Истечение жидкостей, паров и газов
Процесс истечения газа в p-v диаграмме
Сопло Лаваля
645.50K
Category: physicsphysics

Истечение жидкостей, паров и газов

1. Истечение жидкостей, паров и газов

Газовый эжектор
1

2.

Истечение жидкостей, паров и газов
В общем случае процессы истечения удобно
рассматривать как теоретические обратимые
процессы
истечения:
политропный
или
адиабатный, а переход к реальным процессам
осуществлять путем введения соответствующих
поправочных коэффициентов, определяемых
опытным путем
Основной задачей при изучении процессов
истечения является определение линейной (с) и
массовой скорости (и), расхода (G), параметров и
функций состояния рабочего тела (p, v, t, u, h, s)
вдоль канала.
Общие соотношения
При обратимых процессах истечения жидкости из
области большего давления р1 в область с меньшим
давлением р2, потенциальная работа расходуется на
повышение кинетической энергии и на изменение
высоты центра тяжести потока.

3.

4.

Дифференциальное
уравнение
распределения
удельной потенциальной работы, при отсутствии
эффективной
потенциальной
работы
потока
*
( w 0 ), будет выглядеть следующим образом
w vdp cdc gdz
w1,2
2
c2
2
2
c1
2
g ( z 2 z1 )
Отсюда теоретическая линейная скорость истечения
жидкости в выходном сечении сопла (с2)
c2
2
c1 2w1,2 2 g ( z2 z1 )

5.

Сопла или штуцеры, через которые происходят
процессы истечения, обычно выполняются короткими,
поэтому работой, идущей на изменение центра тяжести
2 g z 2 z1
поток,
можно пренебречь. При
этом условии теоретическая линейная скорость истечения
жидкости в выходном сечении сопла может быть
определена из соотношения
c2
2
c1 2w1,2
Скорость потока на входе в сопло может быть
вычислена, в свою очередь, как теоретическая скорость
истечения из воображаемого нулевого состояния
(точка 0), в котором жидкость находится в состоянии
покоя (с0=0), до заданного начального состояния (1),
линейная скорость потока во входном сечении сопла
определяется по формуле
c1
2
c0 2w0 ,1
2w0 ,1

6. Процесс истечения газа в p-v диаграмме

Состояние адиабатно заторможенного потока находится
графически на продолжении
кривой процесса истечения в
точке (0). Площадь между
кривой процесса (0-1) и осью
ординат
(1-0-а-b)
равна
потениальной
работе
в
процессе 0-1 ( w0 ,1 ).

7.

Сумма потенциальных работ w0,1 и w1,2,
представляет
собой
потенциальную
работу
жидкости (сжимаемой или несжимаемой) в
обратимом адиабатном процессе истечения от
нулевого состояния (с0 =0), определяемого
параметрами торможения, до конечного давления
p2w(0 ,2 w0 ,1 w1,2 ).
Следовательно, соотношение для определения
линейной теоретической скорости обратимого
адиабатного процесса истечения жидкости можно
записать следующим образом
с2 2 w0 ,2
Важной характеристикой потока является его
массовая скорость, численно равная секундному
расходу жидкости через единицу площади
поперечного сечения потока u G / f ( и, кг/(м2 с))

8.

Связь между массовой и линейной скоростью
u 2 c2 2
В соответствии с принципом неразрывности потока,
массовый расход вещества (G) в любом поперечном
сечении канала одинаков
G c f u f idem
Истечение несжимаемых жидкостей
Несжимаемая жидкость имеет практически неизменную
плотность при любых давлениях и температурах.
Соотношения для определения удельной потенциальной
работы несжимаемой жидкости в обратимых процессах
истечения
2
0
p0 p2
1
w0 ,2 vdp dp
2
0

9.

Теоретическая линейная скорость истечения
несжимаемой жидкости в выходном сечении сопла
(с2)
p1 p2
с2 2
Массовая скорость потока несжимаемой жидкости
на выходе из сопла
u2 c2 2 p0 p2 .
Из соотношений видно, что с увеличением по
длине канала (x) разности давления (р0 - рx),
повышается массовая скорость потока. При этом,
исходя из принципа неразрывности потока
(G = idem), площадь проходного сечения канала ,
должна непрерывно уменьшаться. Следовательно,
при истечении несжимаемой жидкости следует
применять суживающиеся сопла.

10.

Истечение сжимаемых жидкостей
К классу сжимаемых жидкостей относятся вещества,
плотност которых изменяется в зависимости от давления
и температуры. Газы (идеальные и реальные) относятся
к классу сжимаемых жидкостей.
Потенциальная работа обратимого адиабатного
процесса истечения газа от нулевого до конечного
состояния (0-2)
k 1
k
k
p
w0 ,2
p0 v0 1 2
p0
k 1
k 1
p2 k
2k
c2 2 w0 ,2
p0 v0 1
p0
k 1

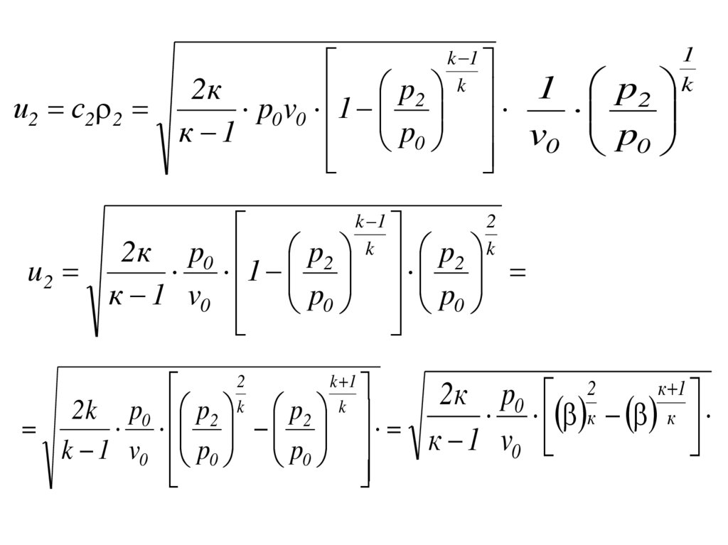
11.

Для
вычисления
массовой
скорости
газа
необходимо знать плотность газа в
u 2 c2 2
выходном сечении сопла, значение которой определяется
из уравнения адиабаты
1
1
p0k v0 p2k v2 ,
1
v ,
1
k
1 p2
2
v0 p0
k 1
p2 k
2k
c2 2 w0 ,2
p0 v0 1
p0
k 1

12.

1
k 1
k
k
1
p

p
2
и2 с2 2
p0 v0 1 2
p0 v
к 1
0 p0
k 1
2
2к p0 p2 k p2 k
u2
1
к 1 v0 p0 p0
2
k 1
2
к 1
2
к
p
0
2k p0 p2 k p2 k
к 1 v к к
0
k 1 v0 p0 p0

13.

14.

Анализ уравнения для массовой скорости потока
показывает, что скорость газа изменяясь в зависимости
от соотношения давлений в процессе истечения
p2 / p0 , дважды обращается в нуль - при р2/р0 = 1 (нет
движения), а также при = 0 (истечение в вакуум, р2 = 0).
Следовательно, значение массовой скорости, по теореме
Ролля, проходит через экстремум.
Соотношение
давлений, при котором массовая скорость истечения
u max
становится максимальной (
), называется
критическим кр
, а режим истечения при этом
условии называется критическим режимом истечения.
Для определения характеристик критического
режима истечения обозначим через ψ выражение
k 1
2
k k

15.

Очевидно, что массовая скорость достигнет
максимального значения при таком же βкр, что и
функция ψ . Условием максимума функции
является
к 1
d 2 2 1 к 1
1
k к
k к 0
d к
к
Критическое соотношение давлений и значение
характеристики
адиабатного
расширения
сжимаемых жидкостей
k
k 1
2
кр
k 1
;
pv k
2
кр
p0 v0 k 1

16.

Критическая линейная скорость истечения
k
k
cкр 2
p0 v0 1 кр 2
p0 v0
k 1
k 1
p0 v0
pv кр
кр
cкр k ( pv )кр
Действительная линейная скорость
сд c ,
коэффициент скорости, учитывающий отличие
обратимого от реального процесса истечения.
Действительный расход

Gд сд fдд c f c f ,
f
= 0,65 - 1- коэффициент сжатия струи.

17.

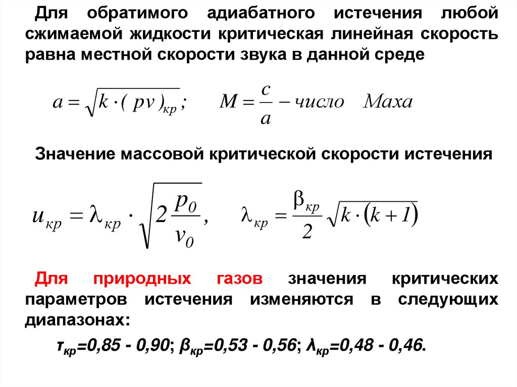
Для обратимого адиабатного истечения любой
сжимаемой жидкости критическая линейная скорость
равна местной скорости звука в данной среде
a k ( pv )кр ;
c
M число Маха
a
Значение массовой критической скорости истечения
p0
u кр кр 2 ,
v0
кр
кр
2
k k 1
Для природных газов значения критических
параметров истечения изменяются в следующих
диапазонах:
τкр=0,85 - 0,90; βкр=0,53 - 0,56; λкр=0,48 - 0,46.

18.

кр 1
Область диаграммы
, в которой
называется
областью
докритического
(дозвукового)режима истечения. В этой области
давление потока в выходном сечении сопла (p2)
равно давлению среды (pср), в которую происходит
истечение (p2=pср), а при снижении давления среды
(pср) наблюдается увеличение массового расхода
через сопло (G), а также линейной (c) и массовой (и)
скорости потока в выходном сечении сопла.
После достижения критического соотношения
давлений (
) наступает критический
кр
(звуковой) режим истечения, при котором на выходе
из сопла устанавливается критическое давление
p2 pкр p0 кр ). Этот режим
режима
(
характеризуется
критическими
значениями
массового расхода (Gкр), линейной (c2=cкр) и
массовой (и2=икр) скорости истечения в выходном
сечении сопла.

19.

Дальнейшее снижение давления среды (pср), в
которую происходит истечение вещества, не приводит
к снижению давления на выходе из сопла, которое
остается неизменным и равным критическому
давлению (p2=pкр). Это явление называется «кризисом
течения». В критическом режиме истечения скорость
потока в выходном сечении сопла устанавливается
равной местной скорости звука в данной среде
(с2=скр=a). С этой же скоростью (скоростью звука) в
среде распространяется любое возмущение.
Установившаяся в выходном сечении сопла
критическая скорость истечения (cкр) препятствует
подходу волны разряжения к этому сечению сопла, что
и предопределяет стабилизацию линейной скорости
истечения на уровне критического значения даже при
дальнейшем снижении давления среды. При данных
условиях истечения ( pср p2 pкр ) для увеличения
кинетической энергии потока используется не весь
располагаемый перепад давления ( p0 pср ), а только
часть его ( p0 p2 ).

20.

Таким
образом,
при
истечении
через
суживающиеся сопла и отверстия в тонких стенках
возможны только два режима истечения докритический и критический. Процесс истечения
через суживающиеся сопла и отверстия в тонких
стенках возможен только при выполнении
следующего условия: 1 кр .
Для
обеспечения
закритического
режима
истечения,
характеризующегося
условием
( c2 cкр a ), необходимо дополнить суживающееся
сопло расширяющейся частью, в выходном сечении
которой возможно достичь значения давления ниже
критического ( p2 pкр ). Такое комбинированное
сопло называется соплом Лаваля.
В комбинированных соплах для увеличения
кинетической энергии потока может использоваться
весь располагаемый перепад давления ( p0 pср ).

21. Сопло Лаваля

Достижение закритического
(сверхзвукового)
режима
истечения М с2 / а 1
Сопло (конфузор)
Диффузор
Сопло Лаваля
English     Русский Rules