RC фильтры
Фильтр верхних частот
LC фильтры
Фильтр верхних частот
Полосовой фильтр
Заградительный фильтр
340.78K
Category: electronicselectronics

Фильтры

1.

Фильтры
ФНЧ фильтр низких частот
ФВЧ фильтр верхних частот
ПФ полосовой фильтр
Заградительный или
режекторный фильтр

2.

Основные параметры фильтров
Частотные параметры:
Полоса пропускания;
Порядок фильтра;
Неравномерность в полосе пропускания;
Неравномерность в полосе задержания;
Характеристика в переходной области;
Добротность (для полосового и
заграждающих фильтров).
Фазовая характеристика

3. RC фильтры

Фильтр низких частот
j
Uout Uin C
j
R
C
j
Uout Uin
( RC ) j
R
IN
OUT
C
GND
Uout Uin H
H(s)- комплексная передаточная функция.
j
1
H ( s)
( RC ) j 1 s RC
s j

4.

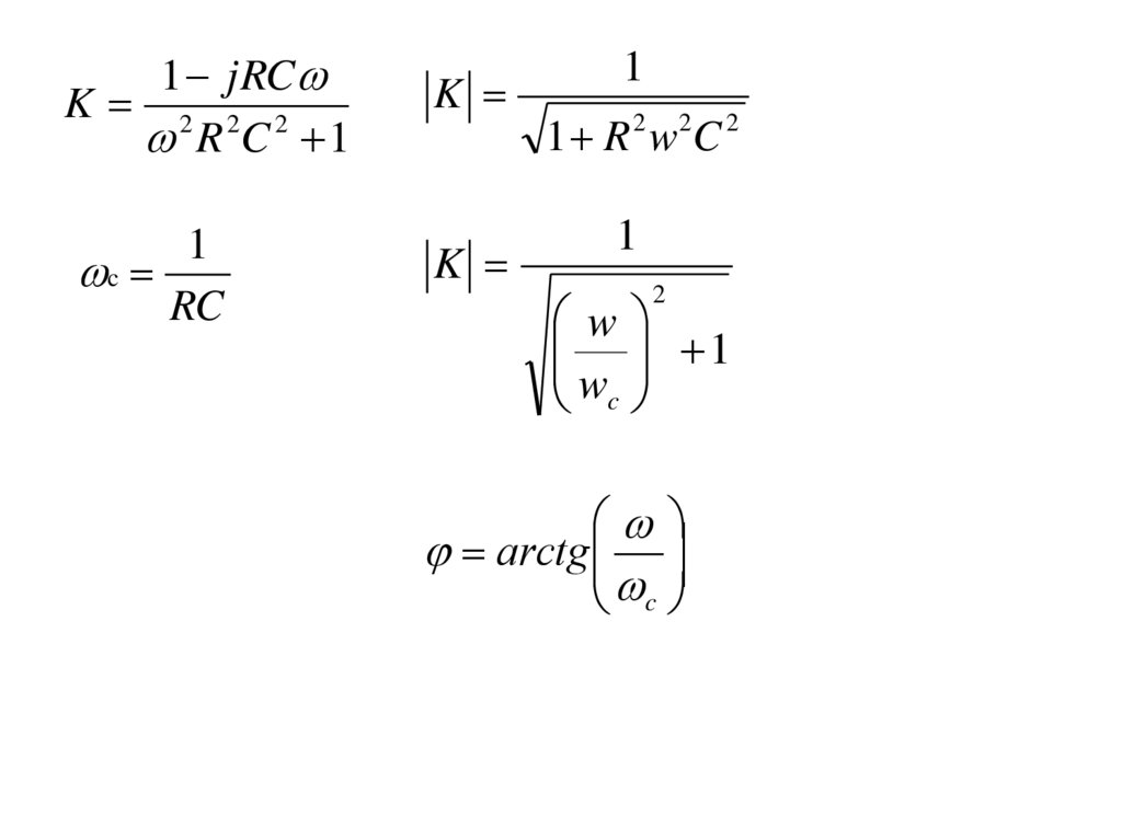
1 jRC
K 2 2 2
R C 1
1
c
RC
K
K
1
1 R 2 w 2C 2
1
2
w
1
wc
arсtg
c

5.

6. Фильтр верхних частот

R
Uout Uin
j
R
C
Vin
Vout
C
R
GND
s RC
H ( s)
1 s RC
K
RCw
R w C 1
2
2
2
c
arctg
R 2 w 2 C 2 jRCw
K
R 2 w2C 2 1
w
wc
K
2
w
1
wc

7.

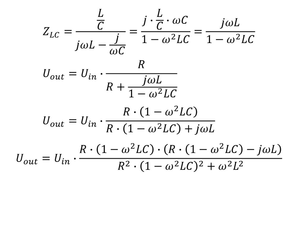
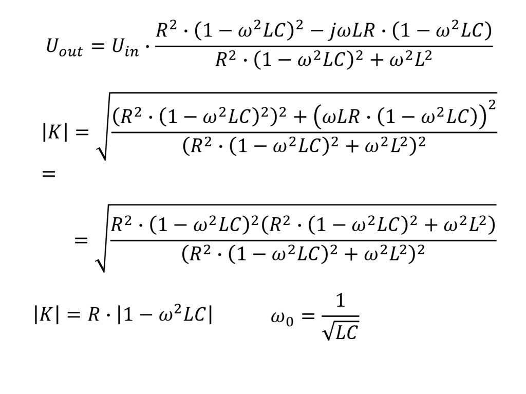
8. LC фильтры

R
L
Фильтр нижних частот
j
1
C
Vout Vin
Vin
2
j
j
RC
(
LC 1)
R j L
C
1
H
j RC ( 2 LC 1)
1
K mod H
( RC ) 2 ( 2 LC 1) 2
Vin
Vout
C
GND

9.

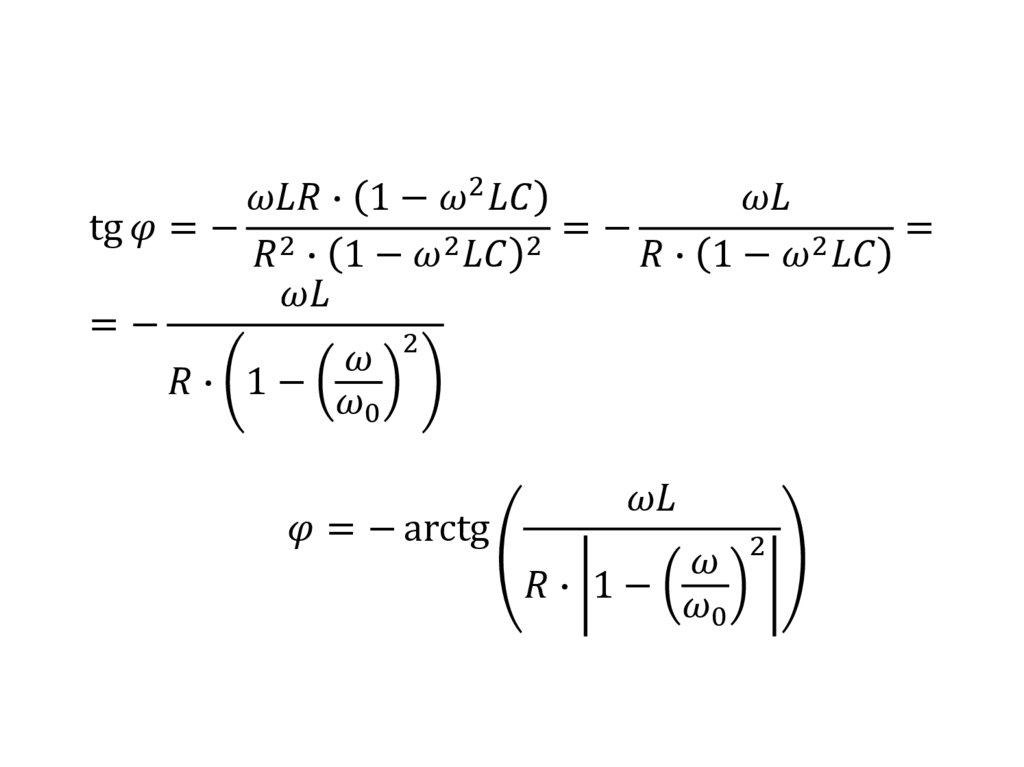
10. Фильтр верхних частот

R
Vin
Vout
C
L
j L
j 2 LC
Vout Vin
Vin
2
j
RC
j
(
LC 1)
R j L
C
2
j LС
H
RC j ( 2 LC 1)
2

K mod H
( RC ) 2 ( 2 LC 1) 2
GND

11.

12. Полосовой фильтр

R
Полосовой фильтр
Vin
Vout
L
L
2
L jR( LC 1)
C
H
2
2
2
2
( L ) R ( LC 1)
C
GND
( L) 4 ( L) 2 R 2 ( 2 LС 1) 2
L
K
2 2
2
2
2 2
( L R ( LС 1) )
( 2 L2 R 2 ( 2 LС 1) 2 )
C
1
LC

13.

K
L
2
2 L2 R 2C 2 1
C
2
2

14.

2
1
R
C
2
RL ( LС 1)
Im K
arctg
arctg
arctg
2 2
L
L
Re K

15. Заградительный фильтр

L
Vout
Vin
C
R
GND
English     Русский Rules