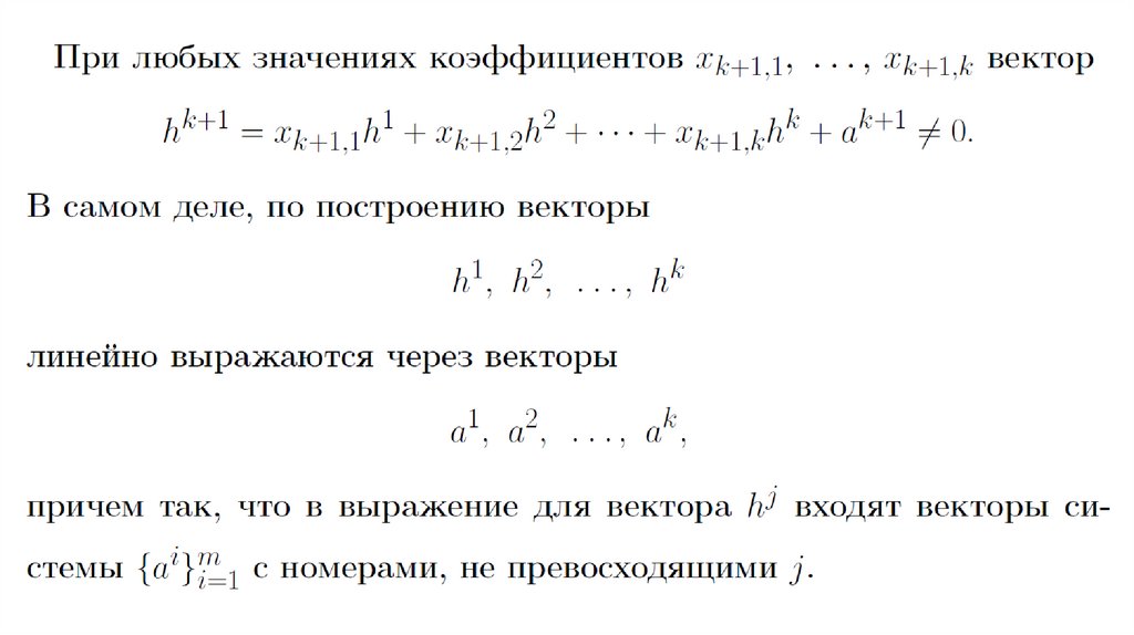
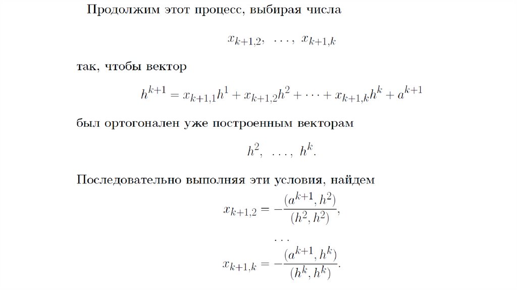
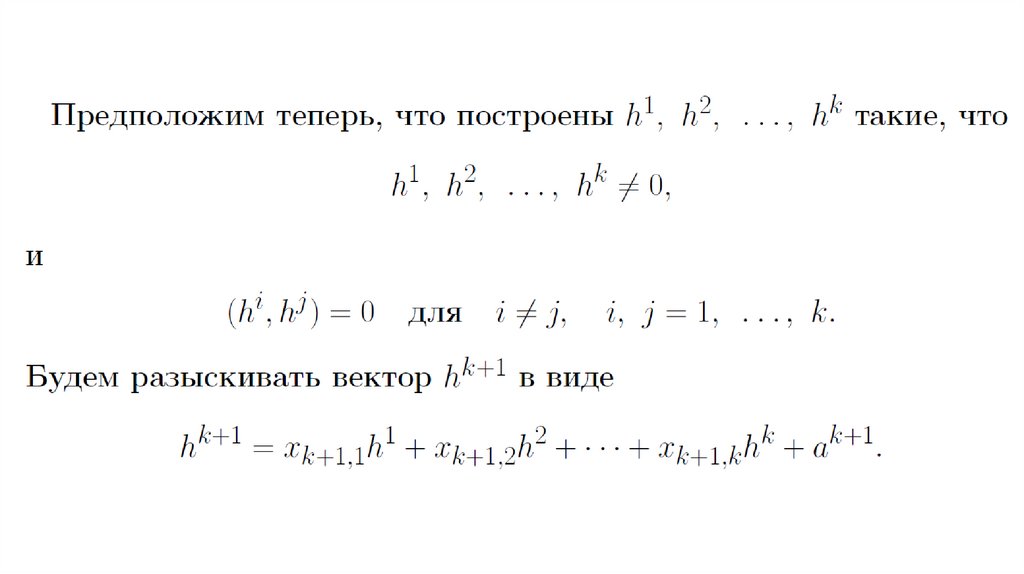
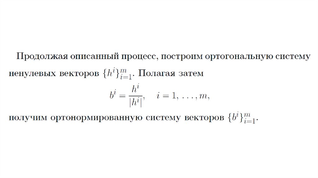
38. Теорема Грама-Шмидта

39. Теорема 5 Грама-Шмидта

Любую линейно независимую
English     Русский Rules